根据上级主管部门有关文件精神以及《宿州学院2025年面向中职毕业生对口招生章程》规定,现将我校2025年对口招生录取总成绩最低控制线和拟录取名单予以公示,公示时间为3月31日—4月4日。公示期间如有异议,请于4月4日17:00前以书面形式反馈到宿州学院教务处,联系电话:0557-2875025,也可以直接向我校纪委办公室反映,联系电话:0557-2871685。
一、最低录取分数线
专业名称 | 最低录取分数线 |
旅游管理 | 652.00 |
学前教育 | 625.17 |
计算机科学与技术 | 705.60 |
音乐学(器乐方向) | 331.062 |
音乐学(声乐方向) | 326.831 |
音乐学(舞蹈方向) | 315.732 |
表演(泗州戏方向) | 350.52 |
休闲体育(田径短跑类) | 321.60 |
休闲体育(田径长跑类) | 293.10 |
休闲体育(田径跳跃高度类) | 305.10 |
休闲体育(田径跳跃远度类) | 312.90 |
休闲体育(田径投掷类) | 304.20 |
休闲体育(技巧) | 350.40 |
休闲体育(篮球) | 318.67 |
休闲体育(排球) | 282.70 |
休闲体育(体育舞蹈) | 350.22 |
休闲体育(武术套路) | 324.67 |
休闲体育(足球) | 333.00 |
