北京警察学院2021本科招生录取名单公布

2021-07-09 16:00 北京警察学院 评论
北京警察学院
北京北京市-公办-政法类
查看详情

各位考生及家长:

目前,我院已完成2021年本科阶段录取工作,全部志愿均已录满。考生可通过教育考试院查询录取结果,也可通过“北京警察学院”网招小程序查询录取结果,我院将于近期寄发《录取通知书》,请考生及时收取并按照报到须知完成相关工作。

报到提示①

请全体新生于7月17日(周六)按照报到须知时间安排,到我院进行警服量体工作!

报到提示②

报到时间为8月29日,请新生尽快按照报到须知上的内容完成相关准备工作!


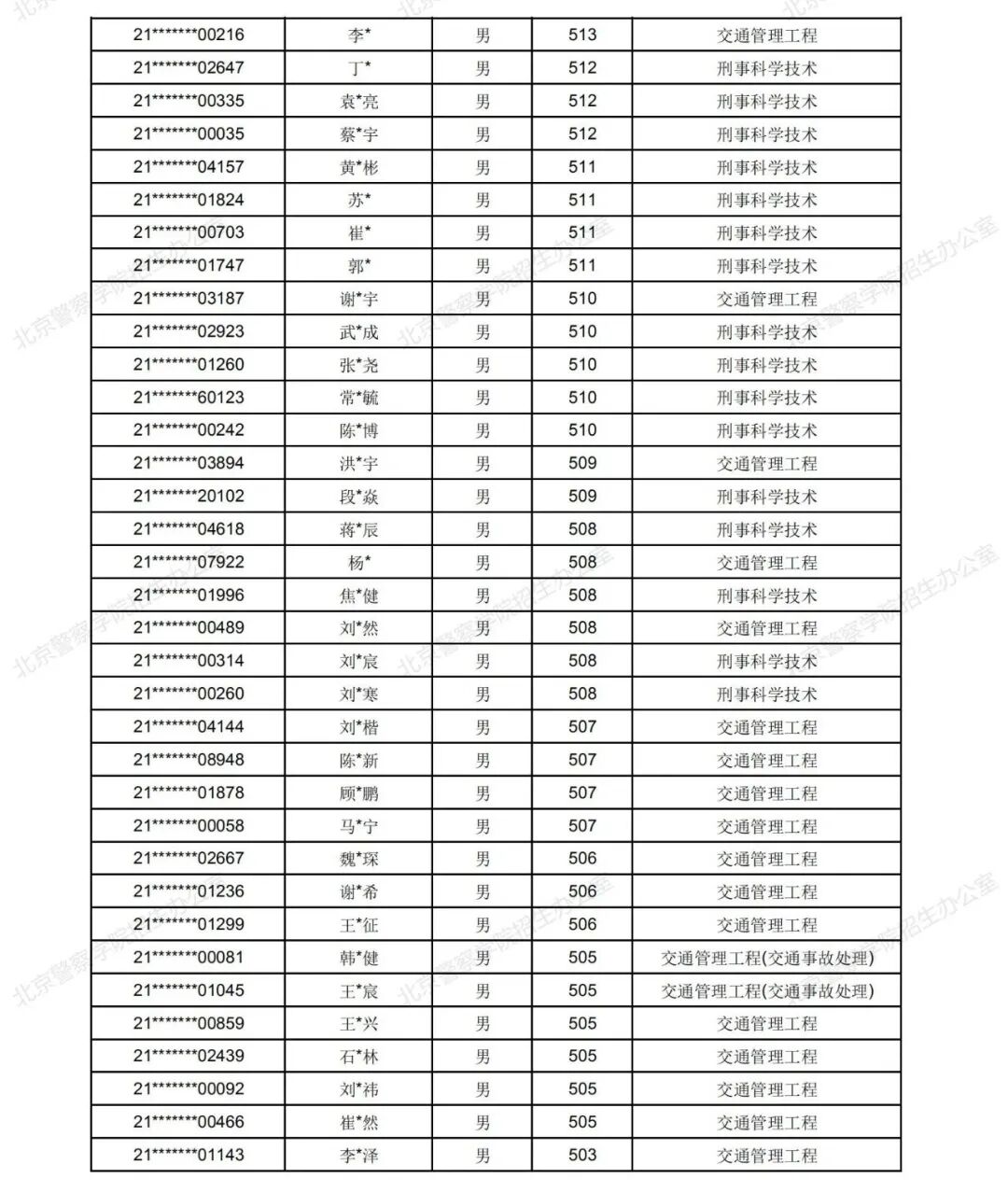
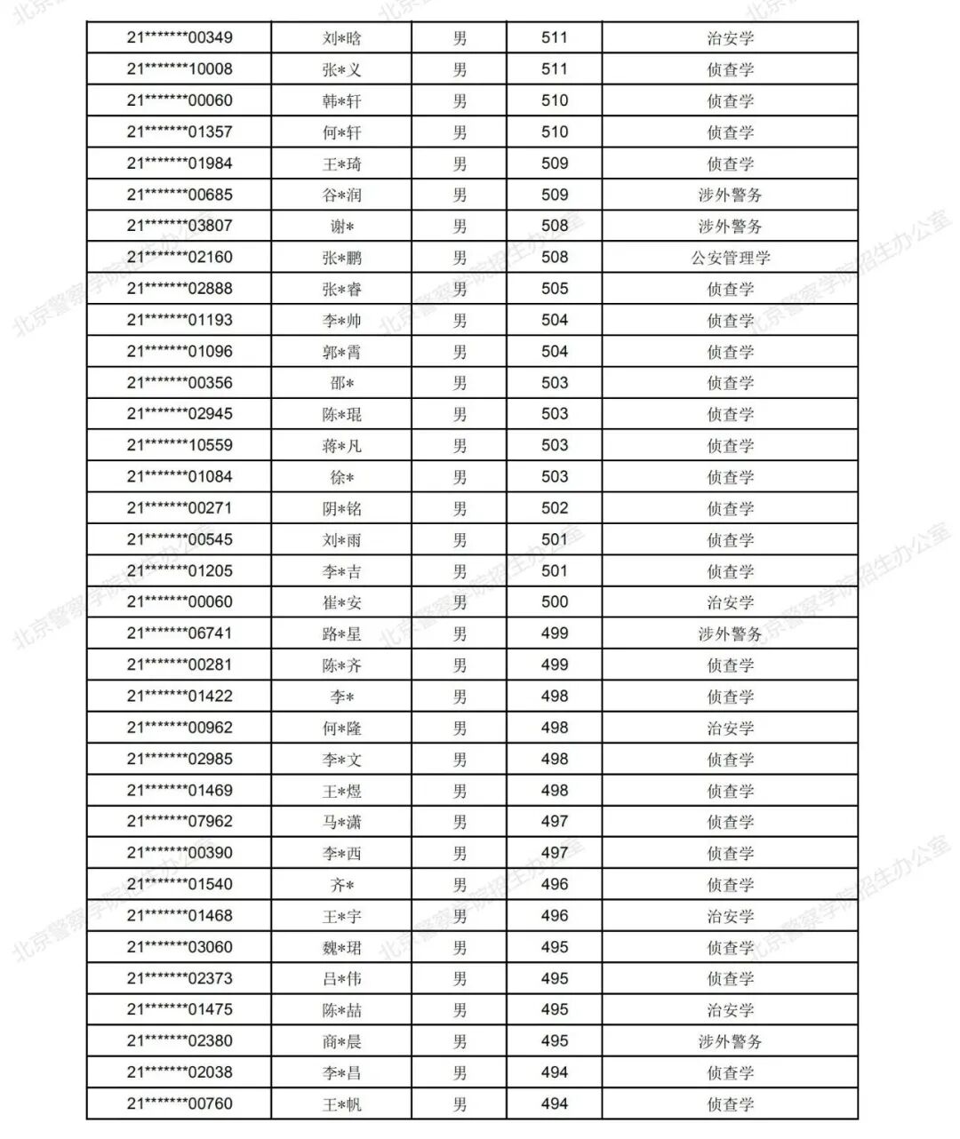
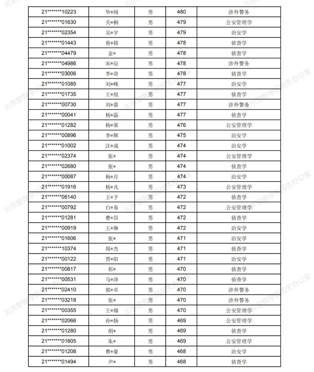
