根据《河南省教育厅关于做好2026年高等职业教育单独考试招生和技能拔尖人才免试入学工作的通知》(教学〔2026〕34号)文件精神,按照我校2026年高职单独考试招生章程有关规定,经学校招生录取工作工作委员会审核批准,划定各类考生录取分数线。现将拟录取结果公示如下:
公示时间
4月30日-5月9日
各类考生录取分数线 录取规则及办法
根据各类考生总成绩,分别划定各类考生录取控制分数线。按下述录取规则进行录取后,各类考生仍存在录取最低成绩并列时,并列考生均不录取。
1.普通类考生录取规则
对于进档考生,实行“分数优先”的原则,根据考生专业志愿及专业计划数,依照考生成绩从高分到低分排序择优录取。实际成绩并列时,依次按照职业适应性测试、语文、数学、外语成绩的顺序,从高分到低分排序择优录取。当考生所报专业志愿无法满足时,将其调剂到计划尚未完成的专业。
2.中职类考生录取规则
对于进档考生,实行“分数优先”的原则,根据专业计划数,依照考生成绩从高分到低分排序择优录取。实际成绩并列时,依次按照职业技能测试、语文、数学、外语成绩的顺序,从高分到低分排序择优录取。
3.艺术类考生录取规则
须第一专业志愿报考艺术类专业并参加艺术技能测试的考生,该类考生不调剂专业,录取后不能转入其他专业。根据专业计划数,依照考生成绩从高分到低分排序择优录取。实际成绩并列时,依次按照艺术技能测试、语文、数学、外语成绩的顺序,从高分到低分排序择优录取。
