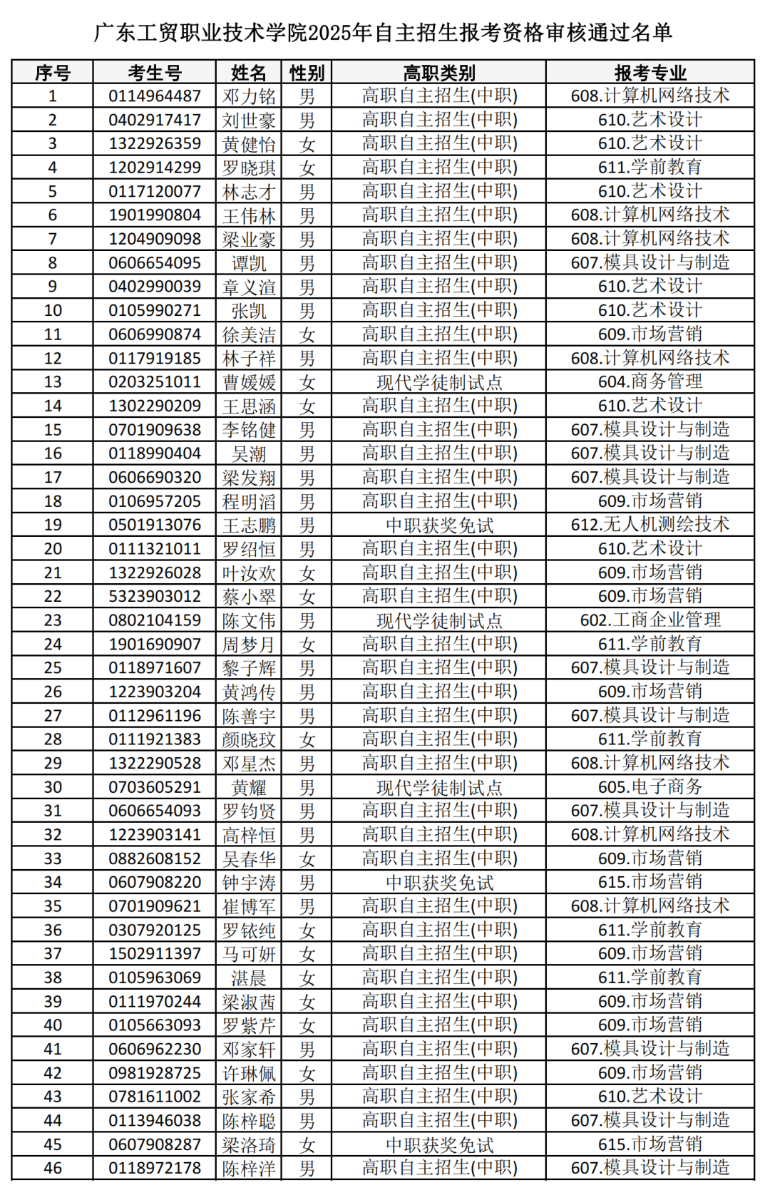
广东工贸职业技术学院2025年自主招生审核通过名单公布

2025-05-13 11:07 广东工贸职业技术学院 评论
广东工贸职业技术学院
广东广州市-公办-理工类
查看详情

2025年自主招生报名审核通过名单如下:



具备了考试资格,请按照学校2025年自主招生考试缴费指引规定时间内完成缴费,否则将无法安排考场。缴费时间为5月11日-5月12日(下午4点)。


登录高考直通车APP
查看完整试题答案
好的
查看完整试题
特别声明:
1. 本站注明稿件来源为其他媒体的文/图等稿件均为转载稿,本站转载出于非商业性的教育和科研之目的,并不意味着赞同其观点或证实其内容的真实性。如转载稿涉及版权等问题,请作者在两周内速来电或来函联系,本站根据实际情况会进行下架处理。
2. 任何媒体、网站或个人未经本网协议授权不得转载、链接、转贴或以其他方式复制发表,违者本站将依法追究责任。
举报理由选择
确定
高考直通车官网

哇哦!快加入高考直通车APP,发现更多精彩内容,与学霸一起交流学习吧!