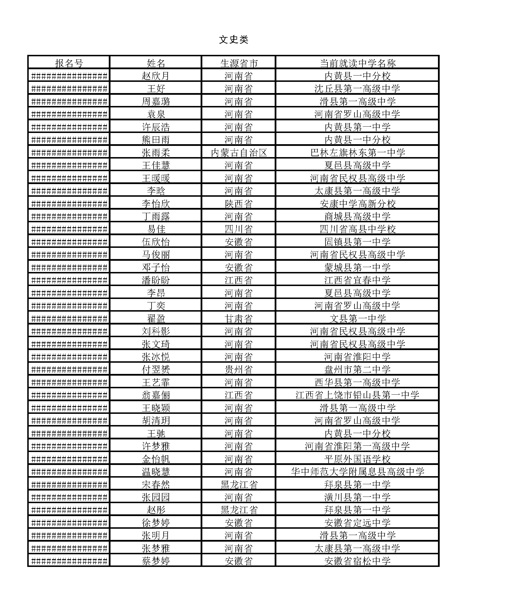
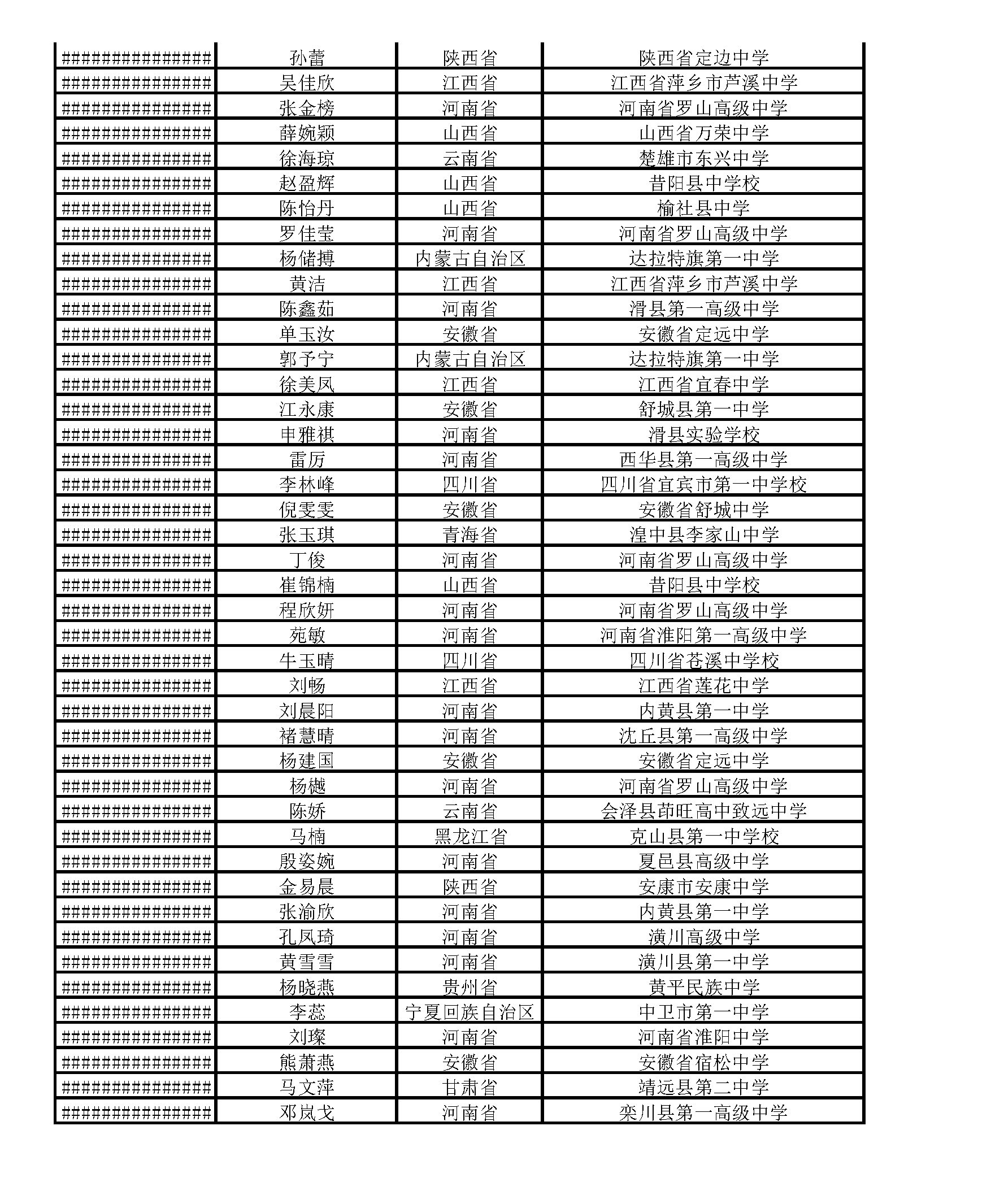
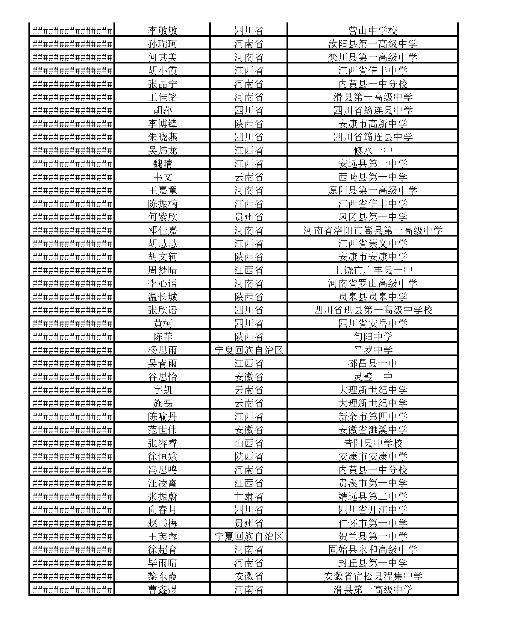
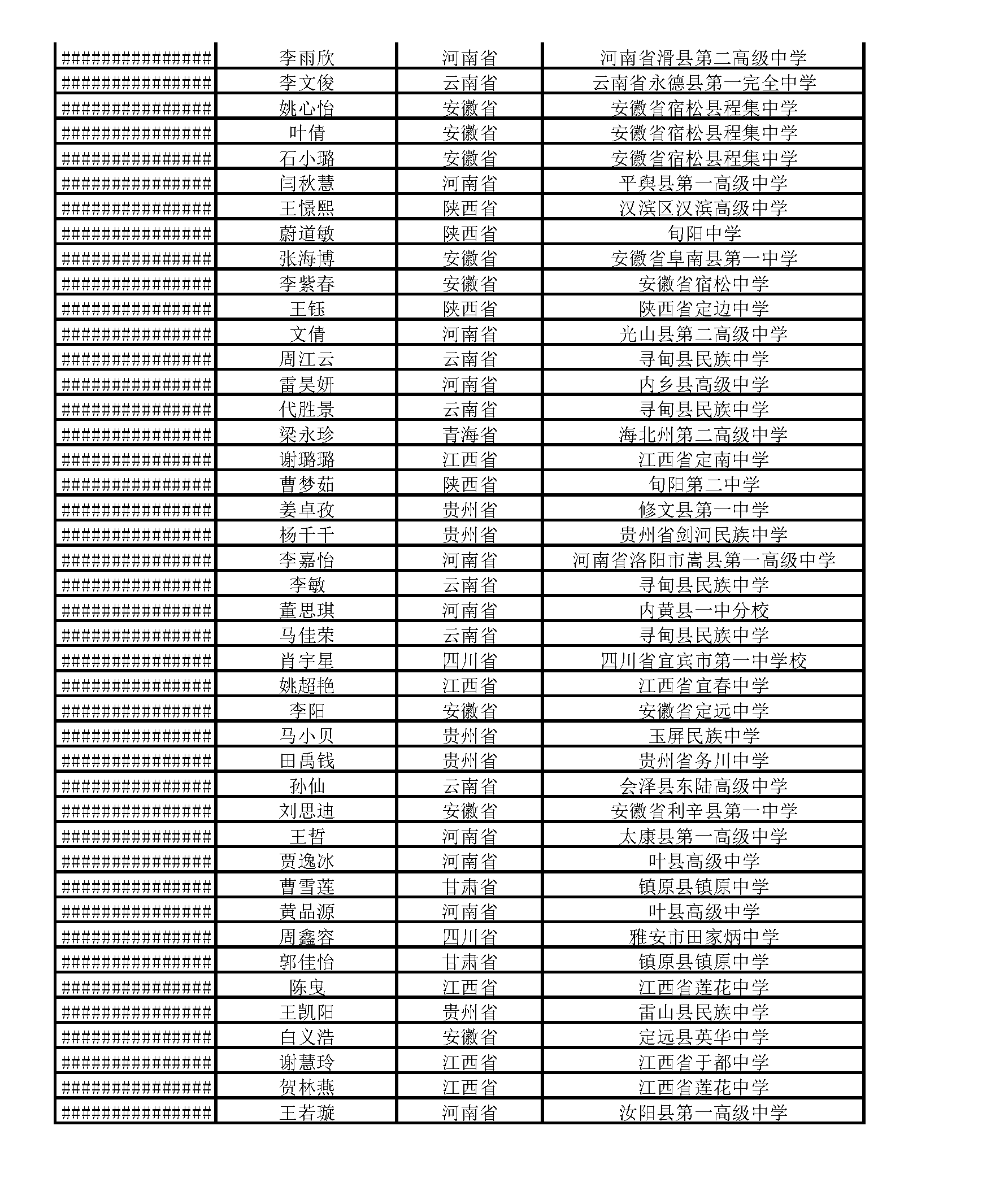
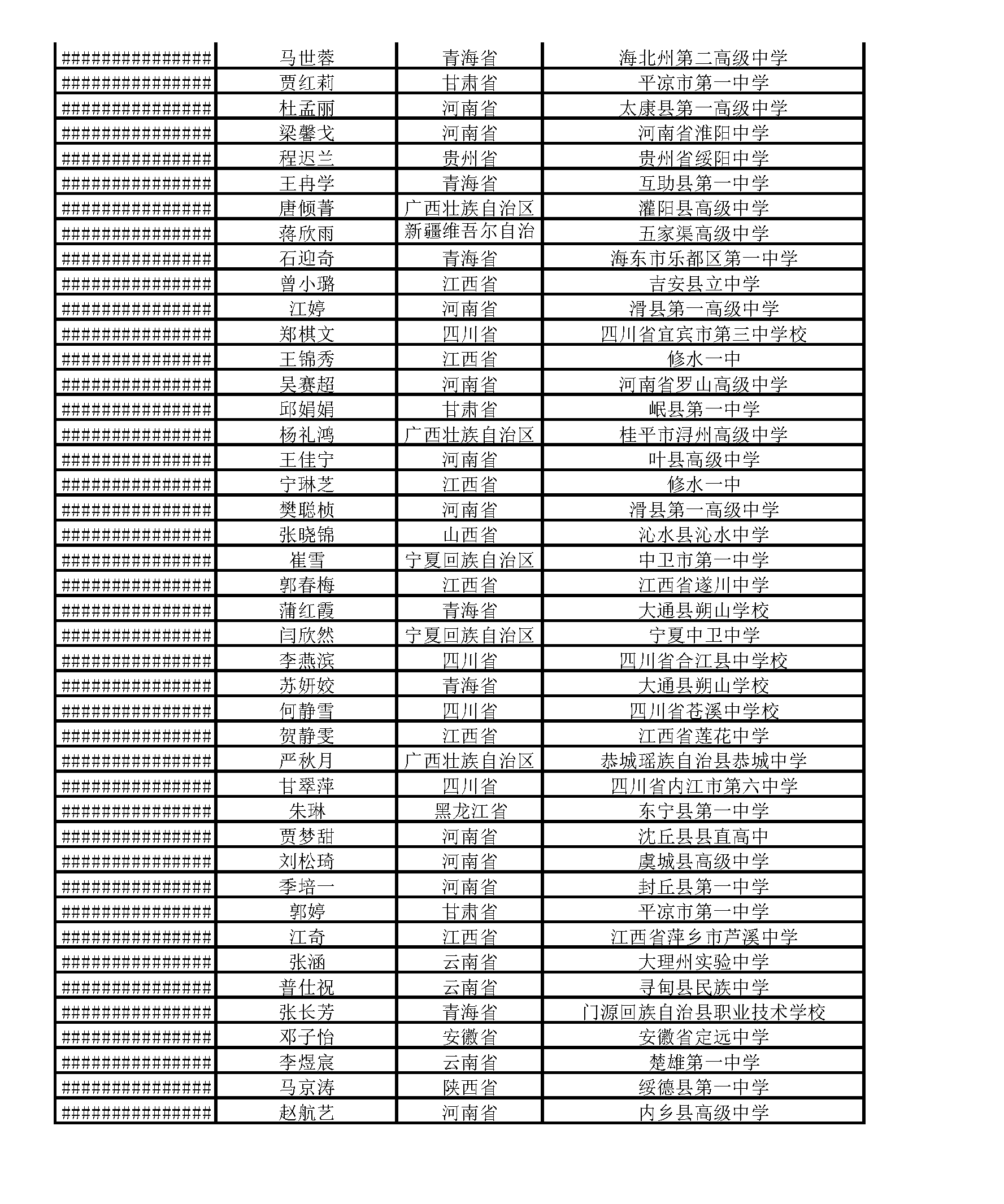
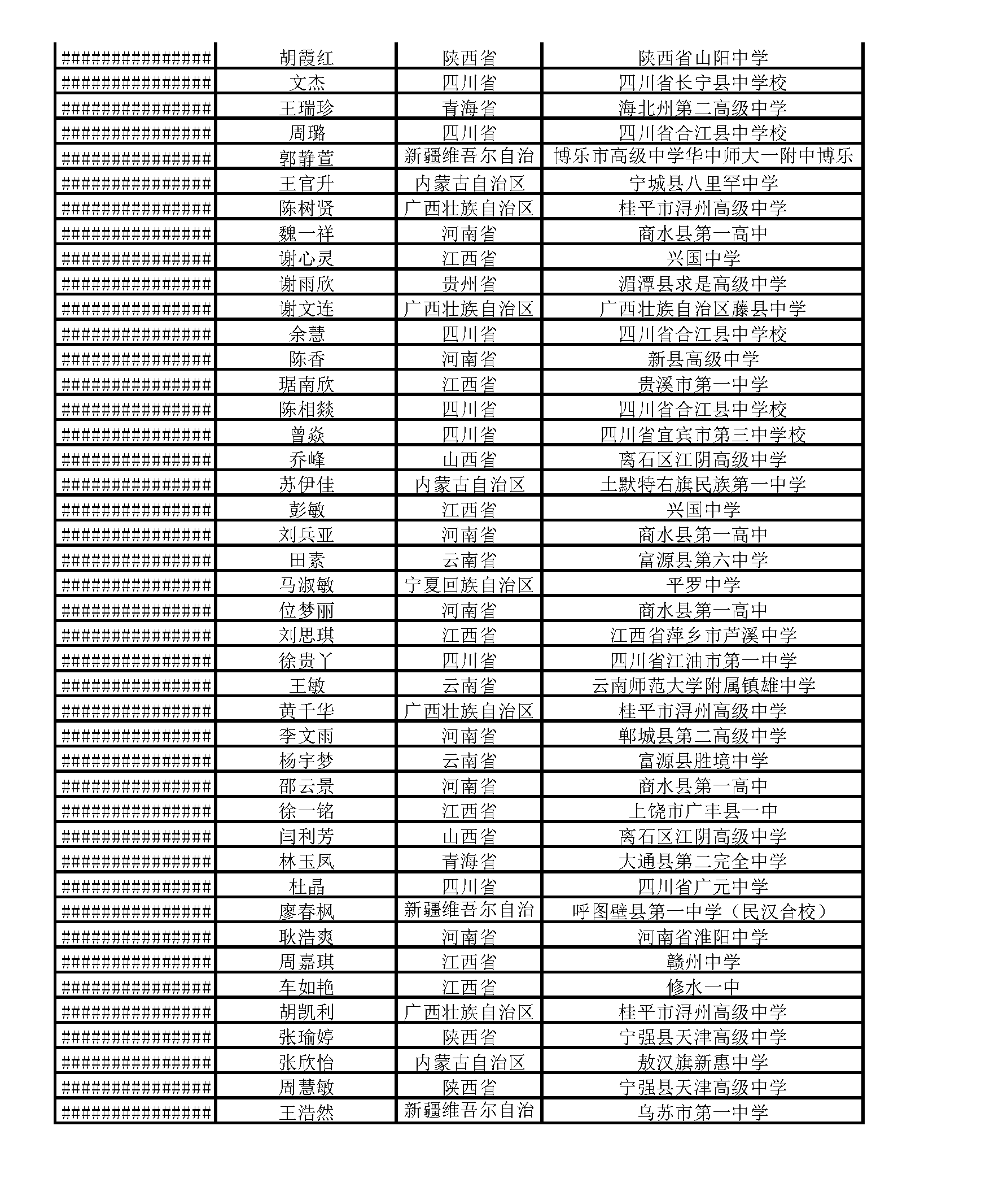
