第一章总则
第一条为了保证郑州工程技术学院招生工作的顺利进行,规范招生行为,提高生源质量,维护学校和考生合法权益。依照《中华人民共和国高等教育法》和教育部《2022年普通高等学校招生工作规定》等有关法律法规,结合学校实际情况,制定本章程。
第二条学校名称:郑州工程技术学院,国标代码:11068,办学性质:市属公办,全日制普通高等学校。对取得我校学籍、学习期满成绩合格的本、专科毕业生,颁发普通高等教育毕业证书,毕业证书学校名称为郑州工程技术学院;符合学位授予条件的本科毕业生,颁发相应的学位证书。
第三条学校招生工作遵循公平、公正和公开的原则,继续实施招生“阳光工程”。对考生德智体全面考核、综合评价、择优录取。
第二章组织机构与职责
第四条学校设立由相关校领导及相关部门负责人、教师代表、学生代表组成的招生工作委员会,负责制定招生政策、确定招生计划、监督检查录取过程等事宜。
第五条学校招生就业处是组织和实施招生工作的常设机构,在招生工作领导小组的领导下,具体负责学校招生的日常工作。
第三章学校概况
第六条办学校址:
英才校区:河南省郑州市惠济区英才街18号
金河校区:河南省郑州市惠济区金河路66号
航海校区:河南省郑州市京广南路1号
龙子湖校区:河南省郑州市郑东新区王新街9号
第七条办学特点:郑州工程技术学院是在原中州大学(成立于1980年)的基础上,2016年3月经国家教育部批准建立的一所公办全日制普通本科高等院校。是全国首批由省会城市主办的综合性普通高校之一。学校秉承“修德、敏学、笃行、拓新”之校训,在多年的建设中积累了丰富的办学经验,形成了以工学为主,经管结合,教育学、文学、艺术学六大学科门类多学科协调发展的应用型大学。
第四章招生计划及专业要求
第八条学校2022年面向全国部分省(直辖市、自治区)招收本专科学生,根据本校在各省(直辖市、自治区)的招生计划和考生报考情况,确定调档比例。按照平行志愿投档的批次,根据模拟投档情况在正式投档前完成计划调整,调档比例原则上控制在105%以内,并确保符合录取规则的调档考生能够录取。
第九条各专业考生身体健康状况按教育部和卫生部颁布的《普通高等学校招生体检工作指导意见》以及有关补充规定执行。新生入校后进行体检复查,不符合要求的将取消其入学资格。
第五章录取
第十条郑州工程技术学院执行教育部规定的“学校负责,招生主管部门监督”的录取体制,在教育部领导下,由各省(市)自治区招生主管部门组织录取。
