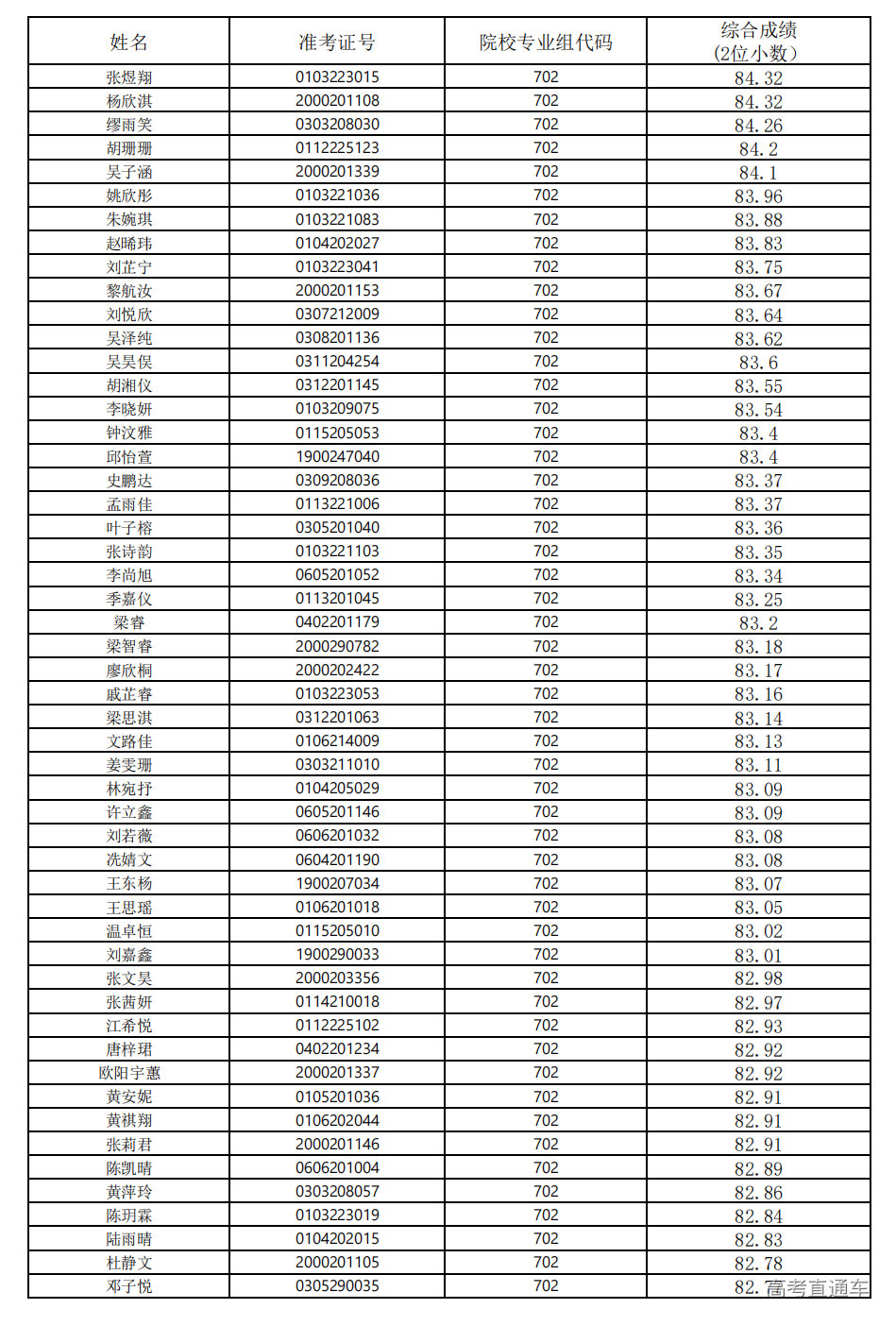
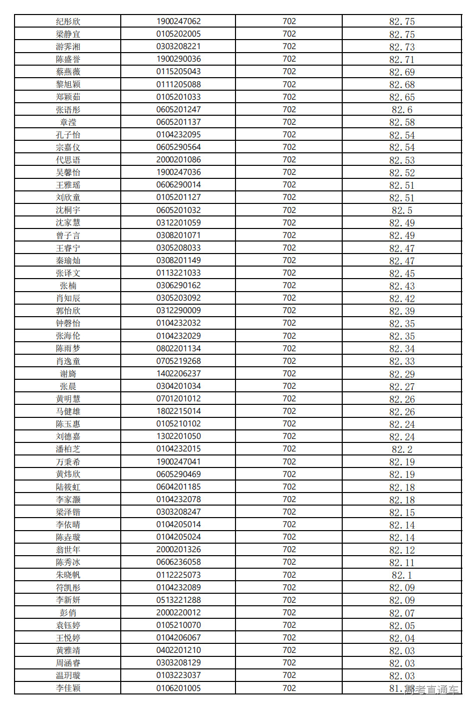
