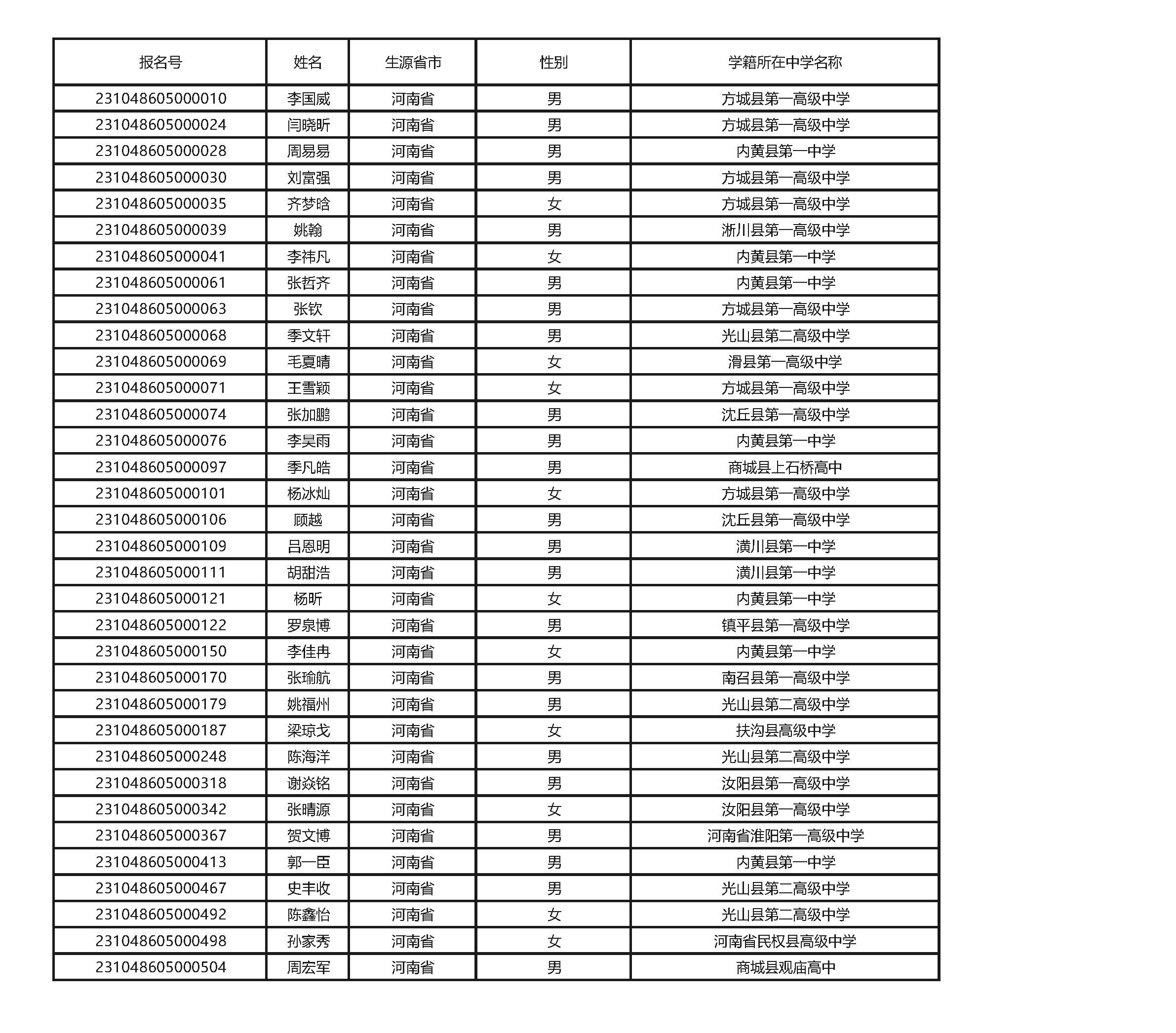
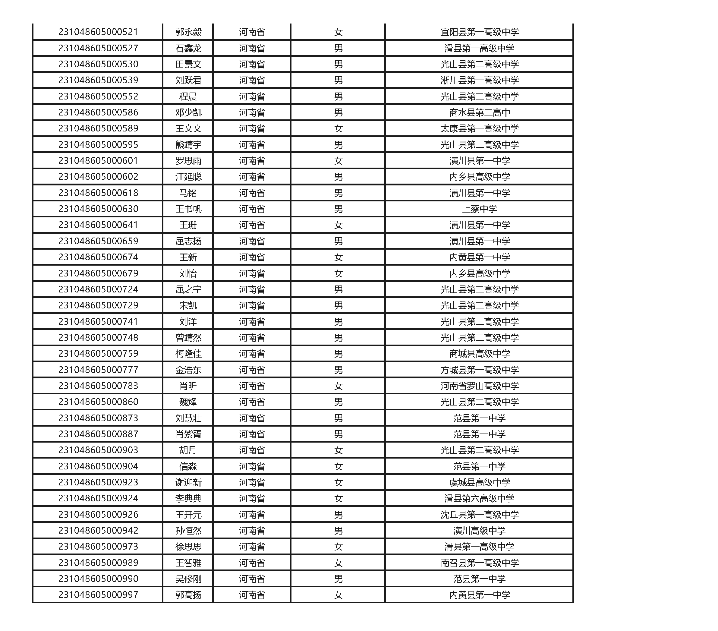
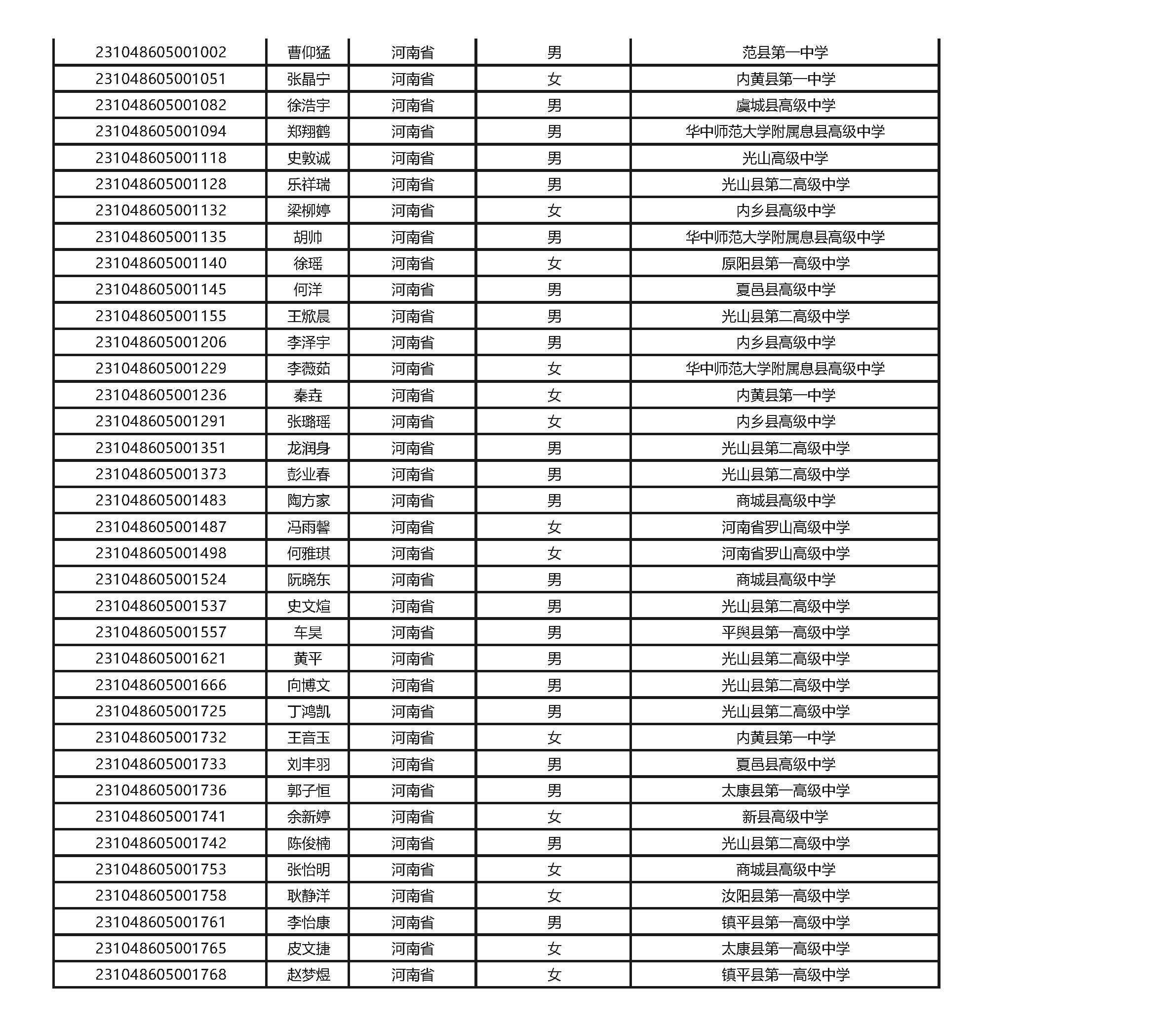
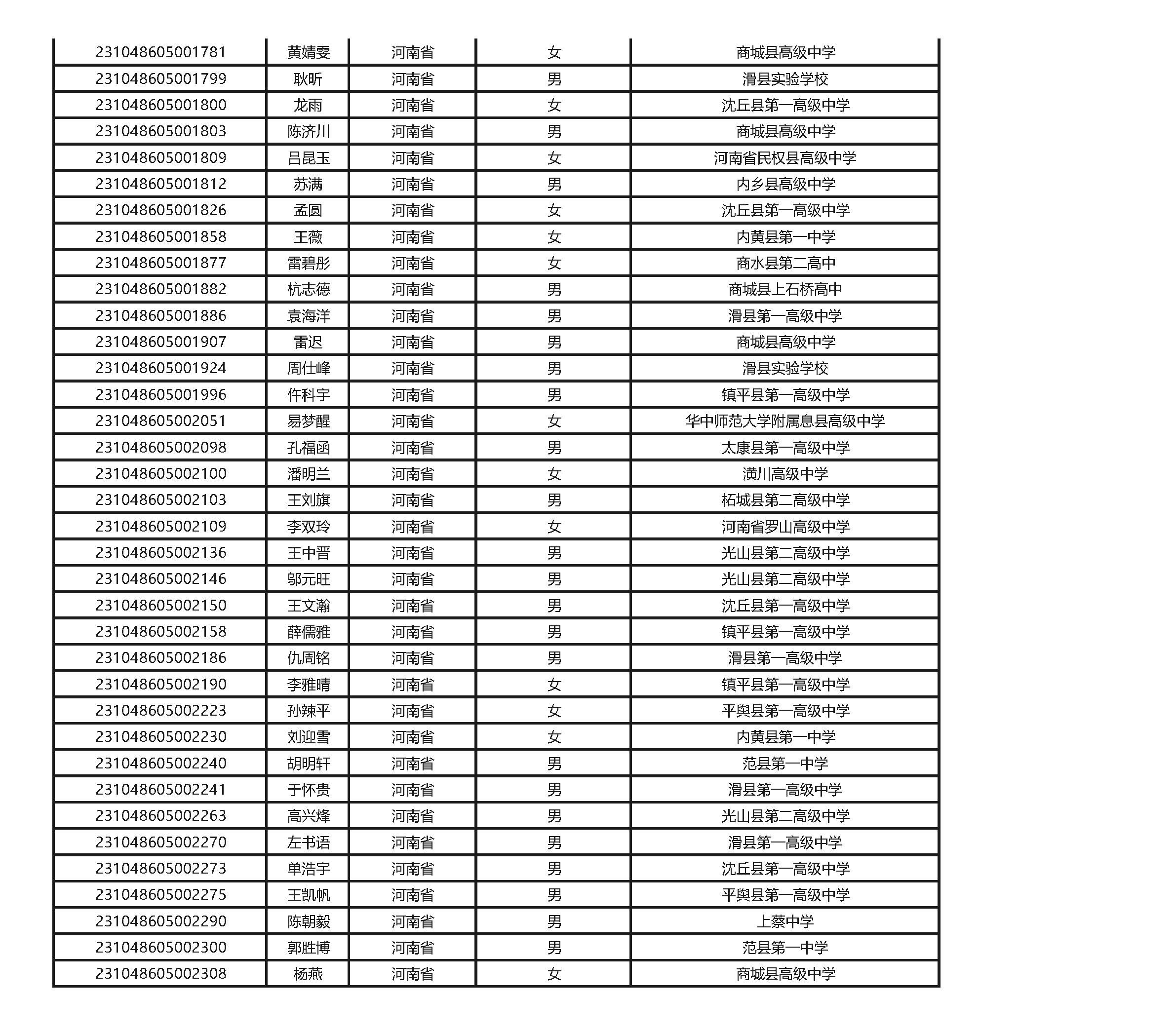
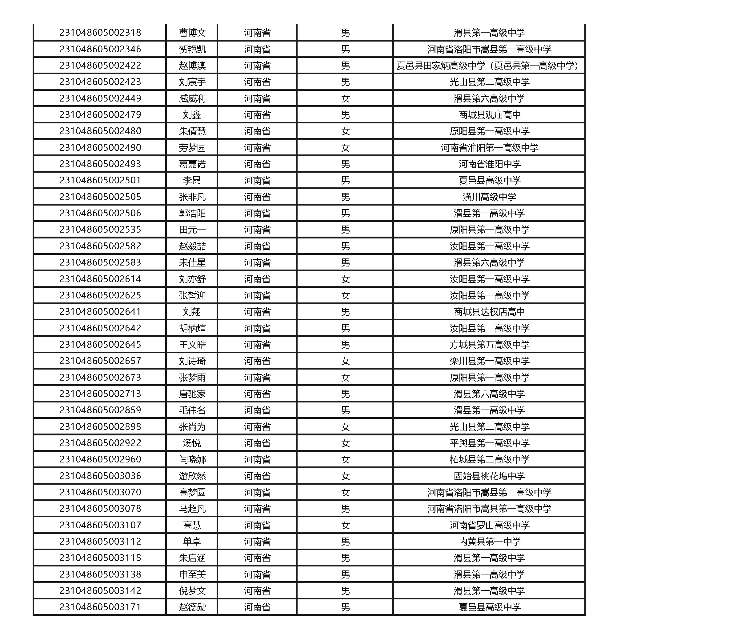
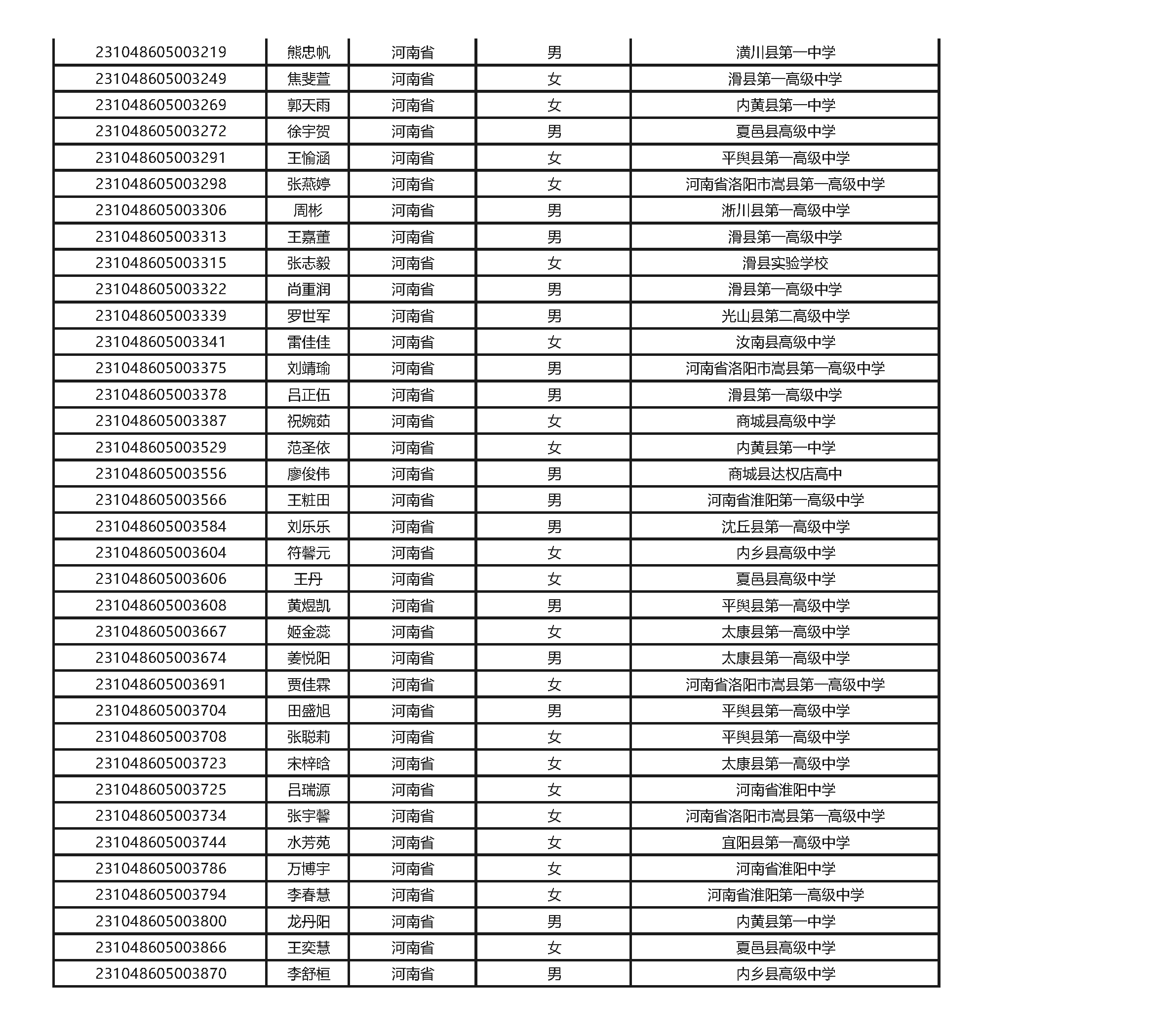
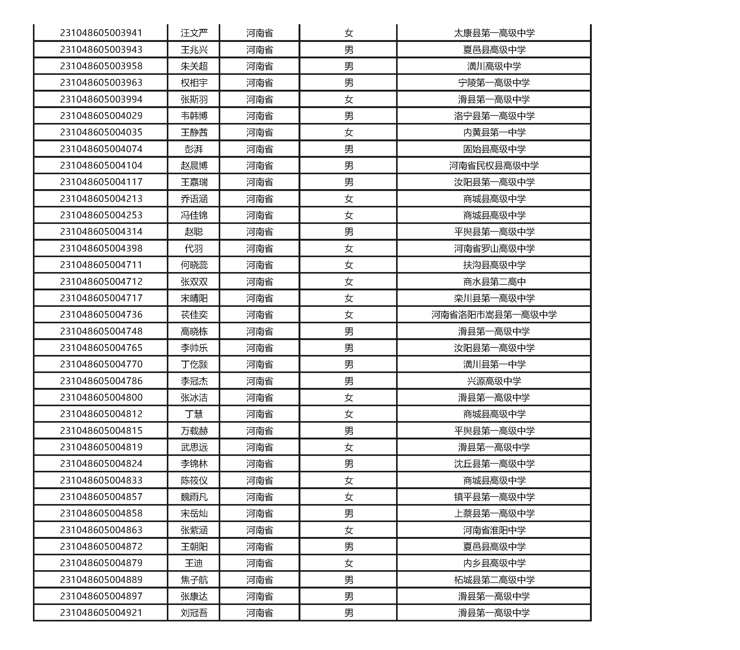
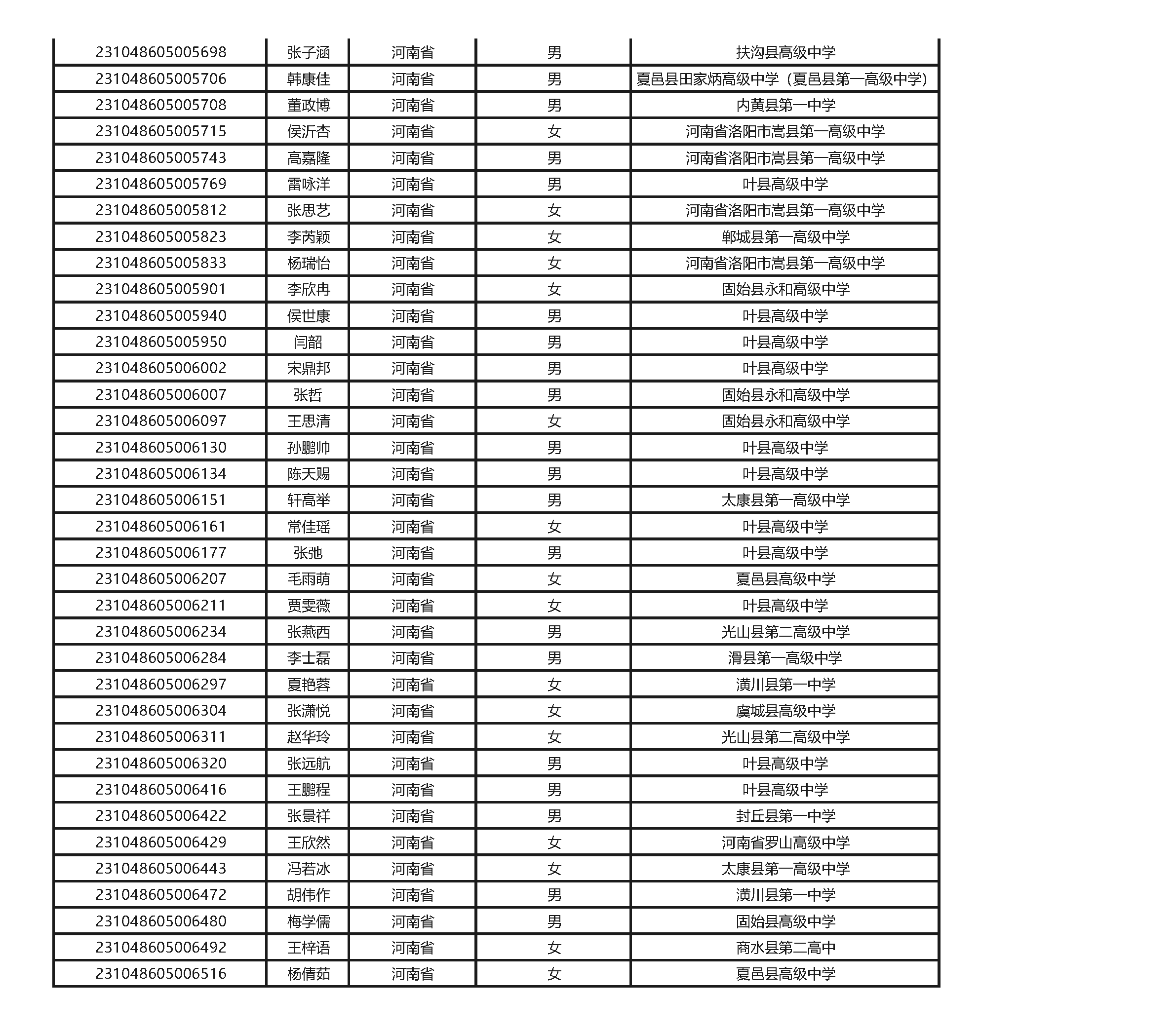
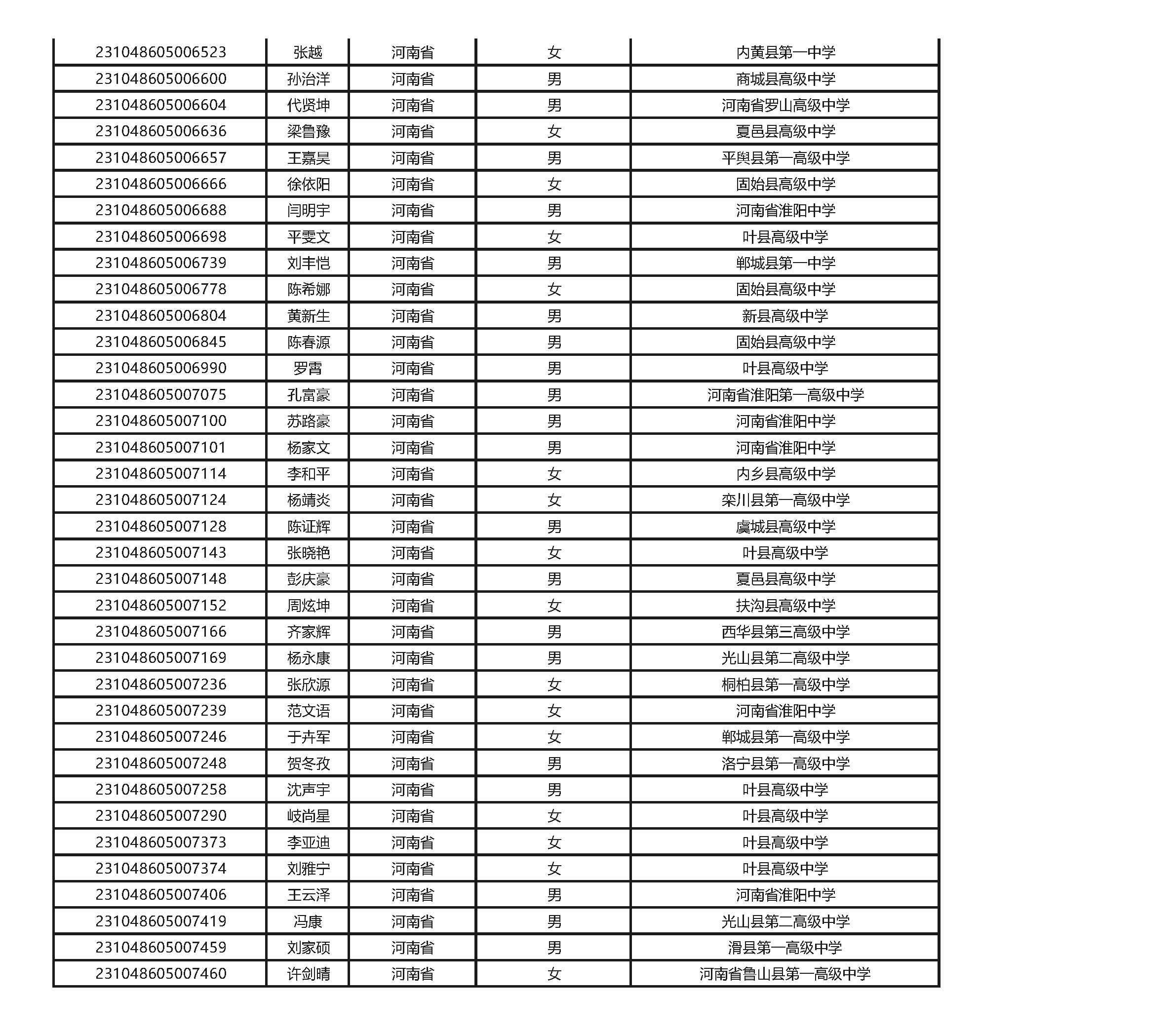
