第一章总则
为保障学校招生工作顺利进行,维护学校和广大考生的合法权益,依据教育部和河南省教育厅有关文件精神,结合学校实际情况,特制定本章程。
第一条本章程适用于濮阳职业技术学院普通专科招生工作。
第二条濮阳职业技术学院招生工作贯彻执行“公平、公正、公开”和择优录取的原则。
第三条濮阳职业技术学院招生工作接受纪检部门、考生及社会各界的监督。
第二章学校概况
第四条学校全称:濮阳职业技术学院
第五条学校国标代码:11787
第六条在豫招生代码:6272
第七条办学性质:公办普通高等职业院校
第八条办学地点:濮阳市黄河西路249号
第九条办学层次:专科
第十条学习形式:全日制
第十一条主管单位:河南省教育厅
第十二条毕业颁证:学生在学校规定学习年限内,修完教学计划规定内容,成绩合格,达到学校毕业要求的,颁发毕业证书,并在中国高等教育学生信息网进行学历电子注册。颁发学历证书学校名称:濮阳职业技术学院。证书种类:全日制普通高等院校专科毕业证书。
第三章组织机构
第十三条濮阳职业技术学院设有招生工作领导小组,负责制定招生政策,决定招生工作中的重大事宜。
第十四条濮阳职业技术学院招生办公室是组织和实施招生工作的常设机构,在学校招生工作领导小组领导下,具体负责濮阳职业技术学院的日常招生工作。
第四章招生范围、对象与招生计划
第十五条招生范围和对象
(一)招生范围
主要面向河南省,省外计划以教育部计划来源系统审批为准。
(二)招生对象
1.报名参加2022年普通高等学校招生全国统一考试的考生。
2.报名参加2022年河南省中等职业学校毕业生对口升学考试的考生。
第十六条招生计划