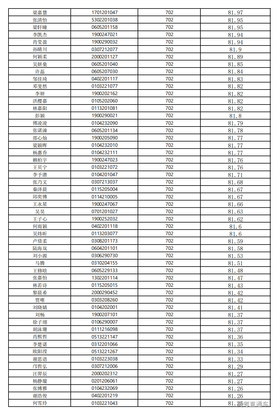
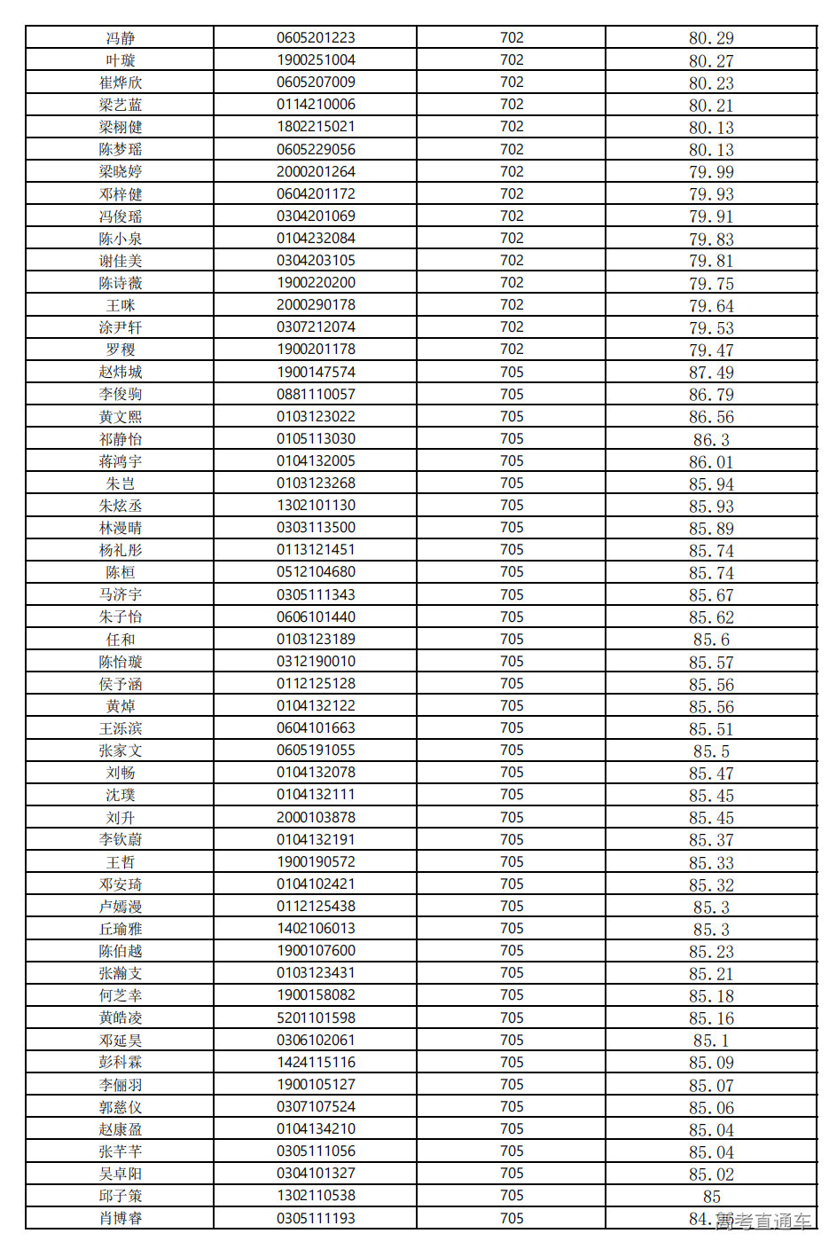