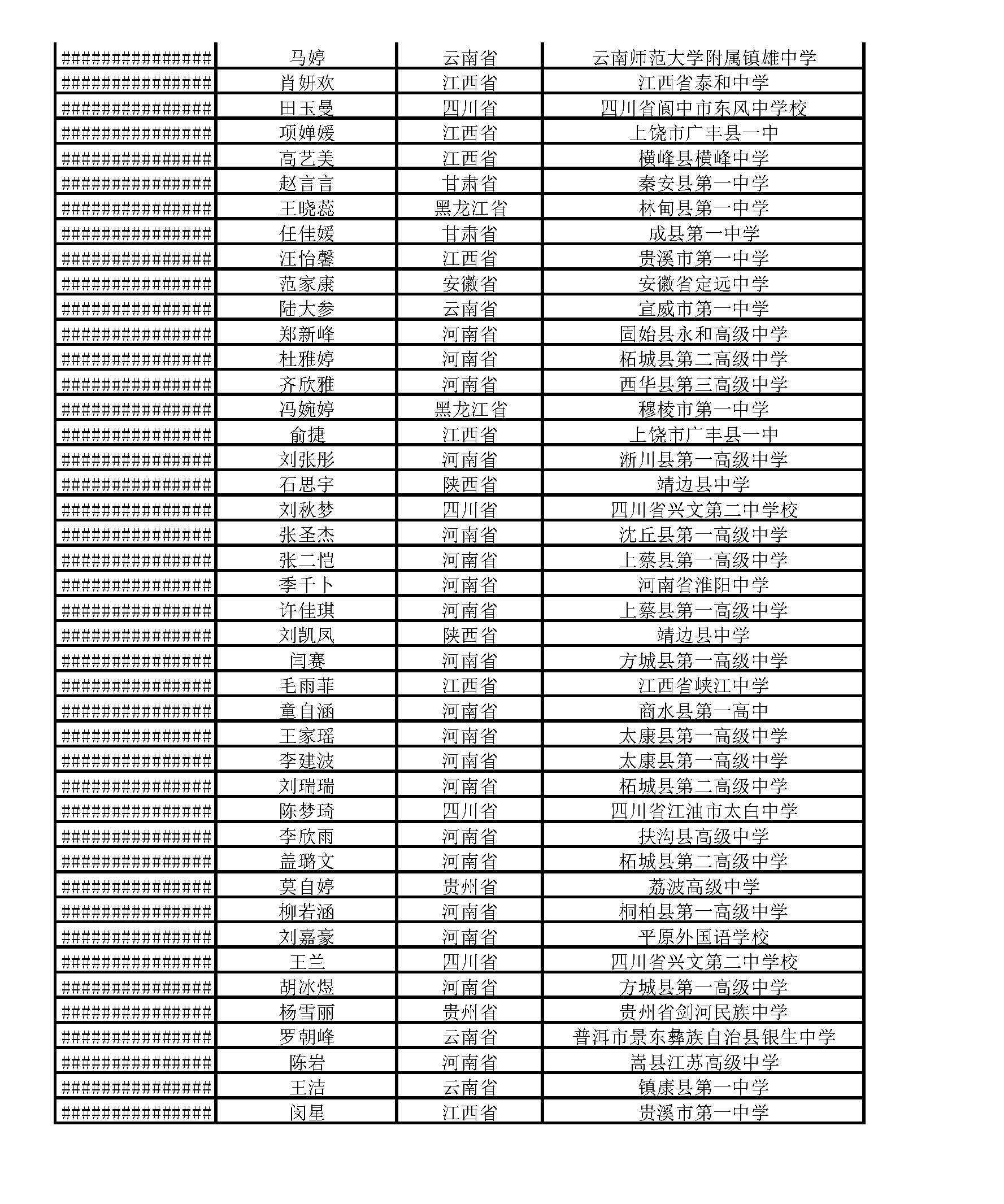
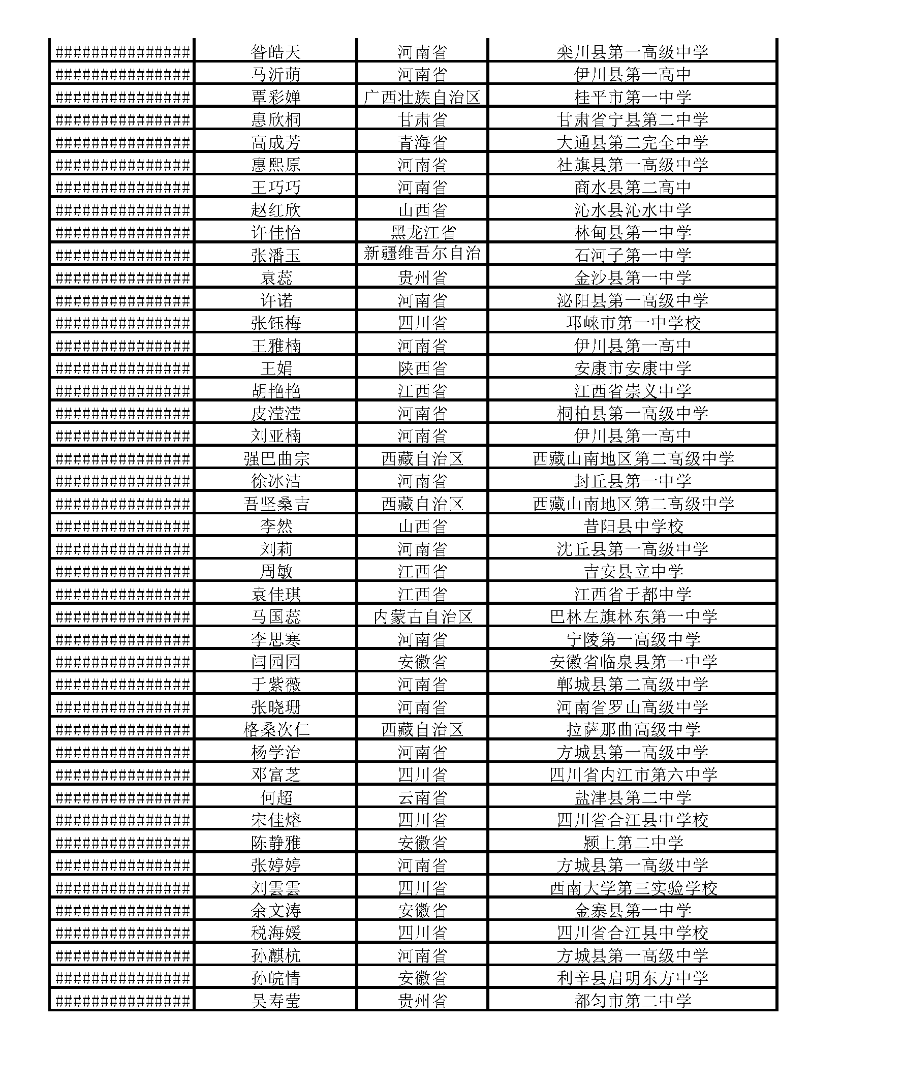
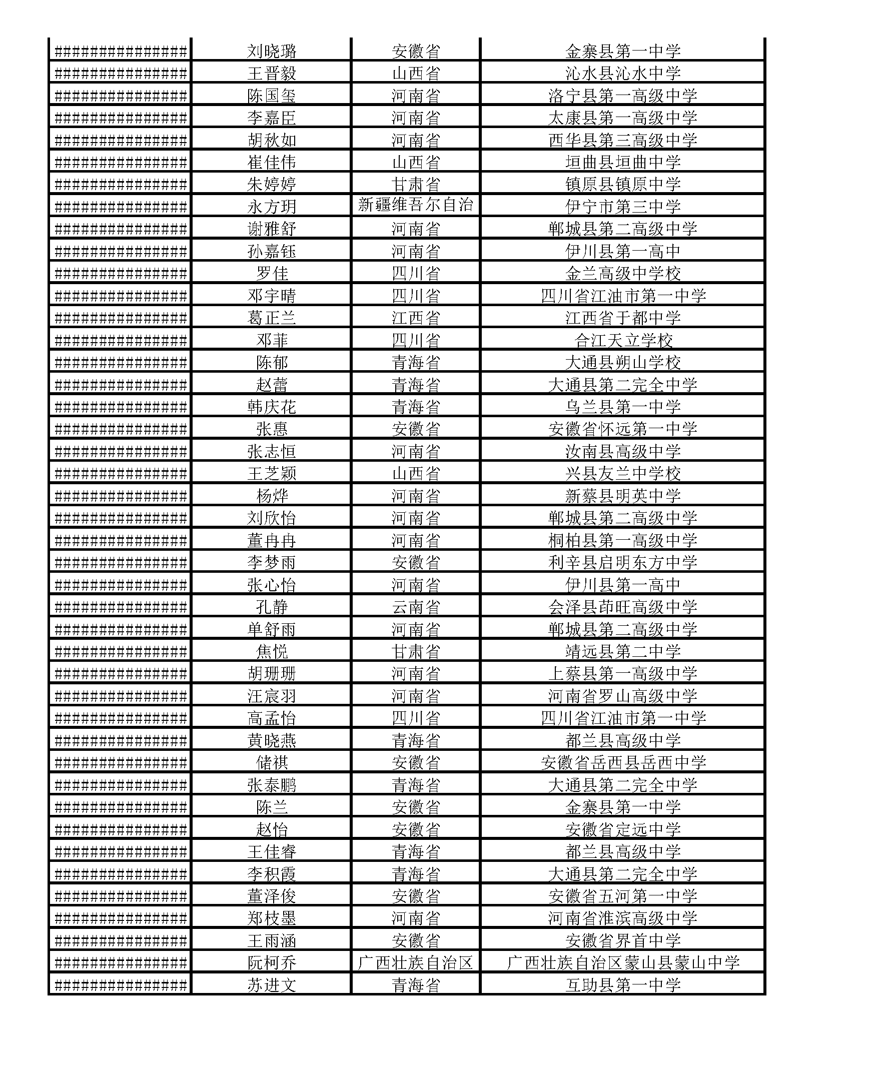
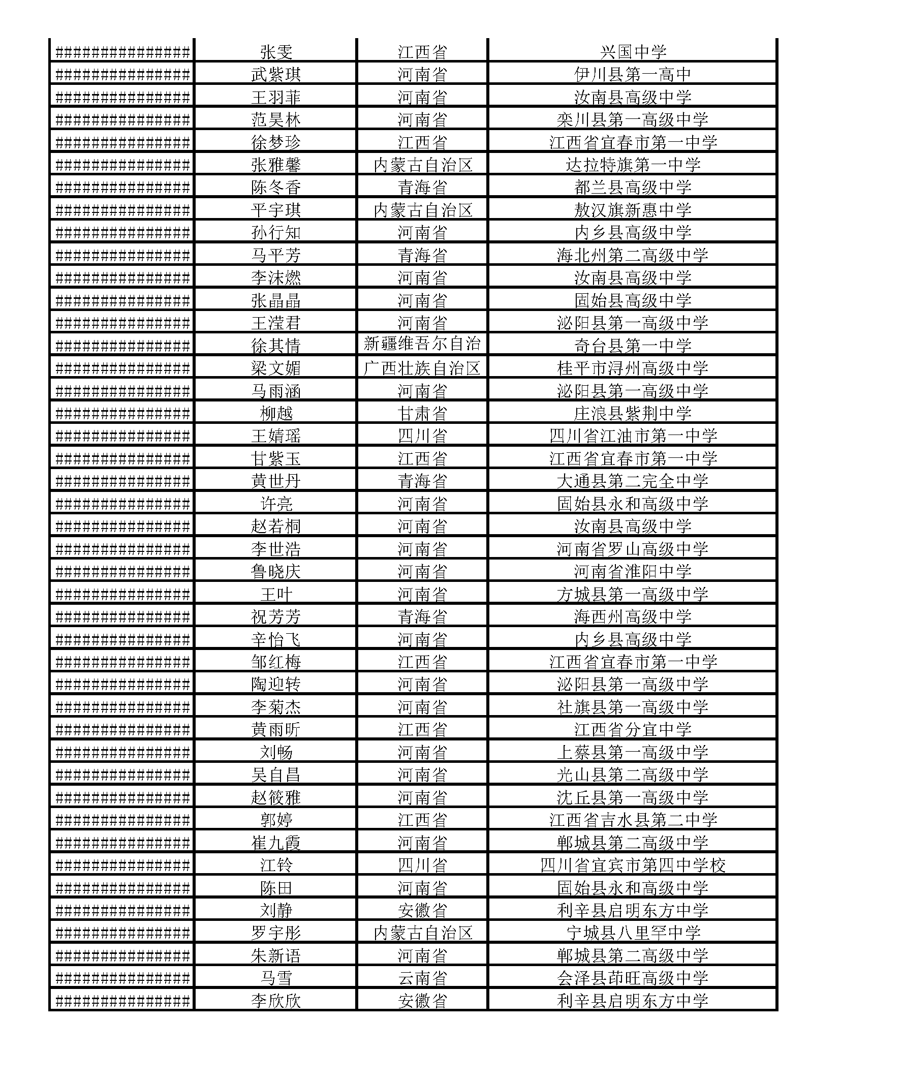
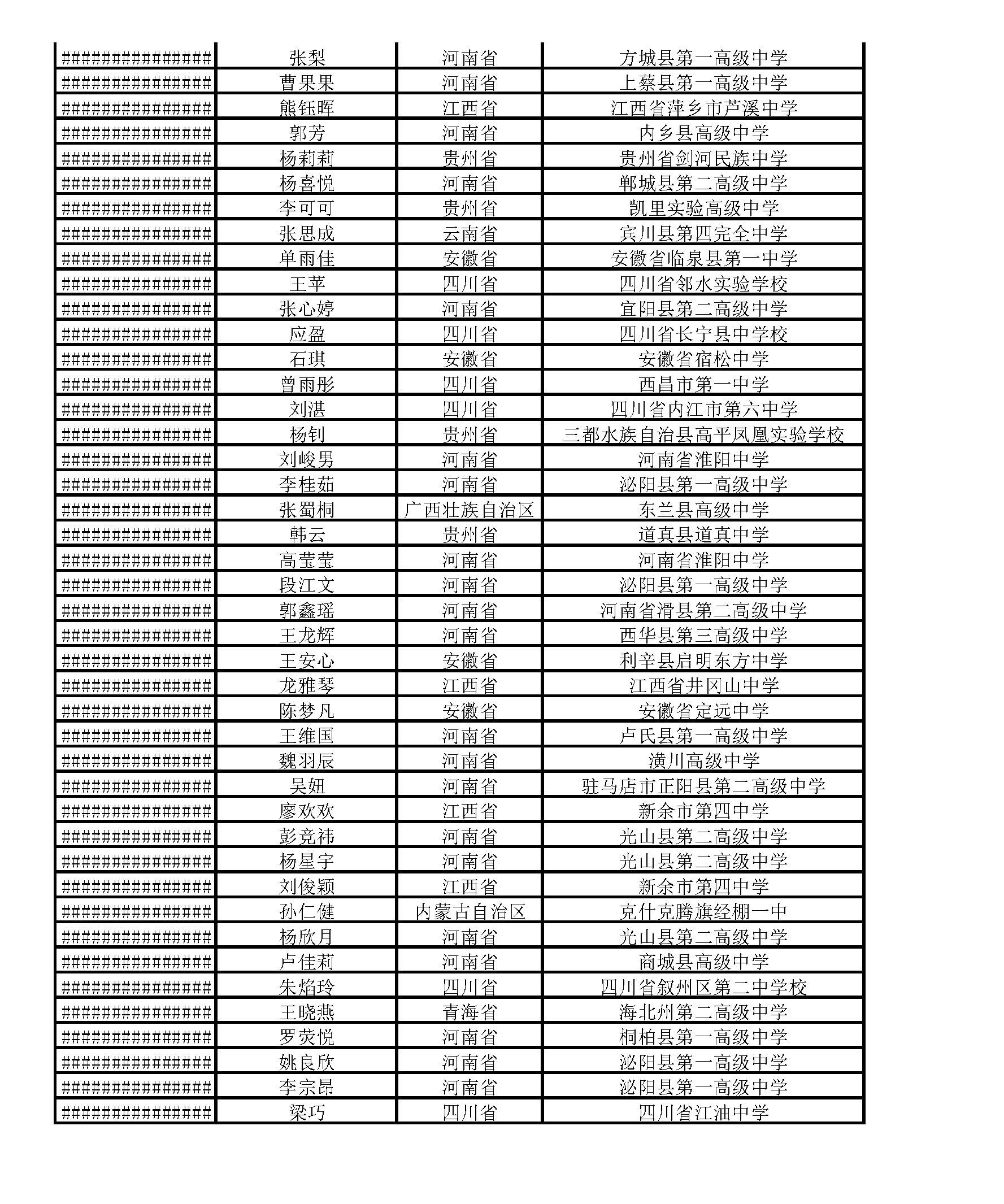
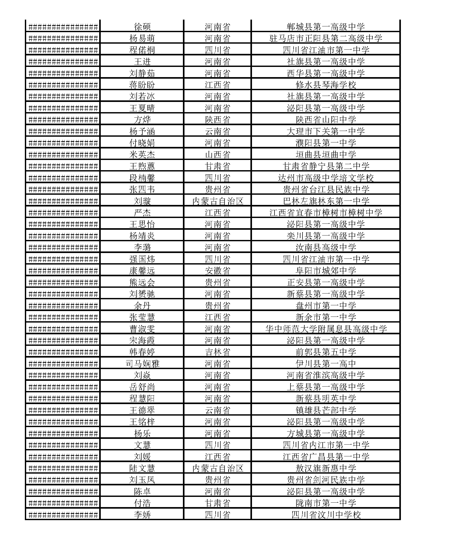
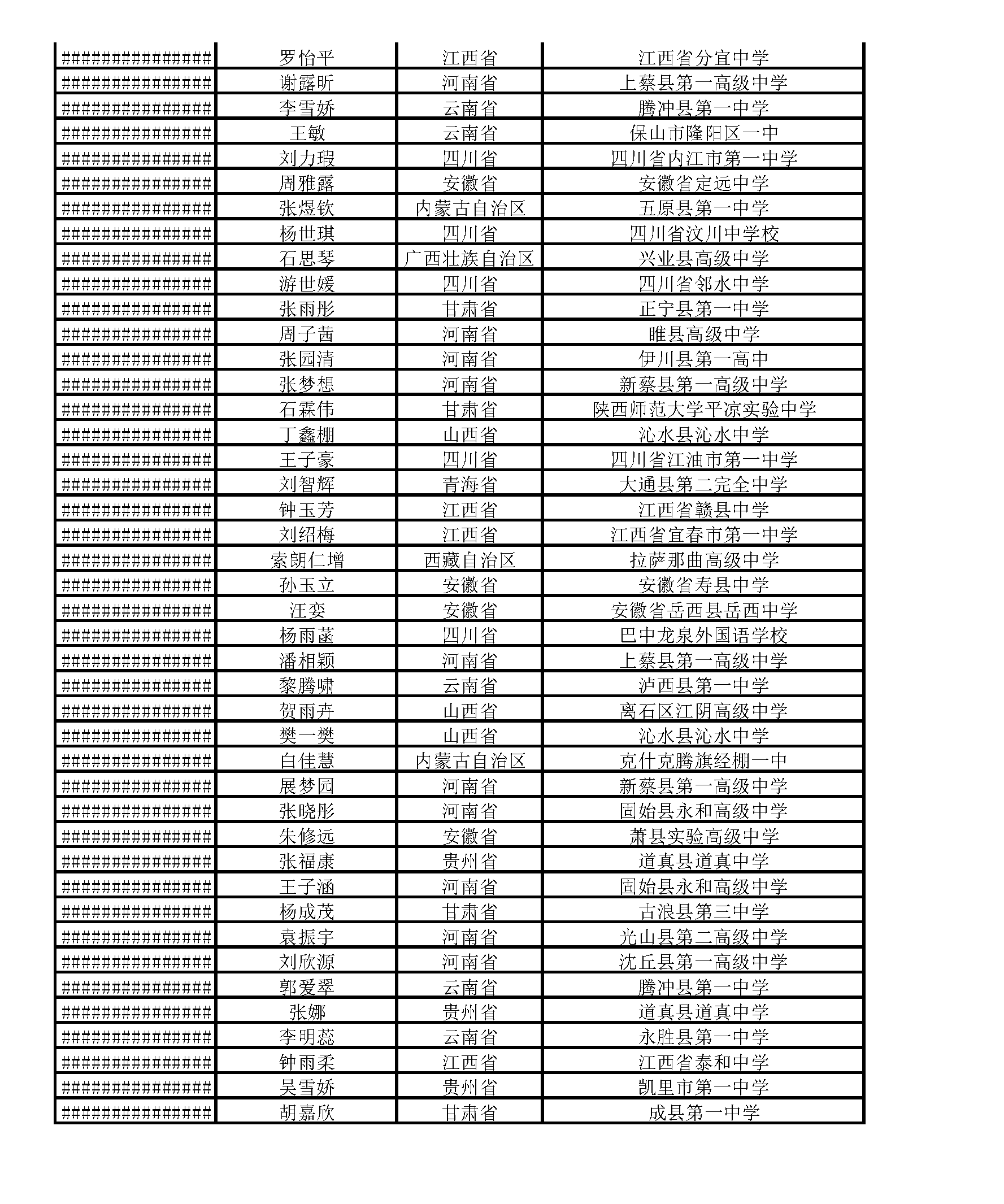
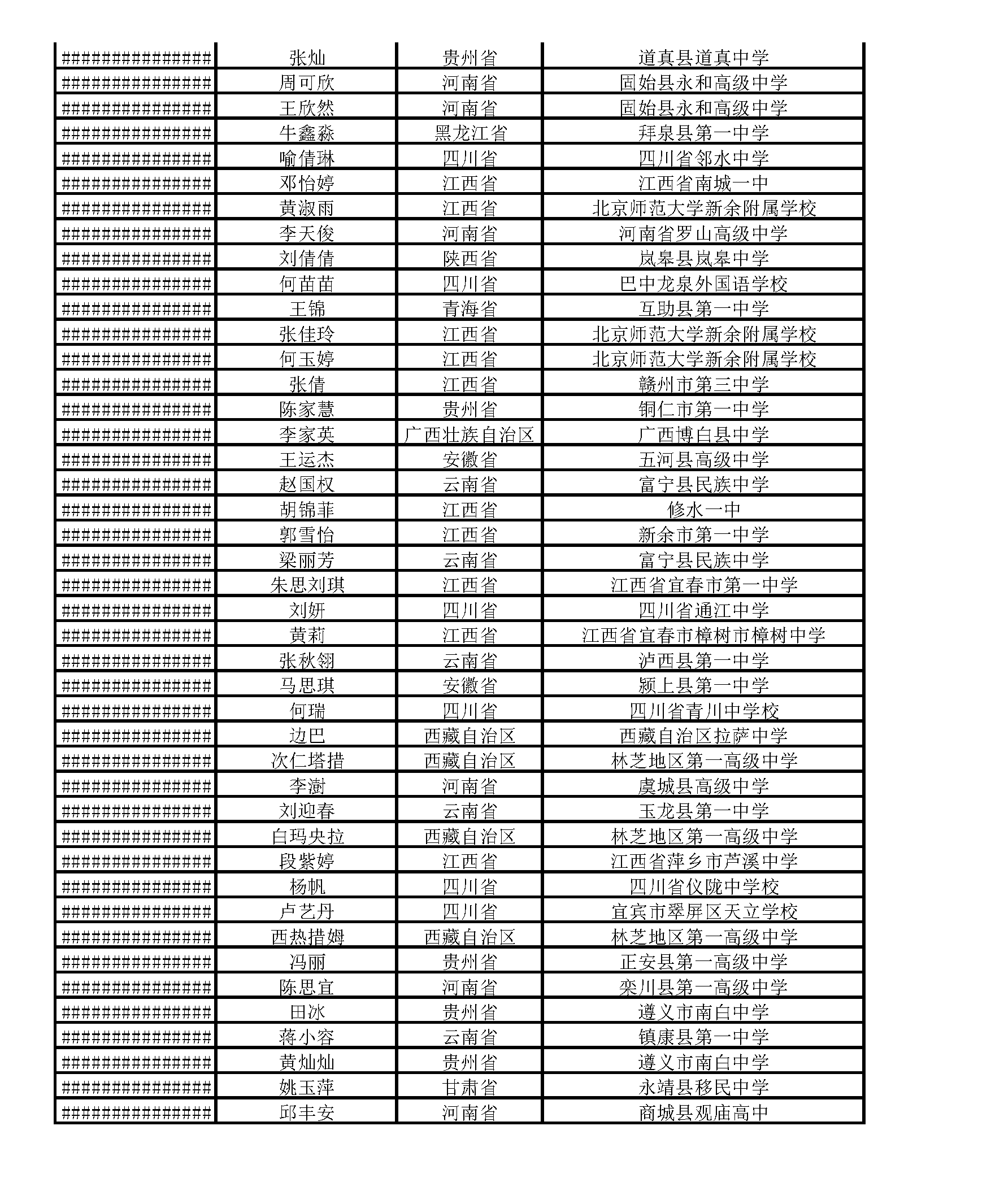
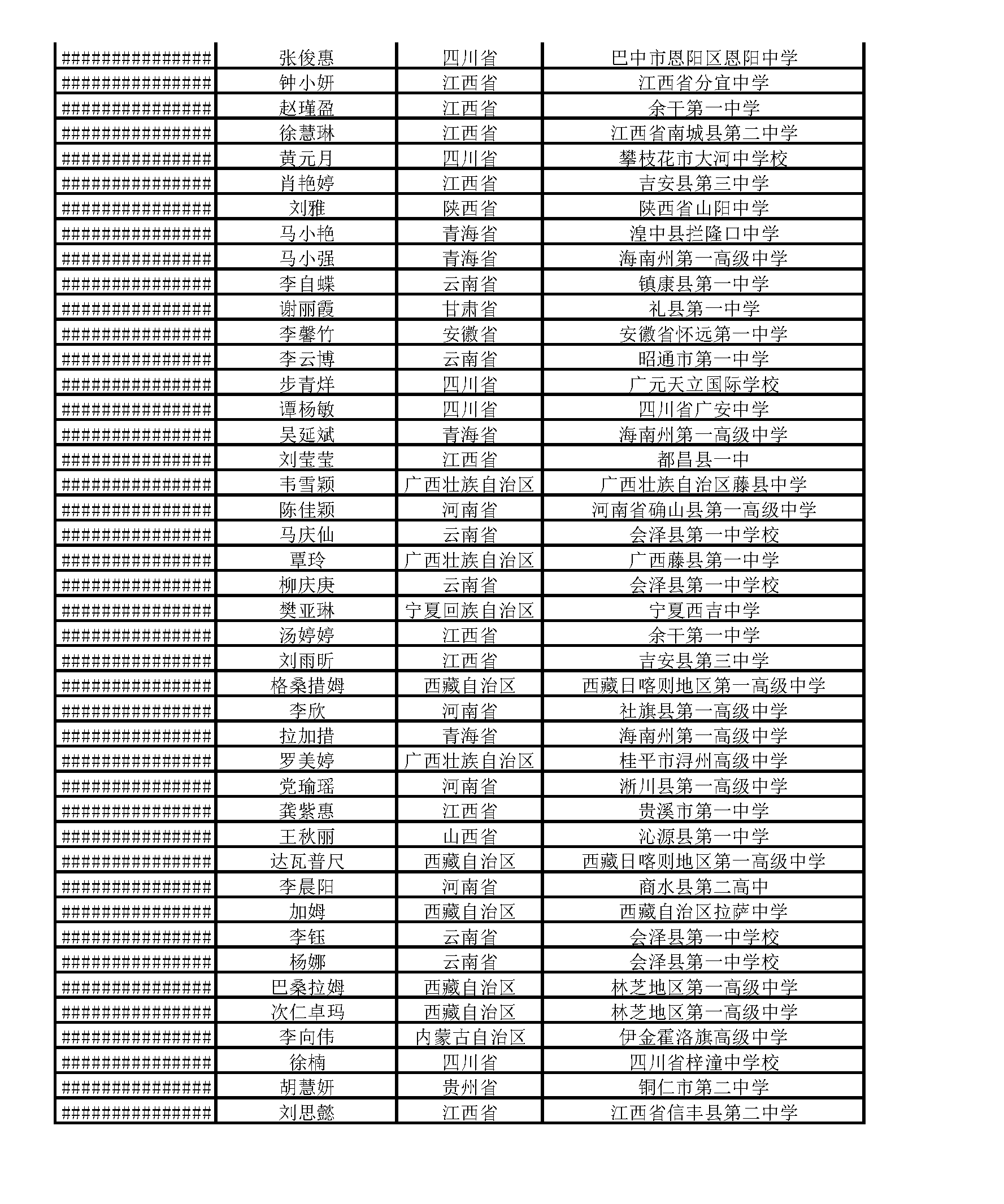
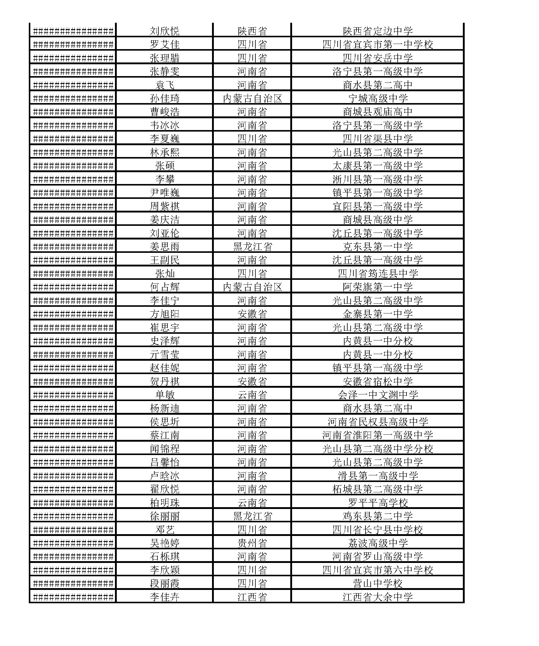
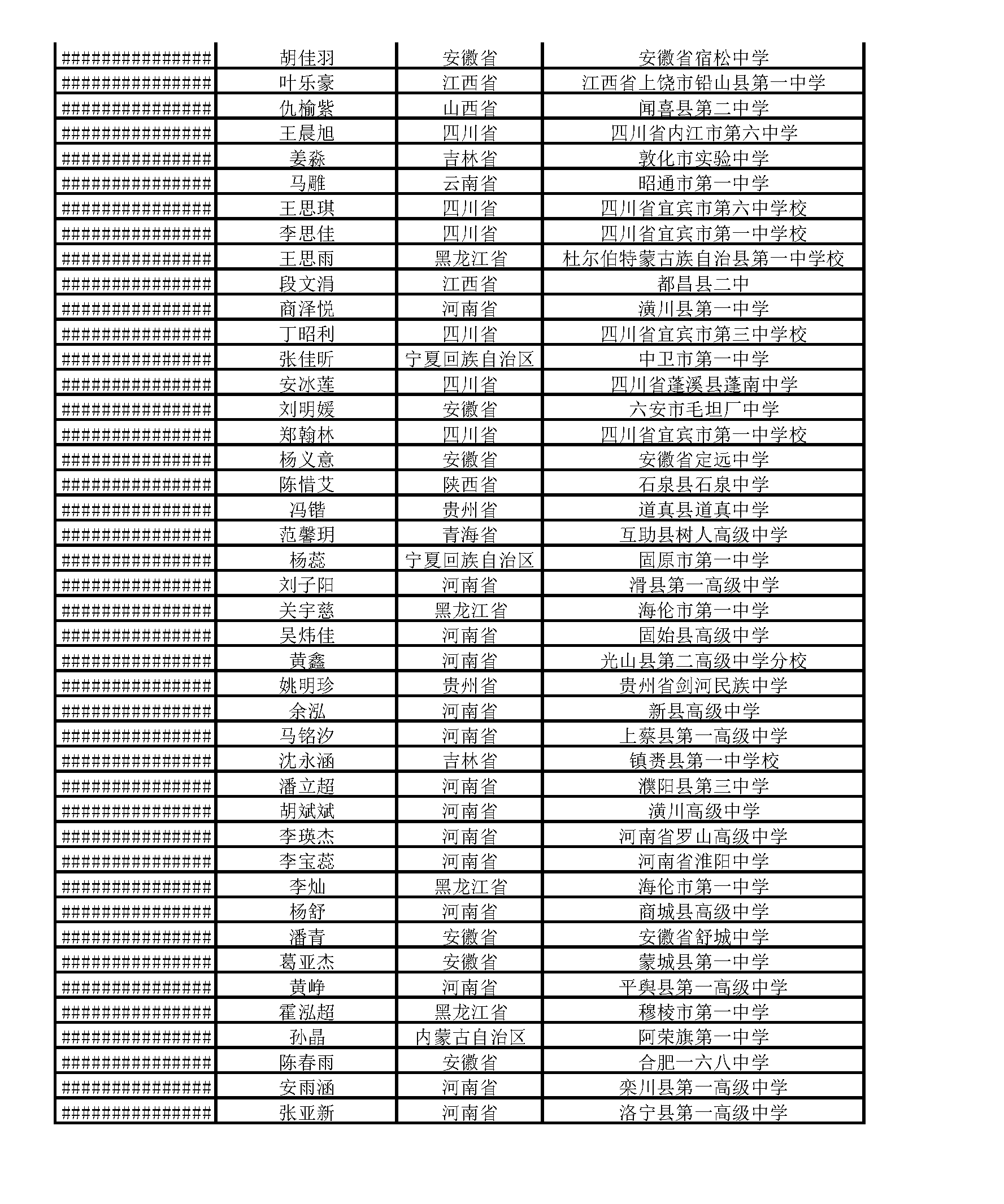
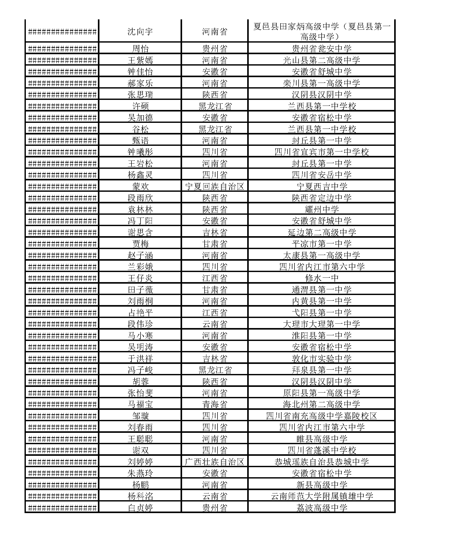