4.退役士兵考生录取规则
根据专业计划数,依照考生成绩从高分到低分排序择优录取。
5.学校根据各类型生源报考及考试成绩情况,可适当调整分专业招生计划;当遇到个别专业报考生源不足时,学校可根据情况适当降低分数线录取。
6.学校各专业不限制男女生比例。按照教育部、原卫生部、中国残疾人联合会印发的《普通高等学校招生体检工作指导意见》及有关补充规定,除体检结论不合格学校可不予录取外,学校各专业无体检限制要求。
7.学校根据录取规则确定拟录取名单,报学校招生录取工作委员会审核、批准,并在学校招生信息网进行5个工作日公示后,报河南省教育考试院办理正式录取手续。根据上级有关规定,被高职单招录取的考生,不再参加普通高考等其他类型的普通高校招生考试。未被录取的考生,可参加普通高考等其他类型的普通高校招生考试。
8.拟录取考生名单经河南省教育考试院审核并办理正式录取手续后,学校按照《国家邮政局办公室教育部办公厅关于进一步加强高校录取通知书寄递工作的通知》(国邮办发〔2022〕19号)要求,将录取通知书及时、准确寄送考生本人。
9.通过我校技能拔尖人才免试入学、高职单独考试招生录取的考生,学生除转学、转专业按照国家、省和学校的相关规定执行外,入学报到后与普通高校招生统一考试录取新生享受同等待遇,学习培养形式为全日制。
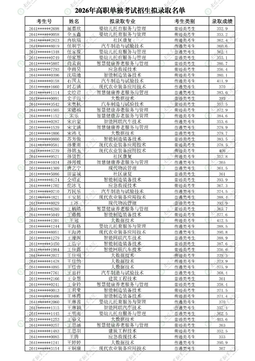