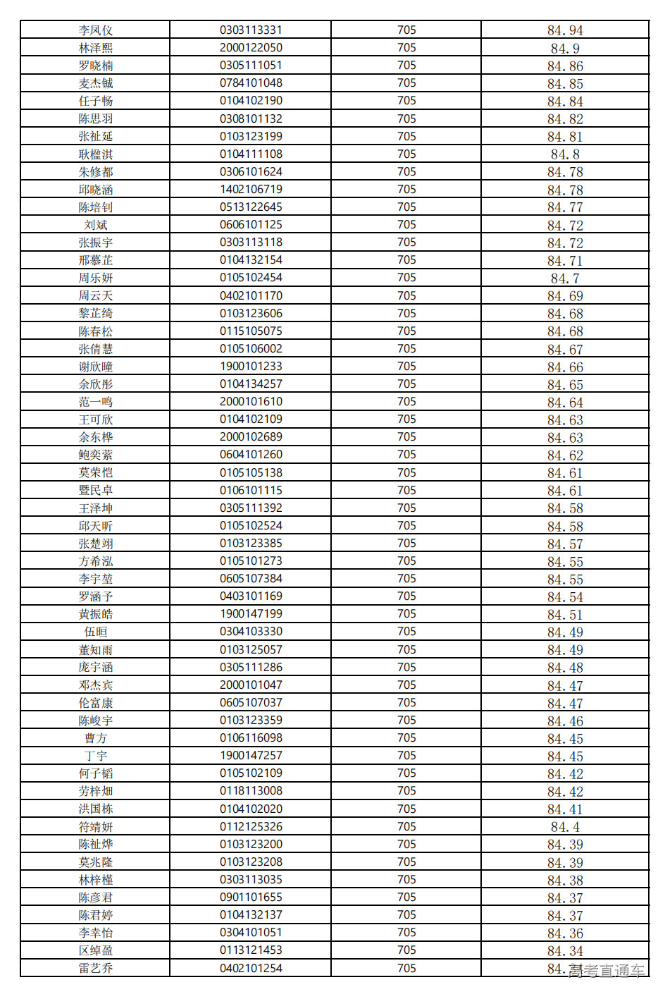
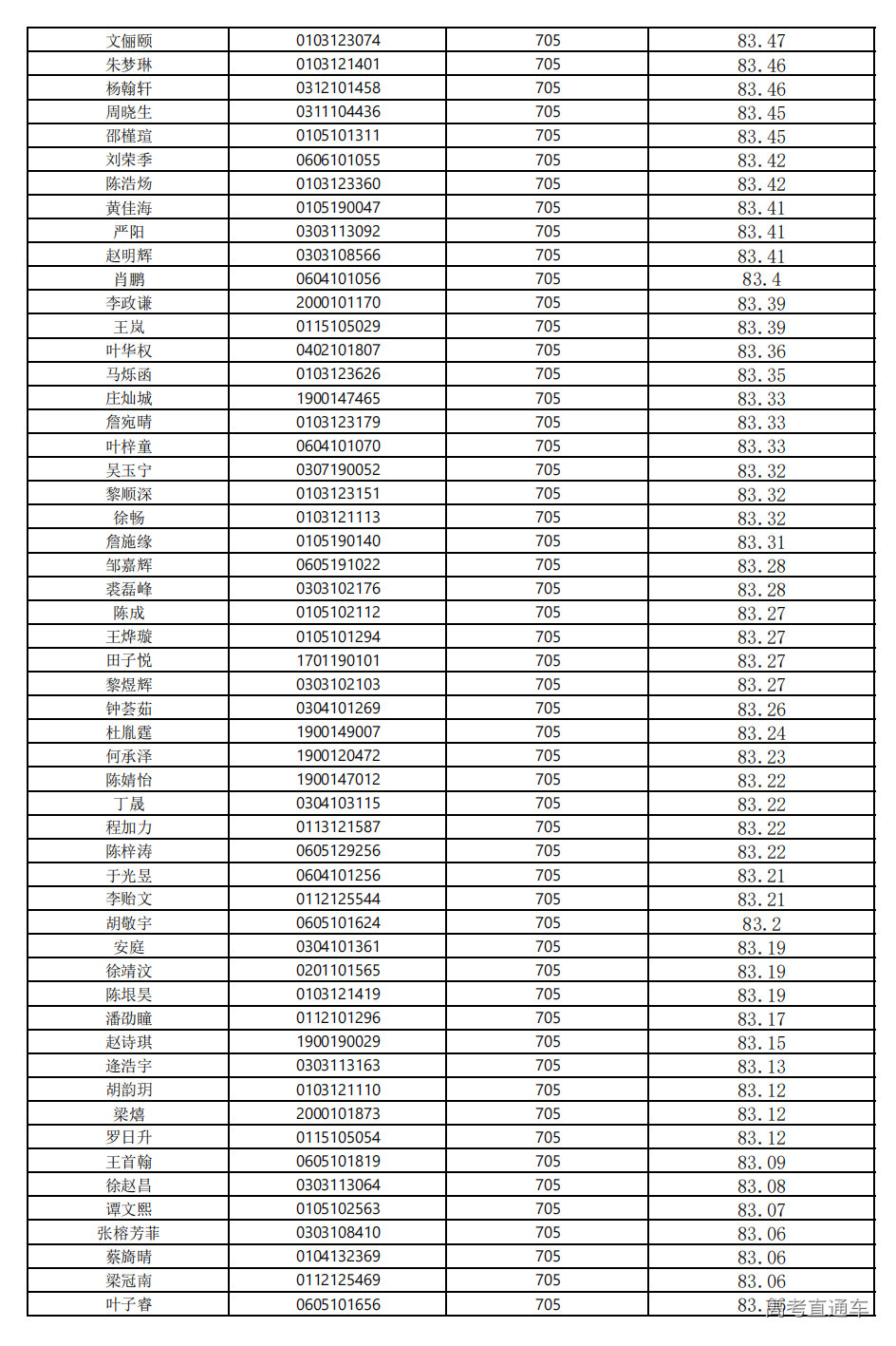
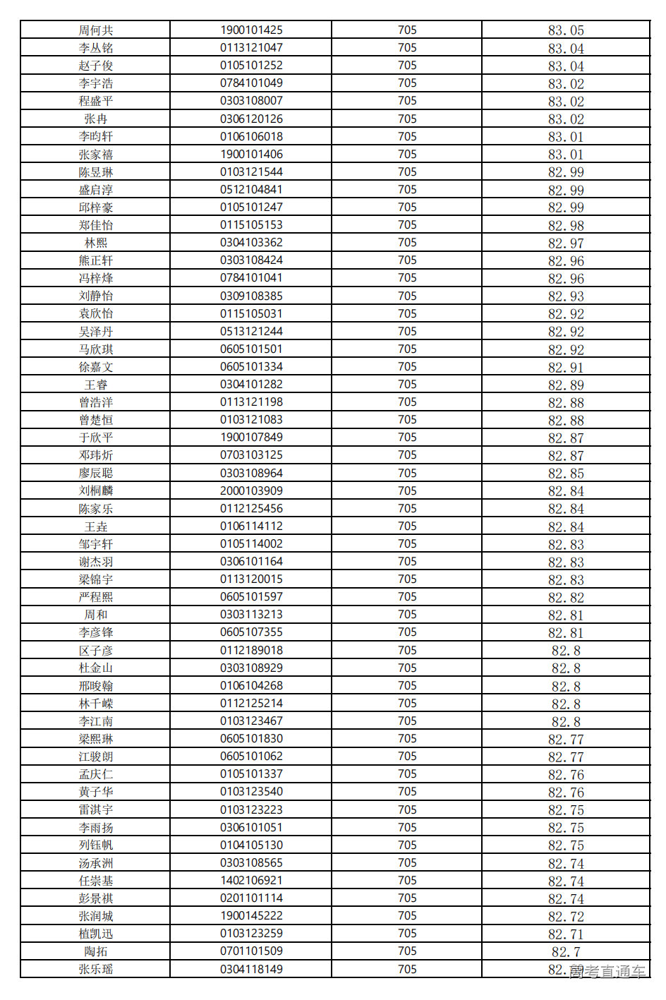
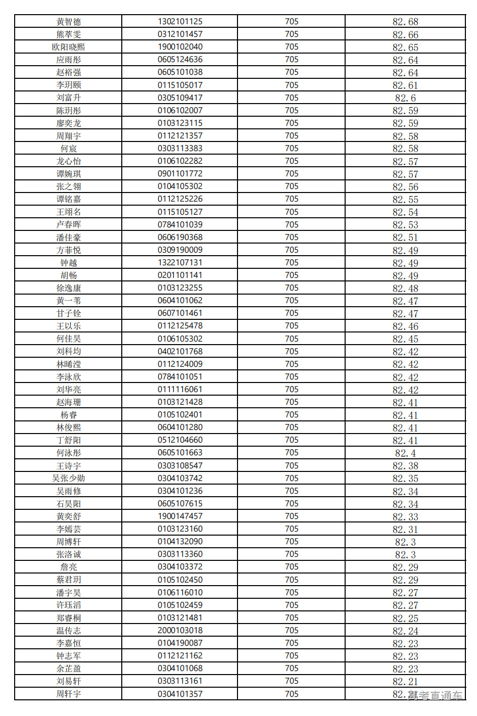
