根据《山东省教育厅 山东省人民政府征兵办公室 山东省退役军人事务厅关于做好2026年普通高等教育专科升本科考试招生工作的通知》(鲁教学函〔2025〕24号)和《山东省教育招生考试院关于做好山东省2026年普通高等教育专科升本科招生考试报名工作的通知》(鲁招考〔2025〕125号)要求,现将我校2026年专升本高校推荐生、小语种考生名单予以公示。
公示时间:2026年1月26日至2026年2月1日
公示期间如有异议,可通过书面形式向教务处反映,地点:行政楼B205。
0537-3196209、3196696,邮箱:zsb@jnxy.edu.cn。
济宁学院教务处
2025年1月26日
附件可下载:
附件:
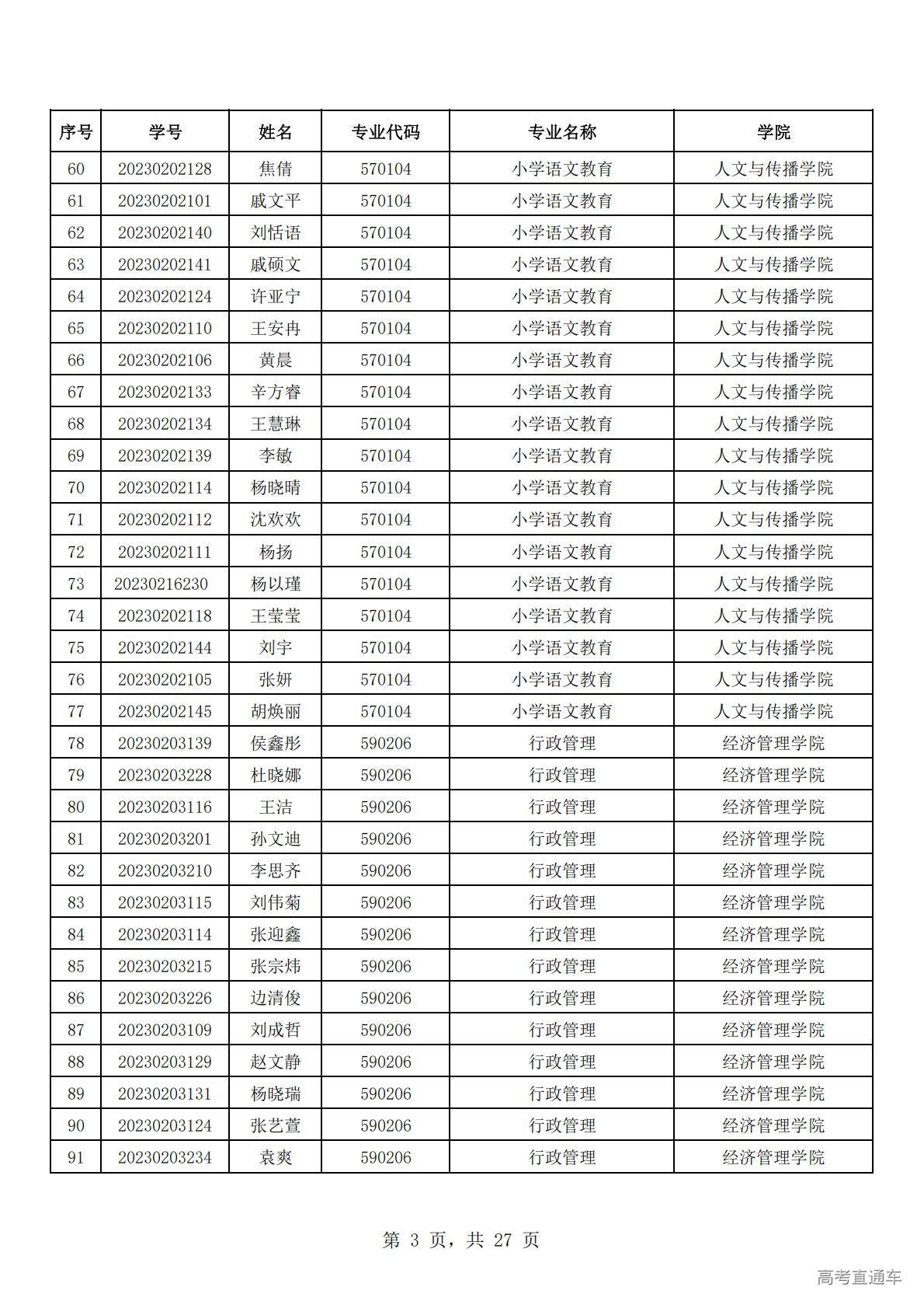
