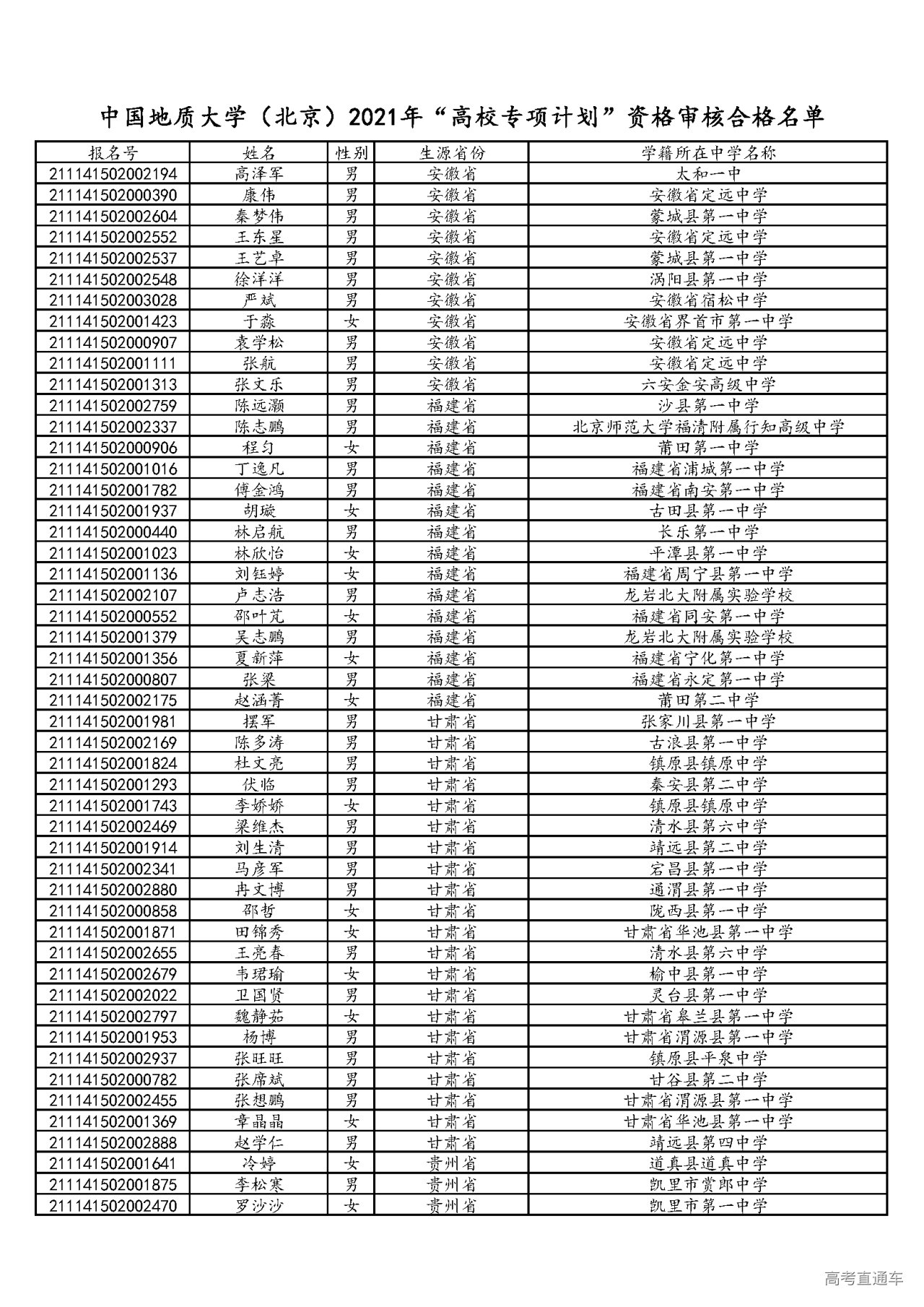
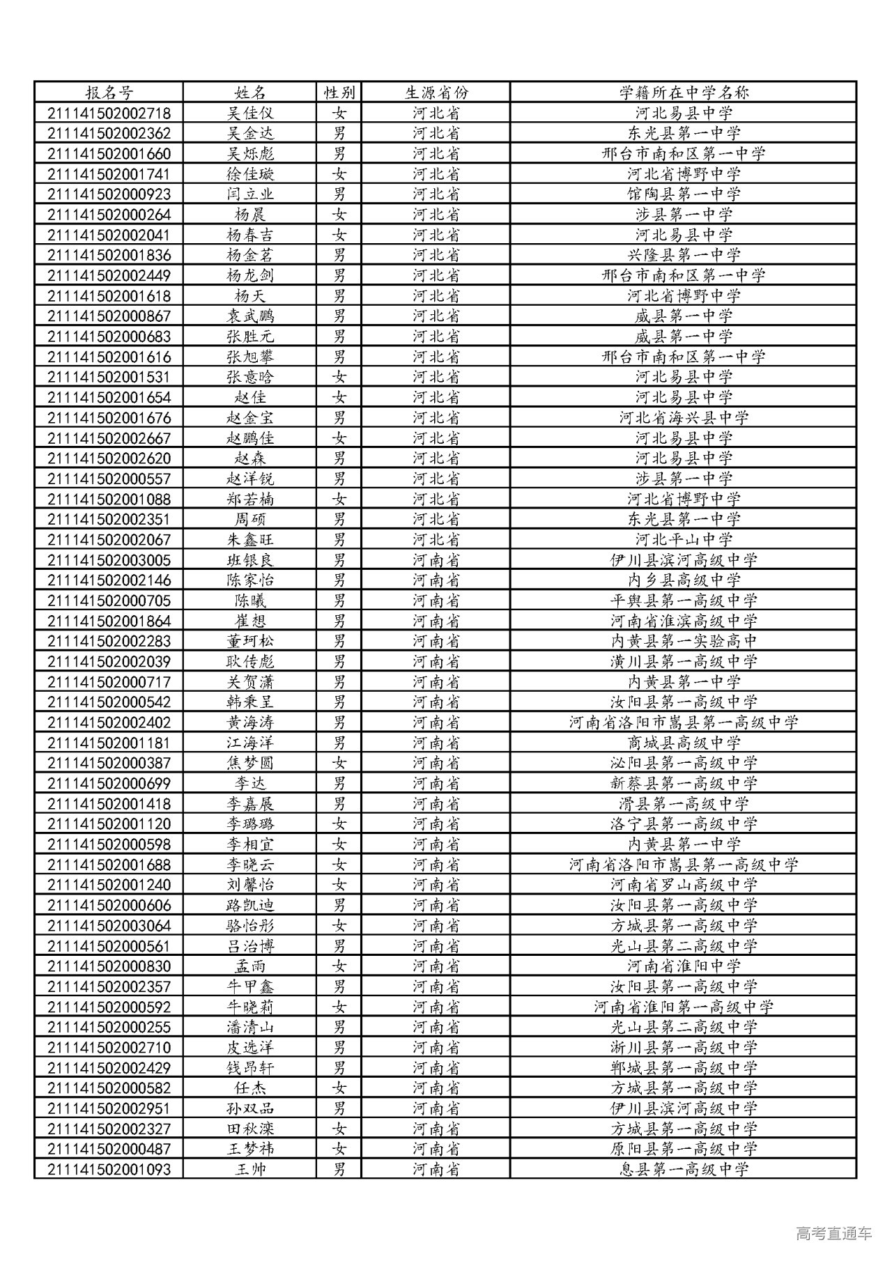
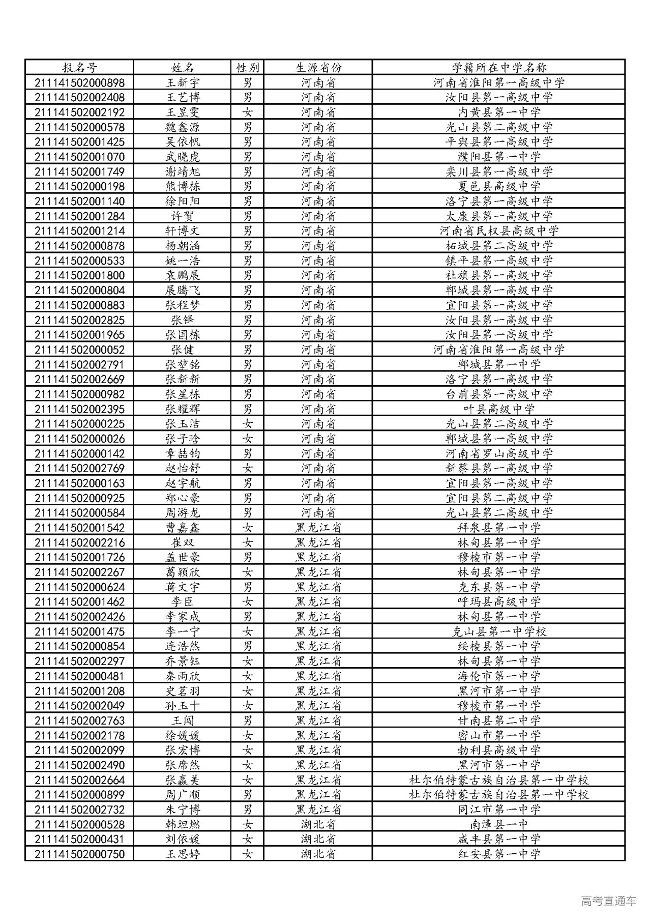
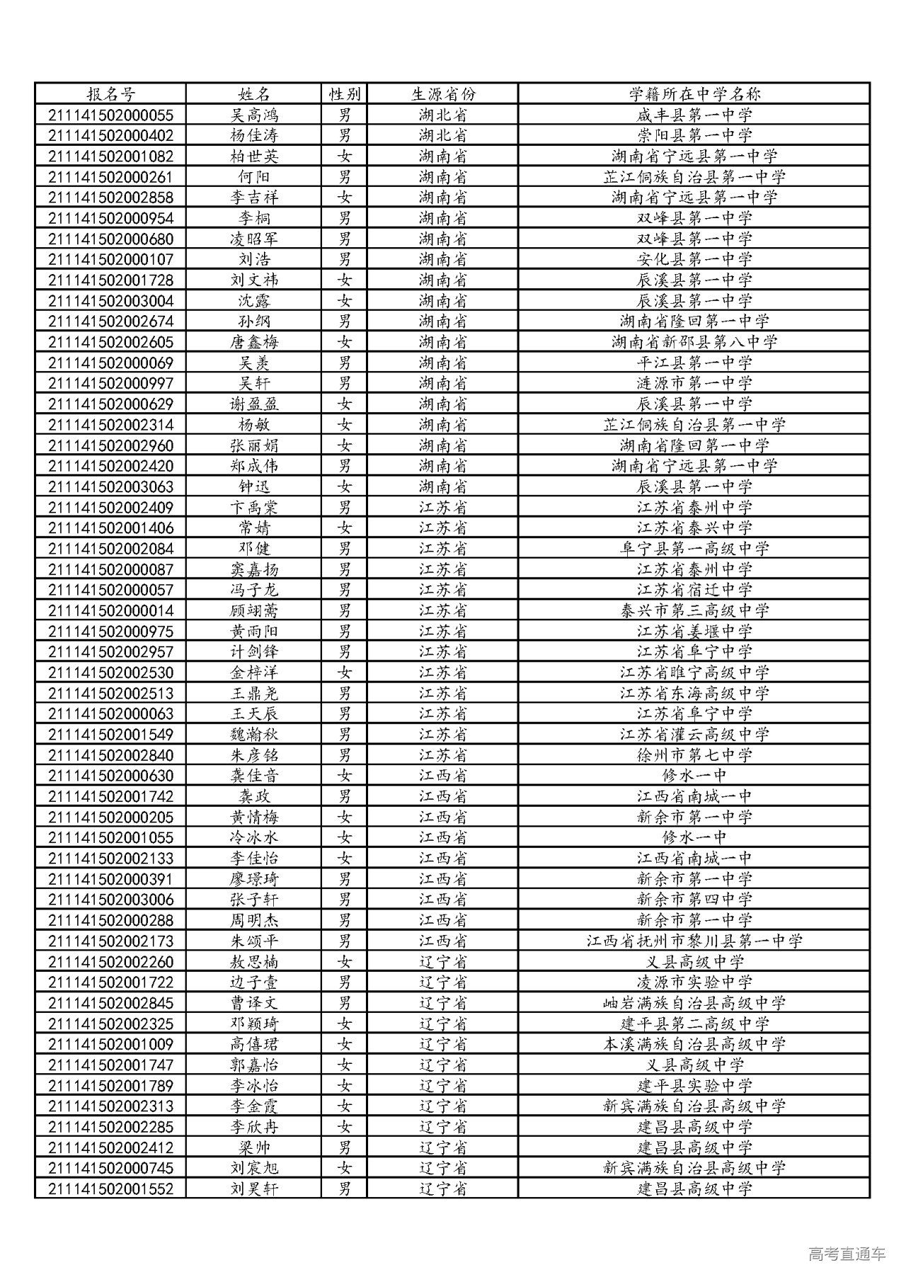
根据中国地质大学(北京)2021年“高校专项计划”招生简章有关规定,现将我校2021年“高校专项计划”资格审核合格名单予以公示,名单见附件。
公示期为2021年6月4日-2021年6月8日。如考生对公示结果有异议,请在公示期间上午8:30-11:30,下午14:30-17:30通过以下方式向我校进行反馈:
招办电话:010-82321259招办传真:010-82326956
招办邮箱:zhsh cugb.edu.cn
纪委监督电话:010-82323776
注:非工作日期间,请通过邮件进行反馈。
按照教育部有关文件要求,合格名单将上报教育部,并在教育部“阳光高考”平台(http://gaokao.chsi.com.cn)进行公示,最终结果以阳光高考平台公示为准。
中国地质大学(北京)招生办公室
2021年6月4日