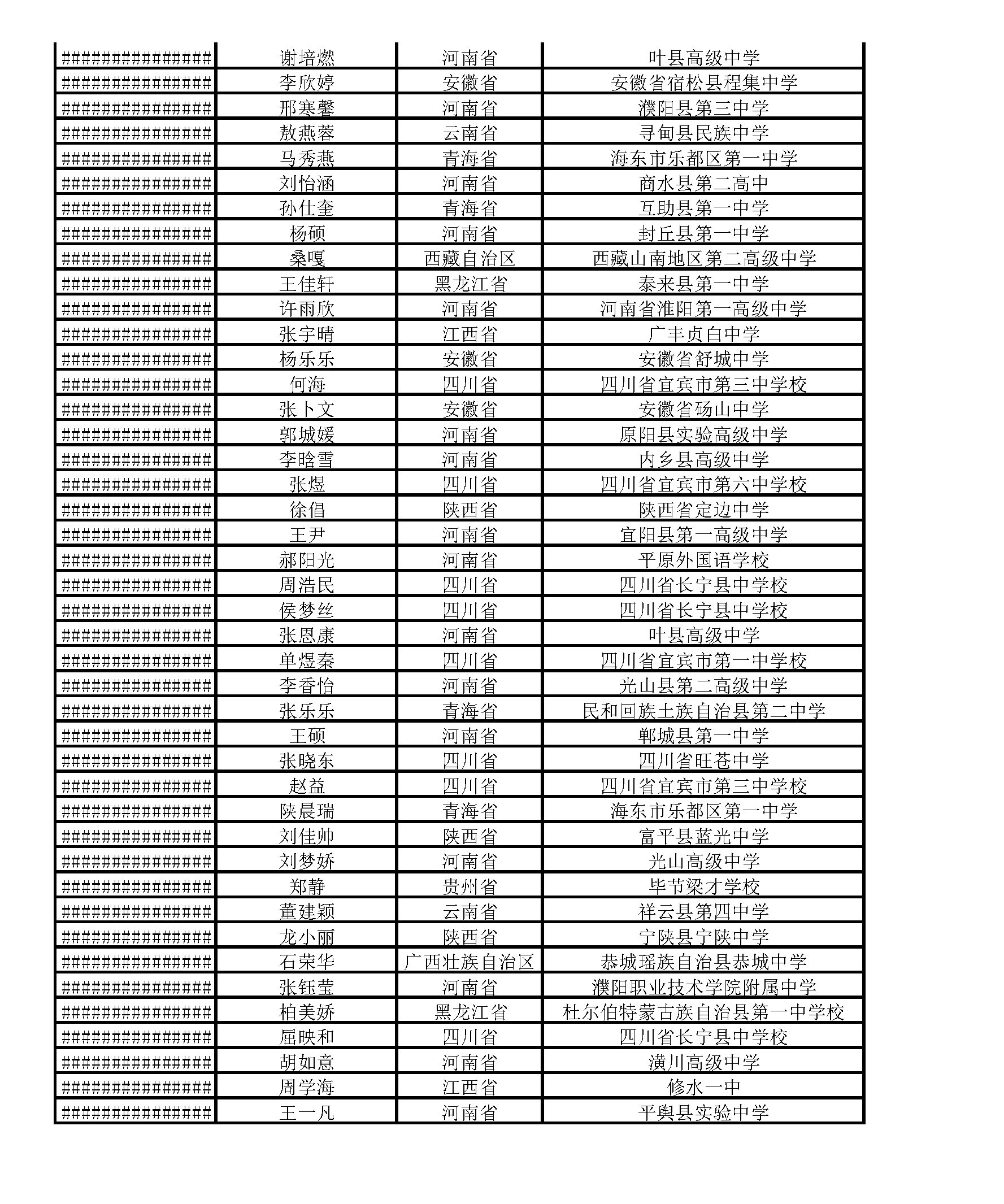
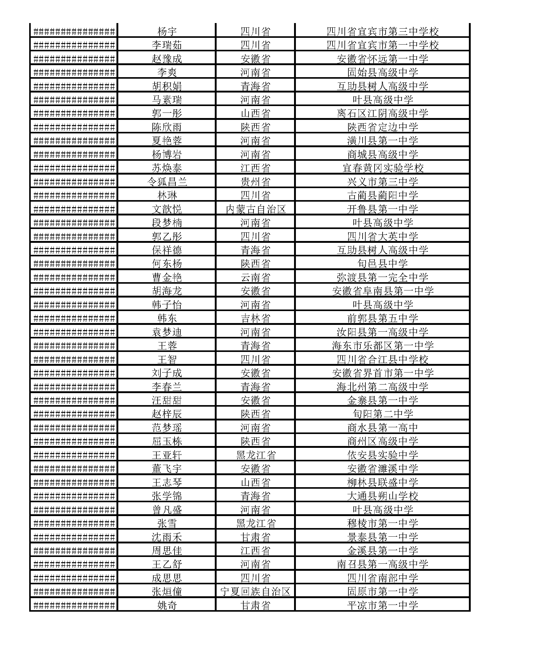
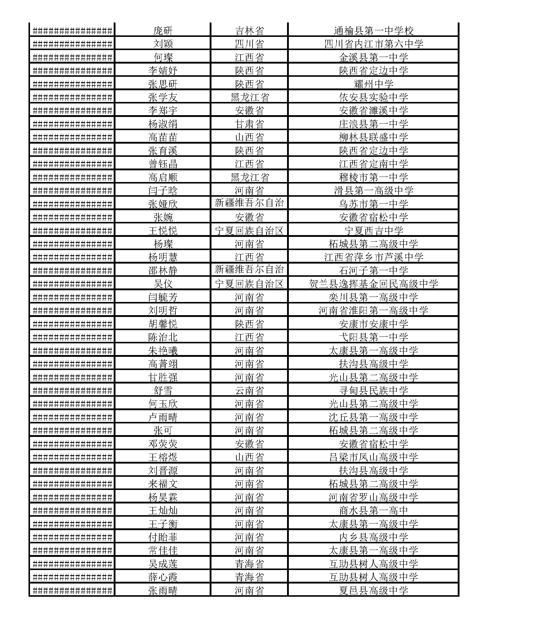
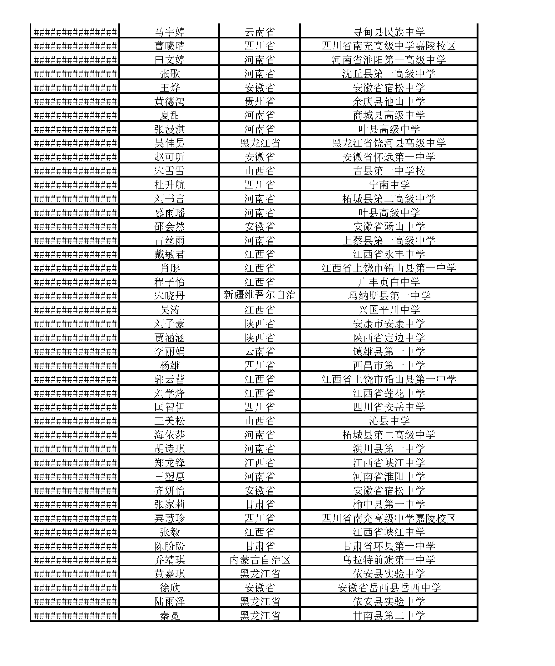
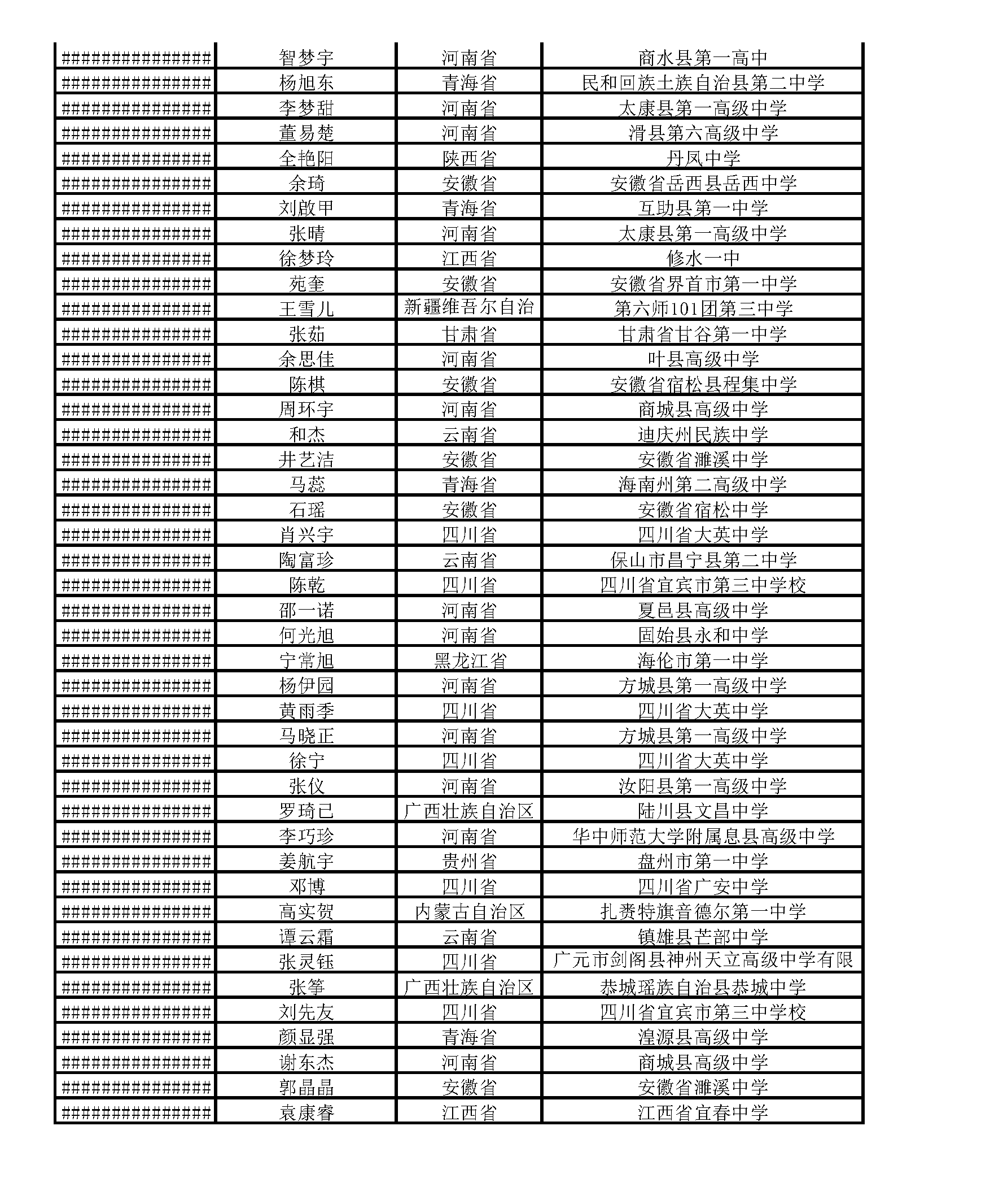
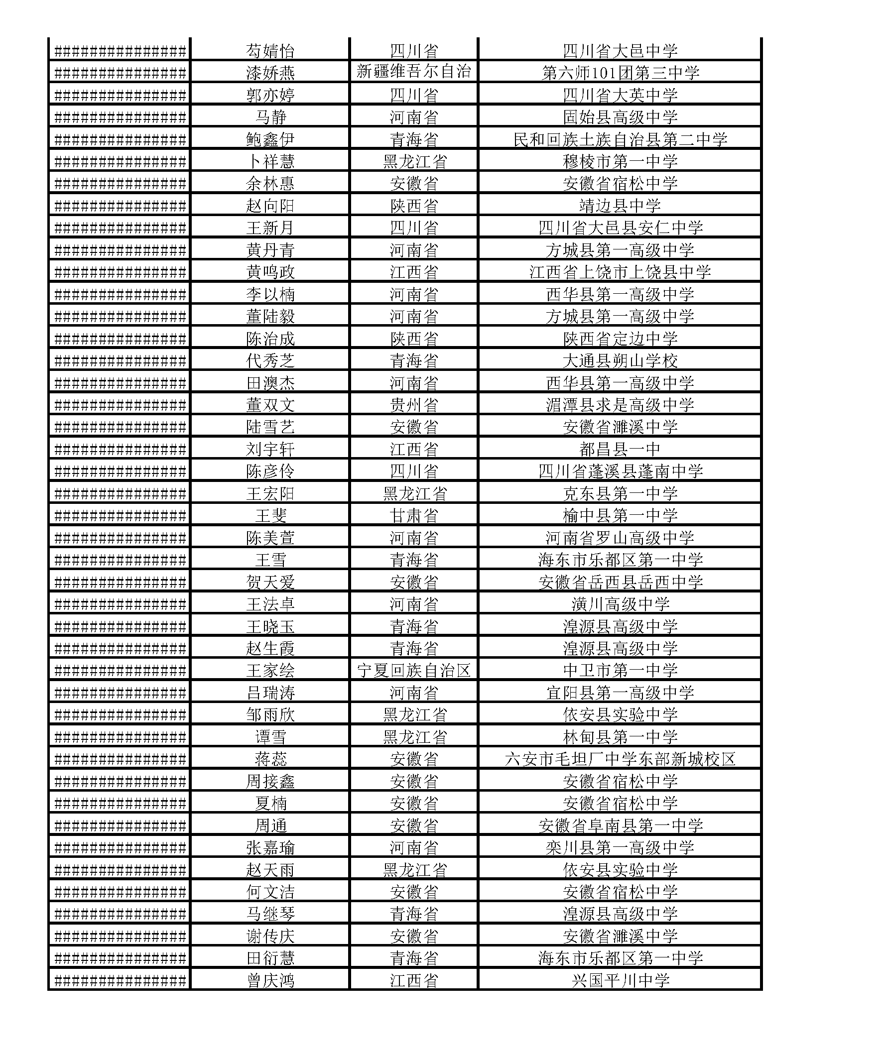