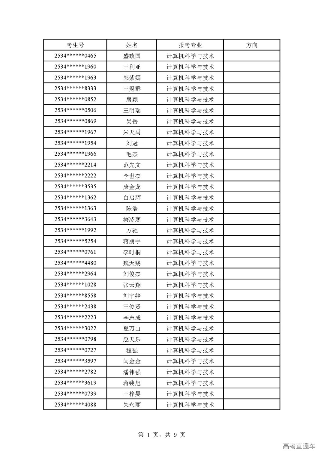
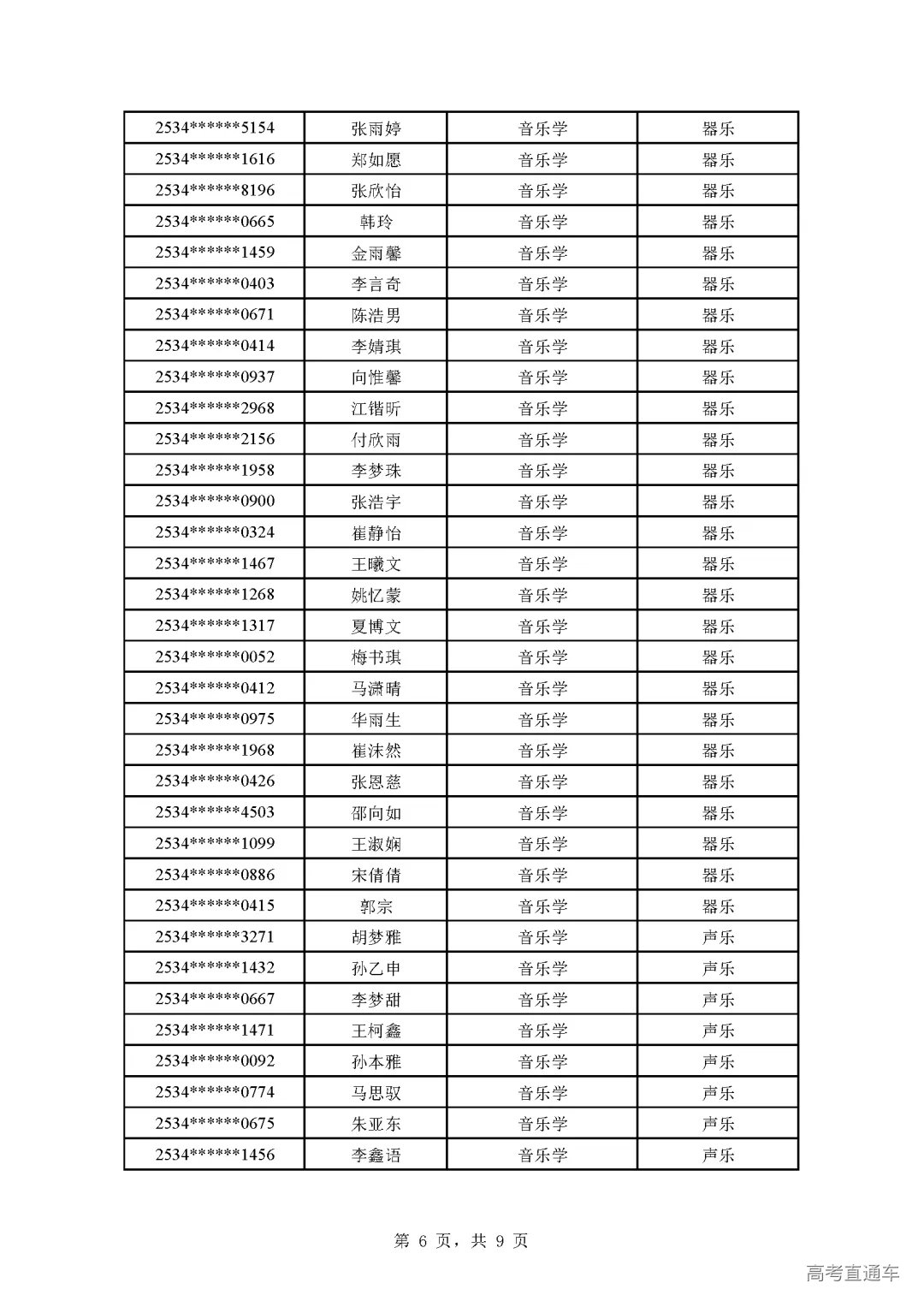
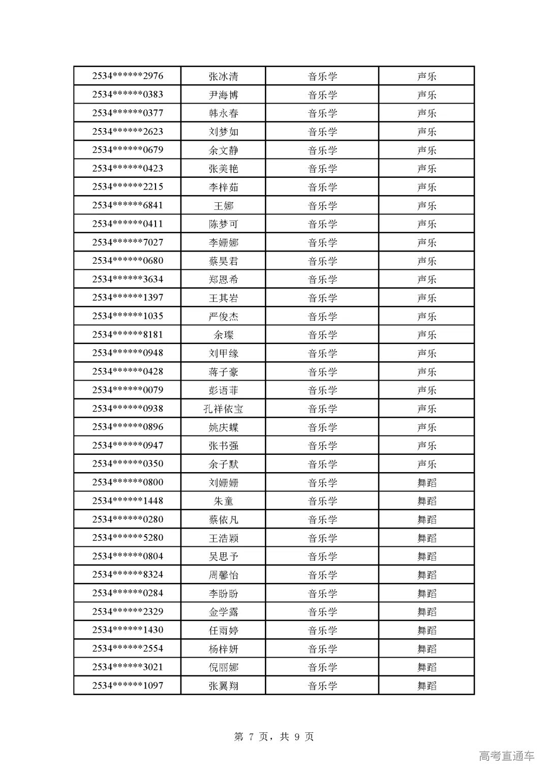
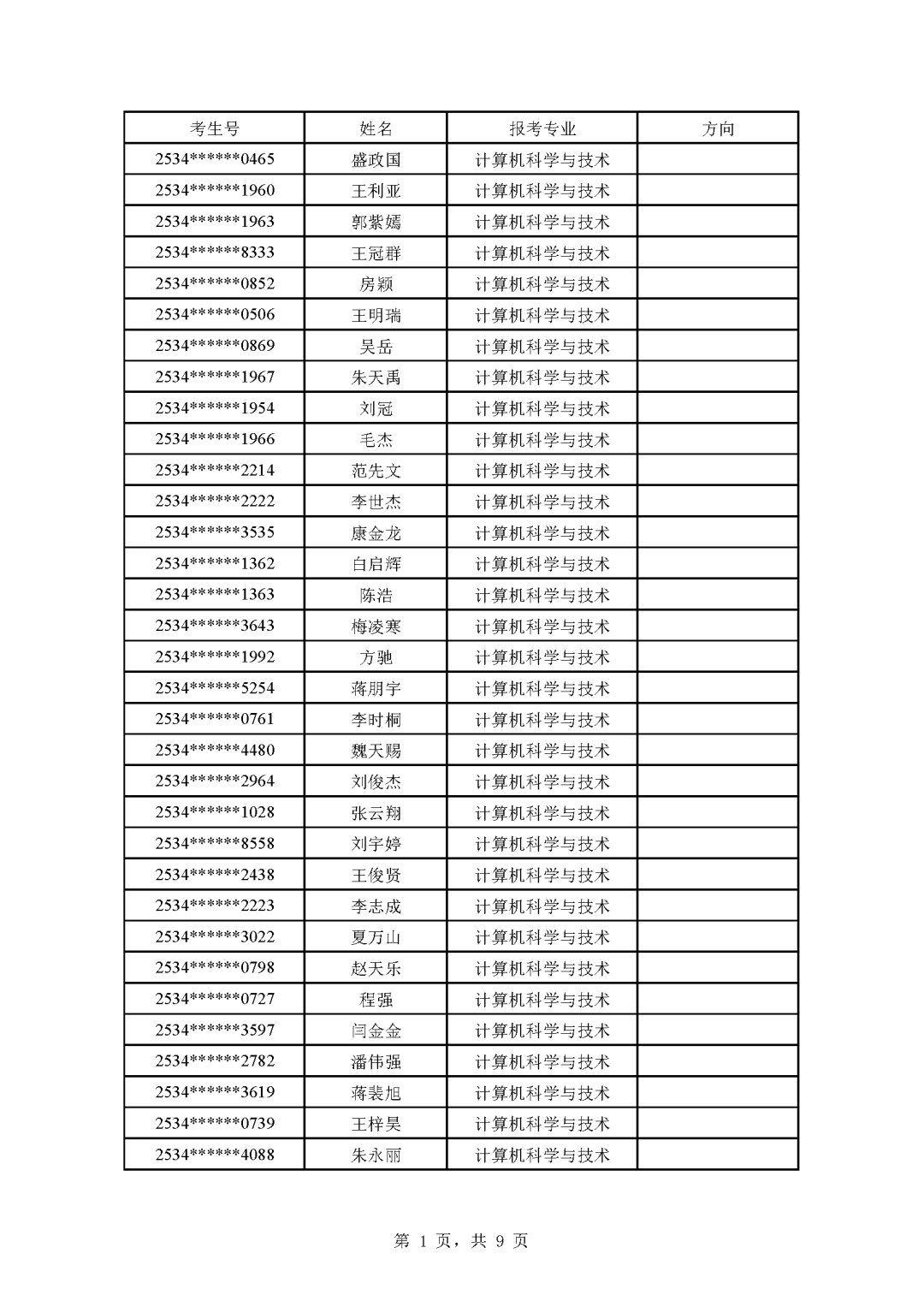
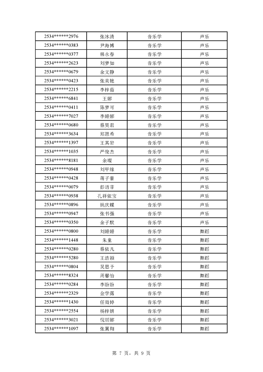
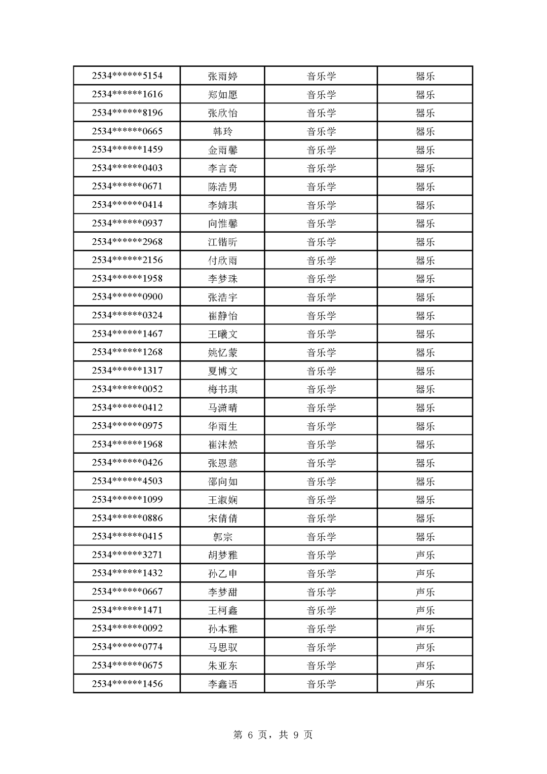
二、拟录取名单
2025年对口招生各专业拟录取名单详见下表:








