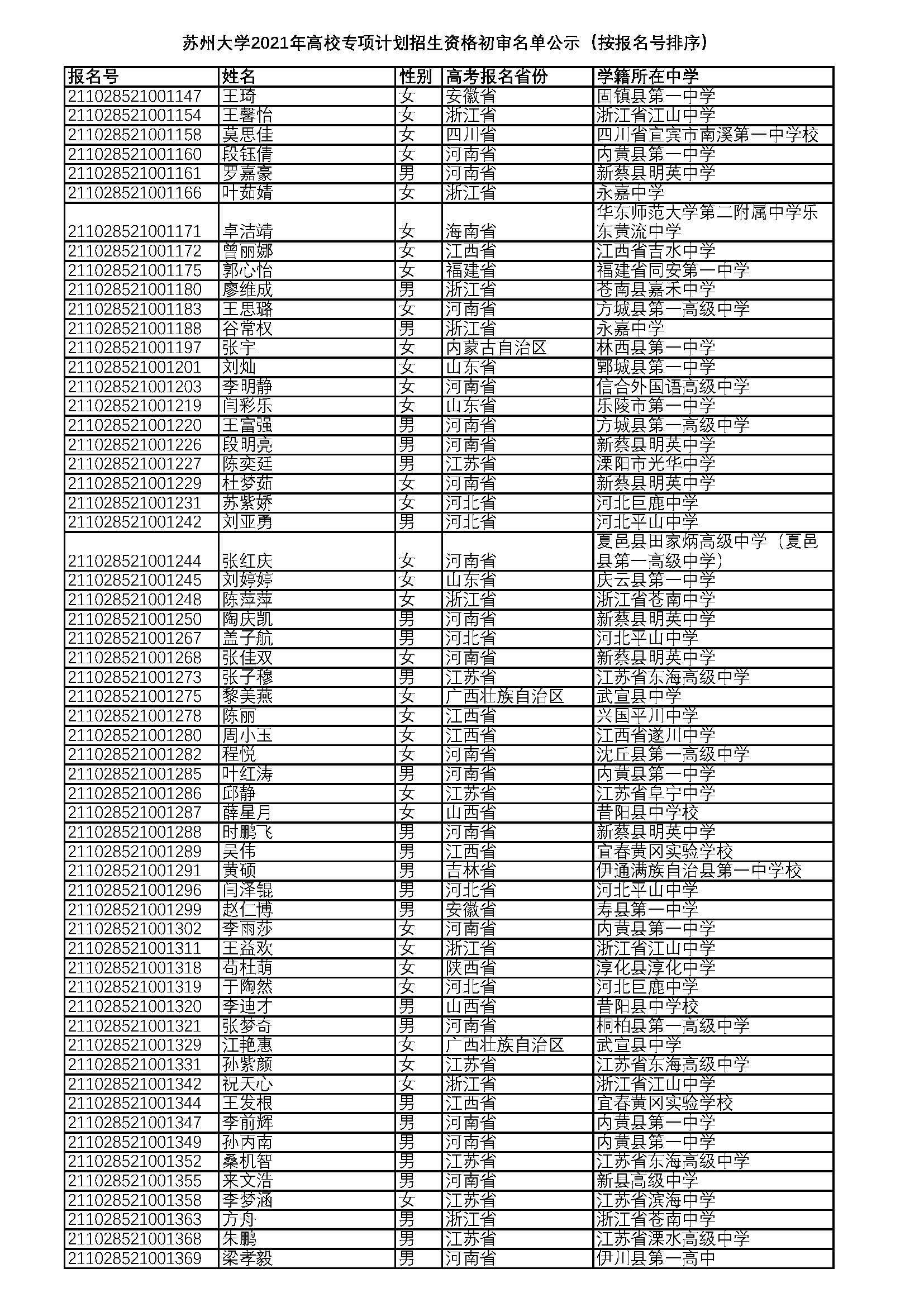
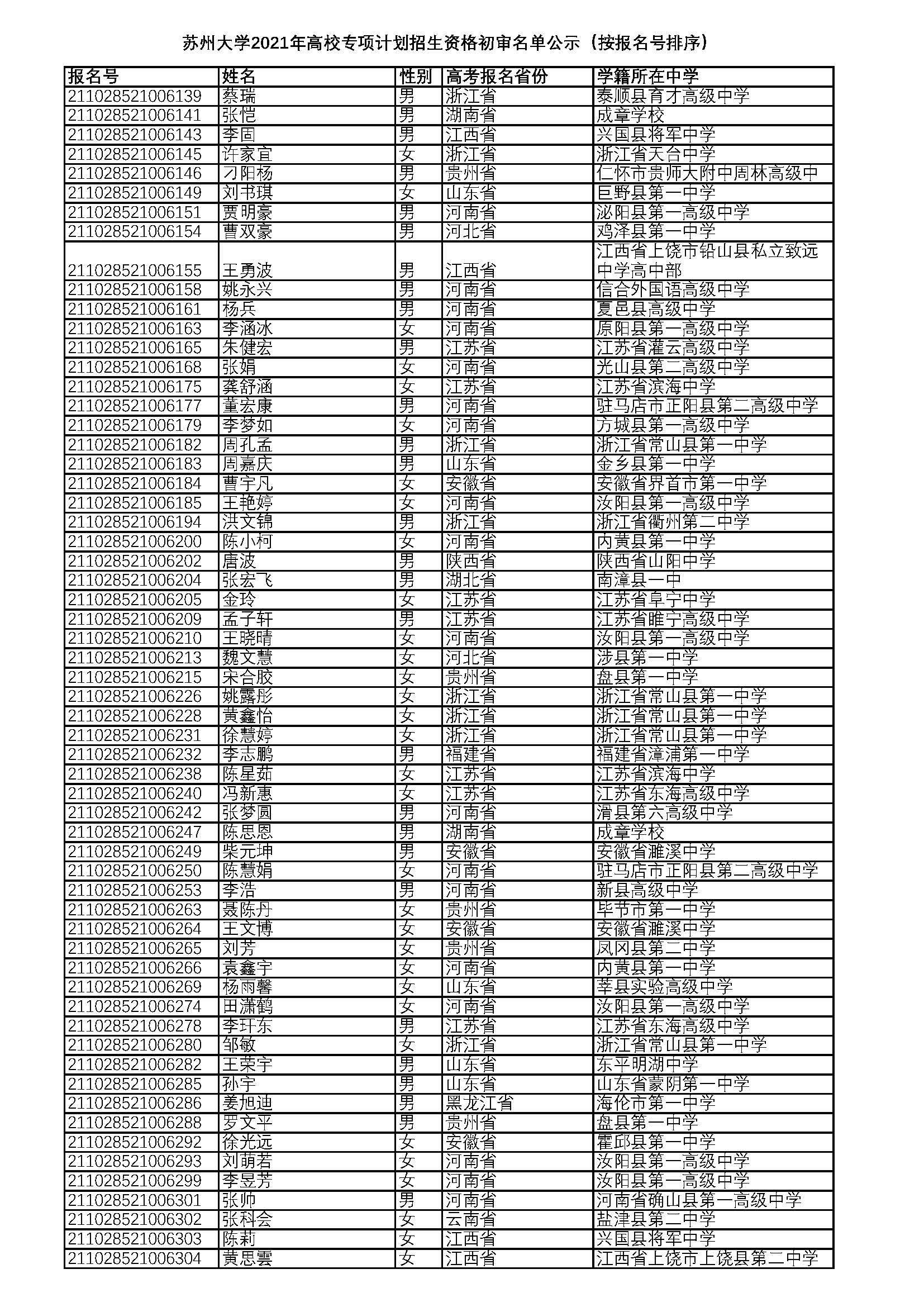
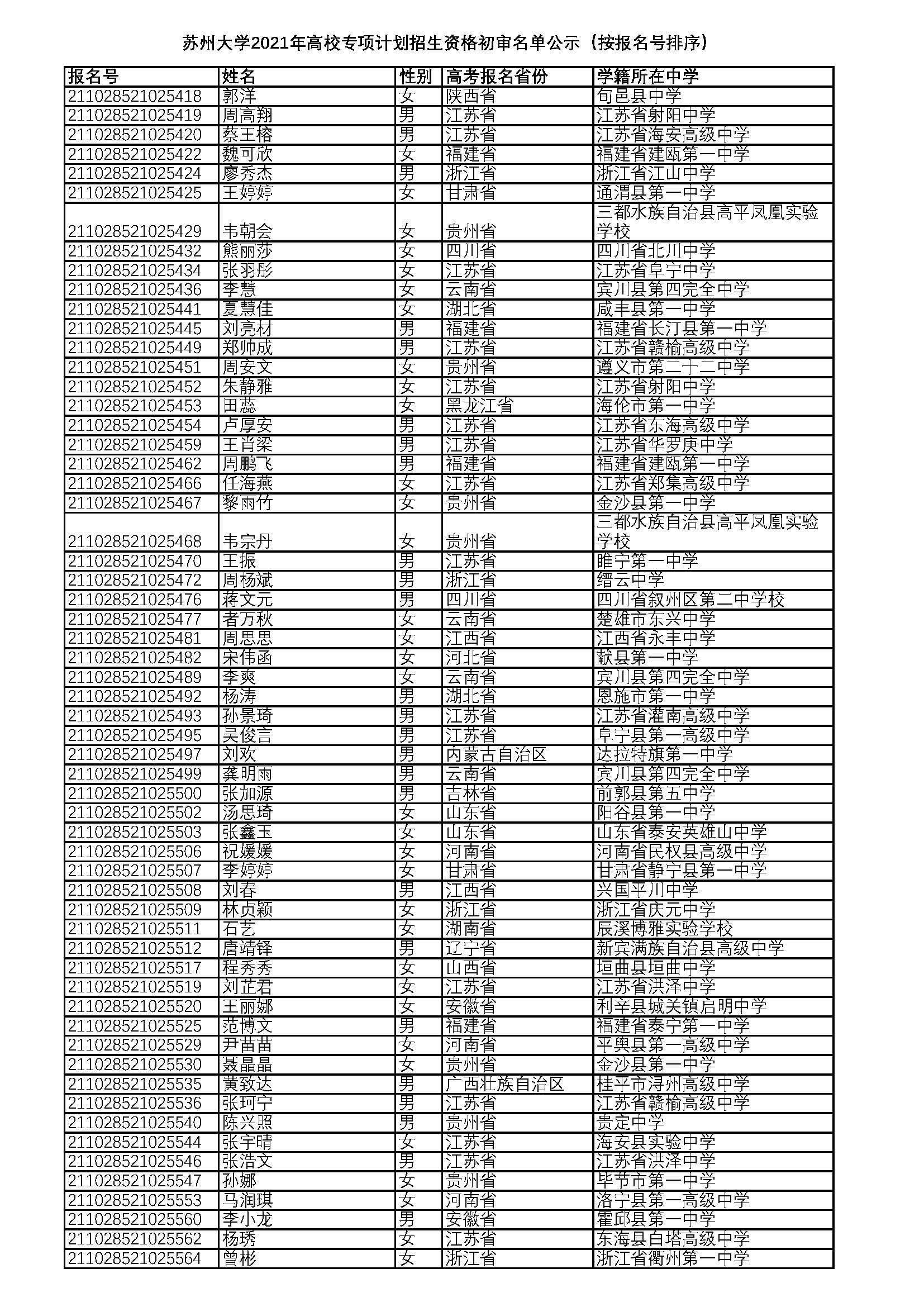
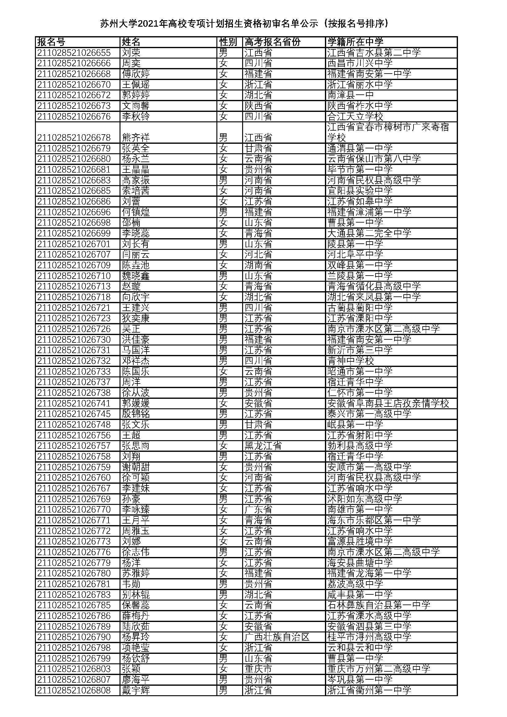
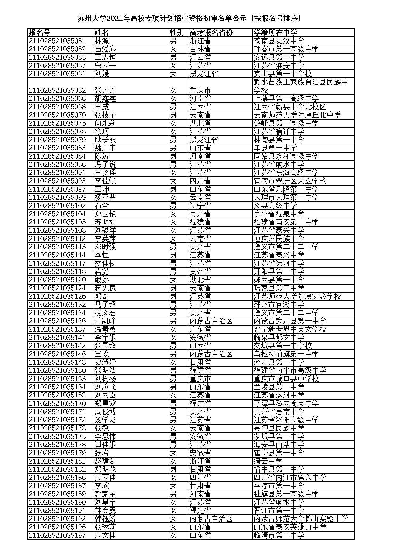
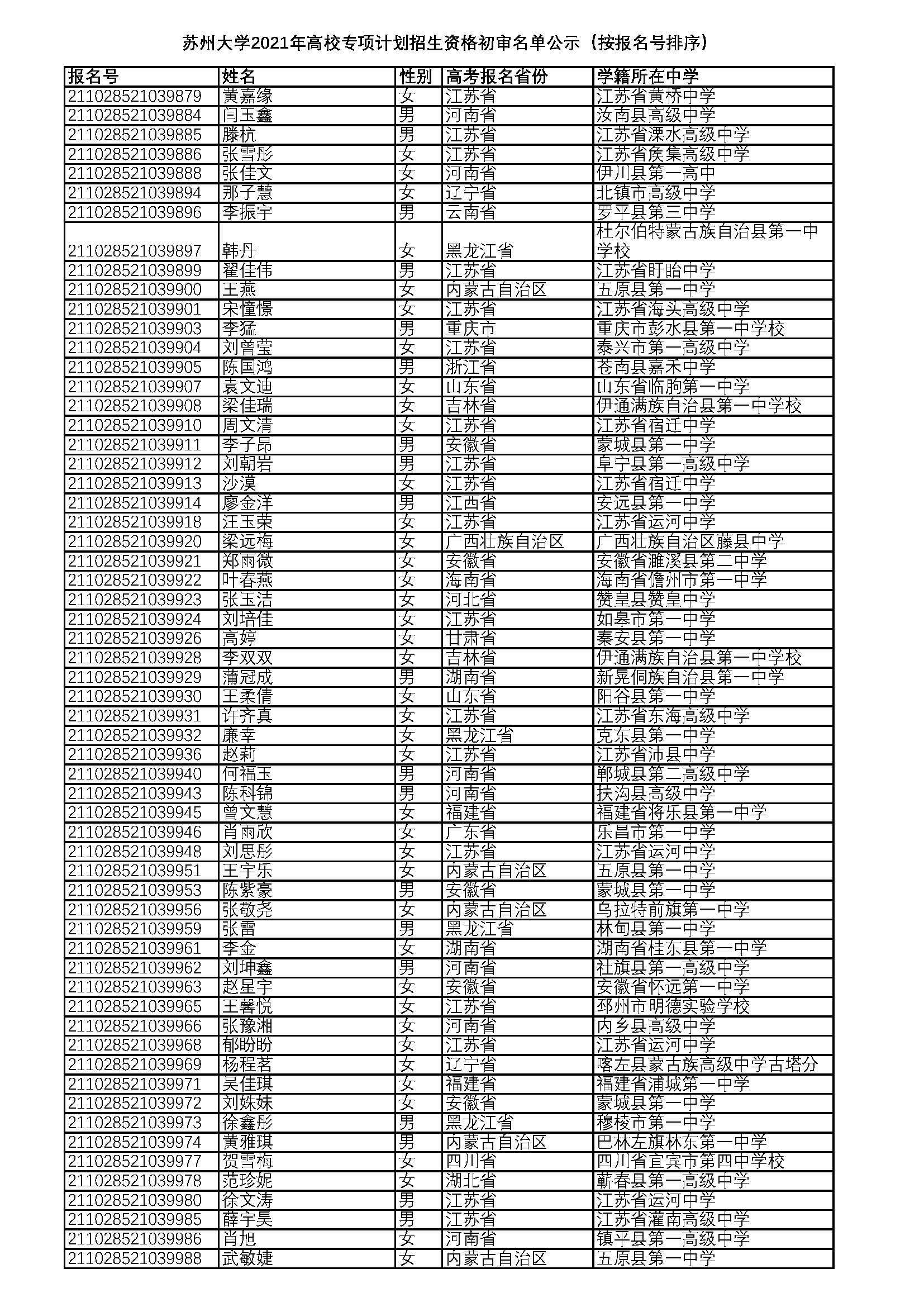