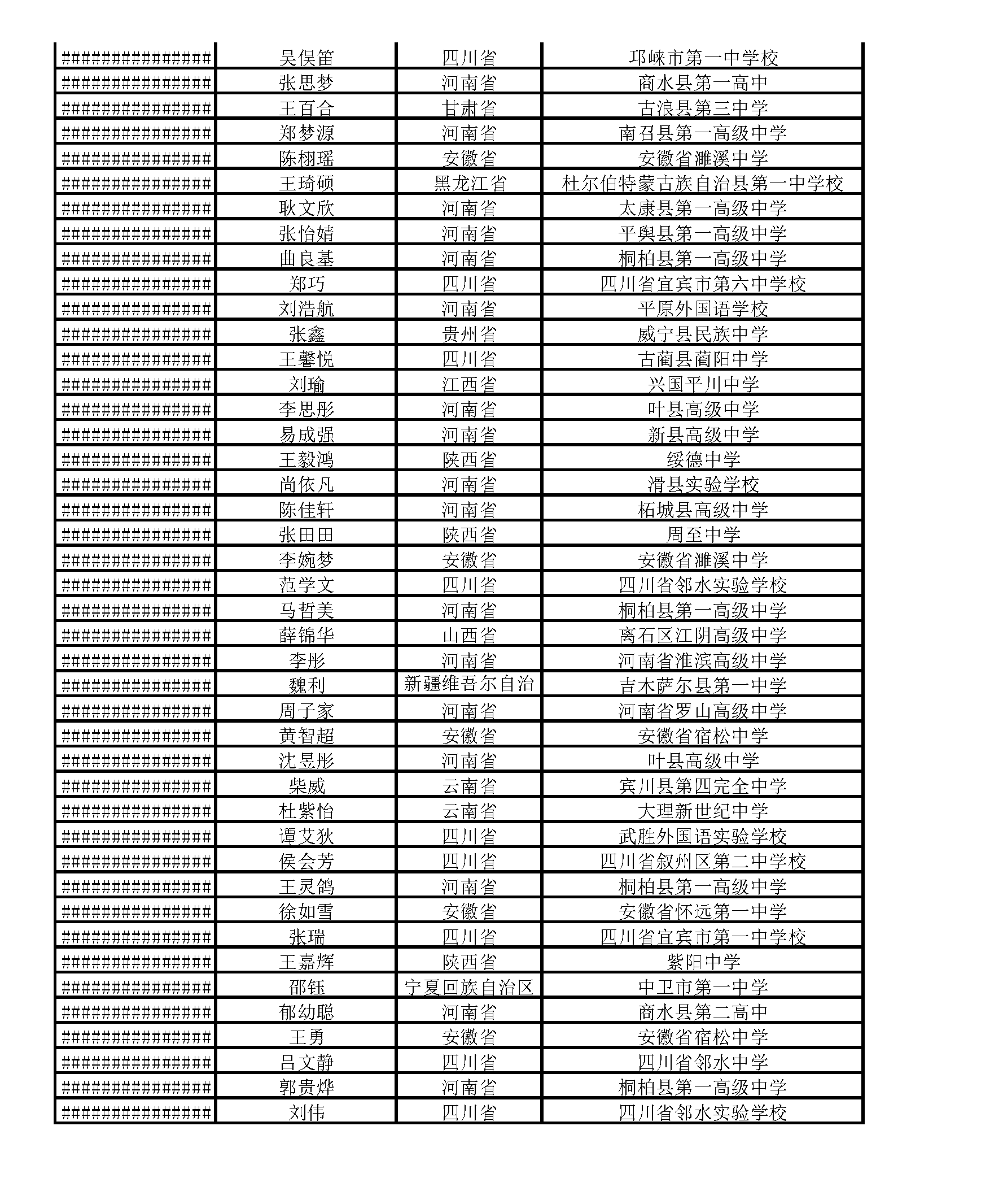
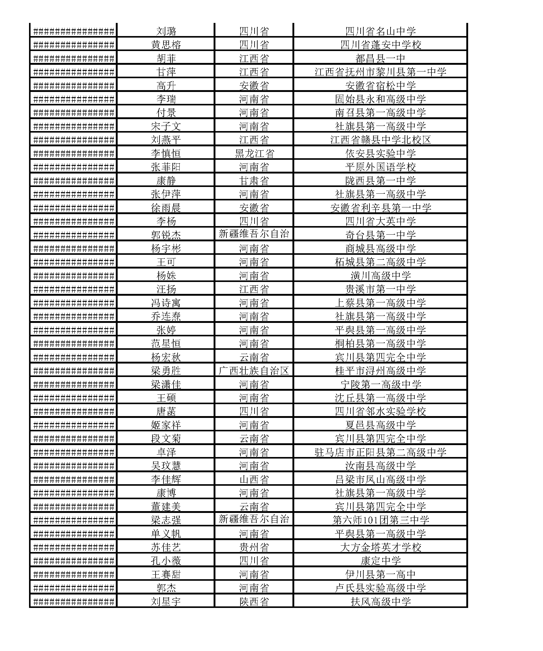
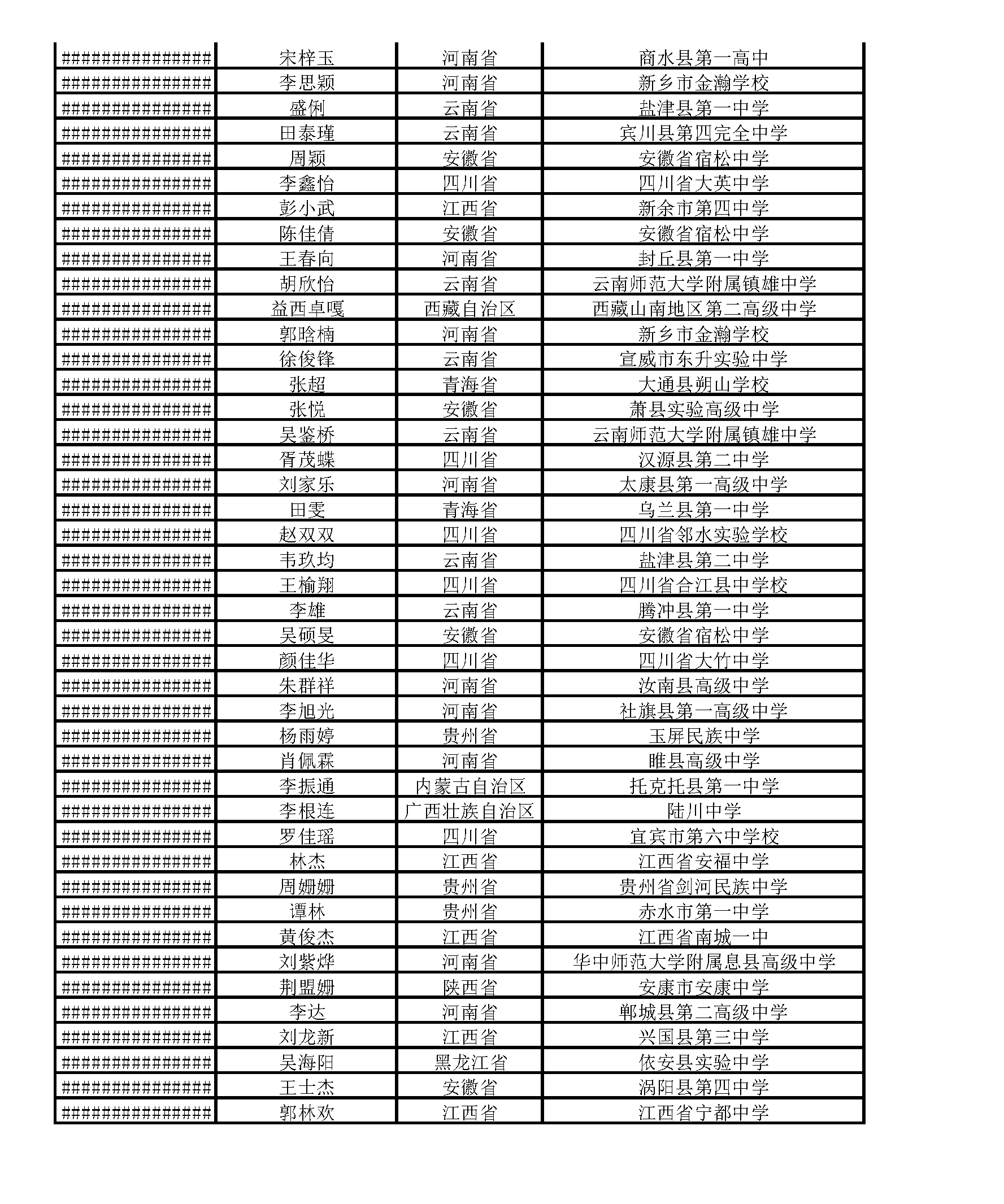
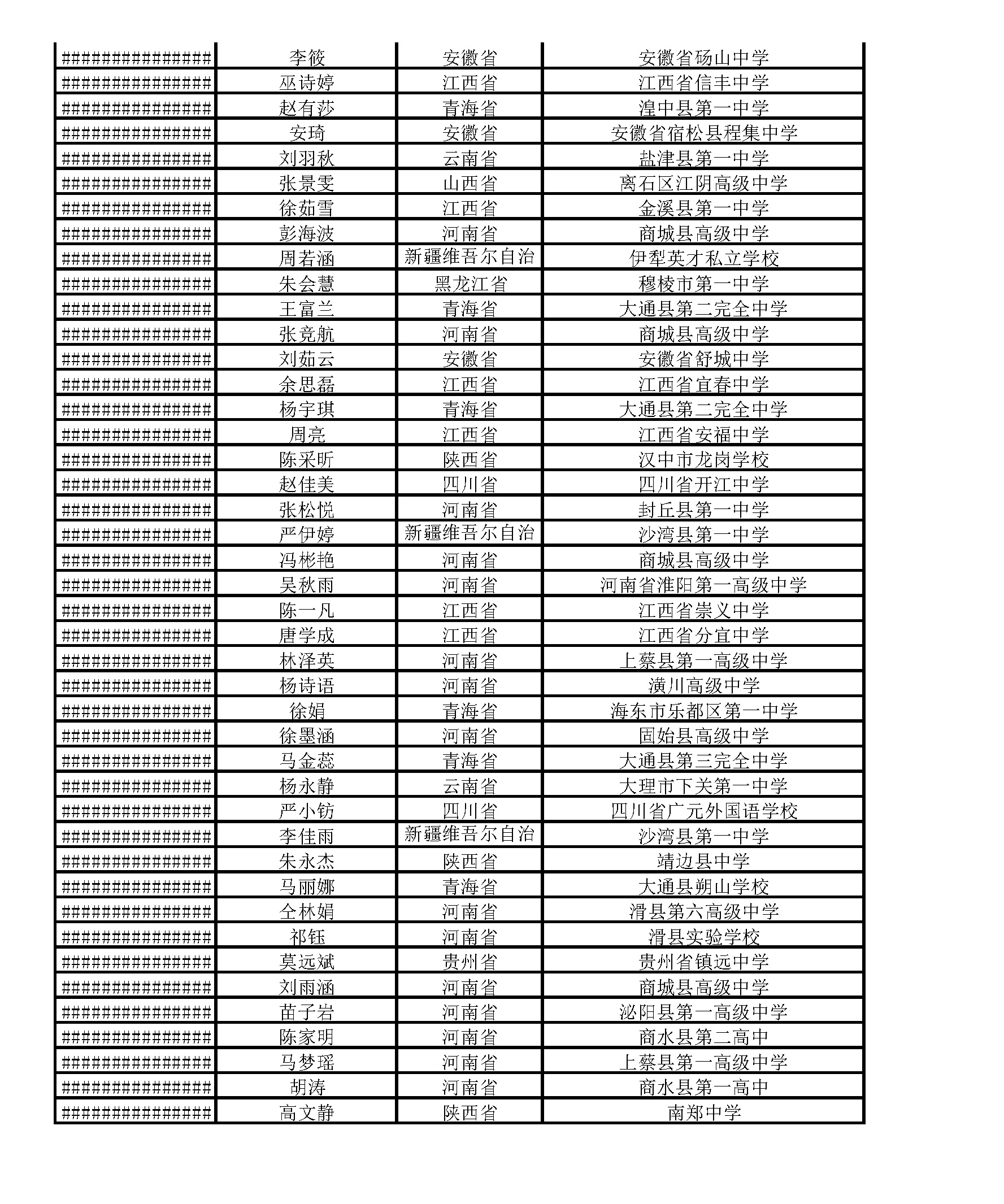
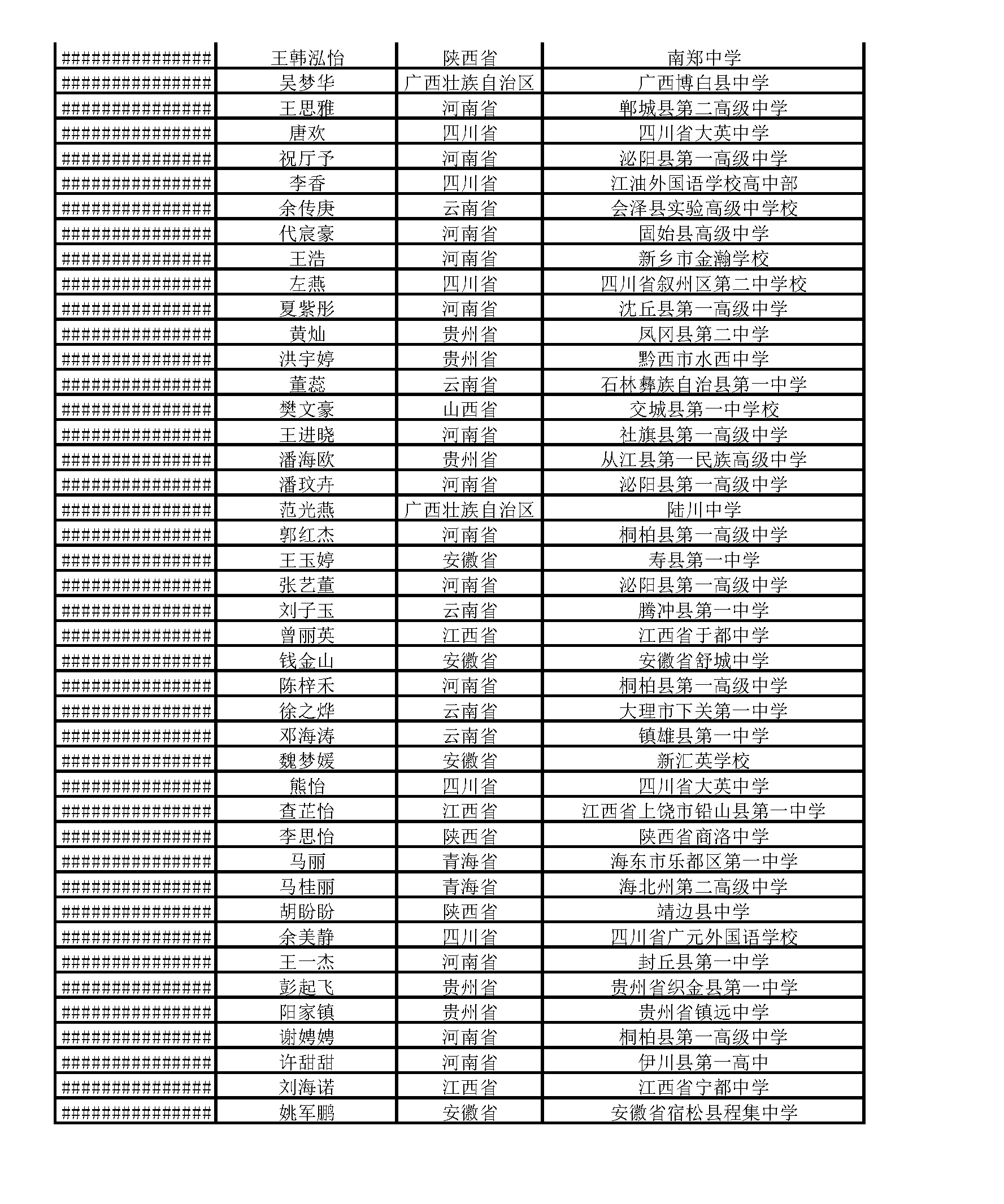
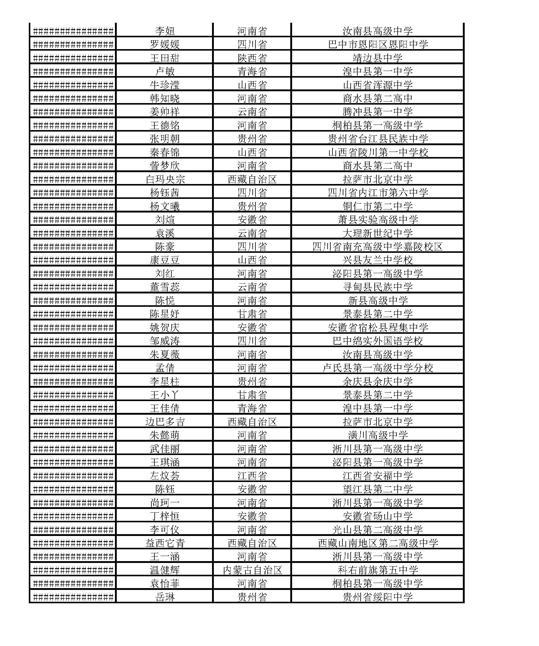