1.年度招生计划经学校招生工作领导小组审定后上报,以上级主管部门批复为准。
2.根据教育厅批复的年度招生计划,基于我校办学条件及人才社会需求,合理分配普通高考招生计划、对口招生计划及分省招生计划。学校分专业招生计划以上级主管部门公布为准。
3.积极履行促进入学机会公平的社会职责,优化生源结构、促进区域均衡。
4.坚持统筹兼顾、平稳有序、动态调整,稳步提升生源质量。
第十七条各批次招生执行过程中,如生源不足,剩余计划转入到下一批次统招计划。
第五章录取
第十八条按照教育部及各招生省份有关文件精神,本着公平、公正、公开的原则,以高考成绩为依据,德智体美全面衡量,择优录取。
第十九条录取规则
1.严格执行有关省、自治区、直辖市《2022年普通高等学校招生工作规定》中的相关政策,对于进档考生,根据考生的专业志愿,按照投档成绩从高分到低分择优录取,第一专业志愿不能满足时,按其第二专业志愿录取,仍不能满足的按其第三专业志愿录取,以此类推。当所有专业志愿均不能满足时,对于服从专业调剂的考生,将其调剂录取到计划未满的专业;若不服从专业调剂,作退档处理。同分数的考生,按照语文、数学、外语、综合的顺序,从高分到低分择优录取。
2.艺术类专业录取原则:
音乐类、舞蹈类文化课考试成绩及专业测试成绩均达到省定控制分数线的考生,按专业课成绩从高分到低分择优录取,同分数的考生,按照文化课成绩总分、语文、数学、外语、综合的顺序,从高分到低分择优录取。若生源省份有明确的平行志愿投档规则,按其投档规则执行;若无明确投档规则,按我校录取规则投档。
美术类按照河南省统一设定的投档排序成绩计算办法进行录取,同分数的考生,按照语文、数学、外语、综合的顺序,从高分到低分择优录取。若生源省份有明确的投档规则,按其投档规则执行;若无明确投档规则,按我校录取规则投档。
