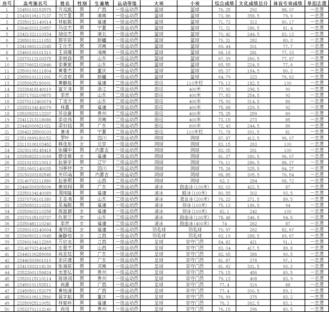
根据国家体育总局办公厅和教育部办公厅制定的《2023年普通高等学校运动训练、武术与民族传统体育专业招生管理办法》(体科字〔2022〕224号))和《华侨大学2023年运动训练专业招生简章》等文件规定,确定2023年运动训练专业拟录取名单如下,正式录取名单以教育部、国家体育总局及各省招生部门审核通过为准。(我校运动训练专业招生计划50人,一志愿已录满,不再招收二志愿考生。)
本名单公示期为2023年5月18日-5月24日。有疑义者请于公示期内提出,逾期不予受理。
华侨大学招生处
2023年5月18日
联系方式:
【华侨大学招生处】
电话:0595-22695678
邮箱:hquzsb@hqu.edu.cn
网址:https://zsc.hqu.edu.cn
【华侨大学纪检监察办公室】
电话:0595-22693678
邮箱:jjh@hqu.edu.cn
网址:https://jijian.hqu.edu.cn/