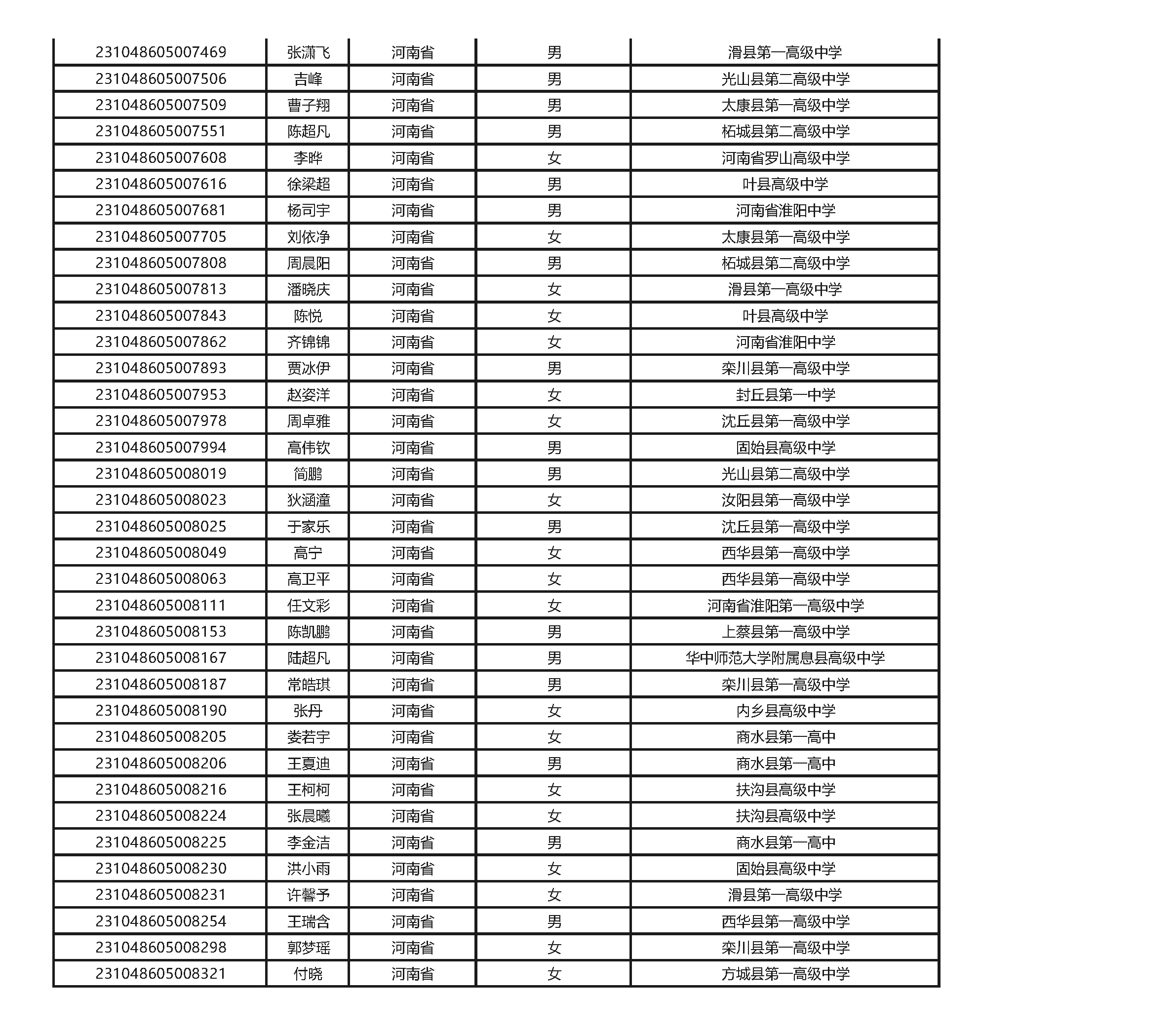
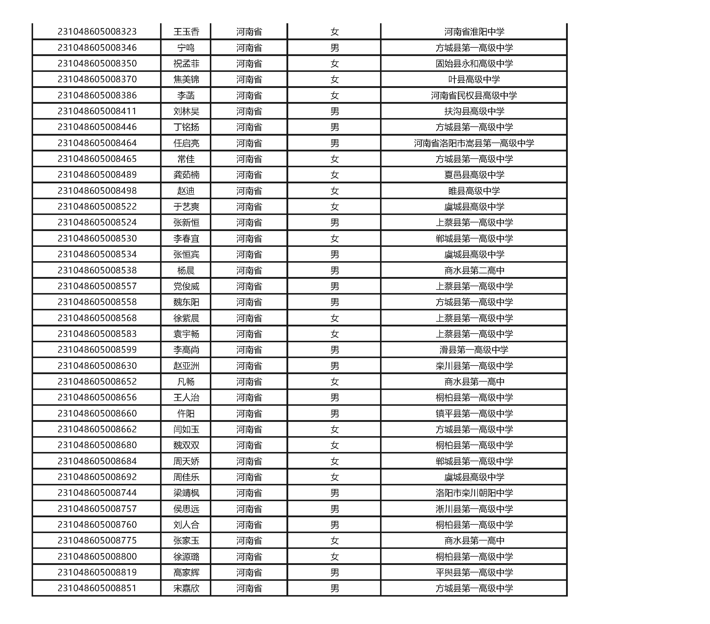
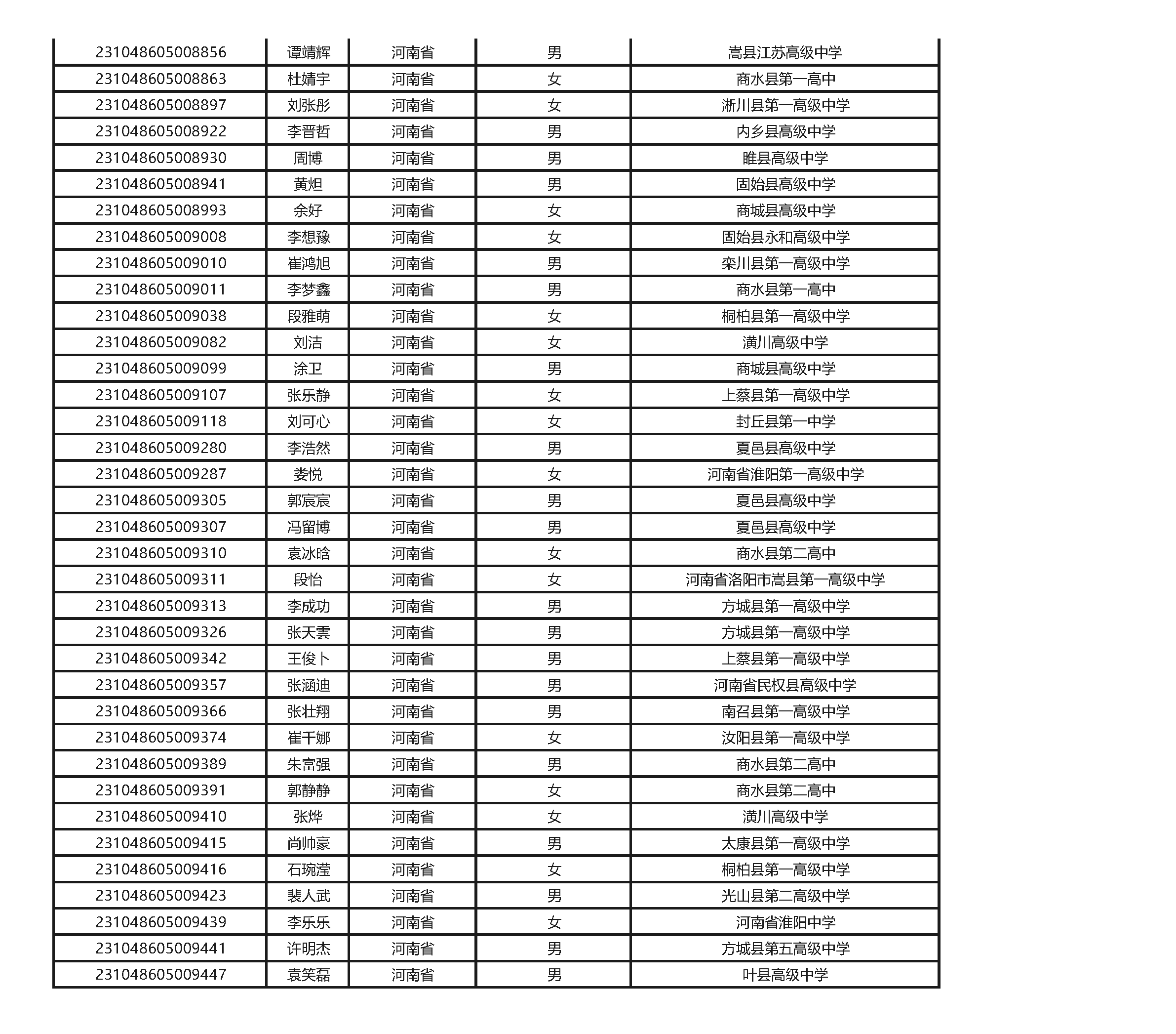
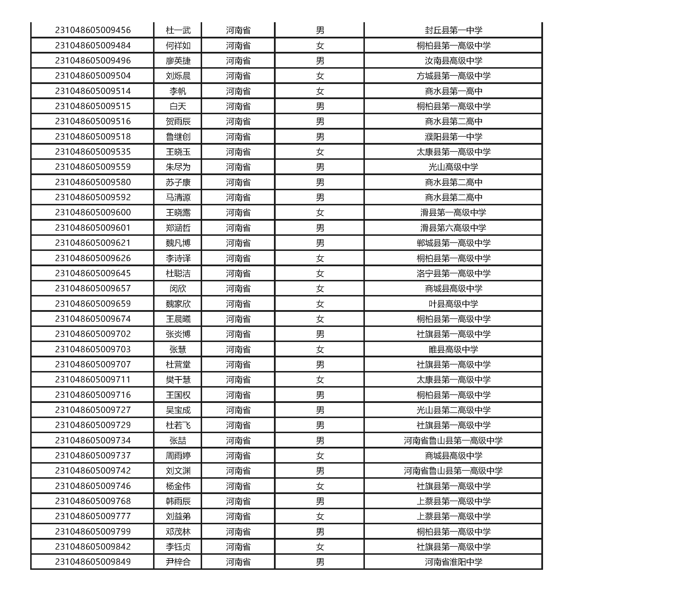
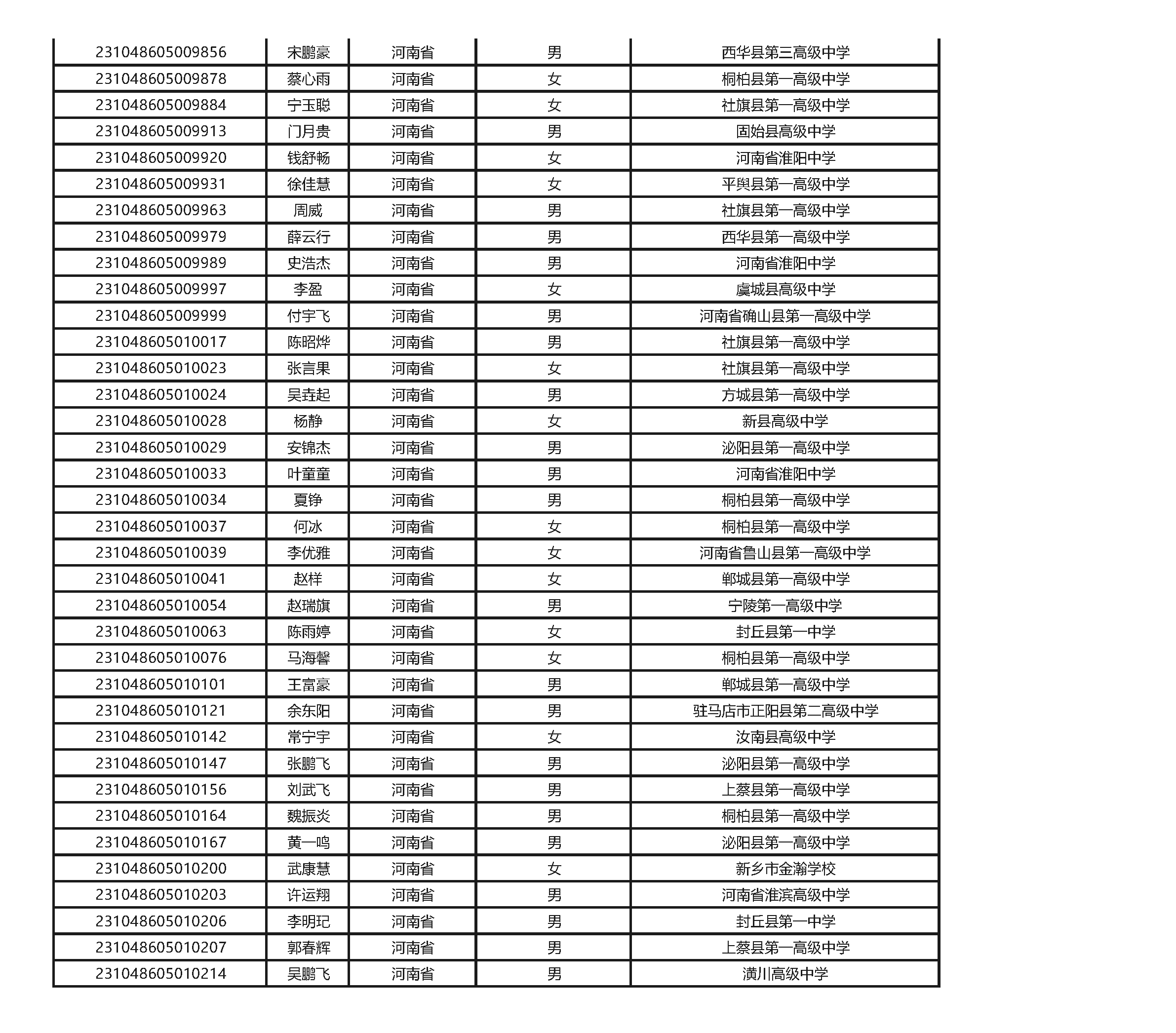
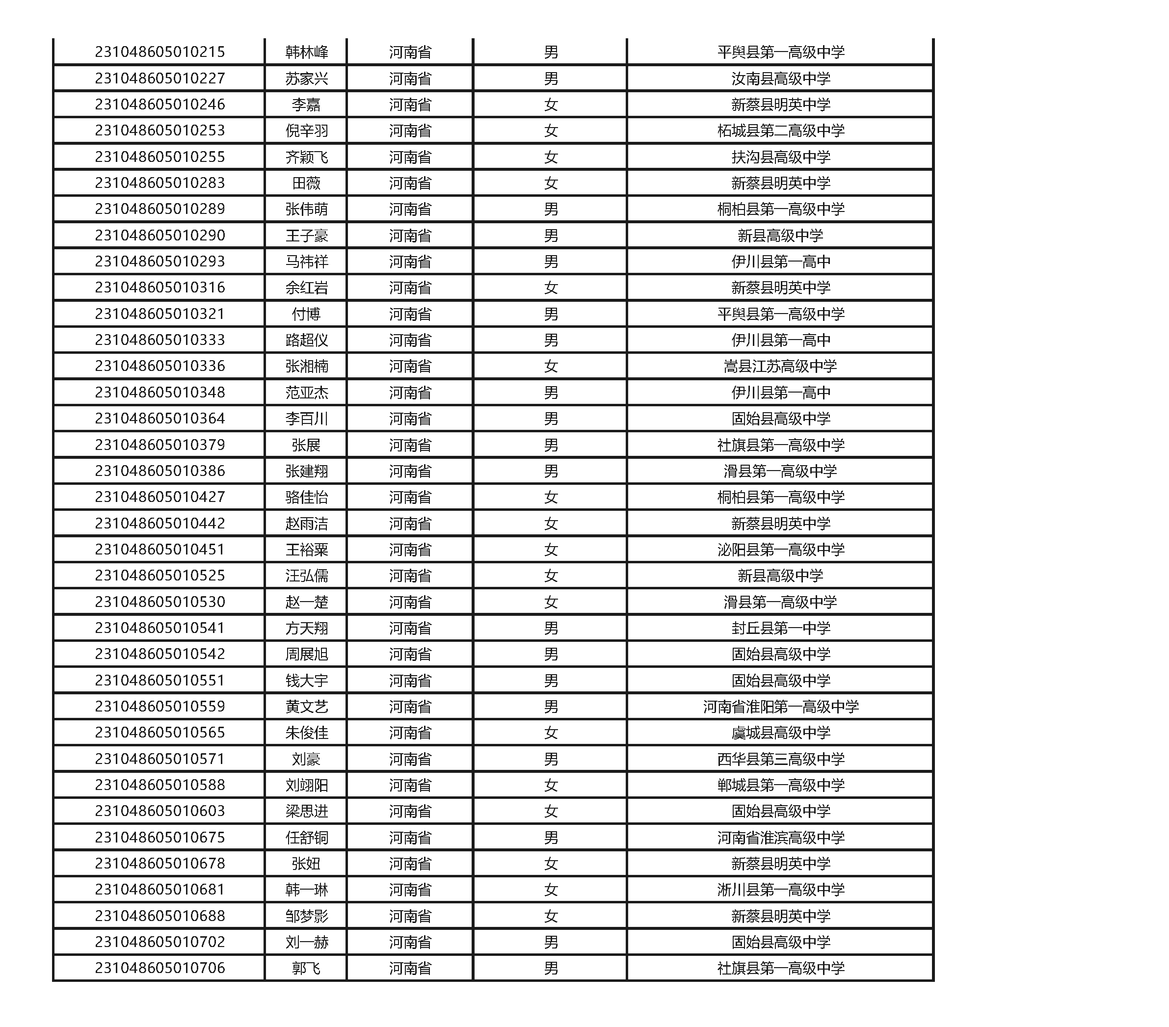
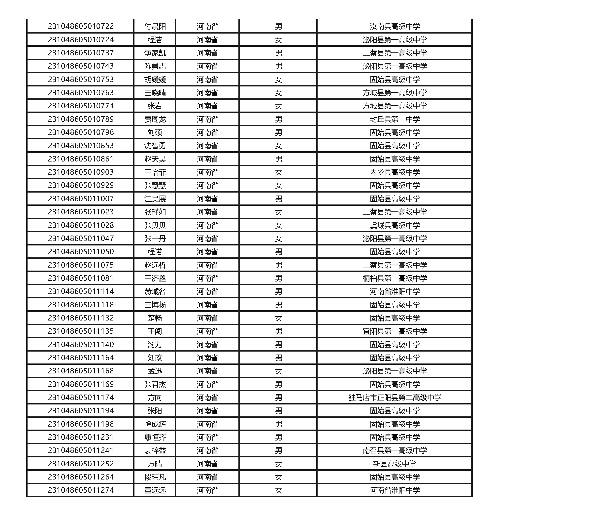
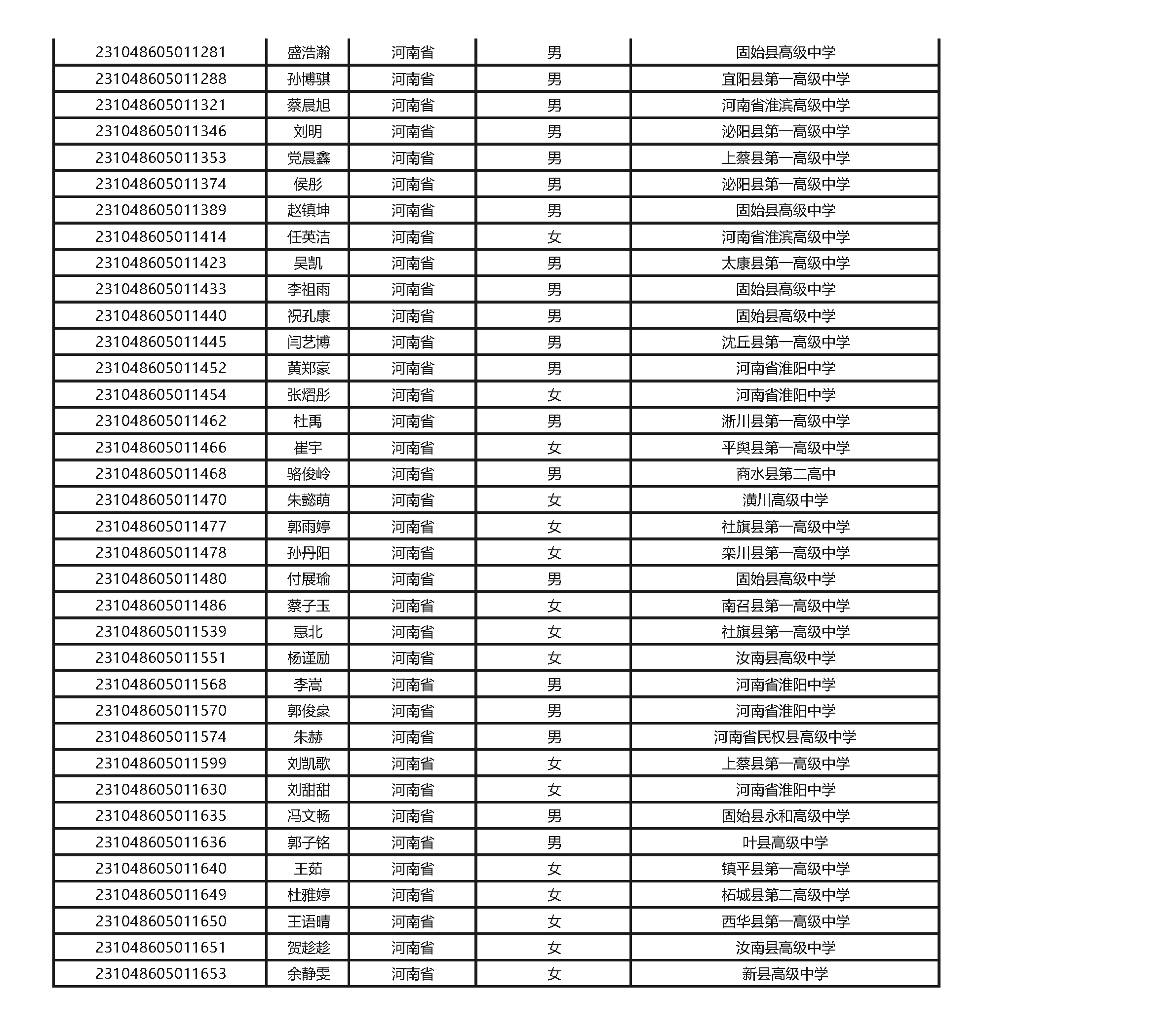
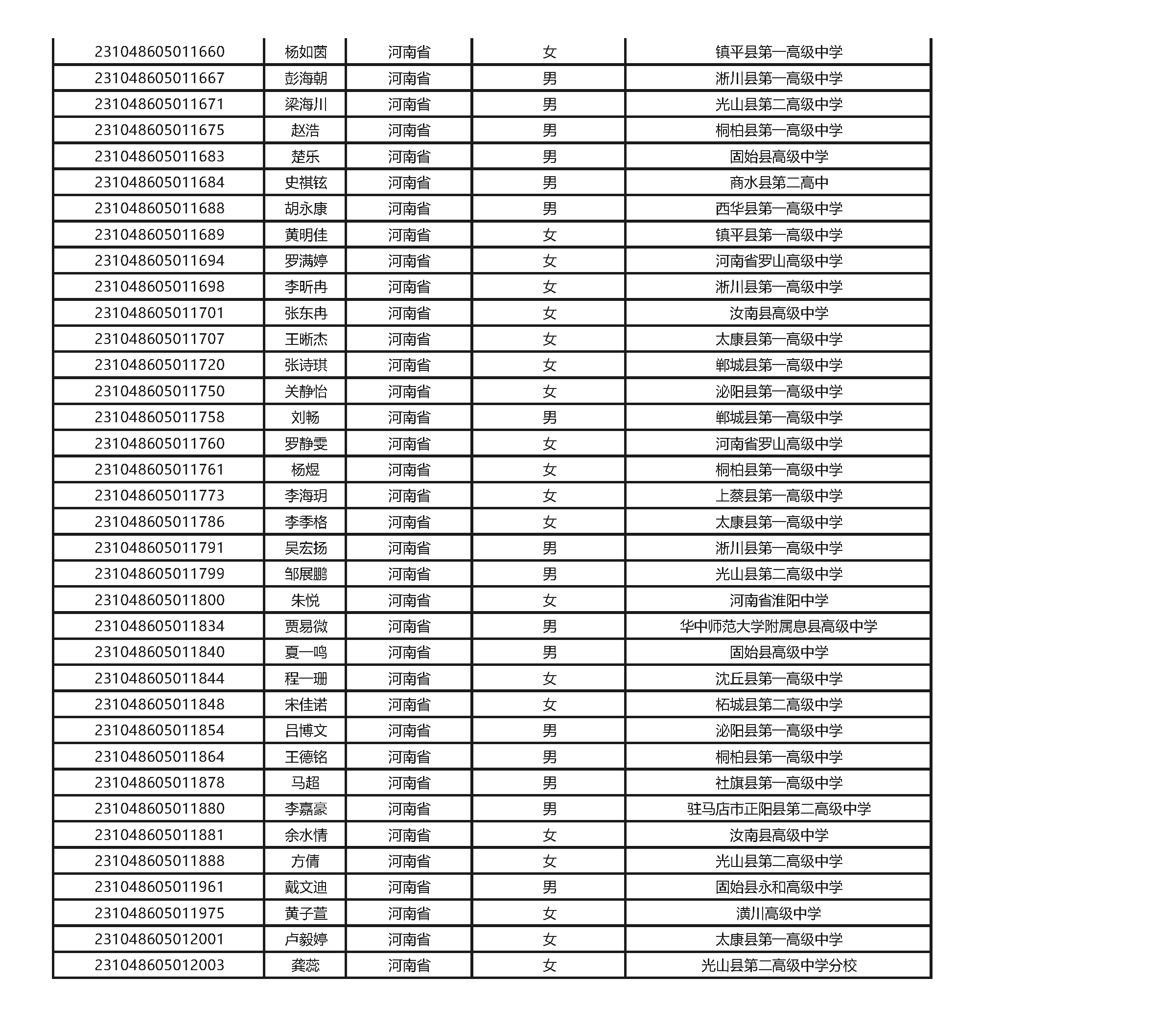