3.体育类专业录取原则:采用平行志愿方式,按照河南省统一设定的投档排序成绩计算办法进行录取,同分数的考生,按照语文、数学、外语、综合的顺序,从高分到低分择优录取。若生源省份有明确的平行志愿投档规则,按其投档规则执行;若无明确投档规则,按我校录取规则投档。
第二十条对享受加分政策的考生,按考生所在省、直辖市、自治区招办的规定执行。
第二十一条各专业录取考生不限男女比例。录取时外语语种不限,教学使用外语语种为英语。
第二十二条对考生的身体健康要求,执行教育部、原卫生部、中国残疾人联合会印发的《普通高等学校招生体检工作指导意见》及有关补充规定。
第二十三条对不符合国家招生有关规定或专业计划已满又不服从专业调剂的考生给予退档处理。
第六章收费标准及奖助措施
第二十四条收费标准
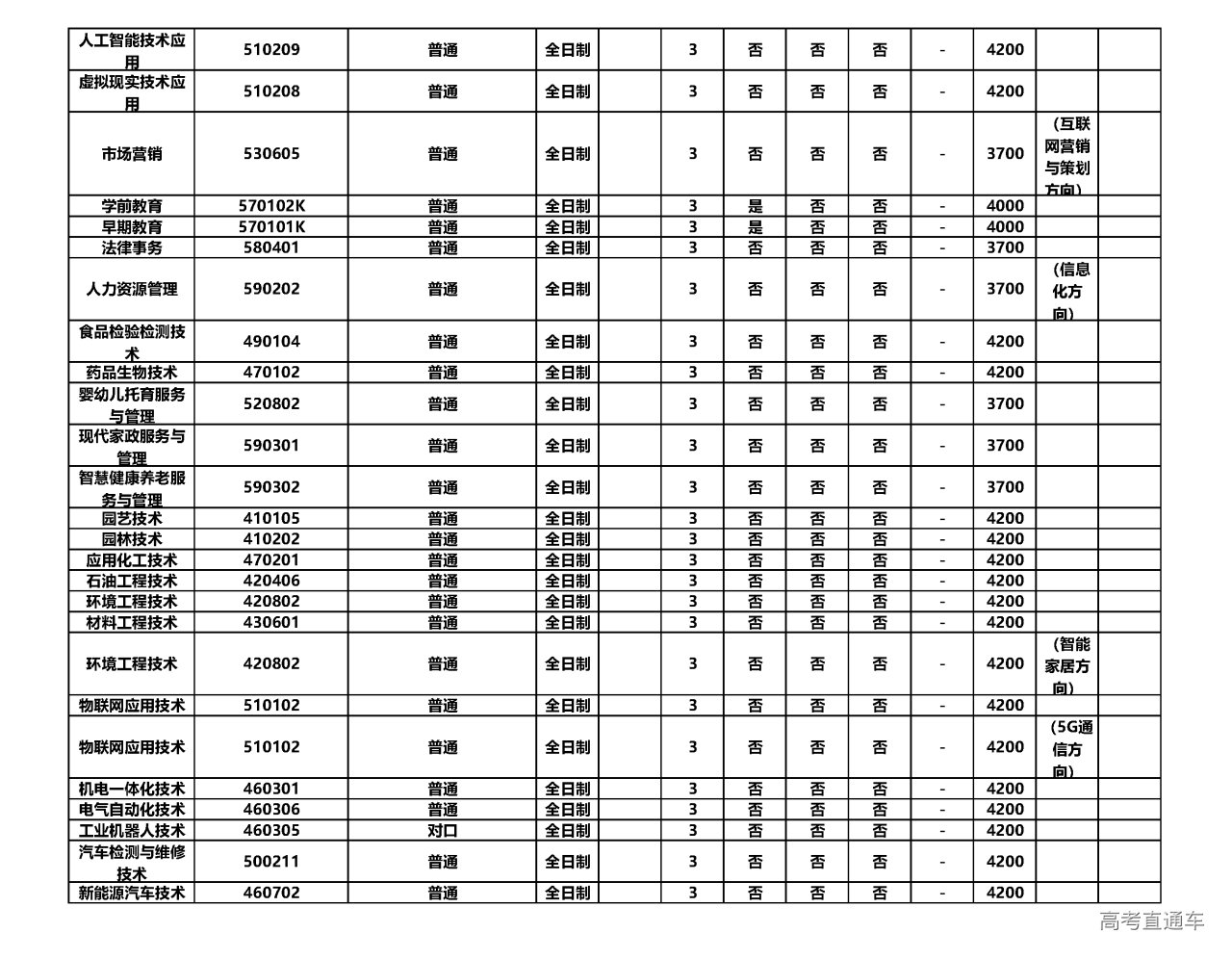
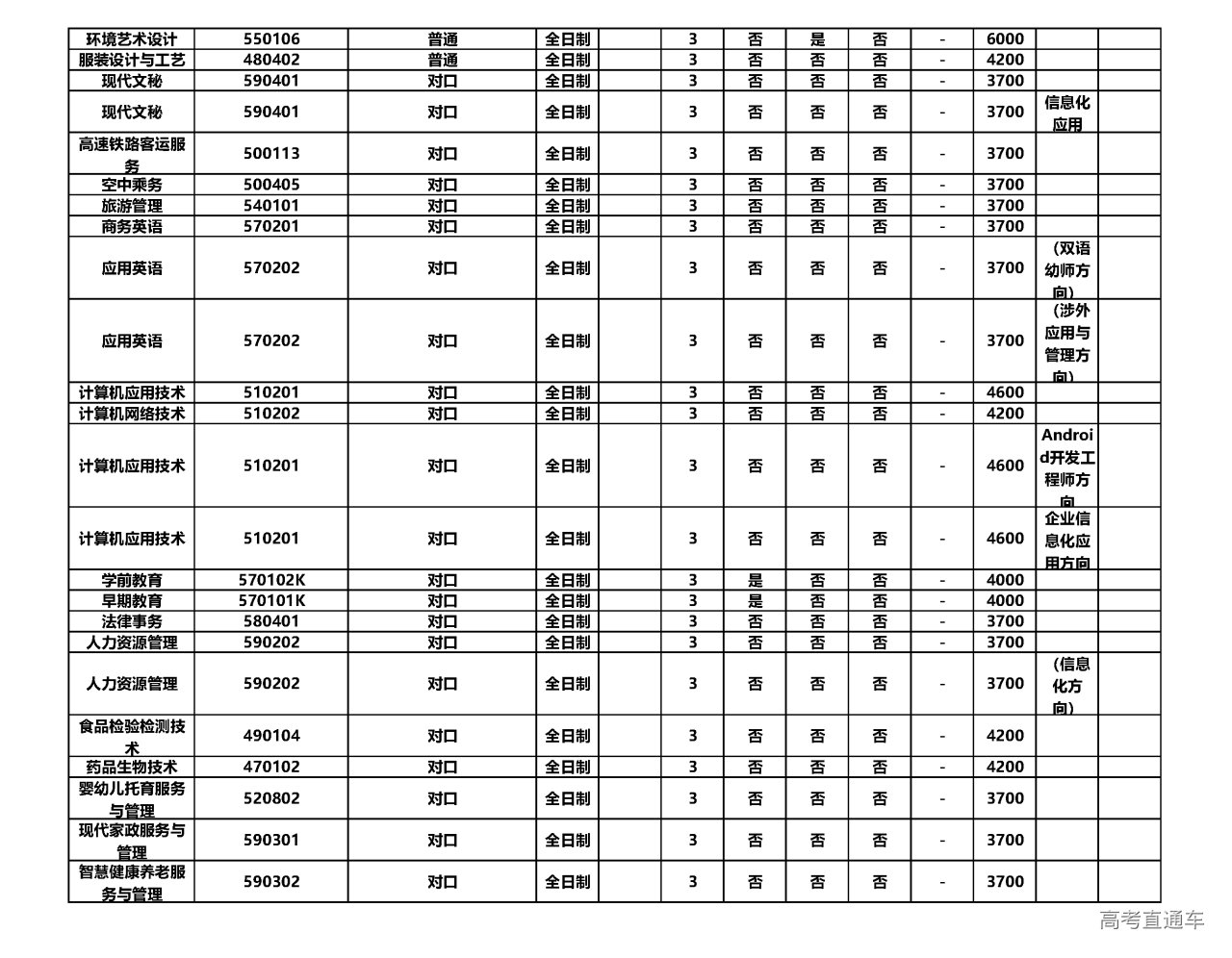
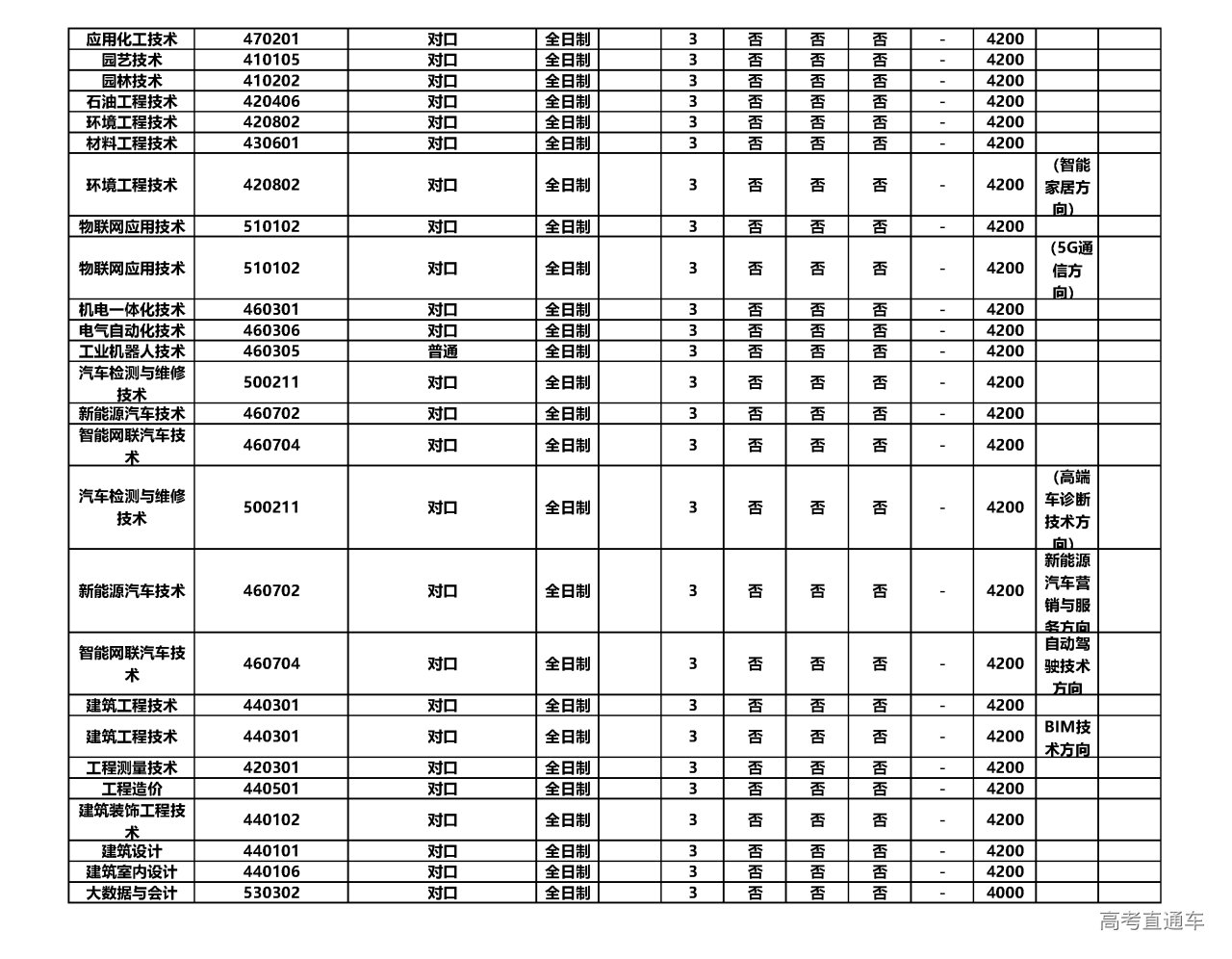
根据《河南省发展和改革委员会河南省财政厅河南省教育厅关于调整公办普通高校学费标准的通知》(豫发改收费〔2020〕456号)的文件精神,制定收费标准。其中,学费标准:文史类专业中小学语文教育、学前教育、早期教育、大数据与会计、大数据与会计(会计师方向)、大数据与会计(注册会计师方向)学费为4000元/生·年,其余专业学费为3700元/生·年;理工类专业中计算机应用技术、计算机应用技术(企业信息化应用方向)、计算机应用技术(Android开发工程师方向)、大数据技术学费为4600元/生·年,其余专业学费为4200元/生·年;艺术类专业学费6000元/生·年。住宿费标准:700元/生·年。
第二十五条奖助措施
学校设立国家奖学金(8000元/生·年)、国家励志奖学金(5000元/生·年)、国家助学金(3300元/生·年)、校长奖学金(10000元/生·年)以及优秀学生奖学金等。学生在校期间最高可享受国家助学贷款(12000元/生·年),脱贫享受政策户和风险未消除监测对象学生可享受国家助学金(4000元/生·年)。学校开设多个勤工助学岗位,同时开通家庭经济困难学生入学“绿色通道”,先入学、缓缴费。
第七章其他
第二十六条新生复查
新生入校后,我校对新生进行全面复查,对违反招生有关规定入学的学生按教育部、省教育厅有关规定处理。
第二十七条学校不委托任何个人和机构从事招生工作,
对以濮阳职业技术学院名义进行非法招生宣传等活动的机构或个人,学校保留依法追究其责任的权利。
第二十八条本章程若有与国家法律、法规、规章和上级有关政策不一致之处,以国家法律、法规、规章和上级有关政策为准。
第二十九条本章程由濮阳职业技术学院负责解释。
第三十条学校地址:濮阳市黄河路西段(15路、25路、27路、75路(夜班)公交车可直达)。
咨询电话:0393-4677777
传真:0393-4677222
招生纪律监督与接受申诉电话:0393-4676359
邮编:457000
学校网址:http://www.pyvtc.cn
学校招生信息网:http://zs.pyvtc.cn
学校招生微信公众号:濮职院招办