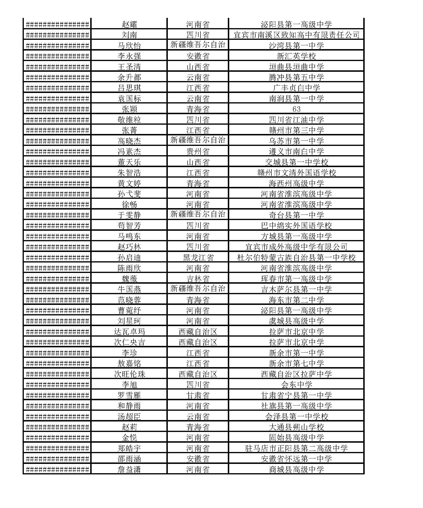
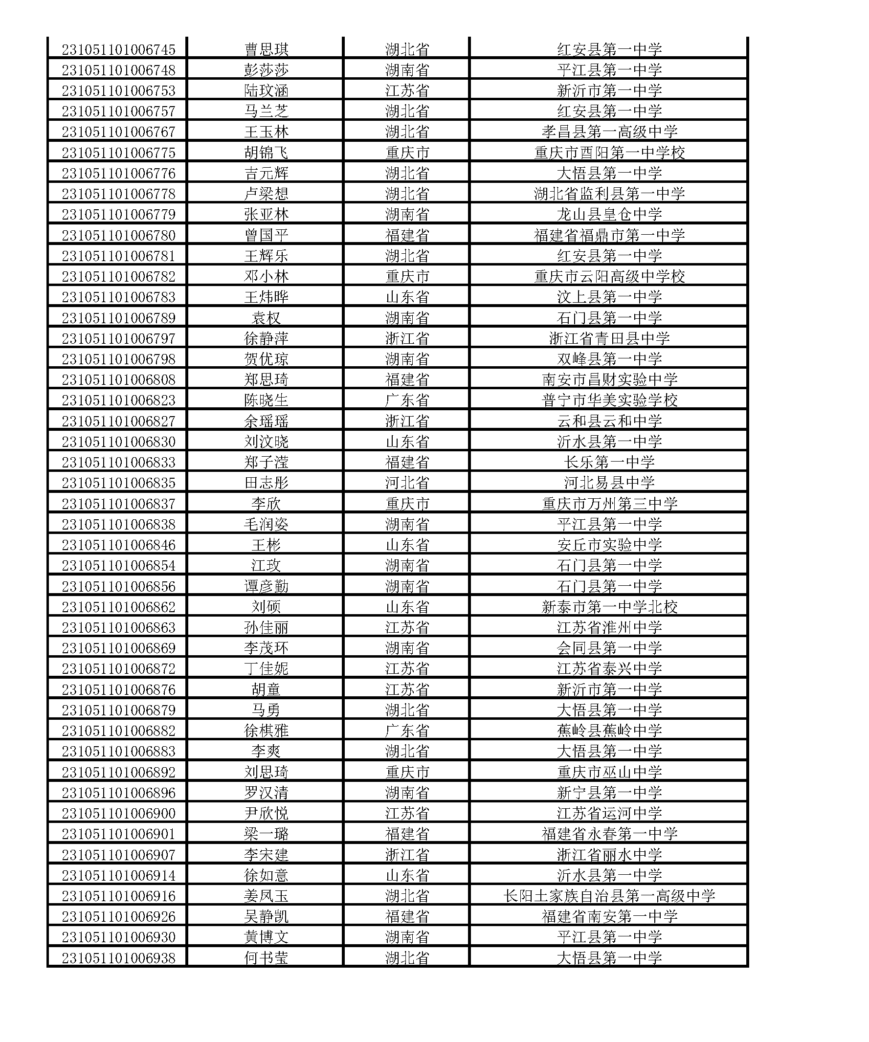
根据《教育部办公厅关于做好2023年普通高等学校部分特殊类型招生工作的通知》(教学厅〔2022〕8号)、《关于做好2023年做好重点高校招生专项计划工作的通知》(教学司〔2023〕4号)、《华中师范大学2023年高校专项计划招生简章》的工作要求,在各省级招生机构审核的基础上,学校组织专家对考生的报名材料进行了资格审核,经学校研究,现将资格合格考生名单及分省分专业计划予以公布。
分省分专业计划:
以上名单公示期为5月31日至6月4日,期间如有异议或疑问,请致电027-67862239。
所有资格合格考生,须按生源地省级招生考试机构的统一安排和我校要求填报高校专项计划志愿。高考成绩(含政策性加分)达到我校在当地普通类第一批本科录取控制分数线,将依据我校本科招生网公布的高校专项招生分省分专业招生计划,按照高考成绩(含政策性加分)由高分到低分择优录取。
对于合并本科批次的省份及综合改革省、市(上海、浙江、北京、天津、山东、海南、广东、江苏、河北、重庆、辽宁、福建、湖南、湖北),我校录取批次控制线按相关省级招生考试机构确定的高校专项相应最低录取控制分数线执行。
华中师范大学本科招生办公室
2023年5月29日
附件(点击下载):华中师范大学关于2023年高校专项资格合格名单.pdf






















































































