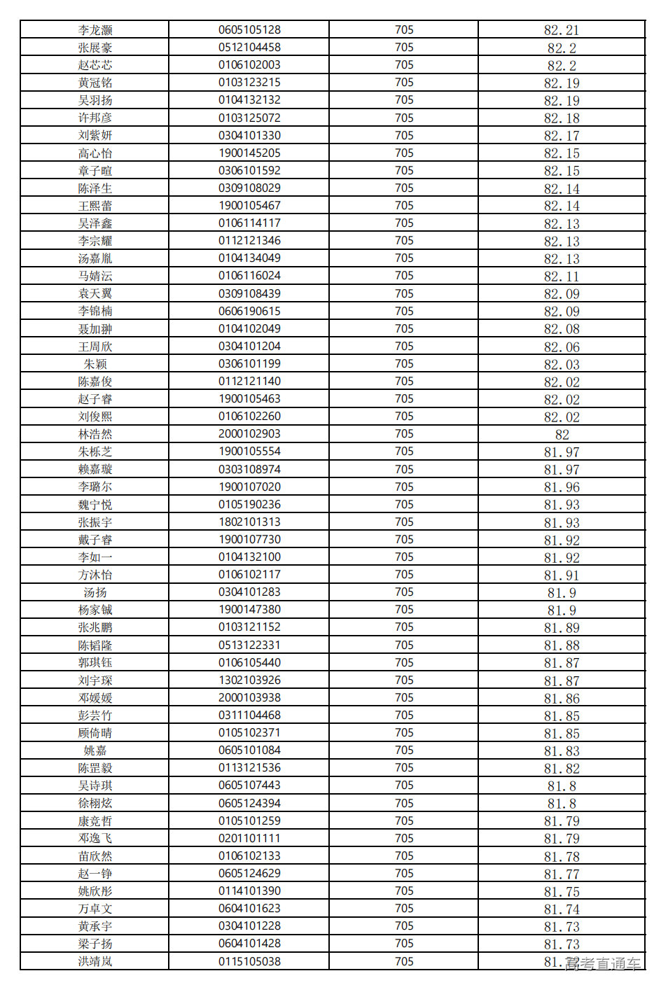