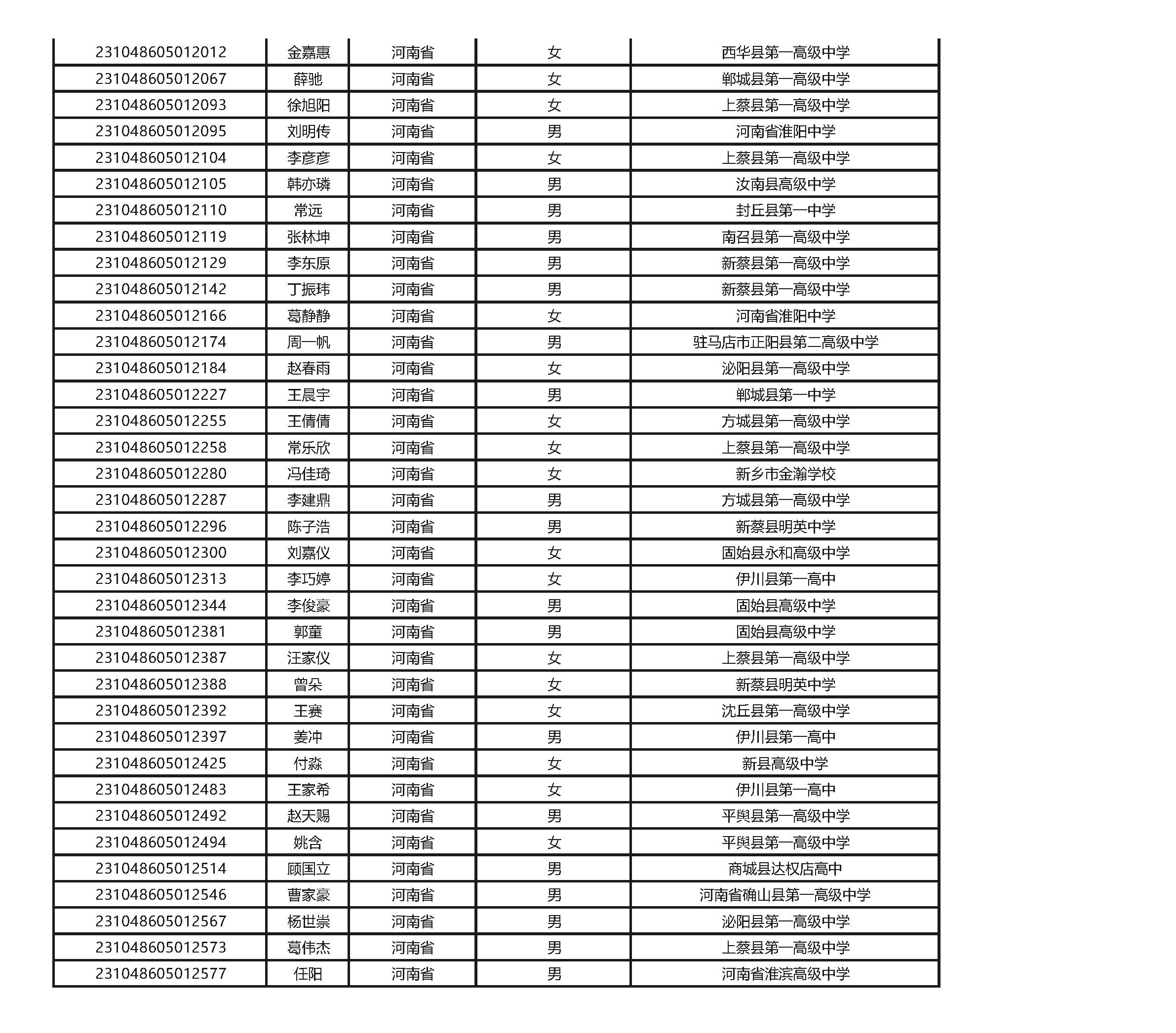
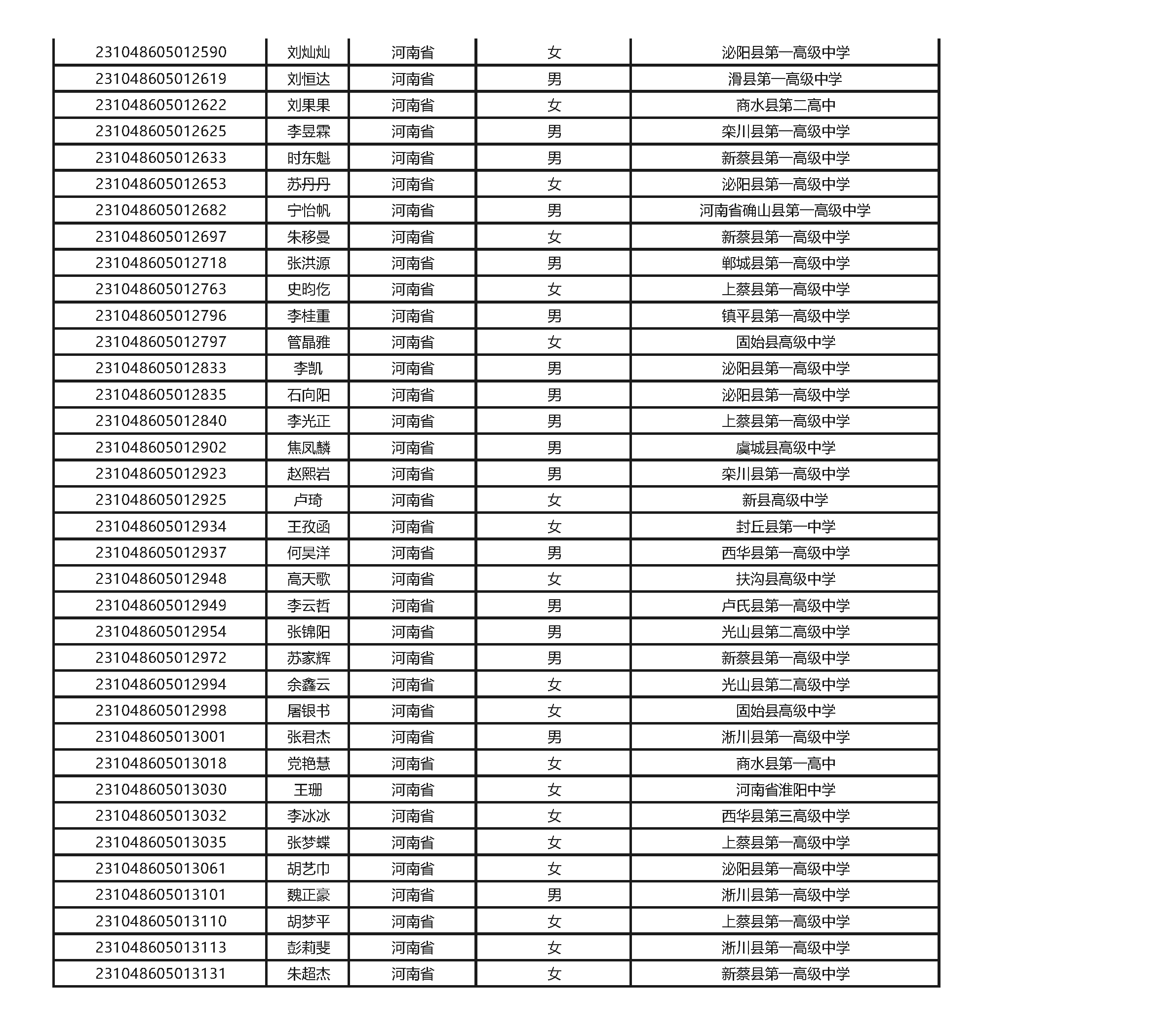
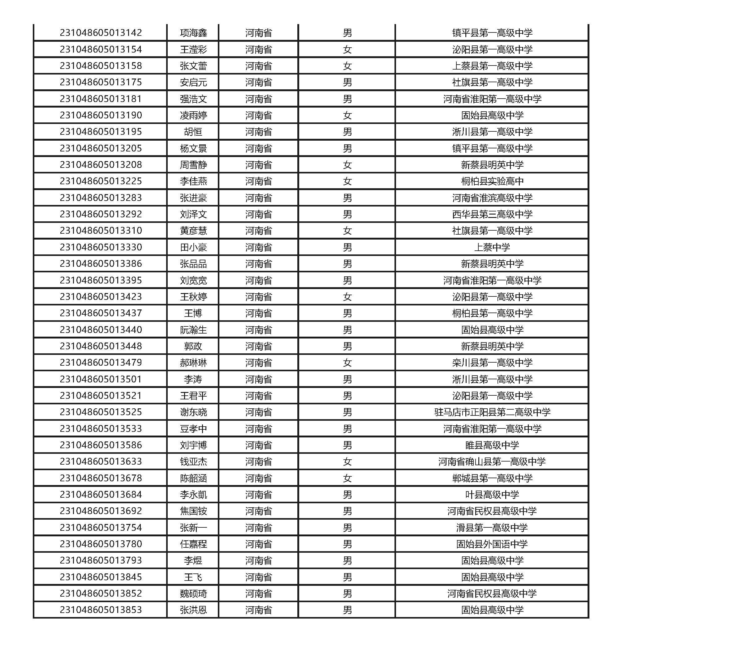
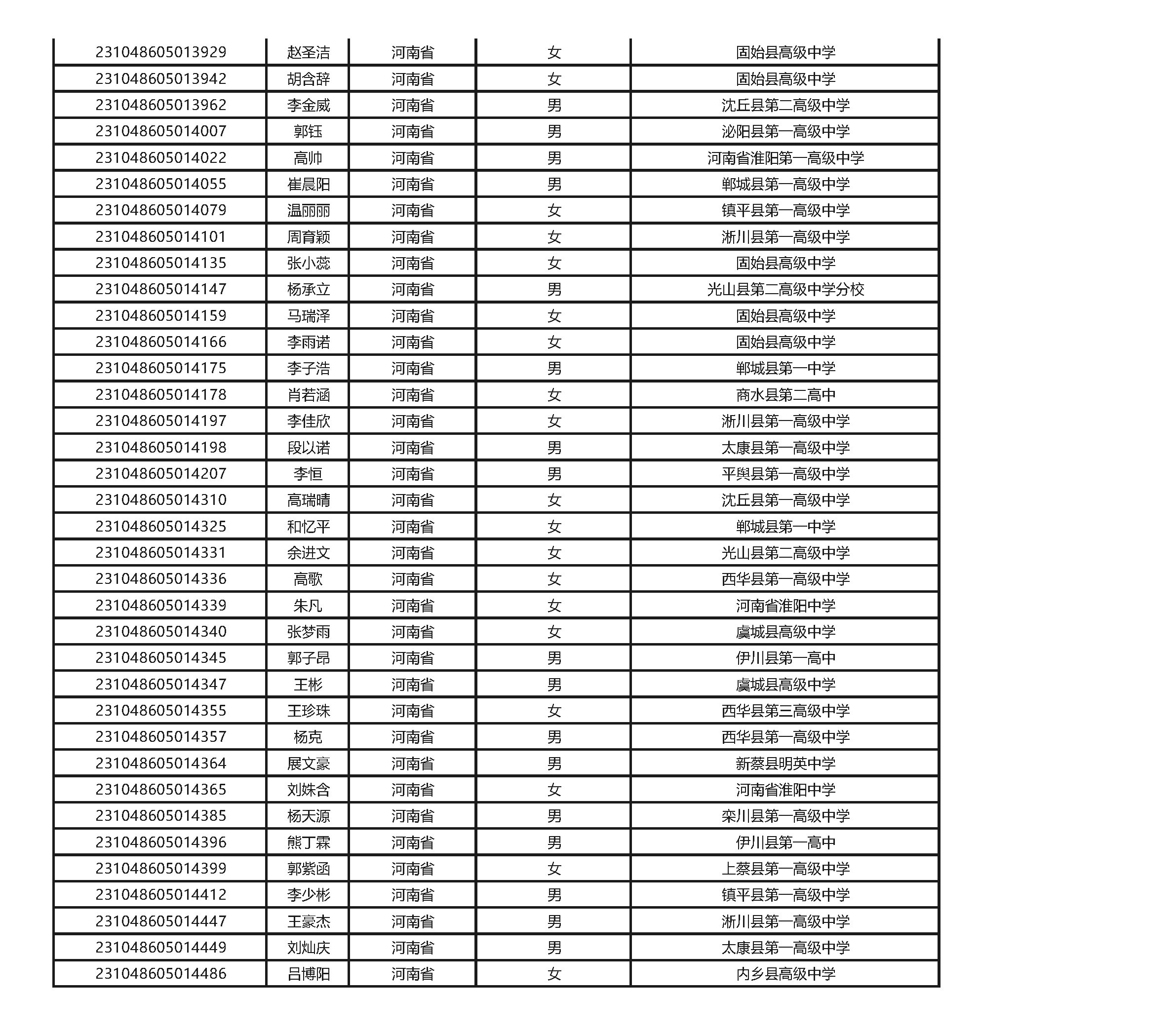
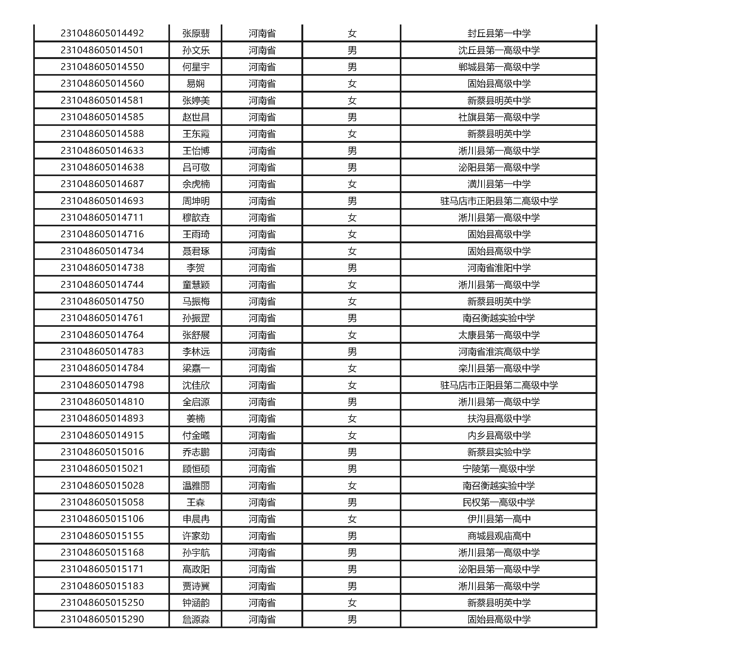
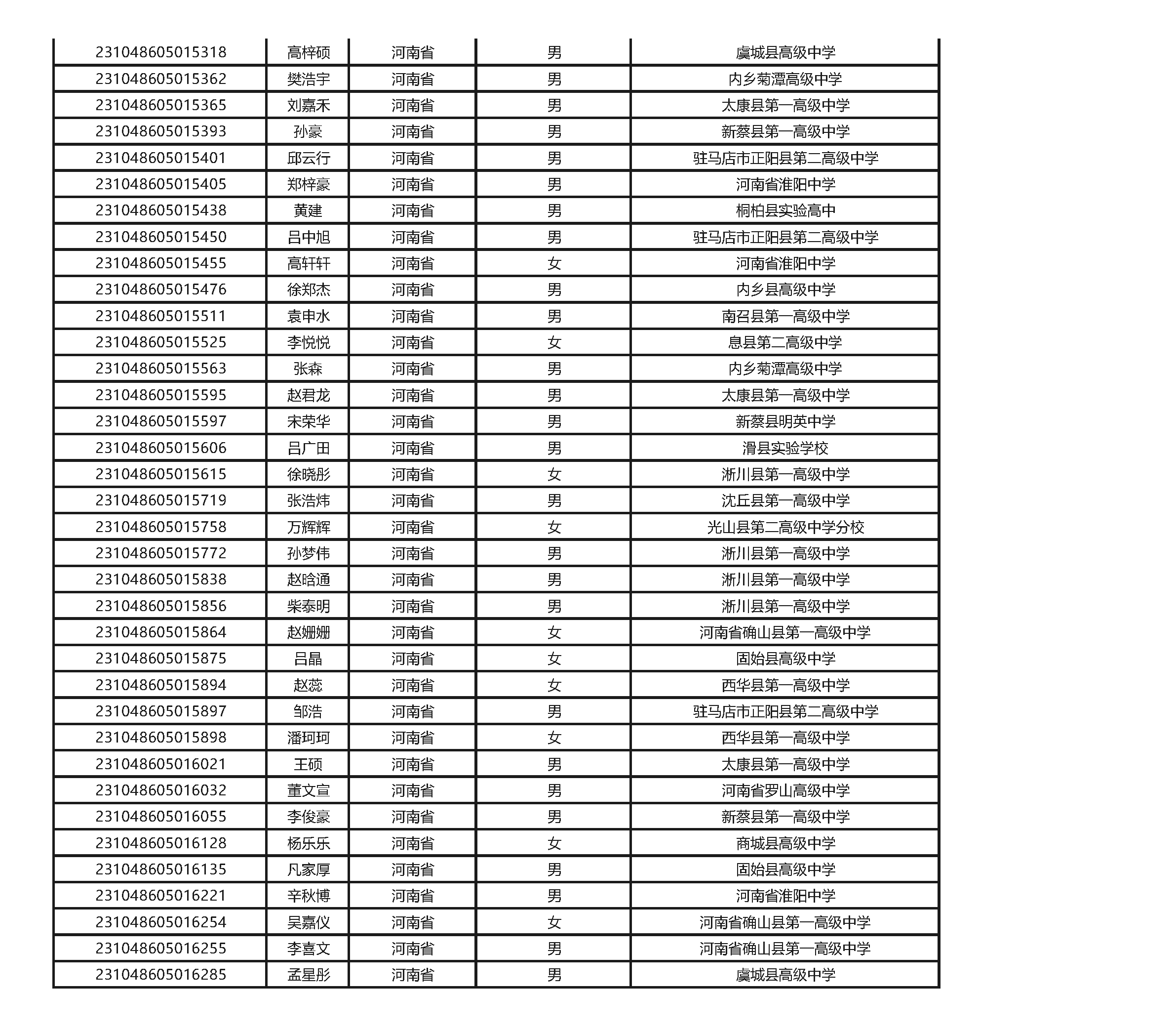
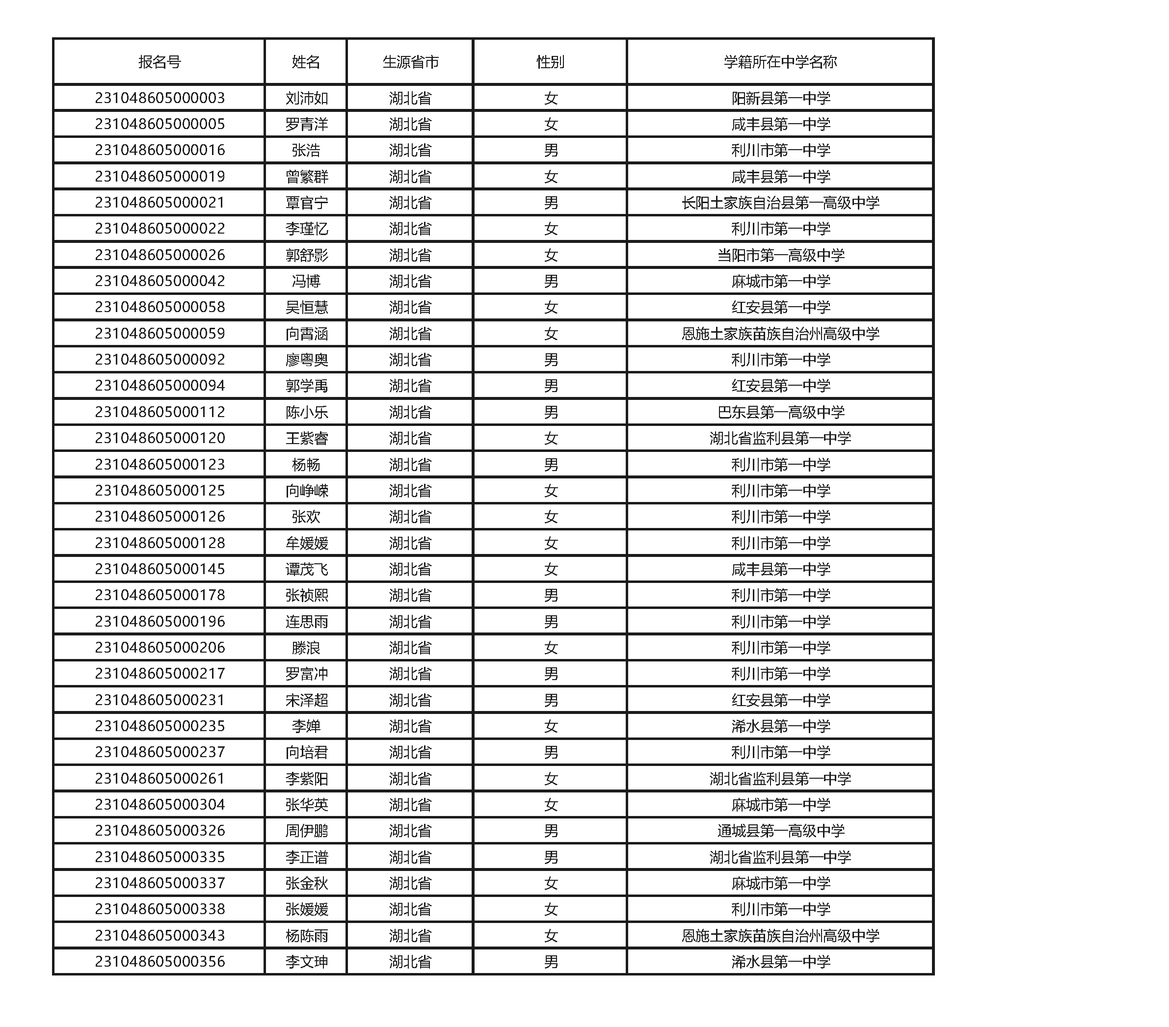
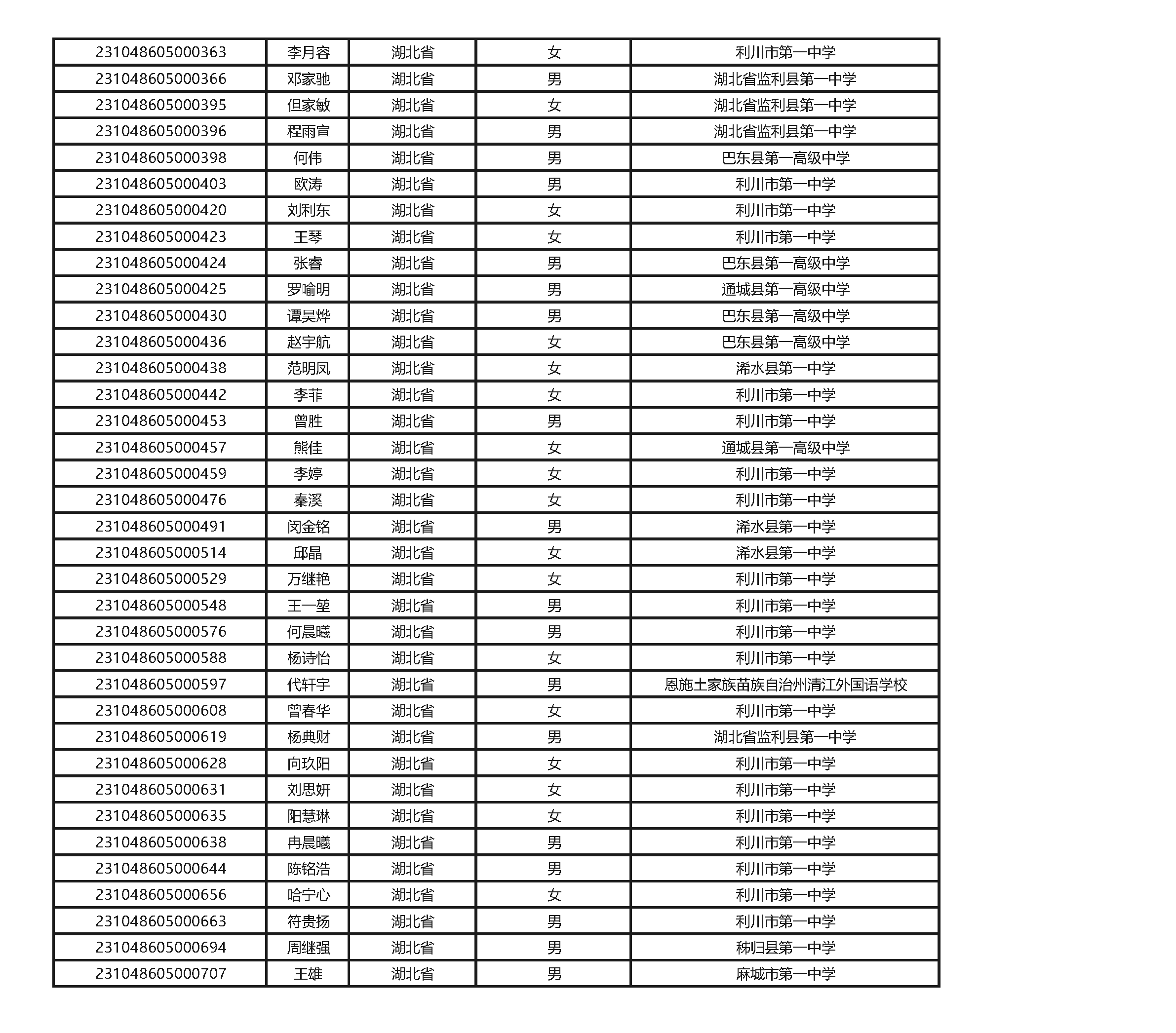
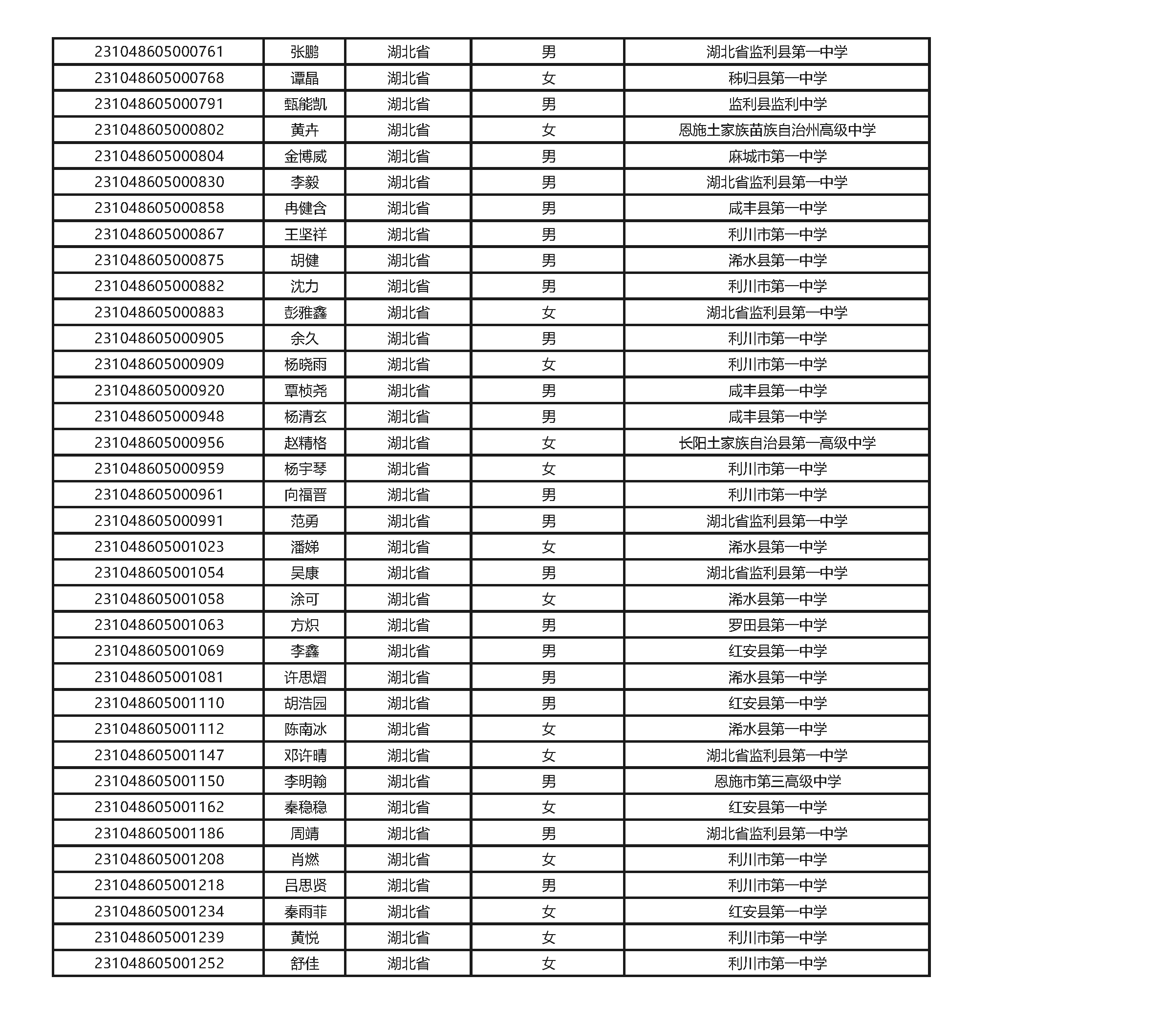
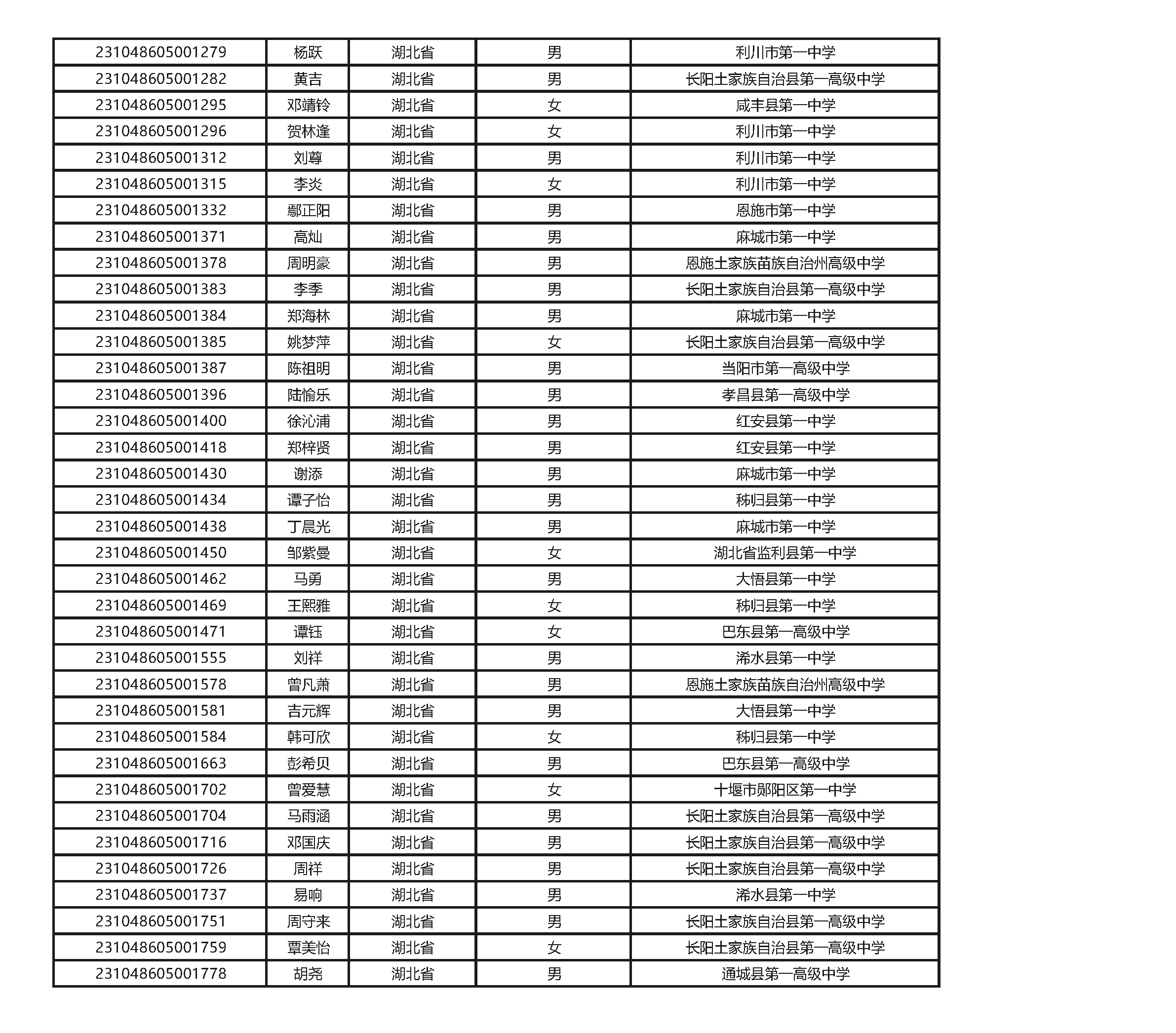
