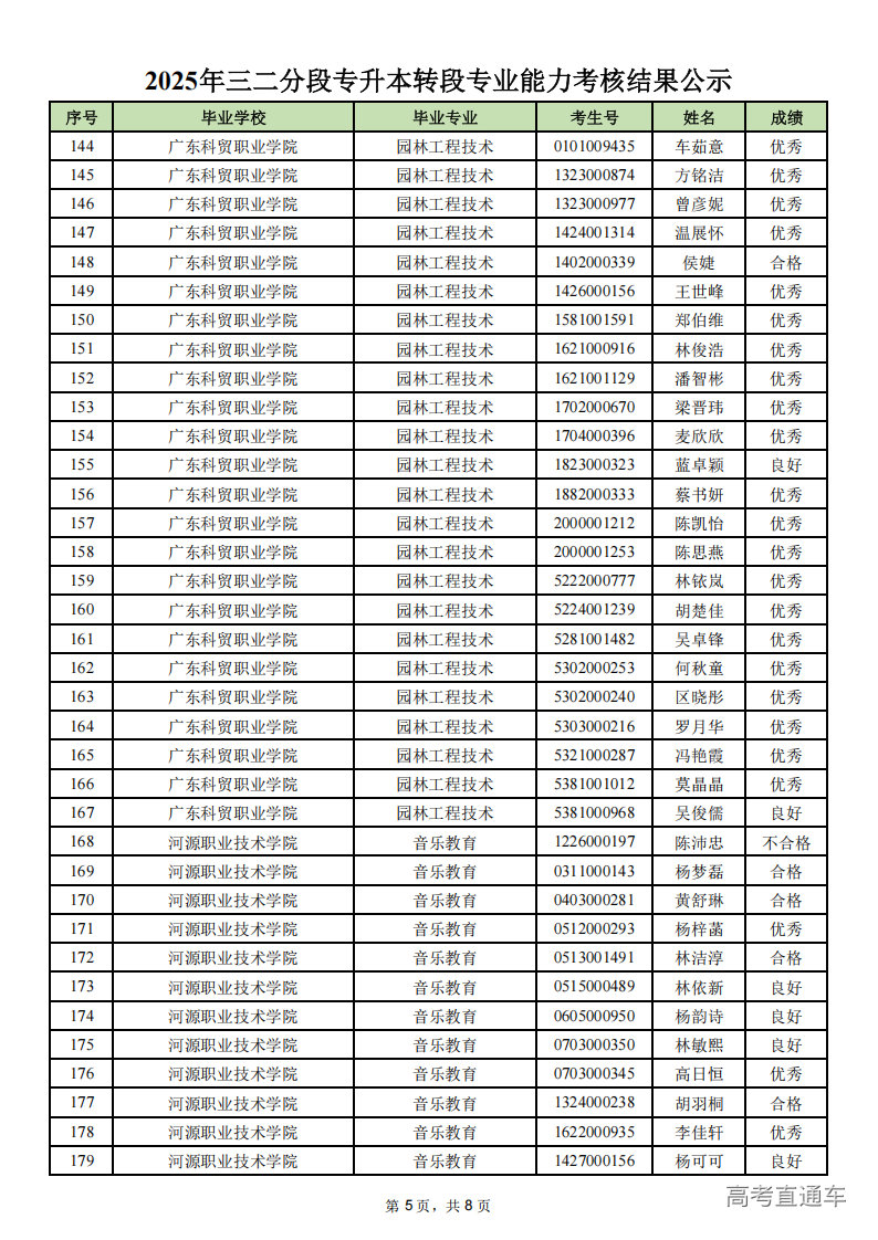
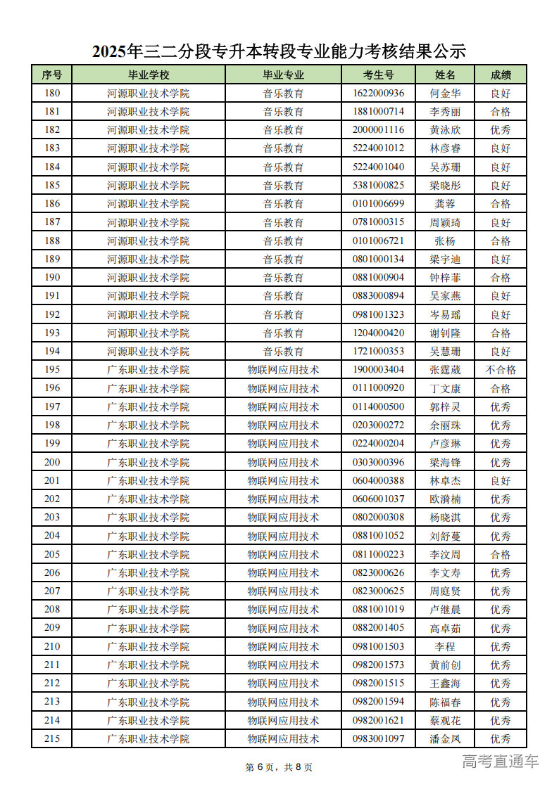
根据《关于做好广东省2025年普通高等学校三二分段专升本转段招生工作的通知》(粤招办普〔2024〕52号)精神,以及嘉应学院与广东农工商职业技术学院等7所高职院校2022年联合制定的三二分段专升本转段考核方案要求,我校组织了2025年三二分段专升本转段专业能力考核工作,现将考核成绩(见附件)予以公示。
公示期为7天,公示时间自2025年4月9日至4月15日。如对考核成绩有异议,请在公示期内向嘉应学院教务处反映,反映方式可采用电子邮件或者电话方式。反映情况请用真实姓名,并附联系方式。
联系人:实践管理科黄老师,联系电话:0753-2186926,邮箱:sjglk@jyu.edu.cn。