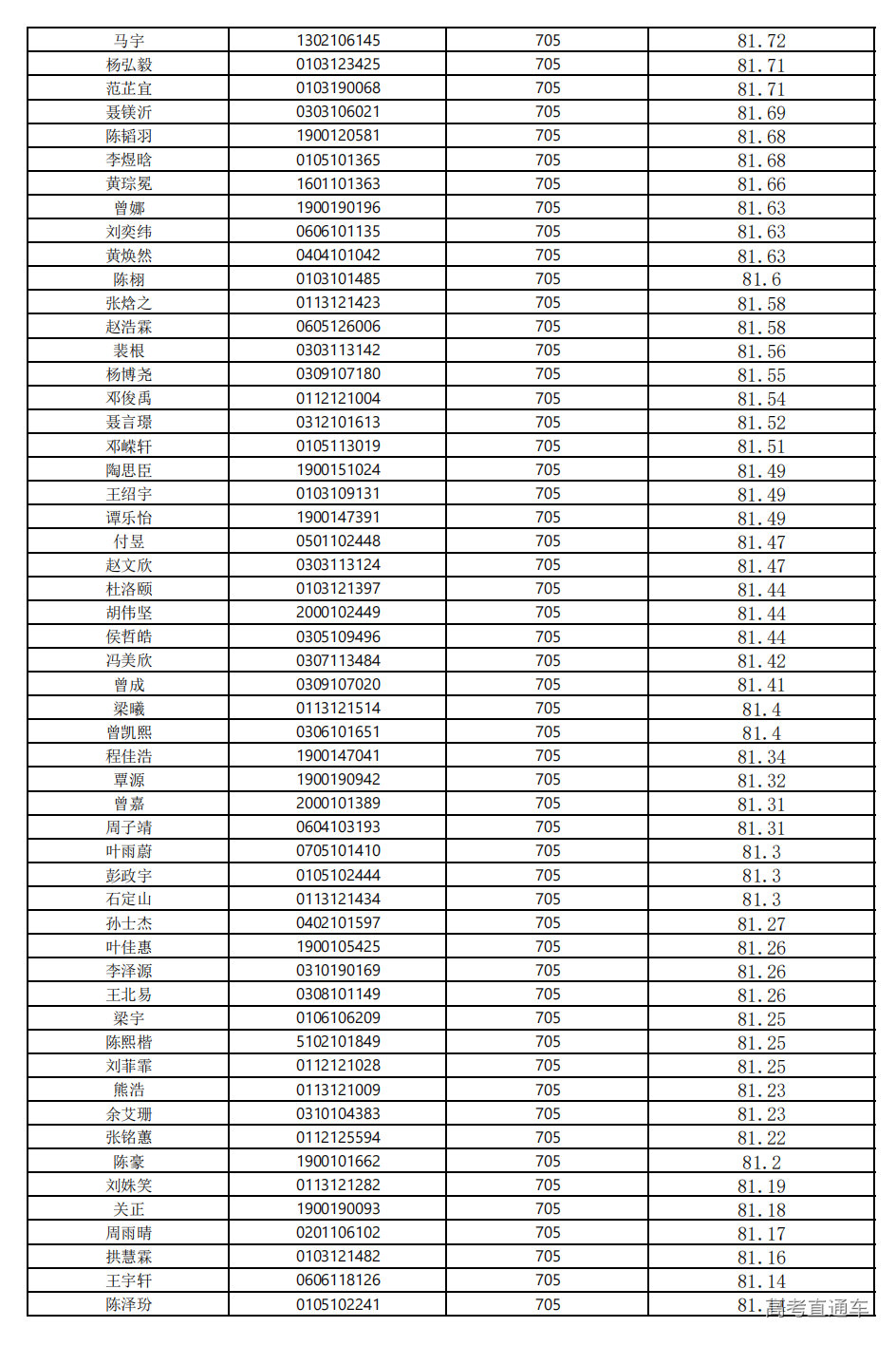
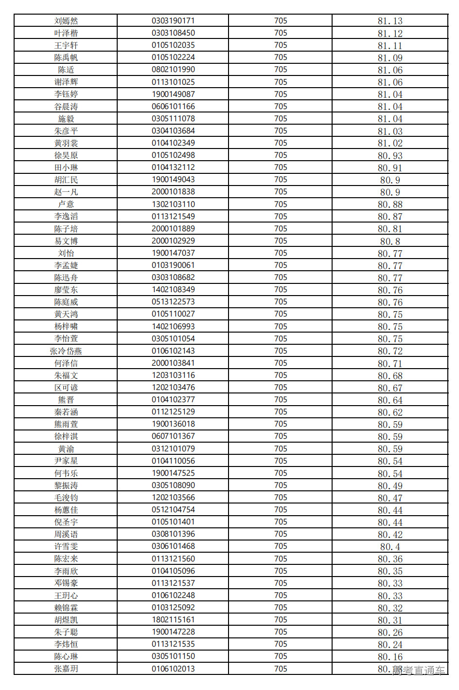