一、根据教育部相关文件和《苏州大学2021年高校专项计划招生简章》,我校对考生报名材料进行了资格初审。经学校研究决定,现将我校2021年高校专项计划资格初审结果予以公示,具体资格初审通过名单见附件。
公示期:2021年6月2日-6月9日。
联系方式:0512-67507943传真:0512-67507942
电子邮箱:zsb suda.edu.cn
对公示有异议的,可在公示时间内,以实名方式向招生办公室反映。反映情况和问题必须实事求是。凡是以单位名义反映的必须加盖公章,以个人名义反映的必须署真实姓名、所在单位和联系方式。招生办公室对反映人和反映情况将严格保密,并对反映的情况和问题进行认真调查核实。对有关调查结果向反映单位、反映人进行反馈。
二、其他相关说明
1、请考生务必核对个人基本信息,特别是身份证号、姓名、生源省份(高考报名所在省份)等。若有误请将正确的信息以及身份证复印件传真至0512-67507942。
2、公示期间,被举报有户籍、学籍等弄虚作假行为者,一经核实,取消高校专项资格;另学校将在录取、新生入学报到等环节对考生进行资格复查,若发现存在弄虚作假、徇私舞弊等问题,将按照教育部有关规定直接取消考生录取或入学资格;对于已取得学籍的在校学生,若经举报核实,立即取消其学籍。
3、按《苏州大学2021年高校专项计划招生简章》规定,学校原则上根据各省(市、区)报名情况,确定各省(市、区)分专业招生计划,具体分省分专业招生计划,请后续关注本科招生网通知。最终招生计划以各省级招办公布的高校专项计划为准。
4、公示无异议的入选考生按生源所在省级招生考试机构的有关规定填报我校高校专项计划志愿(填报高考志愿时,具体填报方式、填报时间等以生源所在地省级招生考试机构规定为准,若有疑问请联系所在省级招生考试机构)。填报的专业志愿必须在我校公布的高校专项计划招生分省分专业招生计划中,否则视为无效志愿,未在所在省份投放招生计划的专业不能填报。具体填报方式、填报时间等请咨询生源地省级招生部门。
苏州大学招生办公室
2021年6月2日
























































































































































































































































































