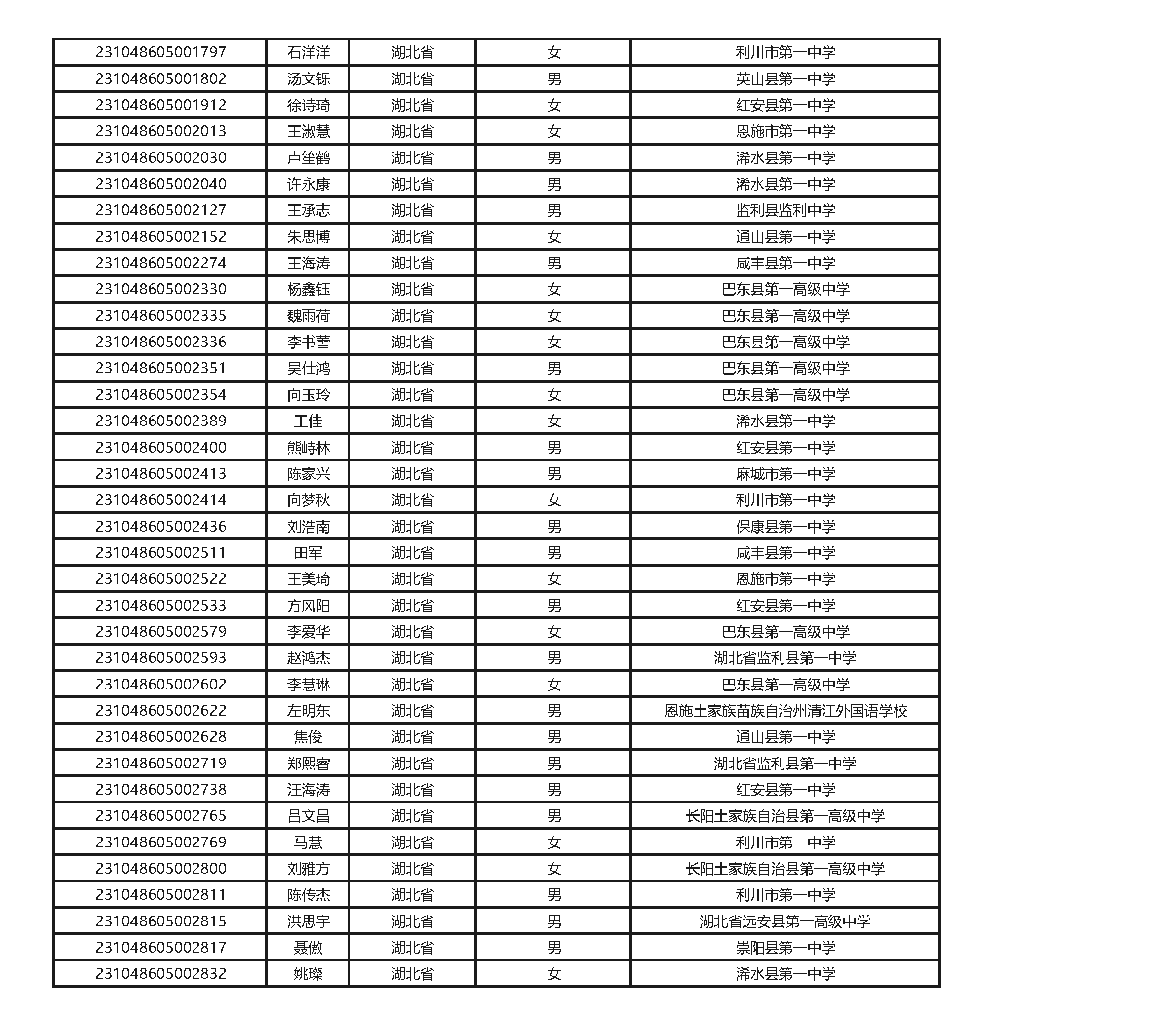
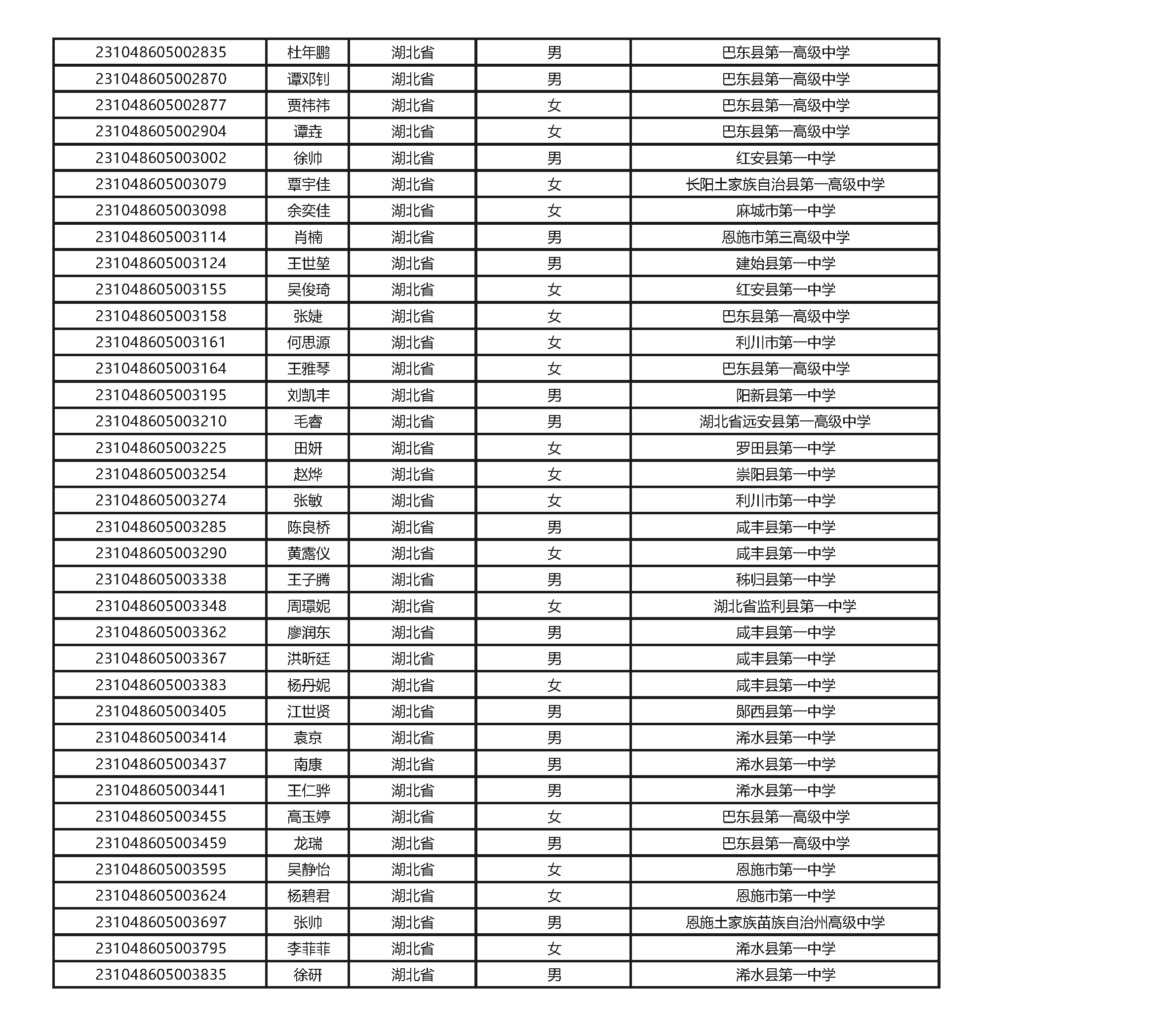
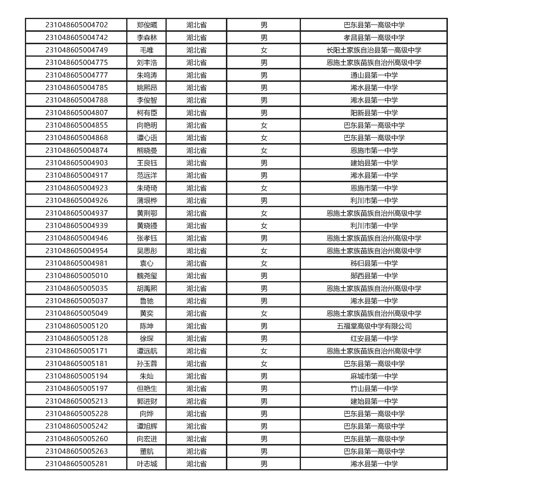
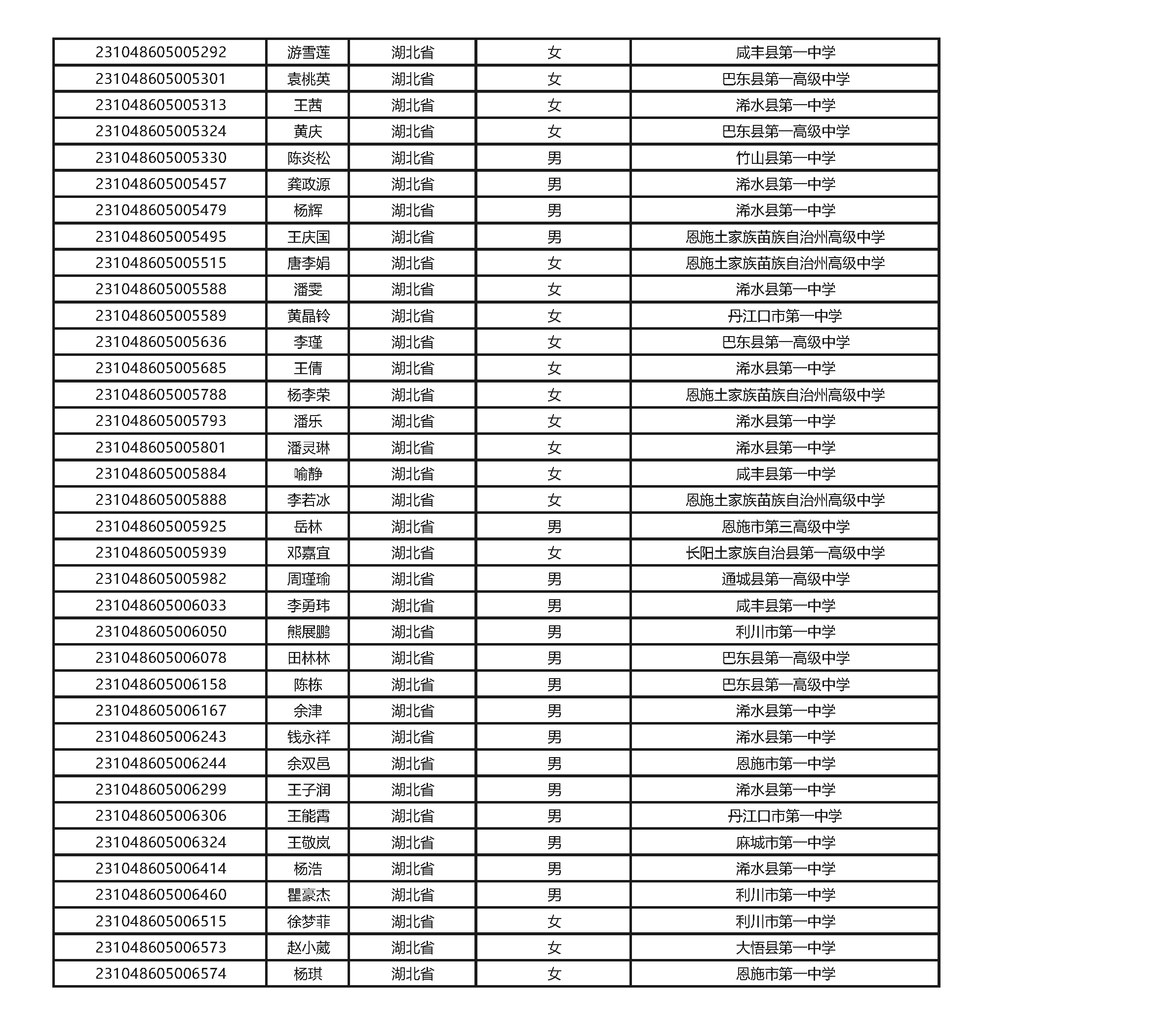
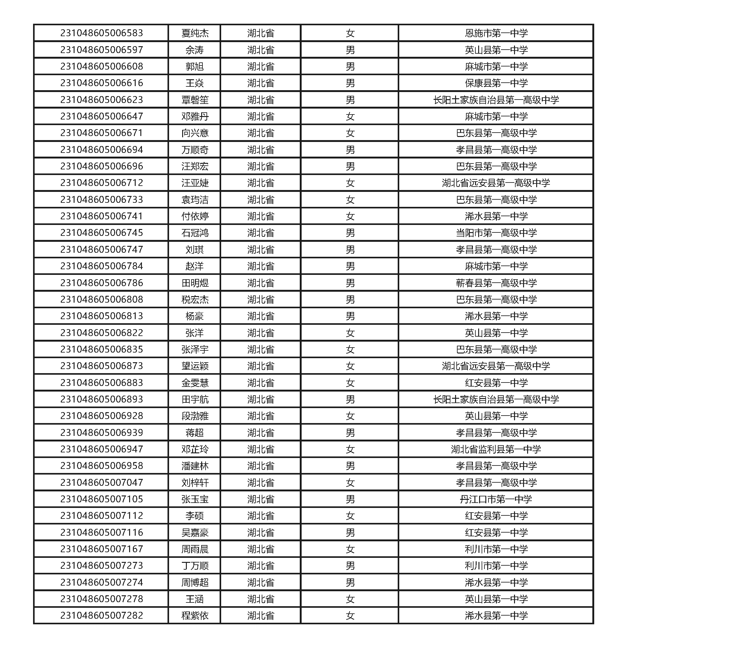
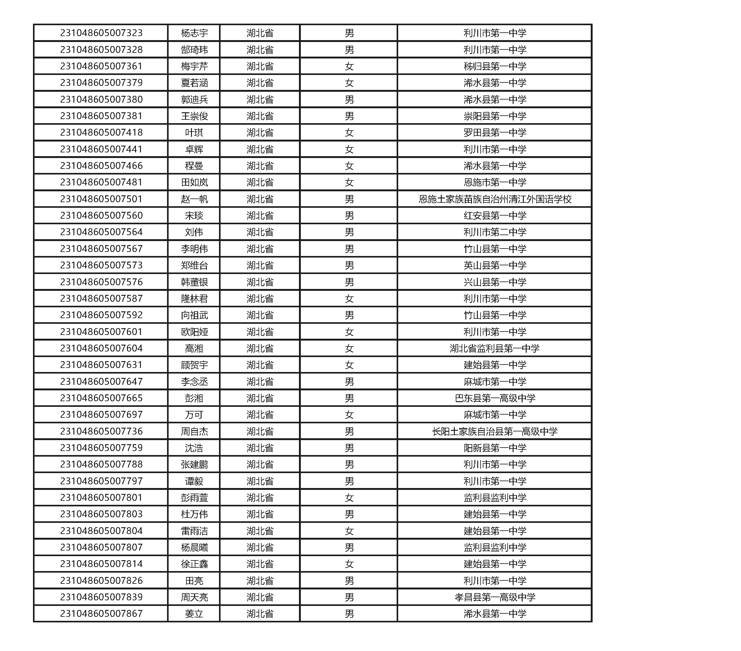
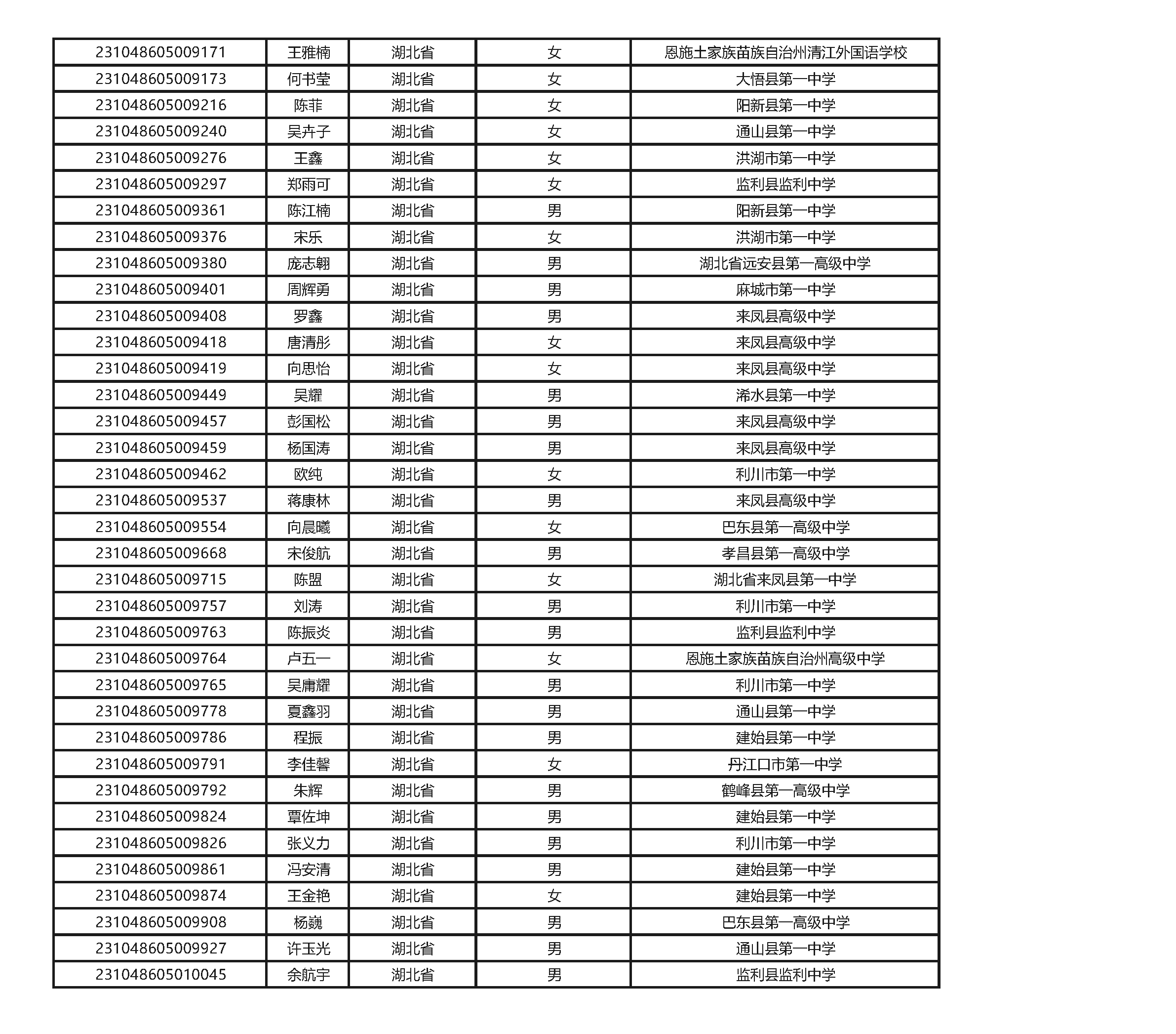
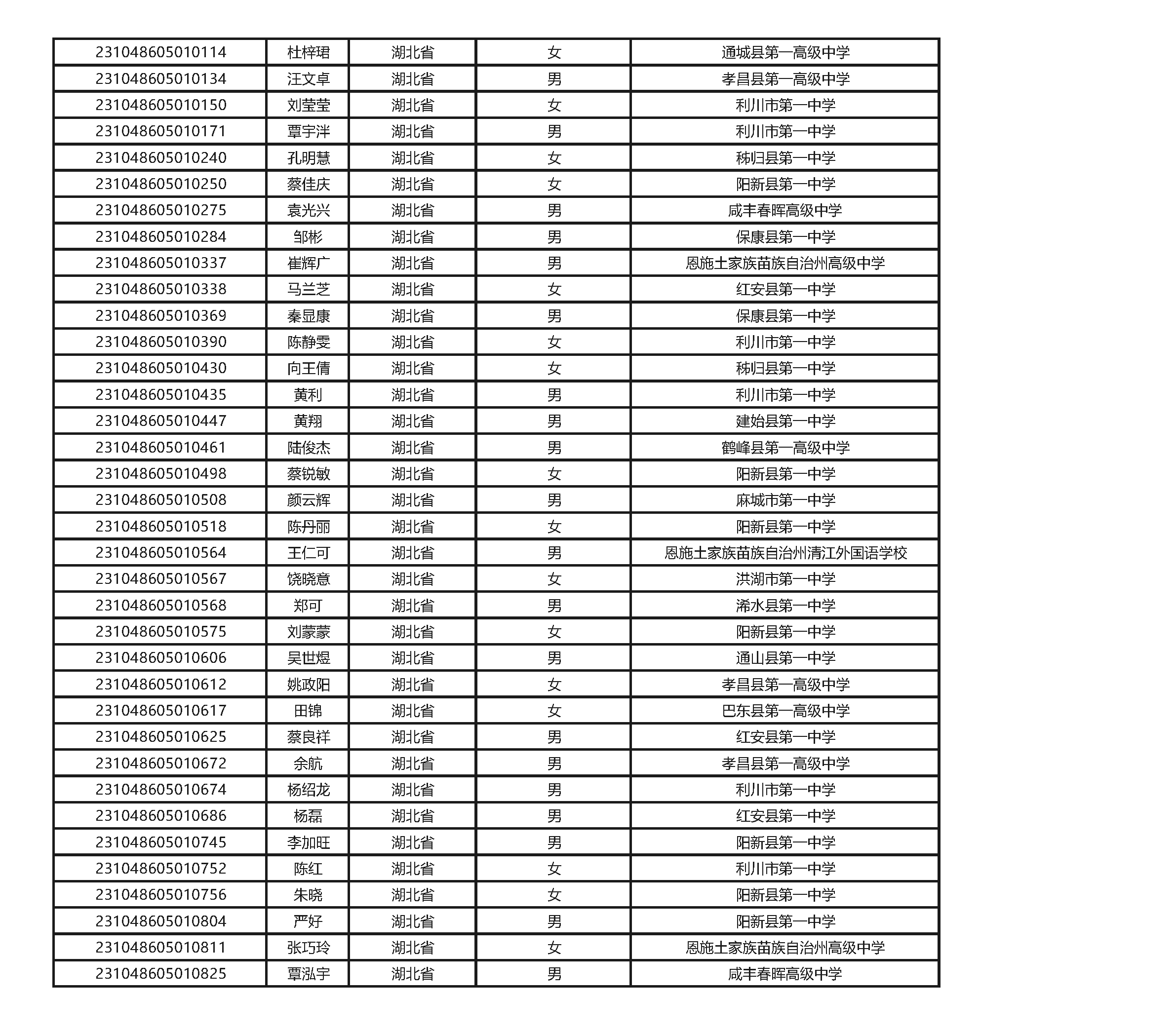
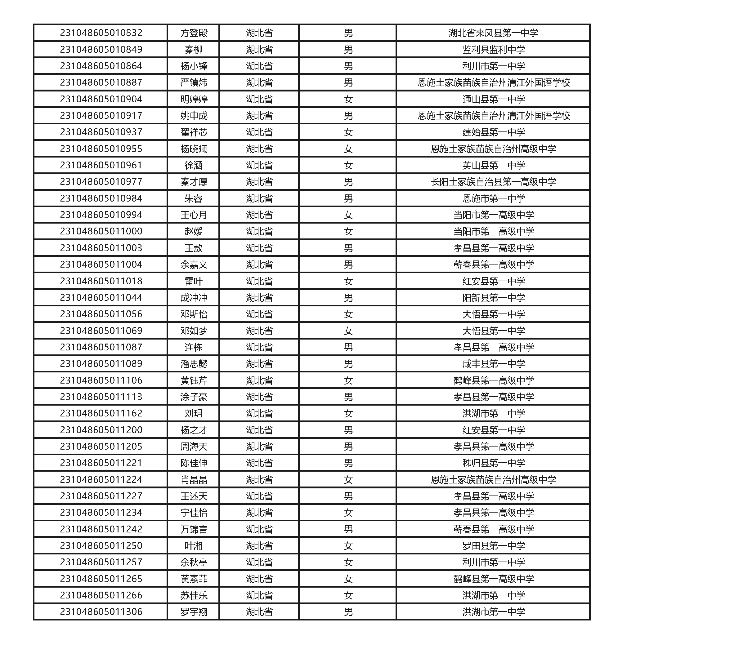