第十一条在思想政治品德考核合格、身体健康状况符合相关专业培养要求、高考投档成绩达到本省(直辖市、自治区)本、专科录取控制分数线(合并本科批次的省份执行其相关规定)且符合郑州工程技术学院调档要求的情况下,根据考生高考投档成绩从高分到低分顺序录取,严格按照“专业志愿清”的原则。对于投档分数相同的考生,按照各省级招生主管部门确定的同分排序规则进行录取。不服从专业调剂的考生,将做退档处理。
(一)艺术类:
1.本科:
考生文化课、专业课均达到河南省划定本科A段最低录取控制分数线,依据考生投档成绩按照专业志愿优先原则录取。若生源省份有明确的投档规则,按其投档规则执行;若无明确投档规则,按我校录取规则投档。
投档成绩=专业课成绩×60%+文化课成绩×40%
2.专科:
美术类考生:[考生文化课成绩/文化课成绩满分×100×50%]+[考生专业课成绩/专业课成绩满分×100×50%],其中文化课成绩满分为750分,专业课成绩满分为300分。排序成绩计算公式为:文化课成绩×0.067+专业成绩×0.167。
其他类考生文化课、专业课均达到河南省划定专科最低录取控制分数线,依据考生投档成绩按照专业志愿优先原则录取。
投档成绩=专业课成绩×60%+文化课成绩×40%
投档成绩分数相同时:按照专业省统考成绩从高到低录取;当专业省统考成绩相同时,按文化课成绩从高到低录取;文化课总分相同,则按语文、数学、外语成绩从高到低录取。
(二)体育类:
全部按照河南省统一设定的投档排序成绩计算办法,即:[文化课成绩÷文化课成绩满分×100×50%]+[专业课成绩÷专业课成绩满分×100×50%],计算公式为:投档排序成绩=文化课成绩×0.067+专业成绩×0.333。
投档成绩分数相同时:按照专业省统考成绩从高到低录取;当专业省统考成绩相同时,按文化课成绩从高到低录取;文化课总分相同,则按语文、数学、外语成绩从高到低录取。
(三)相同分数录取原则
新高考改革省份,对于投档分数相同的考生,按照各省级招生主管部门确定的同分排序规则进行录取。其余省份普通类考生按照语文、数学、外语科目分数顺序排序,由高到低择优录取;其他专业考生按照专业省统考成绩总分、文化课总分、语文、数学、外语科目分数顺序排序。
第十二条对于享受加分政策的考生,遵照教育部颁发的《2022年普通高等学校招生工作规定》执行。
第六章学费标准及奖贷助情况
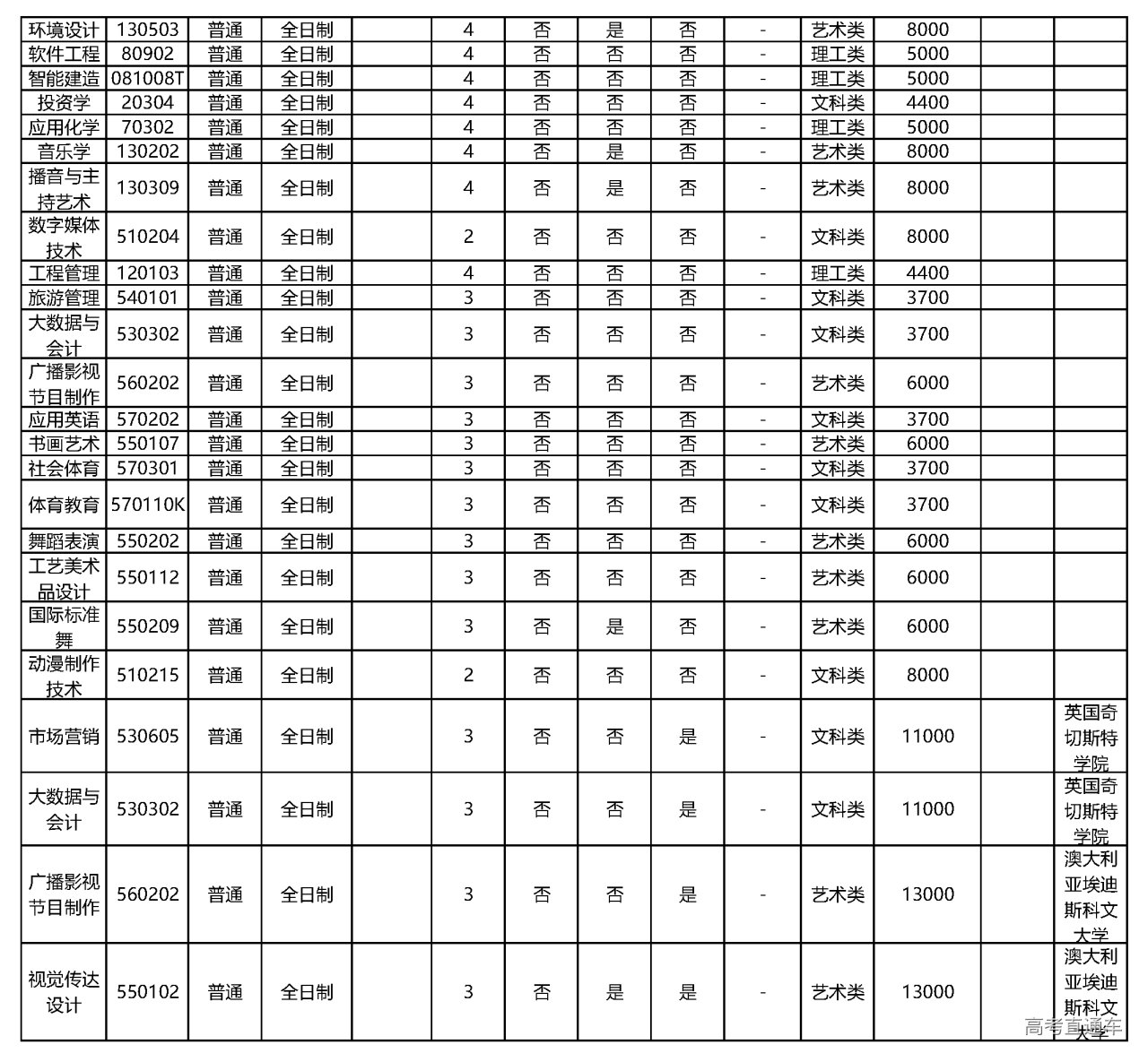
第十三条普通类本专科专业学费标准。
本科:
理工类:5000元/生•学年
文史类:4400元/生•学年
艺术类:8000元/生•学年。