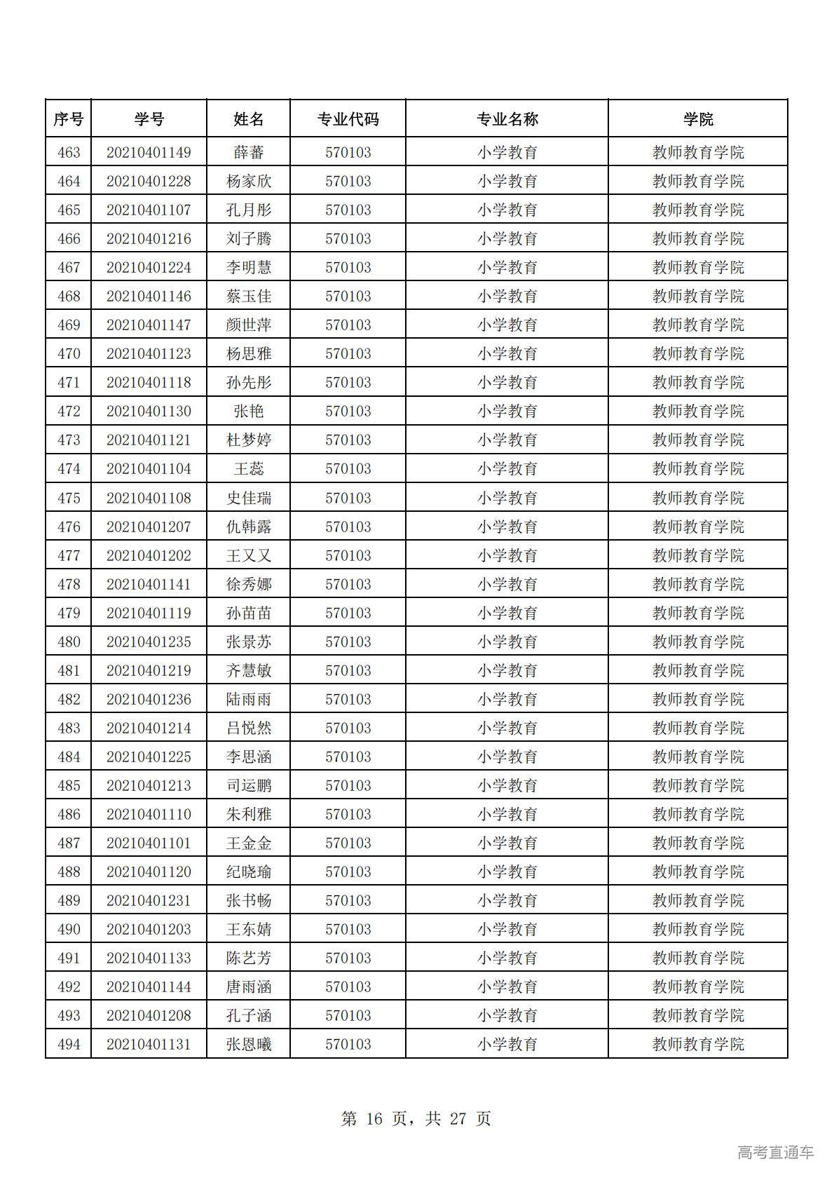
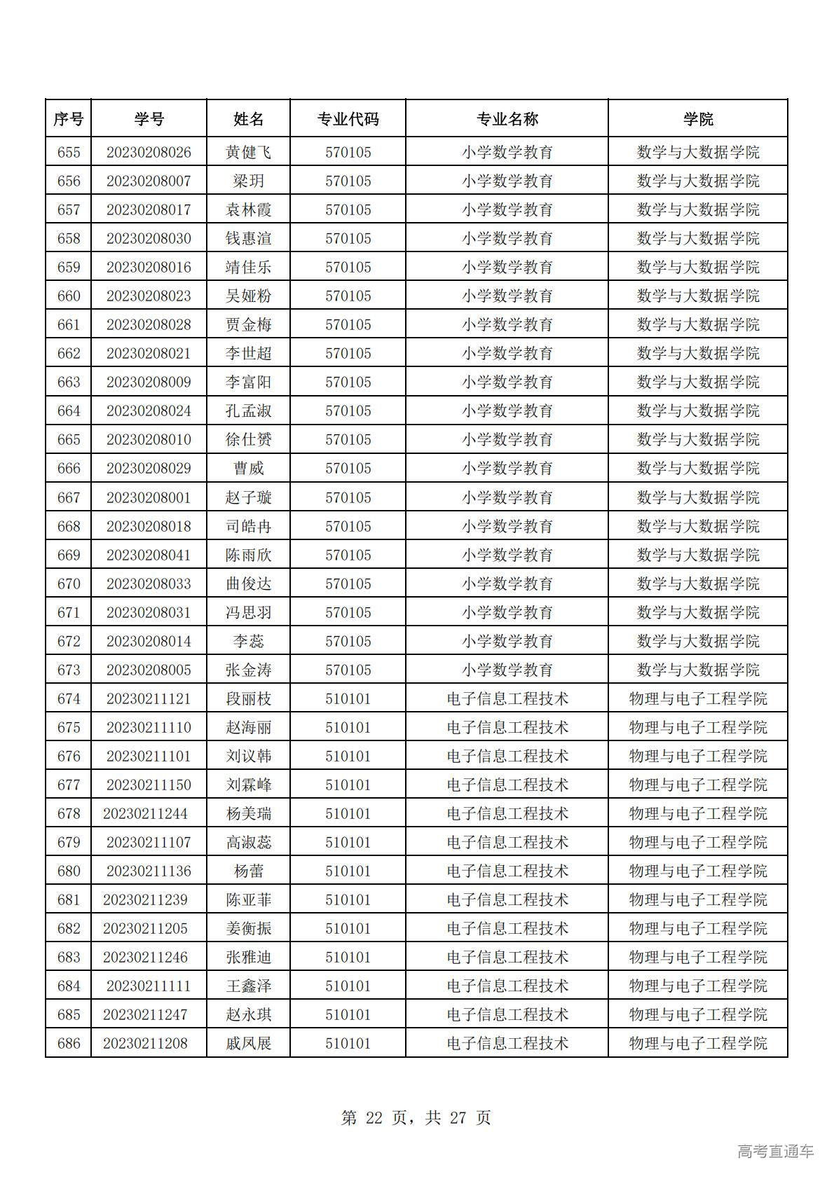
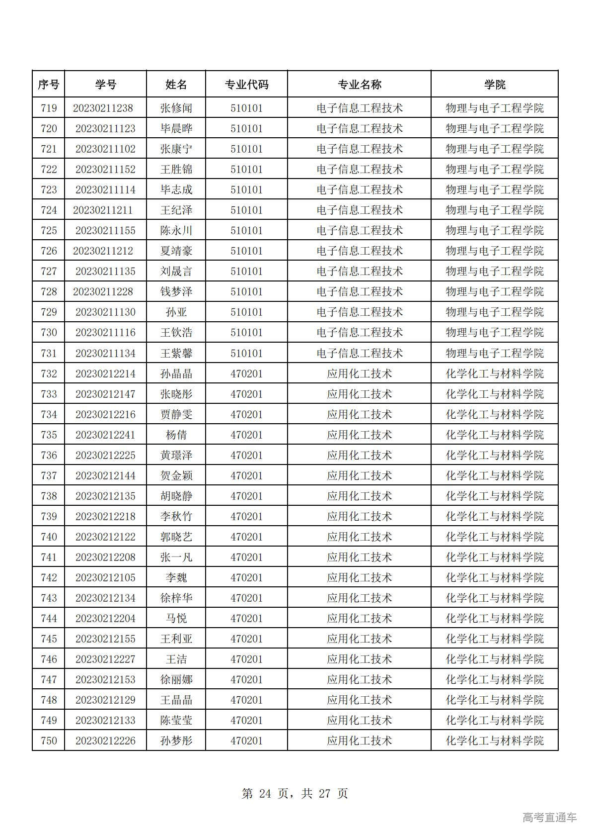
济宁学院2026年专升本高校推荐生名单
济宁学院2026年专升本小语种考生名单





