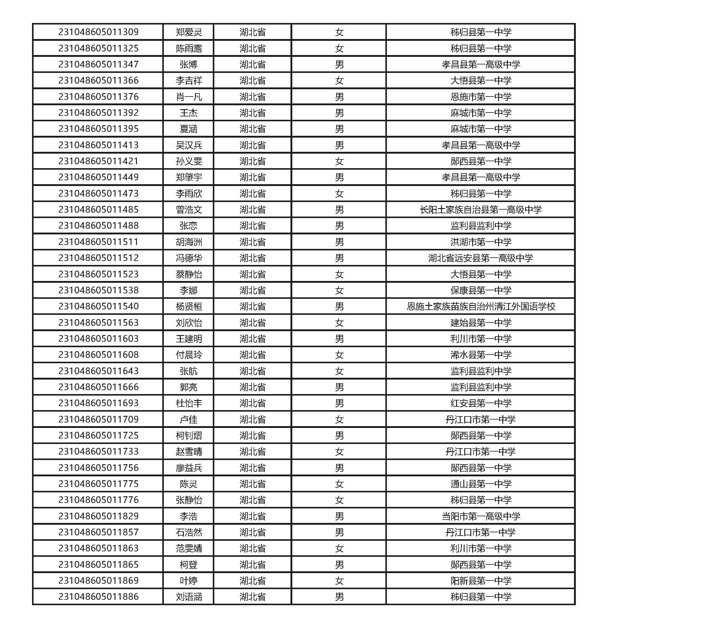
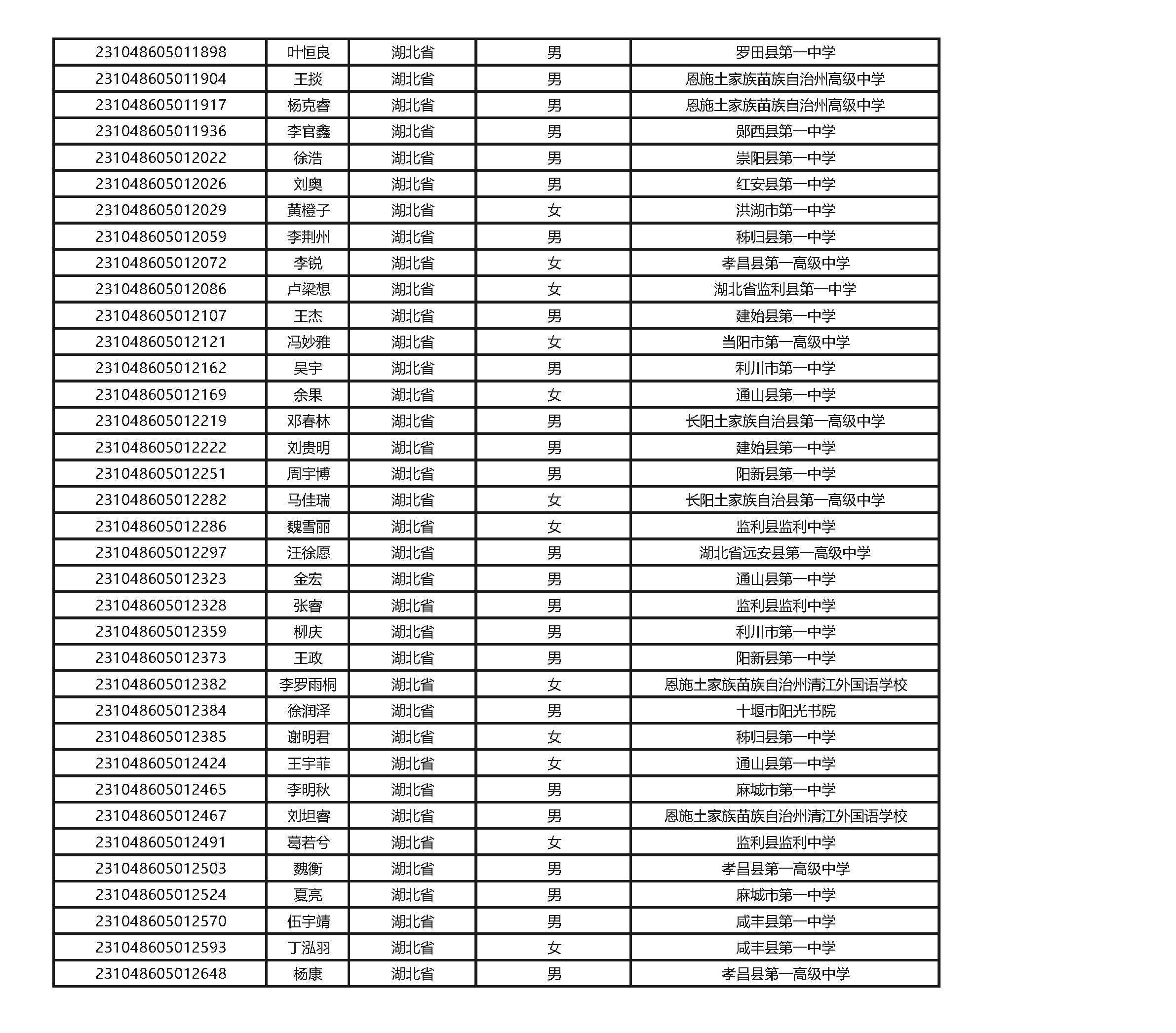
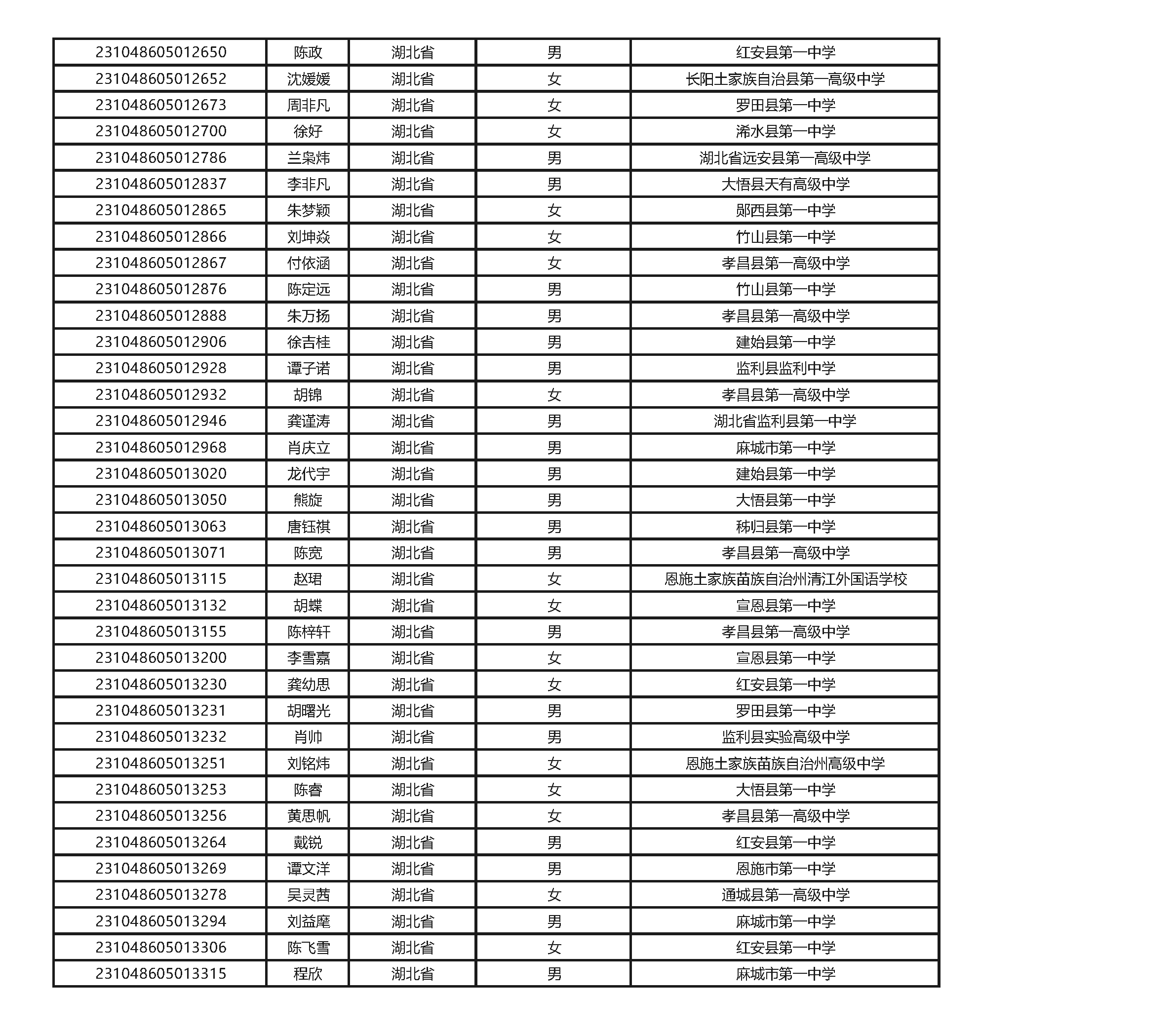
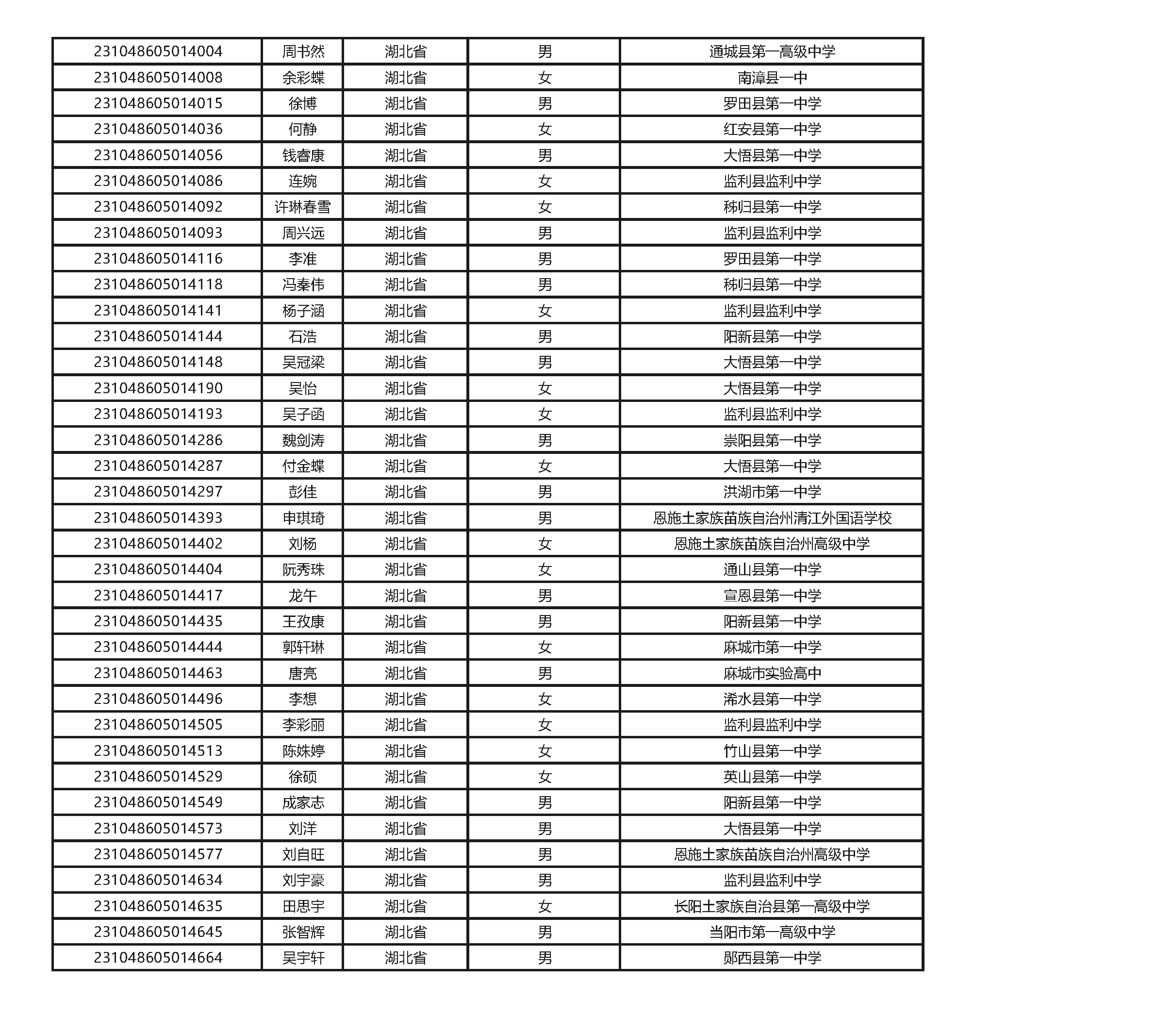
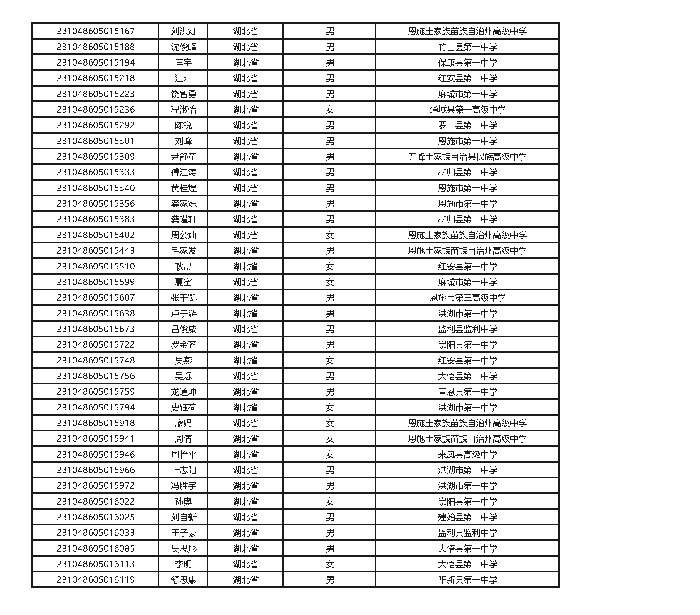
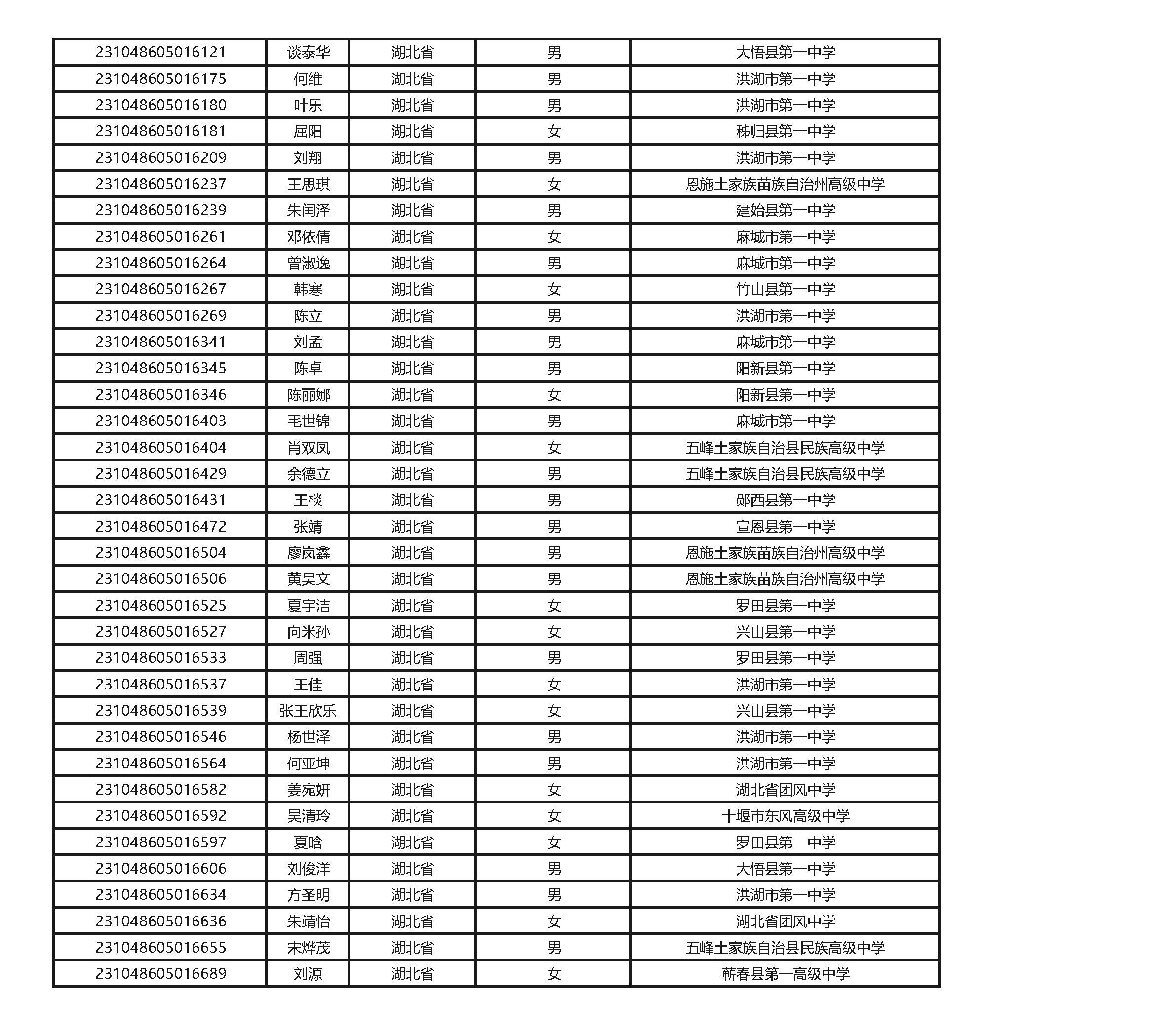
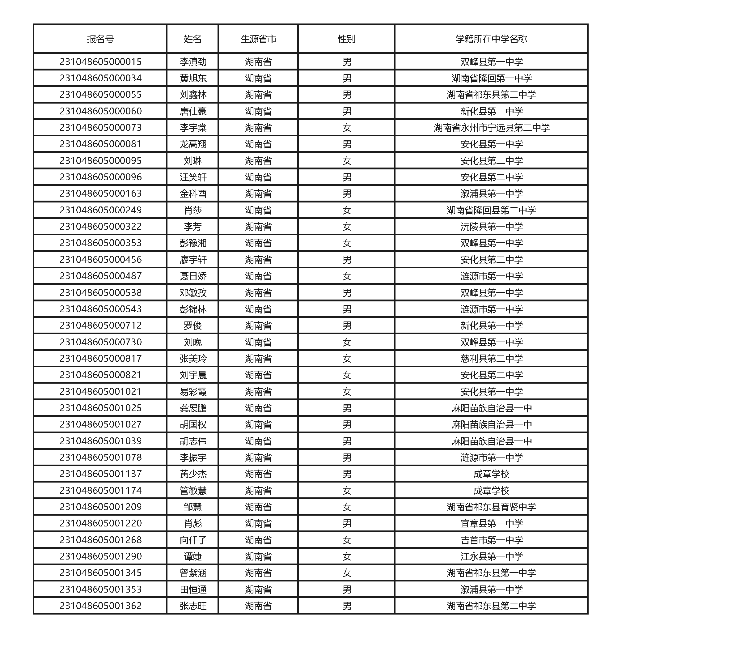
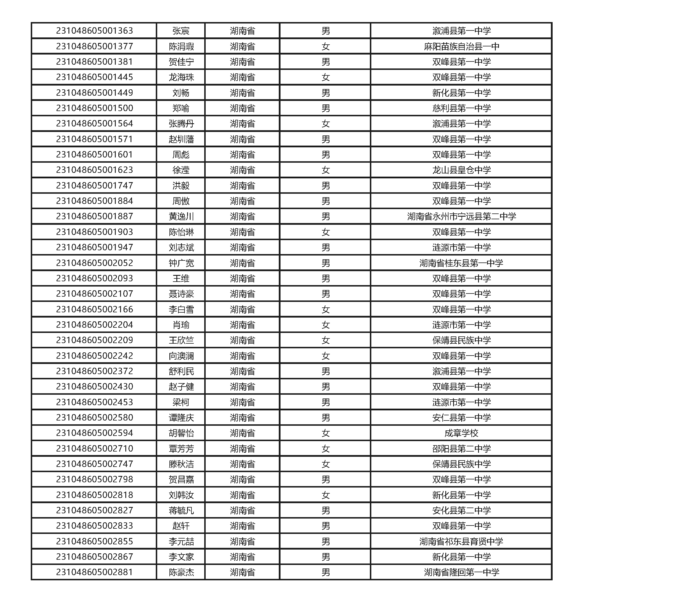
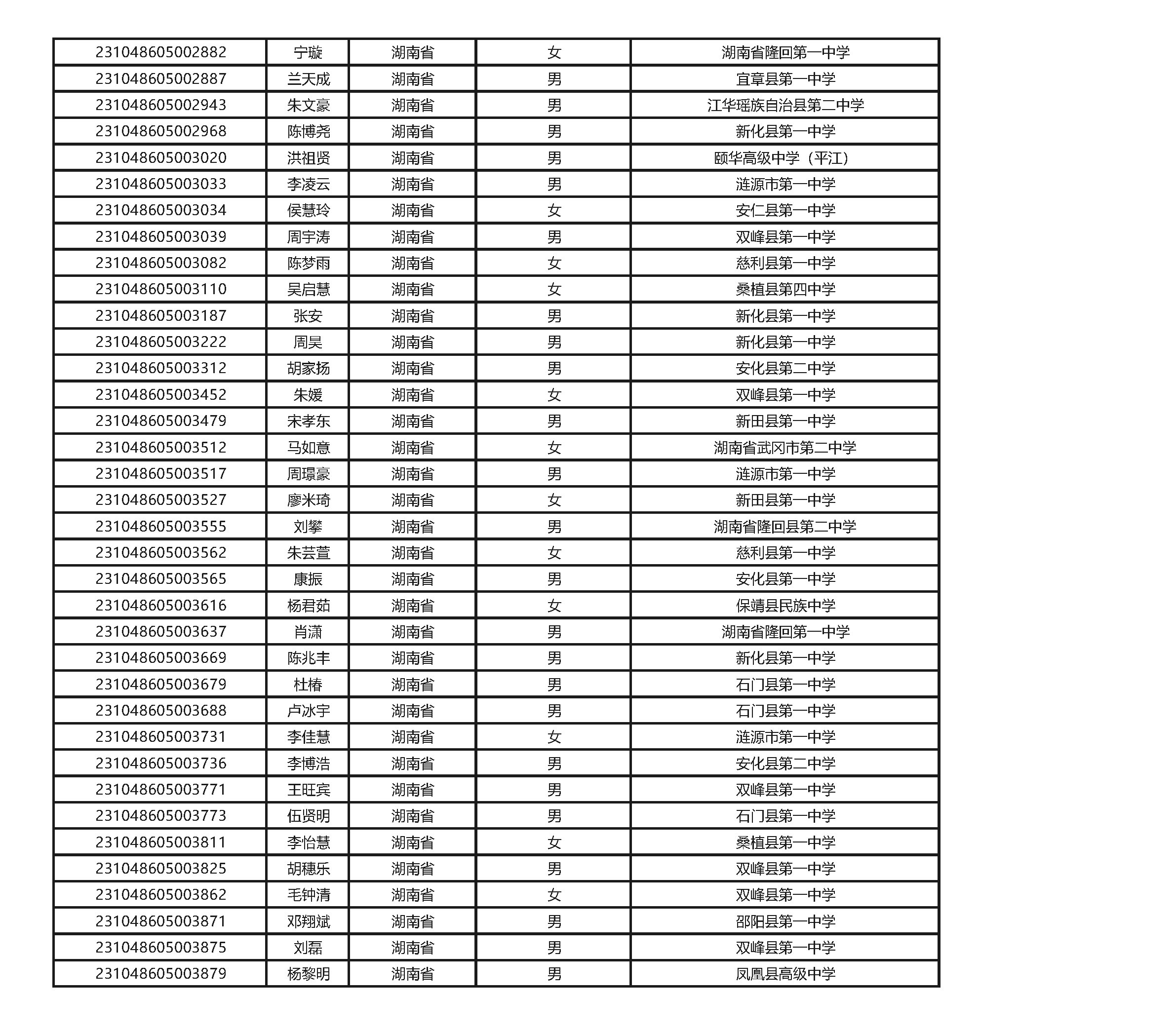
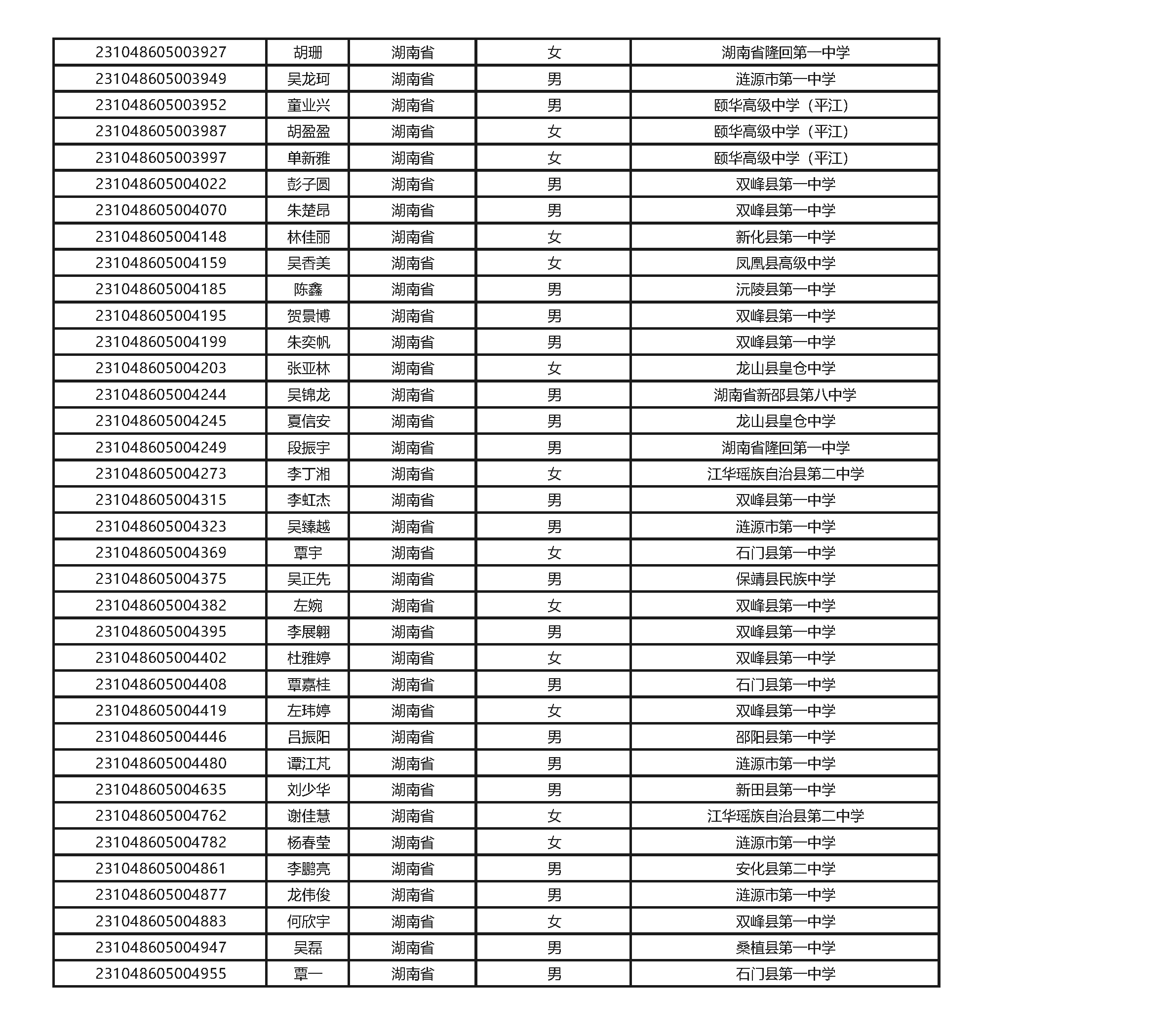
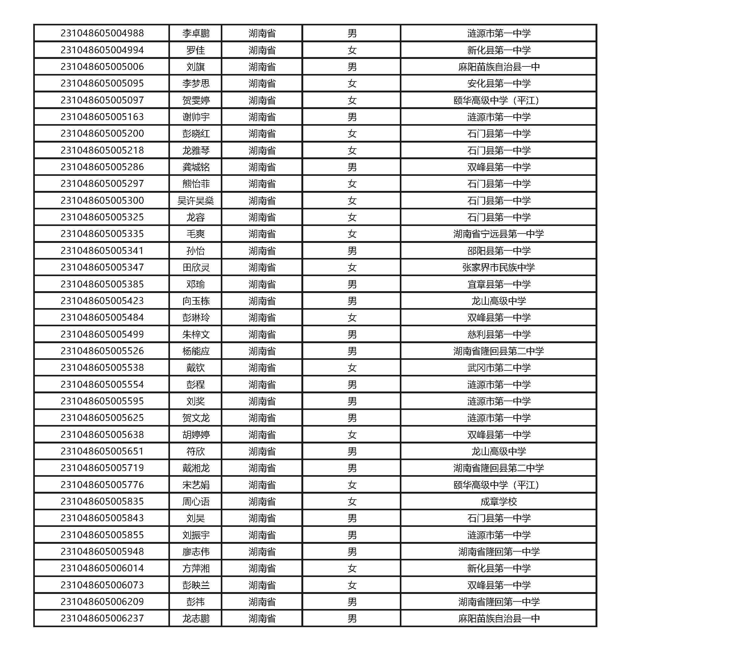
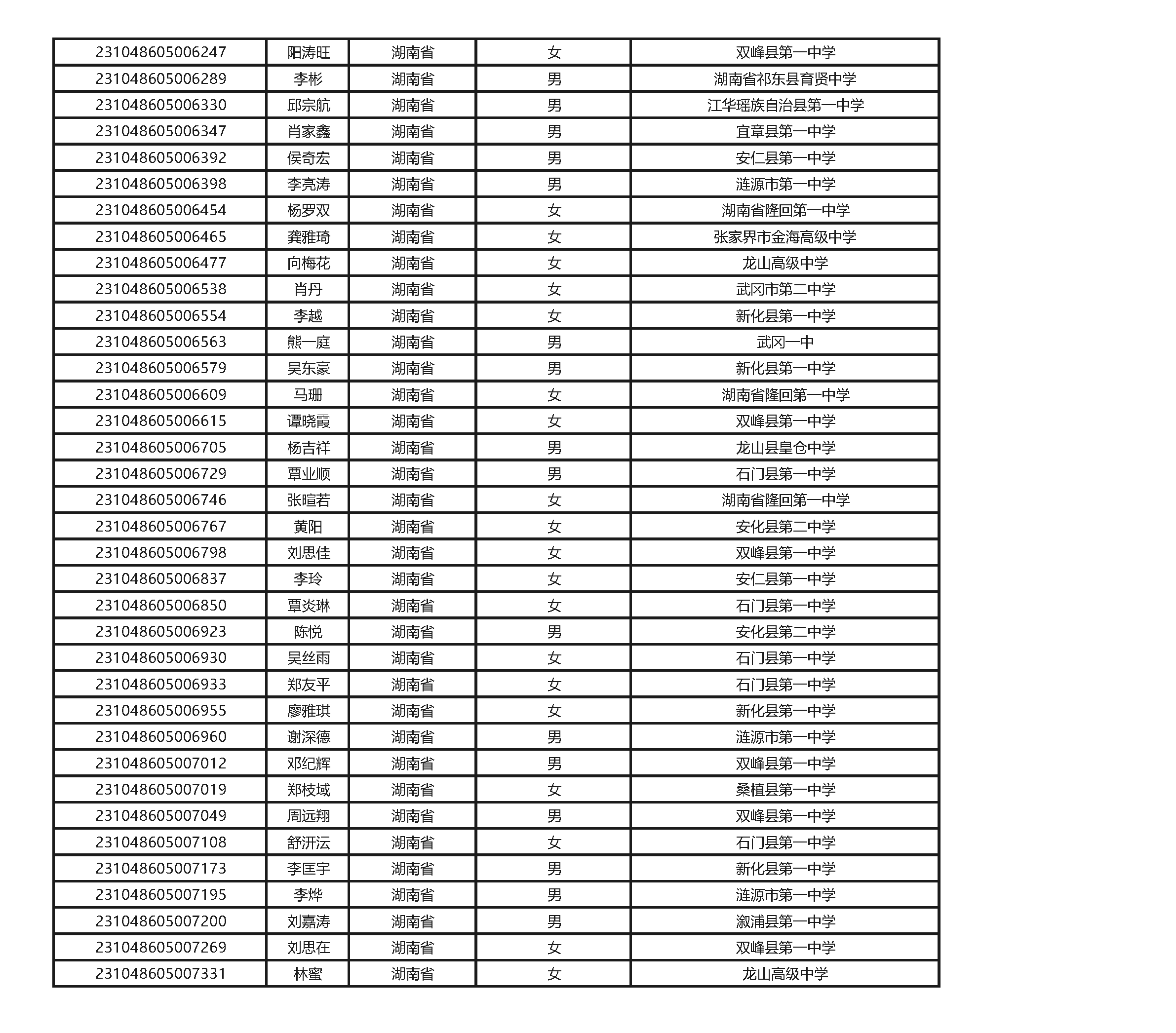
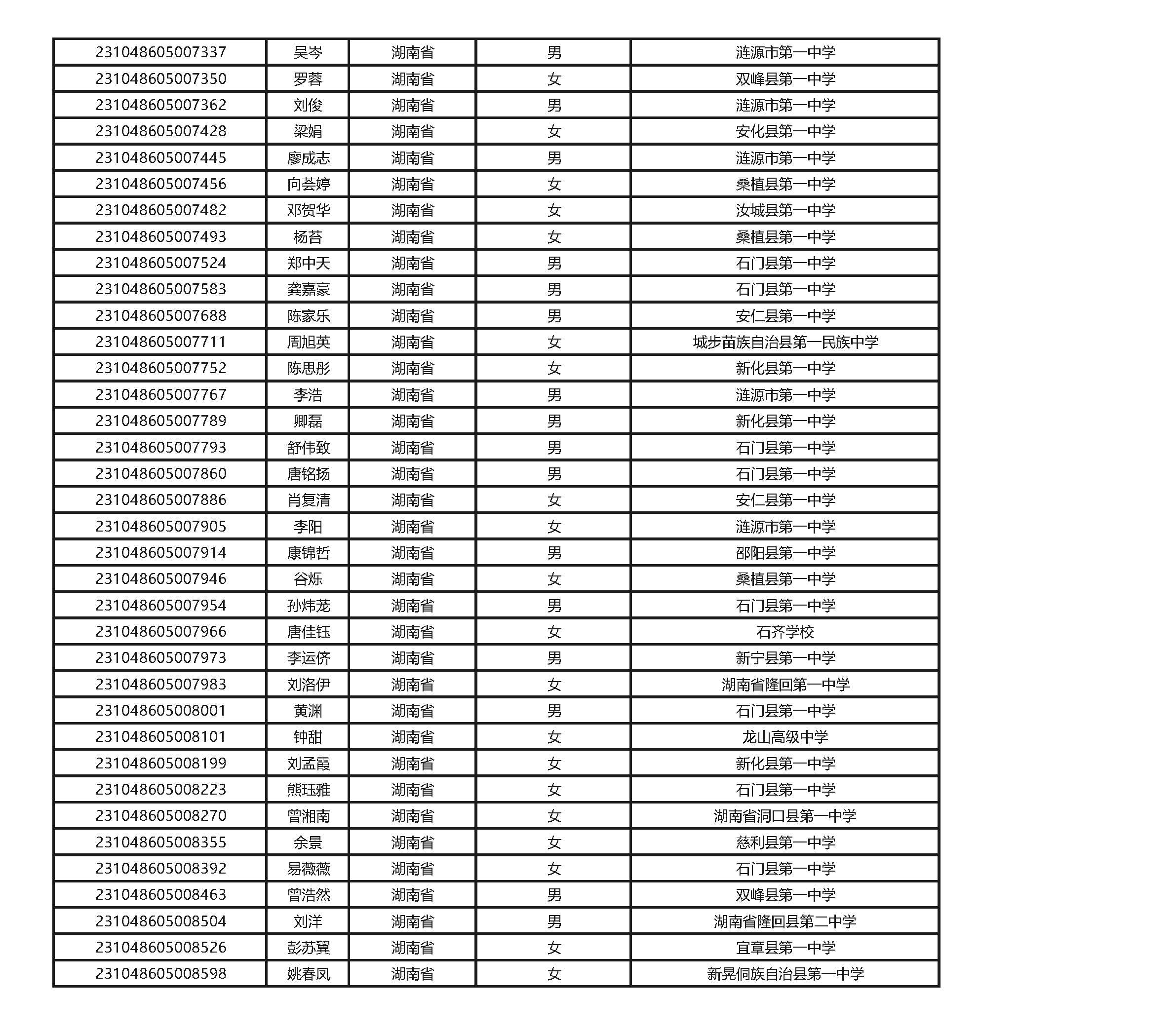
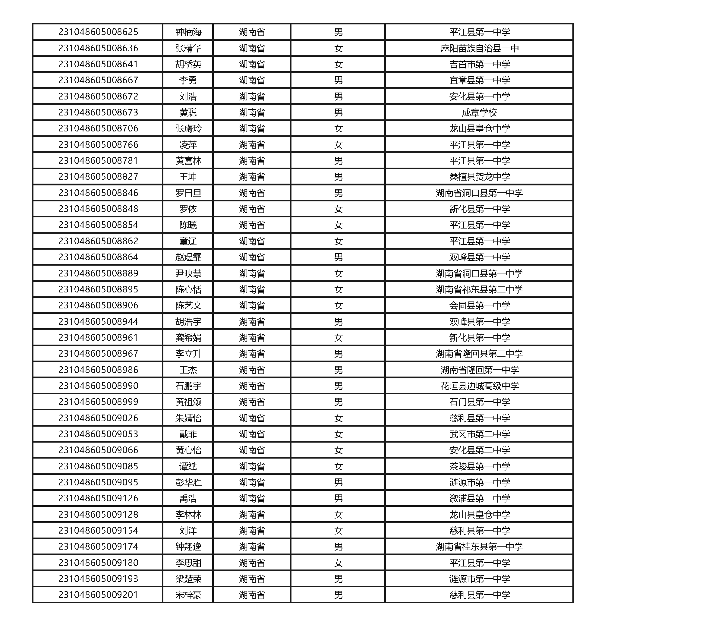
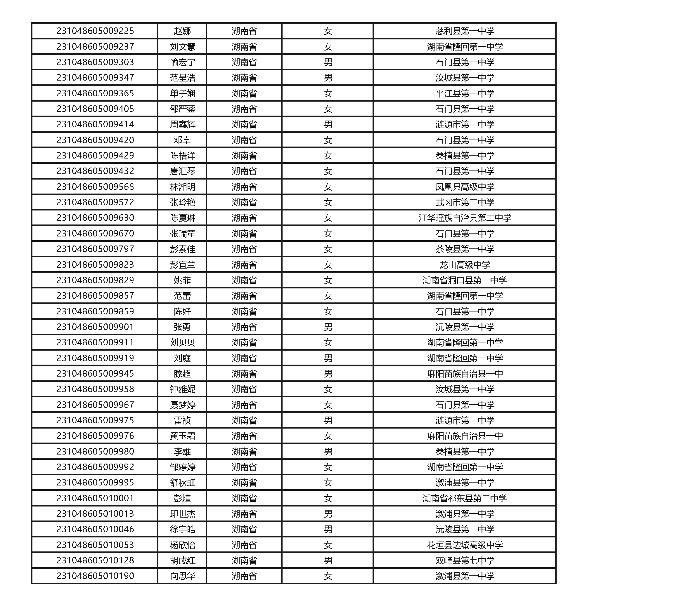
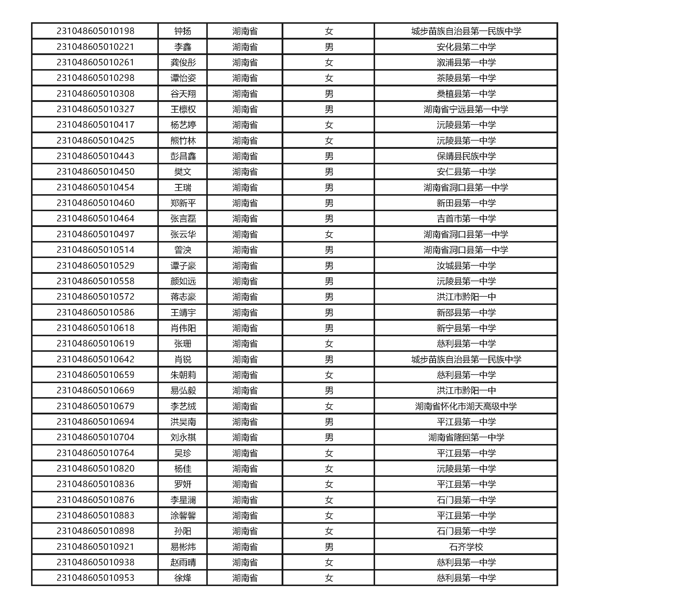
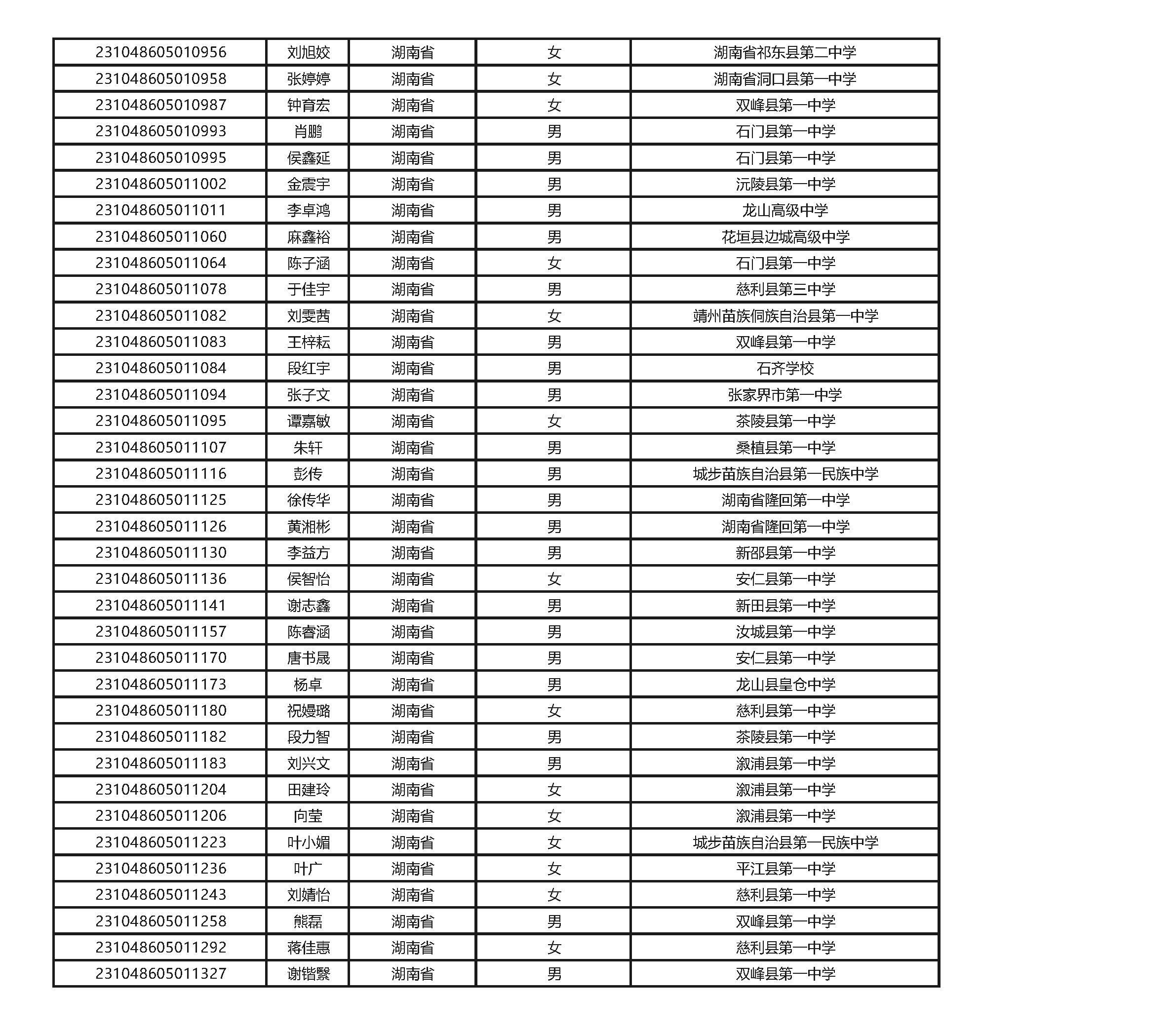
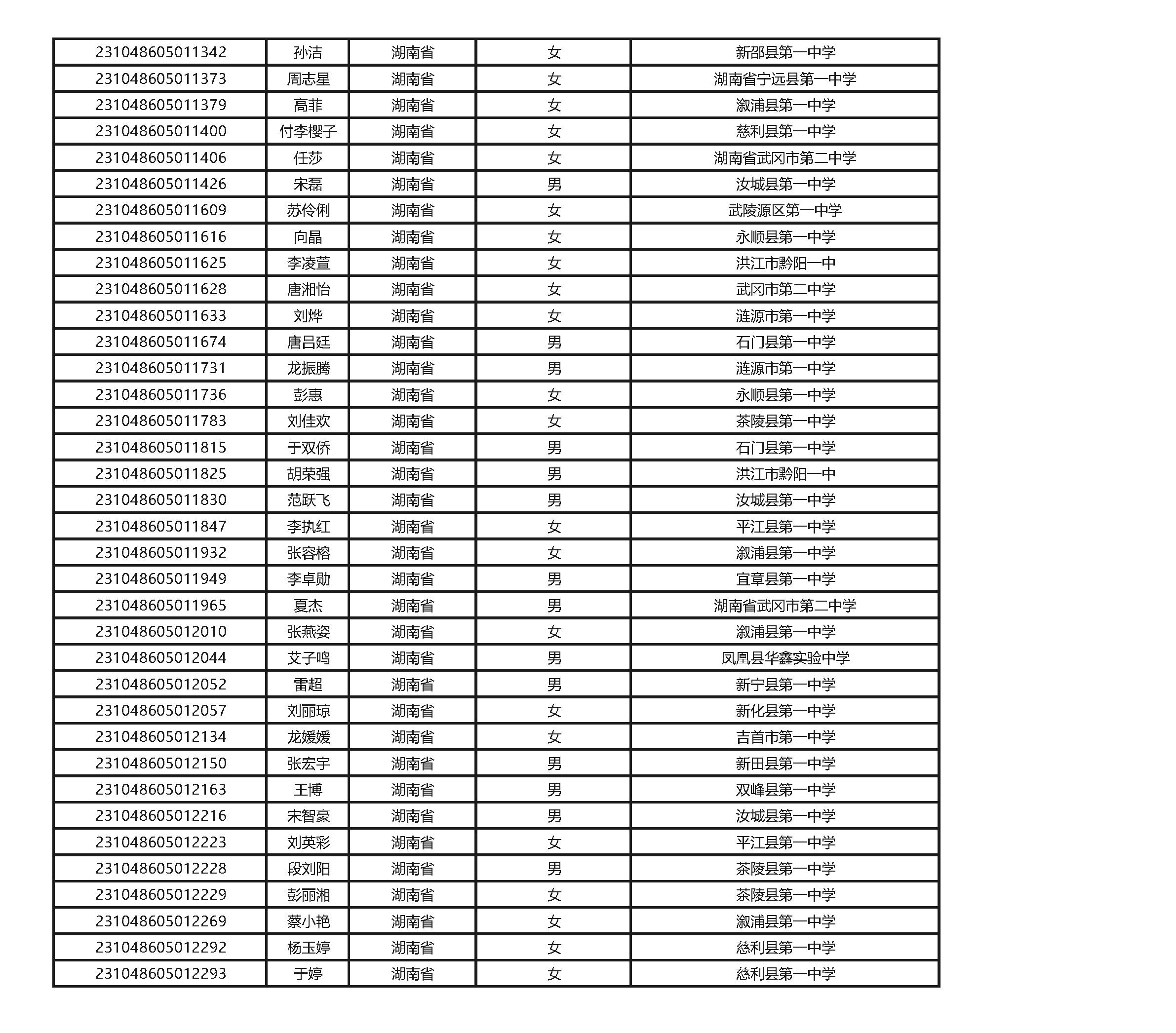