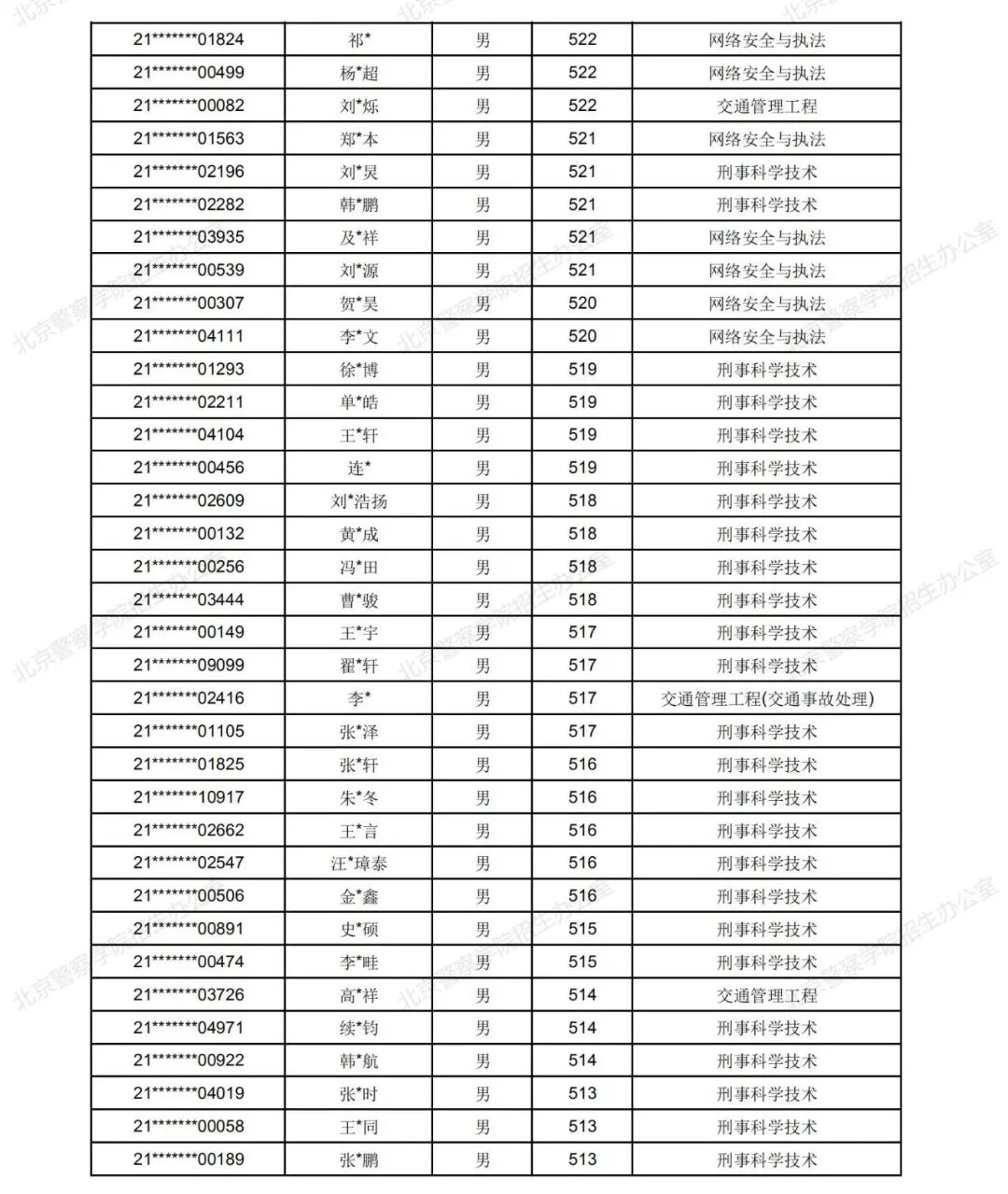
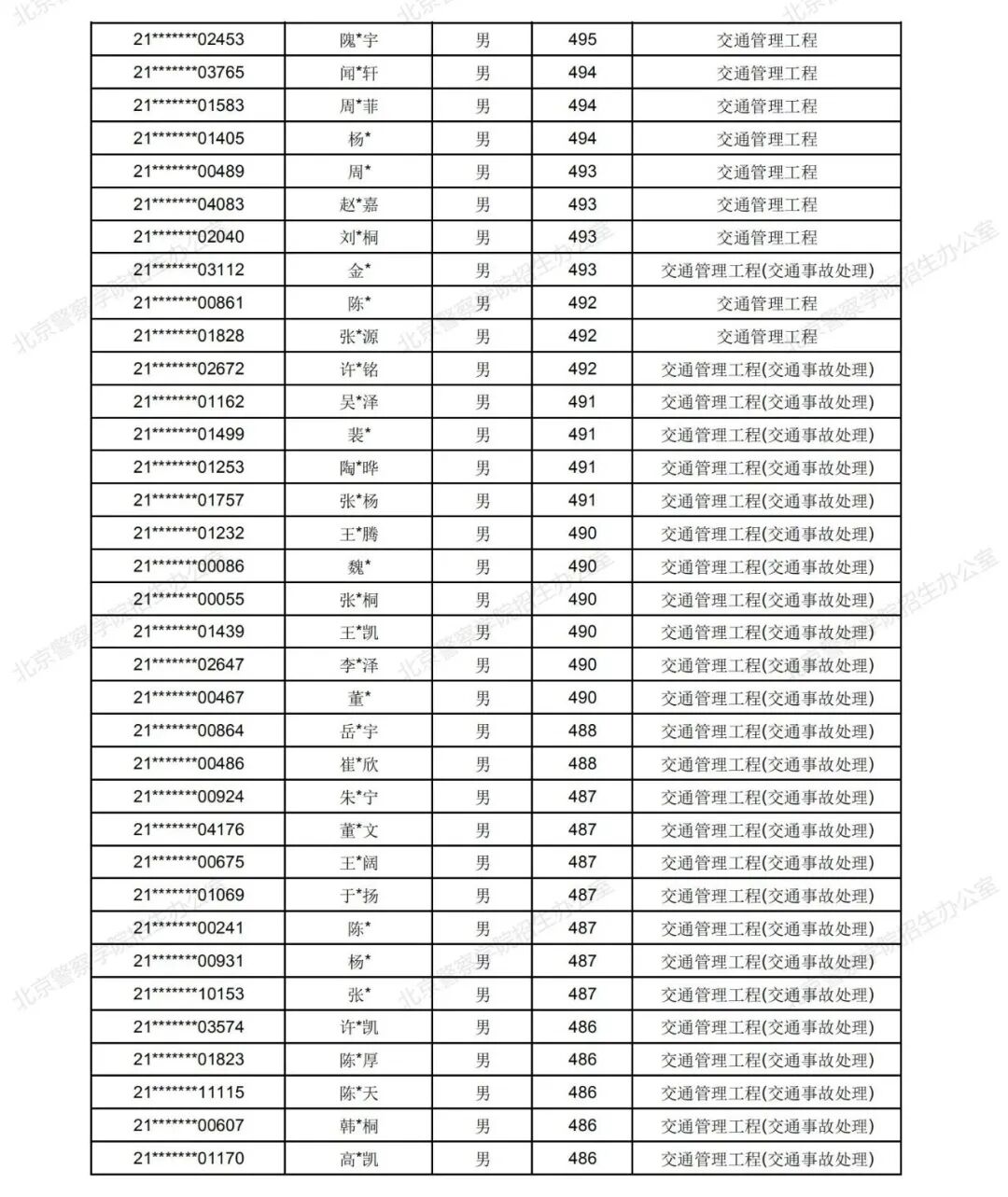
北京警察学院2021年本科招生录取名册



图片

图片

图片

图片

图片

图片

图片

图片

图片

图片

图片

图片

图片

图片

图片





登录高考直通车APP
查看完整试题答案
好的
查看完整试题
特别声明:
1. 本站注明稿件来源为其他媒体的文/图等稿件均为转载稿,本站转载出于非商业性的教育和科研之目的,并不意味着赞同其观点或证实其内容的真实性。如转载稿涉及版权等问题,请作者在两周内速来电或来函联系,本站根据实际情况会进行下架处理。
2. 任何媒体、网站或个人未经本网协议授权不得转载、链接、转贴或以其他方式复制发表,违者本站将依法追究责任。
举报理由选择
确定
高考直通车官网

哇哦!快加入高考直通车APP,发现更多精彩内容,与学霸一起交流学习吧!