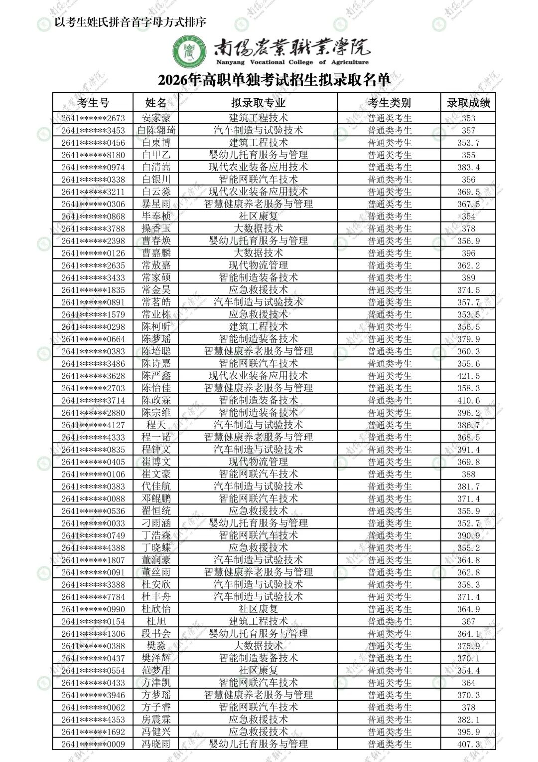
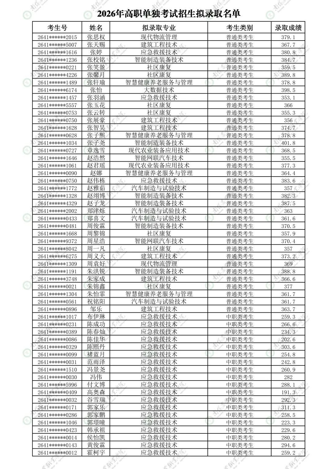
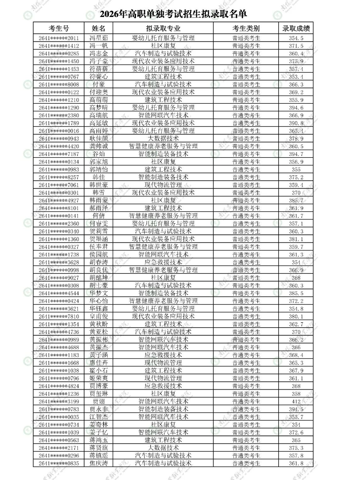
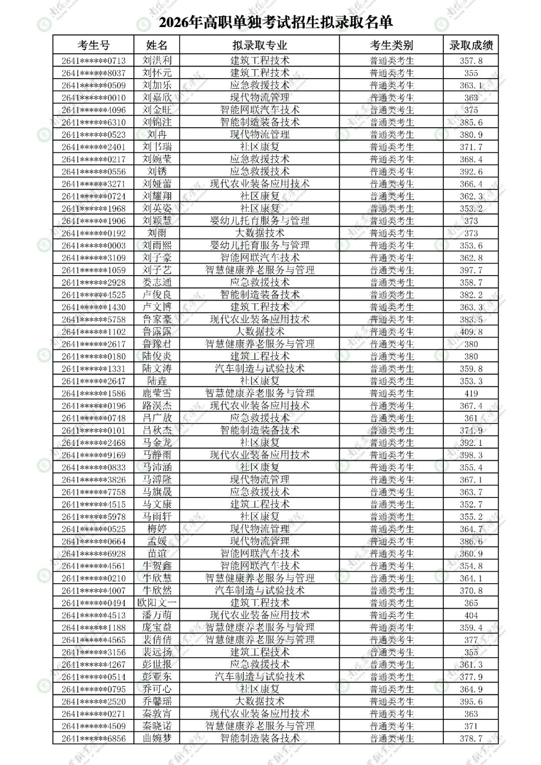
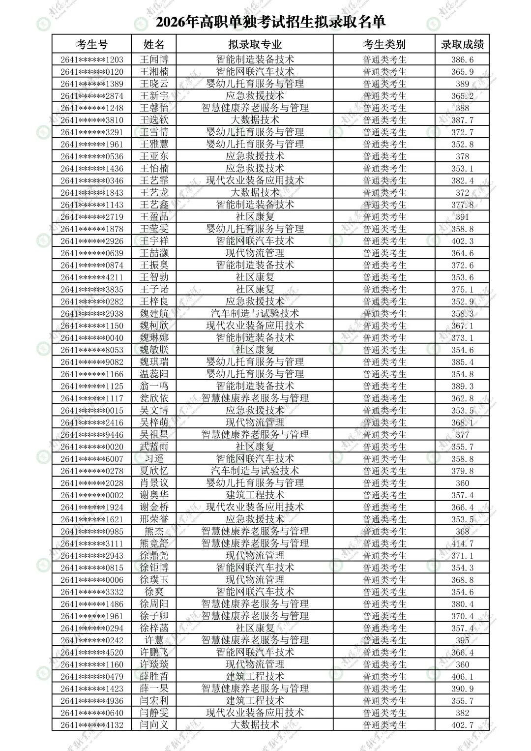
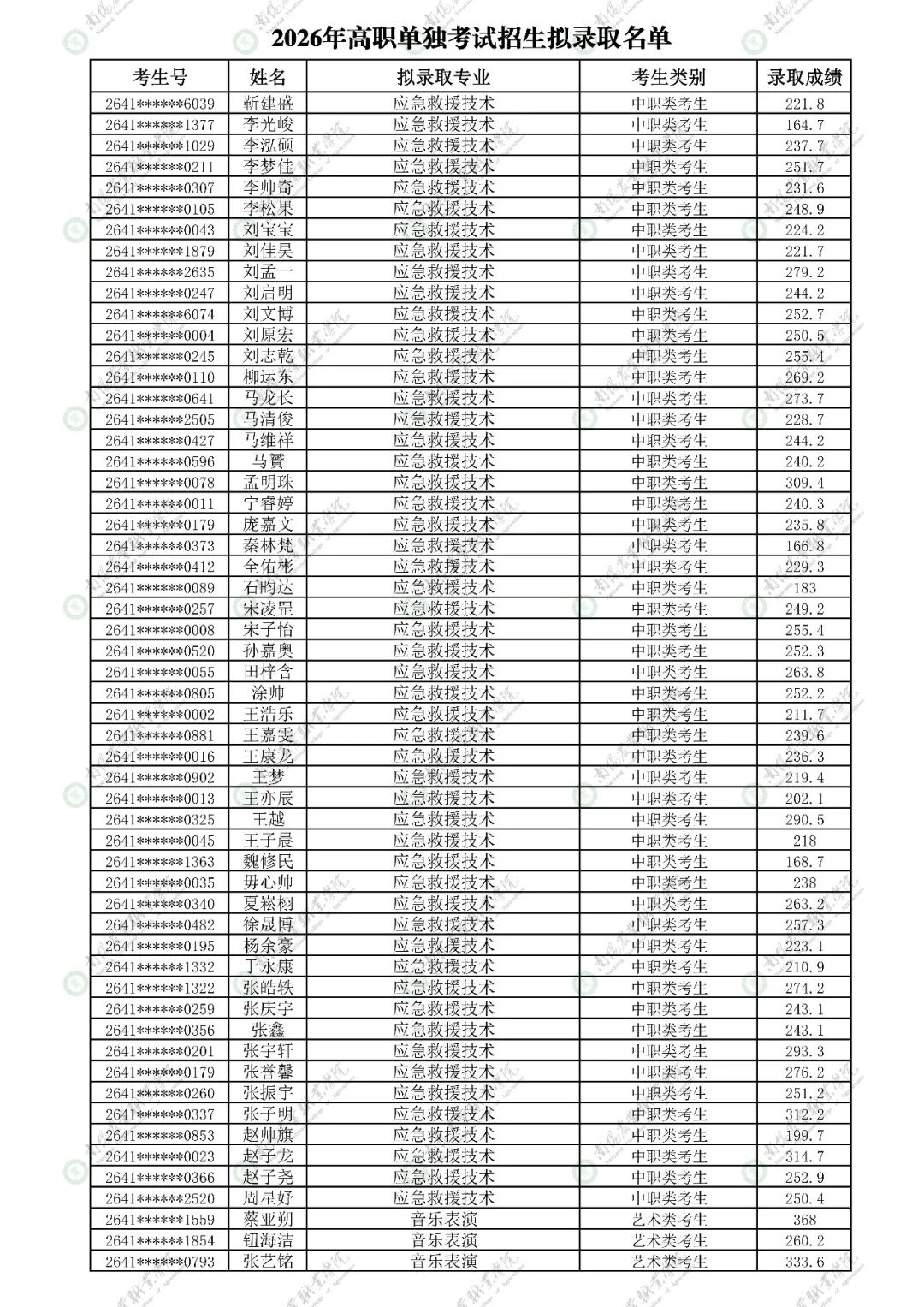
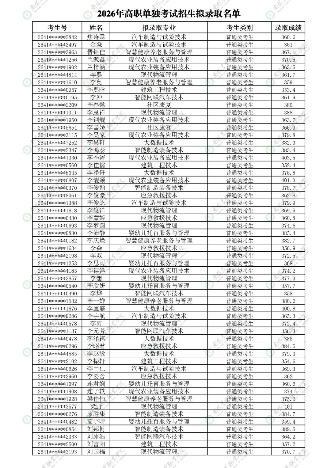
特别提醒 2.新生入学后,学校按照国家和省相关规定、程序注册学籍,并严格组织新生进行入学资格审查、录取资格复查,对存在问题的考生,依据教育部有关规定进行处理。 3.公示期间,如对拟录取结果有疑义,请拨打学校招生咨询电话0377-63393888,纪检监察电话:0377-63393995。 4.公示期结束,学校将拟录取结果上报河南省教育考试院办理正式录取手续,最终以河南省教育考试院核定通过为准。高职单招录取通知书将在普通高招录取结束一同发放。 2026年4月29日 学校没有委托任何中介机构或个人进行招生录取工作,对以我校名义组织非法招生等活动的中介机构或个人,我校将依法追究其责任。 录取名单