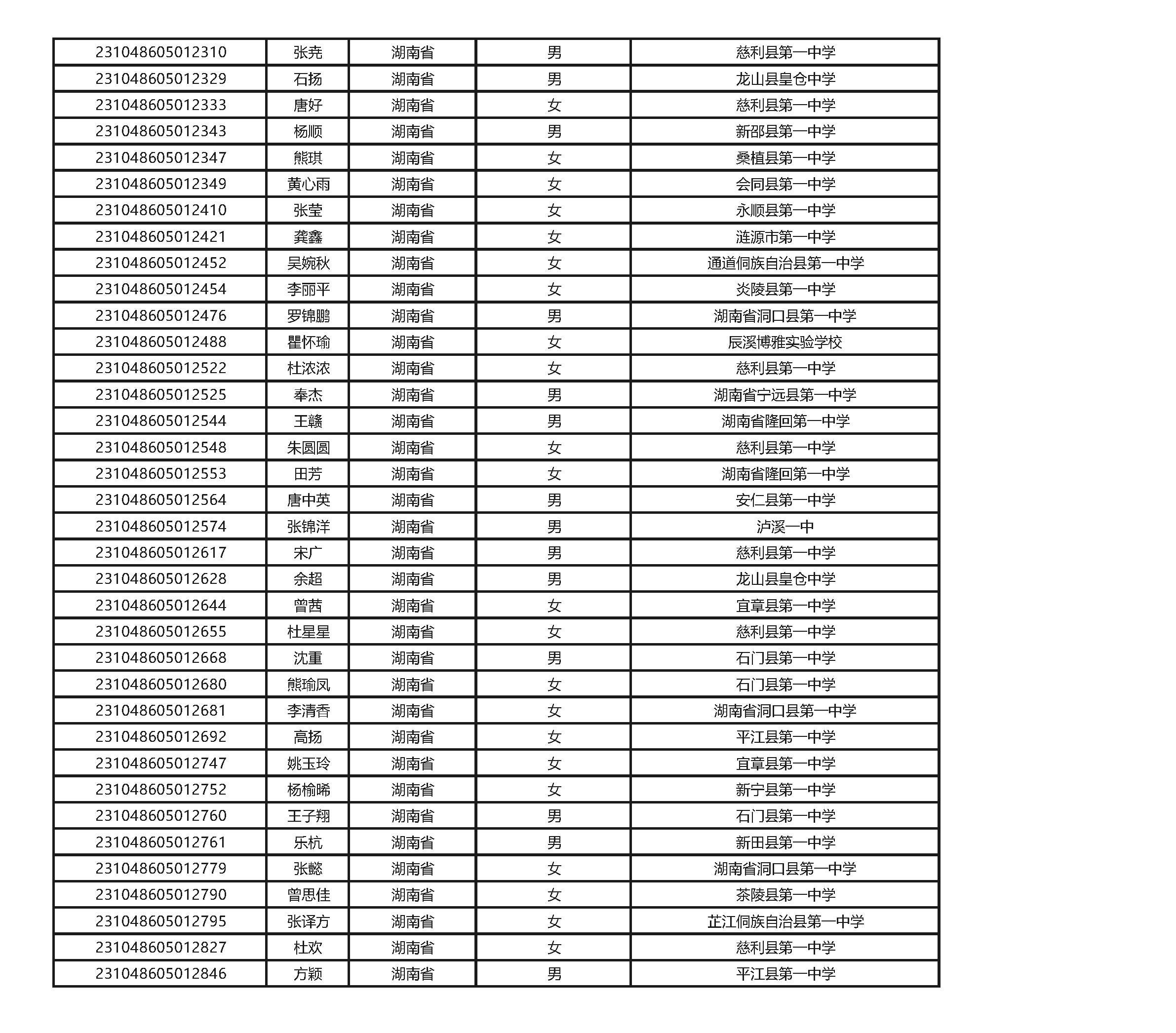
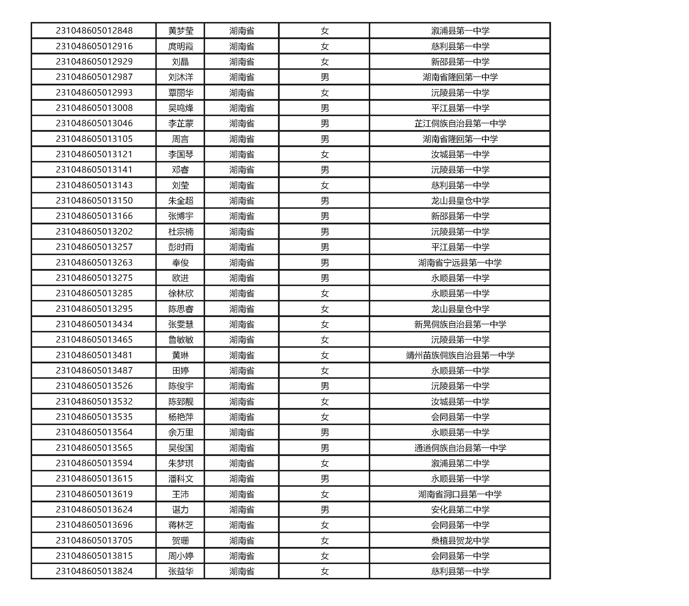
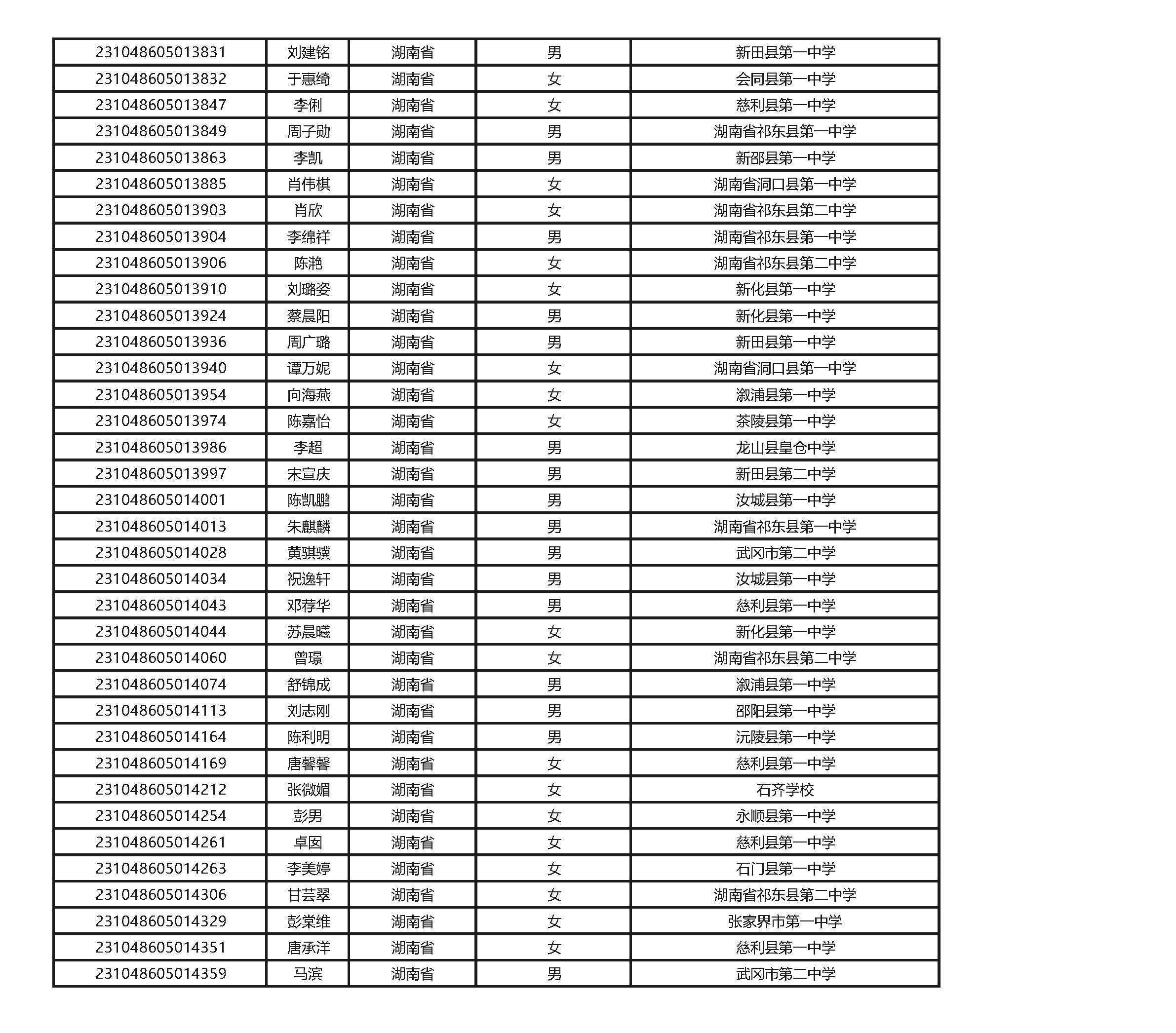
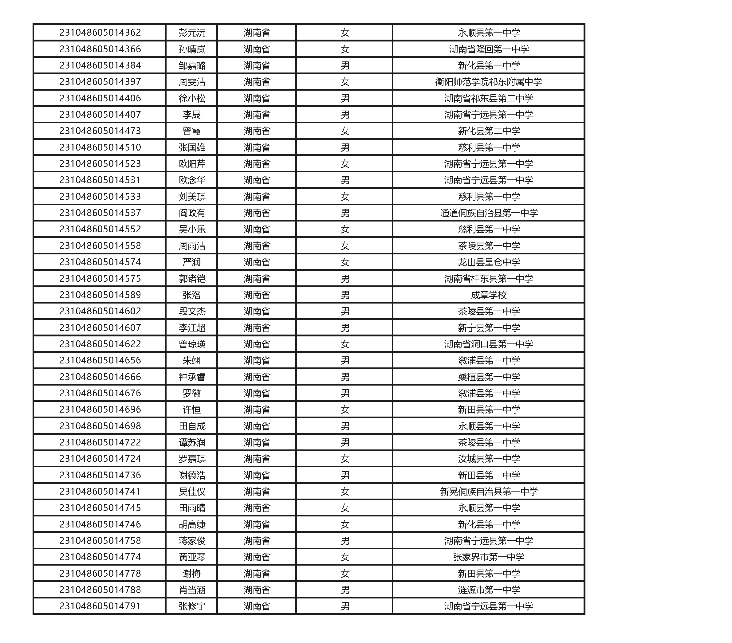
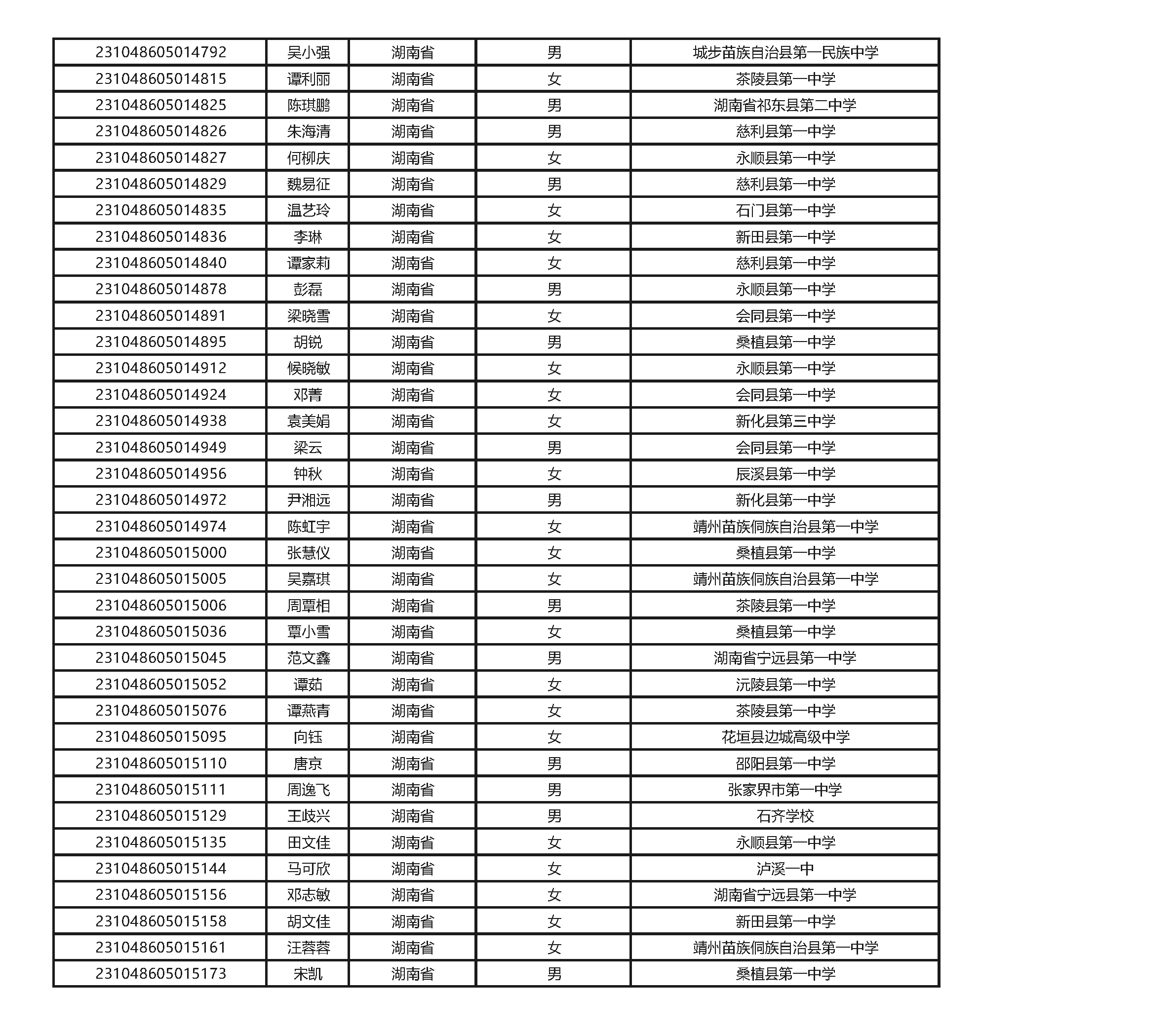
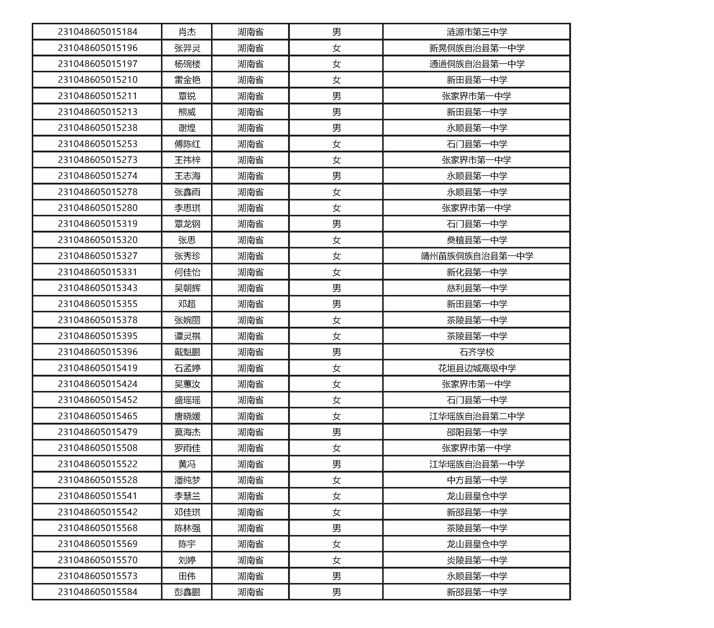
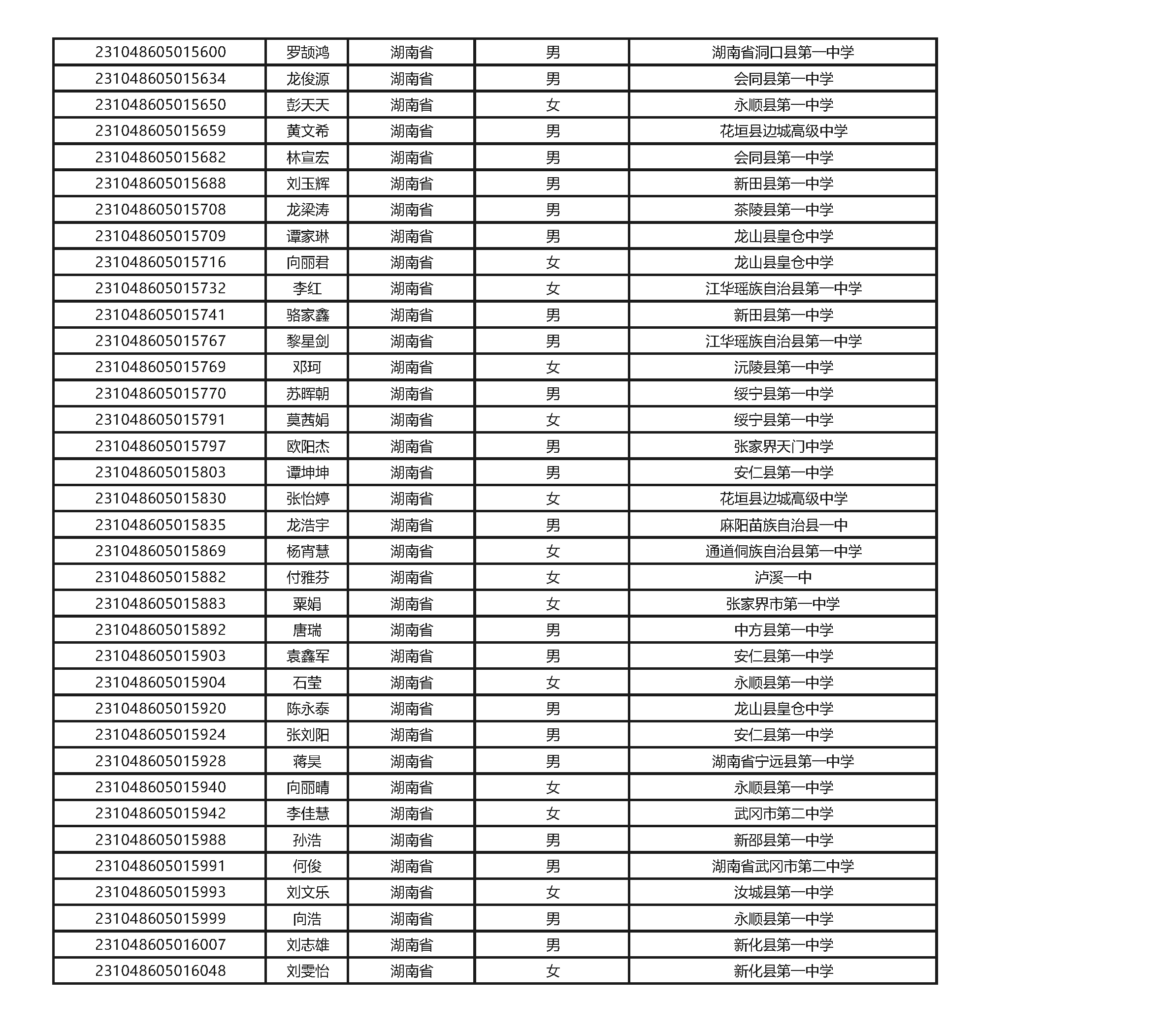
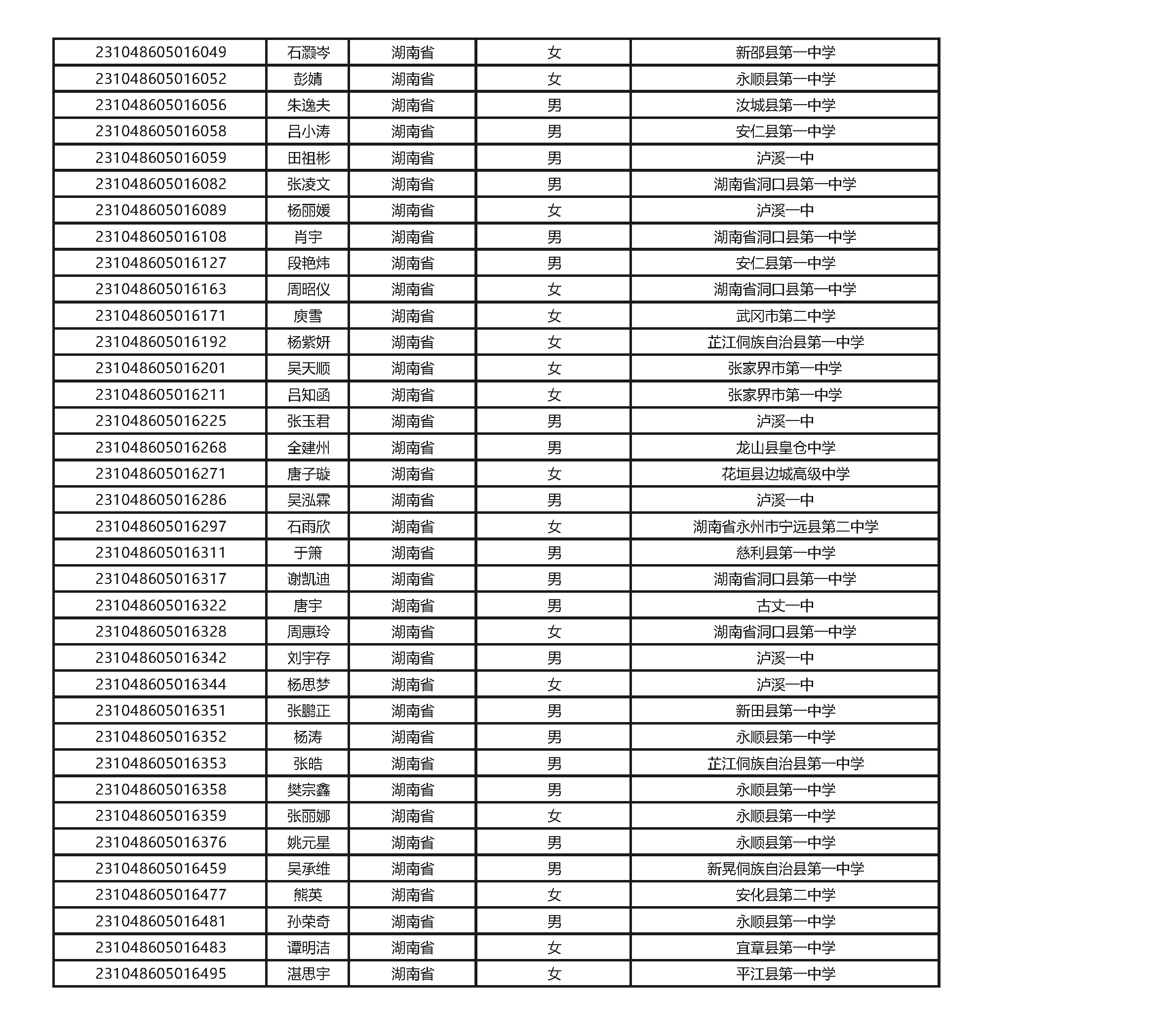
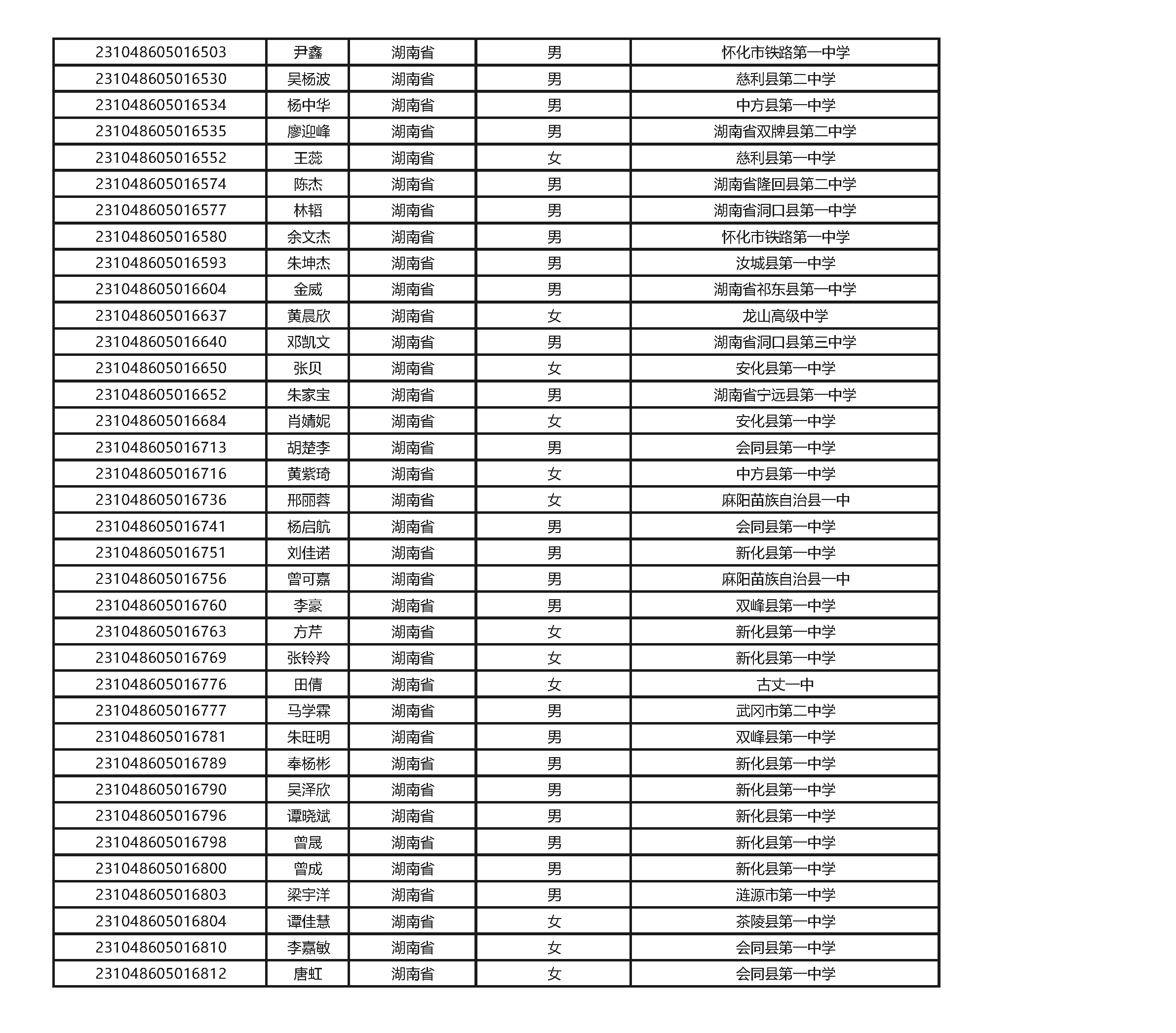
根据教育部有关文件精神和我校2023年农村学生“自强计划”招生简章,经考生申请,我校依照考生上传材料所反映出的基本信息,结合考生所在省(市、区)招办的资格审核结果,审核确定以下6846名考生获得我校2023农村学生“自强计划”入选资格,现予以公示,公示期一周(5月29日至6月5日)。
公示期间,如有咨询、申述或举报,按以下渠道进行:
1.咨询:027-6875 4231(工作时间,武汉大学招生办公室);
2.申诉或举报:wdzsb@whu.edu.cn(武汉大学招生办公室)。
反映情况应实事求是、具体详细,便于调查核实。如发现考生有弄虚作假等不诚信行为,我校将取消其资格,并将其不诚信行为事实通报生源所在省级招办。
武汉大学招生办公室
2023年5月29日











































