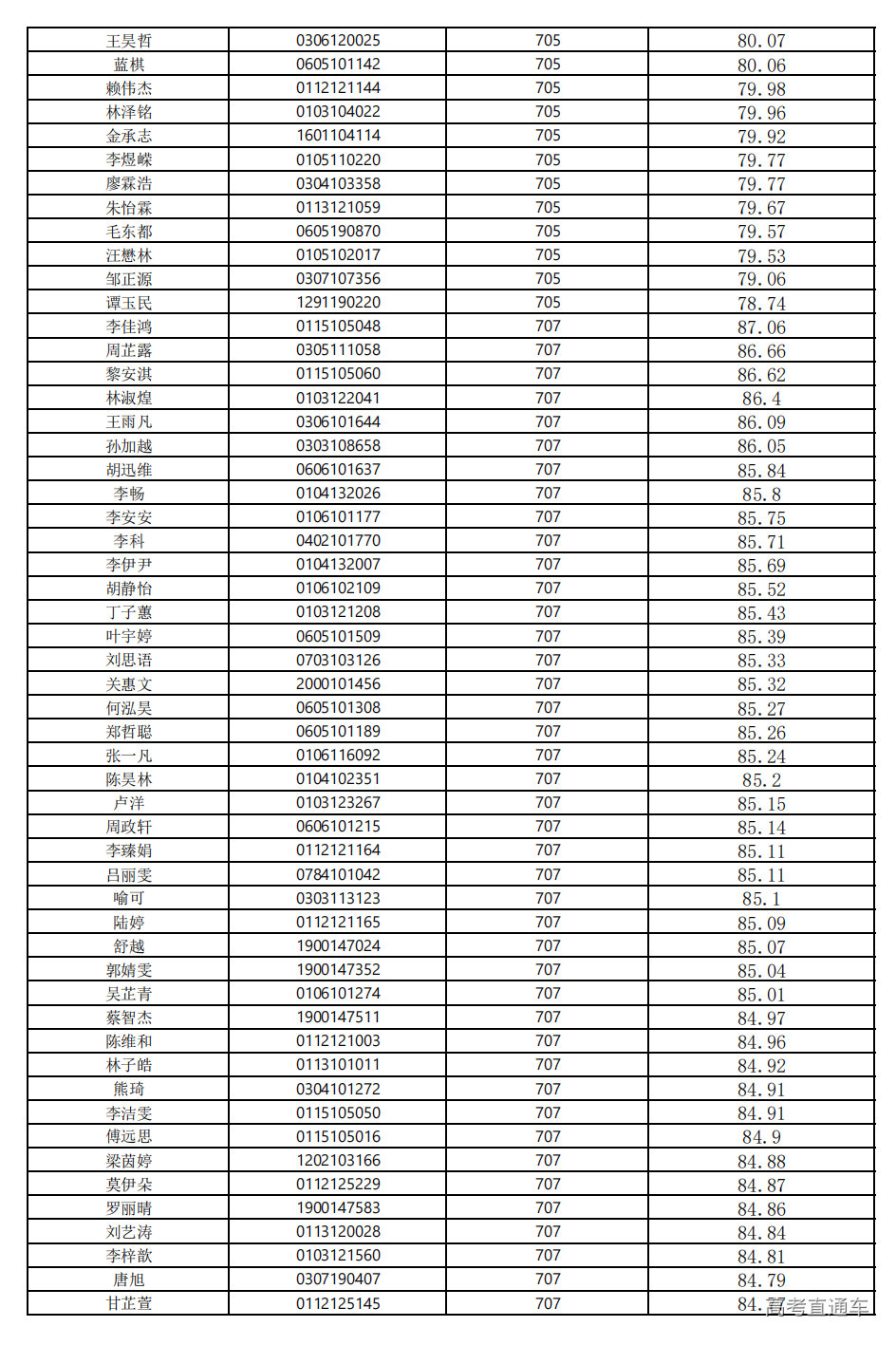
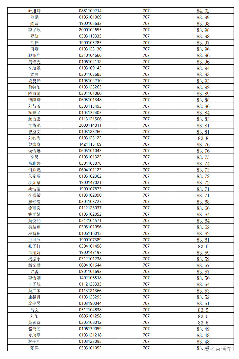