专科:
理工类4200元/生·学年
文史类3700元/生·学年
艺术类6000元/生·学年
第十四条特殊类型专业学费标准。
中外合作办学项目11000元/生·学年
中外合作办学项目艺术类13000元/生·学年
软件类8000元/生·学年
住宿费:
八人间600元/生·学年
六人间900元/生·学年
四人间1100元/生·学年
第十五条奖贷助学情况。
学校建立了完善的资助政策体系,确保不让一名学生因家庭经济困难而失学。
(一)服兵役学费资助:自主择业的退役士兵,按政策规定,可申请学费减免,减免标准按所学专业的收费标准执行,每人每年最高8000元;学生在校或毕业后应征入伍,可申请学费补偿或助学贷款代偿,每人每年最高8000元。
(二)助学贷款:家庭经济困难的学生入学后可向高校申请高校国家助学贷款,也可在入学前到生源所在地县(区)学生资助管理中心申请生源地信用助学贷款。每生每年最高可申请助学贷款12000元;
(三)奖学金:对各方面表现特别突出的学生可申请国家奖学金,奖励标准为每生每年8000元;家庭经济困难的品学兼优学生可申请国家励志奖学金,奖励标准为每生每年5000元。学校设立一、二、三等综合奖学金,奖励标准4000元、3000元、2000元;设立一、二、三等专业奖学金,奖励标准800元,600元,400元。
(四)助学金:家庭经济困难的学生可申请国家助学金,资助标准按困难程度确定,平均资助标准为每生每年3300元;
(五)勤工助学:学校设有勤工助学岗位,优先安排家庭特别困难的学生上岗,学生通过劳动改善学习和生活条件。
(六)新生入学“绿色通道”:家庭经济特别困难的新生如暂时筹集不齐学费和住宿费,可在开学报到时,通过“绿色通道”先办理入学手续。入学后,根据学生具体情况开展困难认定,采取不同措施给予资助。
第七章附则
第十六条招生咨询方式。
郑州工程技术学院招生咨询方式:
招生咨询电话:0371-68229255、68229256、68229257、68229258
资助咨询电话:0371-68229381
传真号码:0371--68229825
通讯地址:河南省郑州市惠济区英才街18号
邮政编码:450044
学校网址:http://www.zzut.edu.cn
招生信箱:zs zzut.edu.cn
招生信息及录取信息公布网址:http://www.zzut.edu.cn
第十七条本章程由郑州工程技术学院招生就业处负责解释。郑州工程技术学院以前有关招生工作的规定若与本章程冲突,以本章程为准。


