今天
广东高考成绩正式公布
全国各地高考成绩也在陆续公布
今年上华师需要多少分呢
特此为你做出解答
陪你圆梦华师
2024年我校普高本科招生计划7630名,其中师范专业计划2955名,非师范专业计划4675名,总计划比2023年有所增长。在广东招生计划6133名,其中师范专业计划2344名,非师范专业计划3789名。
请点击图片,了解招生计划
上表统计未包含中外合作办学、中外联合培养、汕尾校区、地方专项、教师专项等专业组,下面,我们详细看看2023年的广东招生录取情况吧。
上下滑动查看更多
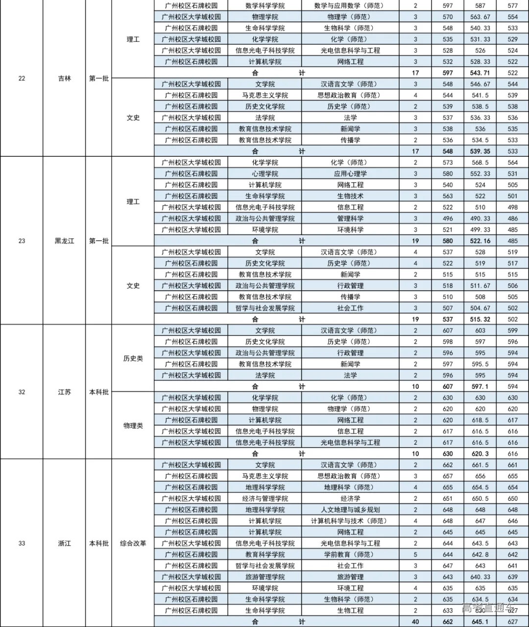
2023年外省(直辖市、自治区)
各专业录取分数
上下滑动查看更多
2023年广东省艺体类录取情况
2023年广东省教师专项录取情况
2023年广东省地方专项录取情况
2023年广东省中外合作办学录取情况
2023年华南师范大学港澳台联招分数线
2024年,华师按学科对院校专业组进行细分,普通类(不含地方专项)本科批共分为31个专业组,音乐类按器乐种类分为35个专业组。
各专业组介绍
上下滑动查看更多
历年各专业录取分数线
可上华师普通高考招生信息网查看
文末点击“阅读原文”
让我们一起了解
今年的录取批次与录取原则吧
录取批次与录取原则
录取批次
华南师范大学教师专项在广东省提前批录取,其他专业在本科批录取。在各省、自治区、直辖市的录取批次均安排在第一批本科(合并批次的省份安排在本科批)。
我校汕尾校区继续单设院校代码80002招生,今年有材料物理、物联网工程、数据科学与大数据技术、储能科学与工程、金融科技、服装与服饰设计、学前教育(师范)、小学教育(师范)专业招生。

我校普通类(历史类、物理类)专业分档时,根据各省(区、市)投档规则出档后,实行“分数优先,遵循志愿”的录取原则,不设置专业志愿级差,根据考生投档总分从高分到低分(相同分数的按排位先后)排序进行专业录取。
本校教师专项计划实行“分数优先,遵循志愿”的原则,不设置专业志愿级差,根据考生投档总分从高分到低分(相同分数的按排位先后)排序进行专业录取。



























