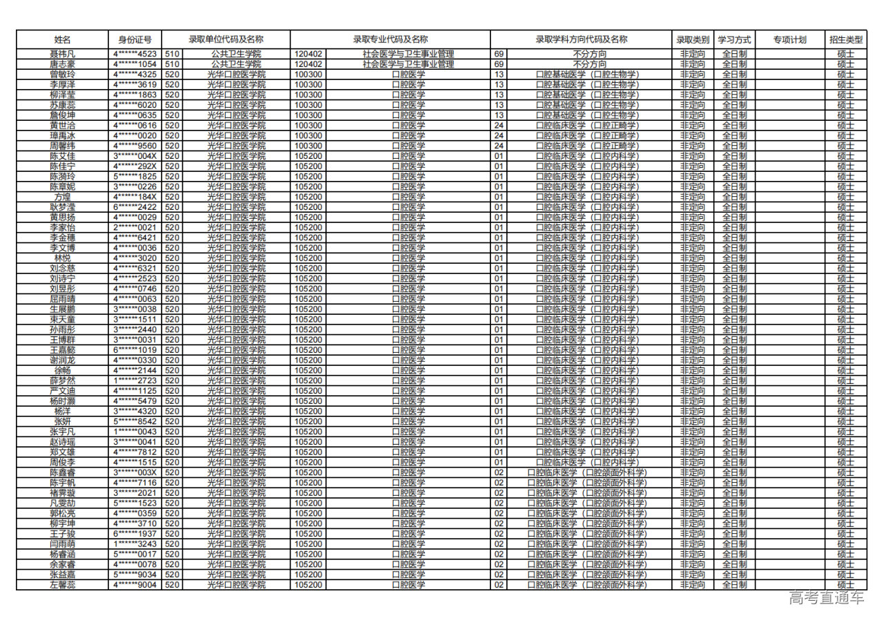
根据教育部和广东省教育考试院的统一部署,我校2025年推免生(含推免硕士生和直博生)接收工作已结束,现将拟录取名单予以公示,名单见附件,并将有关事项通知如下:
一、公示期:10月28日—11月8日。
二、考生体检结果正在审核中,学校将严格按照《普通高等学校招生体检工作指导意见》决定是否录取。拟录取名单若有变动,将另文公示。
三、考生若对拟录取结果有异议,请在公示期内署真实姓名向学校反映。受理电话与信箱:020-84111686,020-84113696,yzba@mail.sysu.edu.cn。
四、校内各招生单位剩余的统考招生计划,以各单位复试前公布的信息为准,请考生留意各招生单位网站公布的招生信息。
中山大学研究生招生办公室
2024年10月28日
附件:中山大学2025年拟录取推荐免试研究生名单(含推免硕士生和直博生)


























