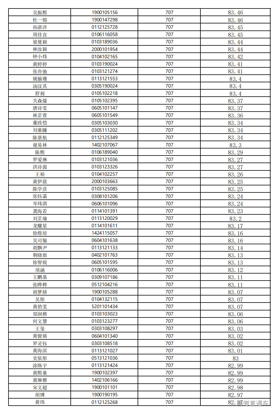
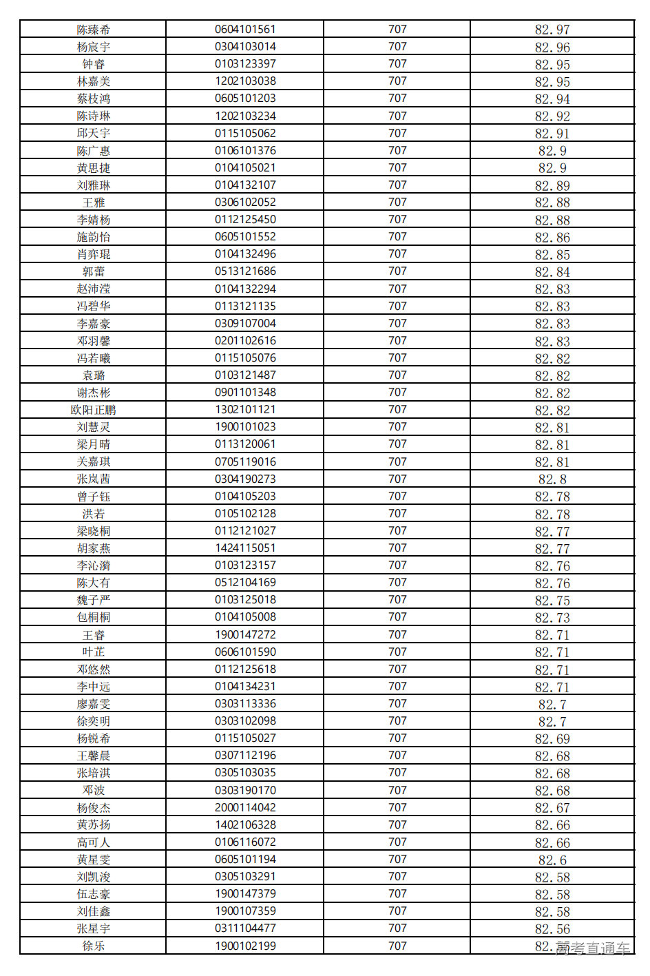
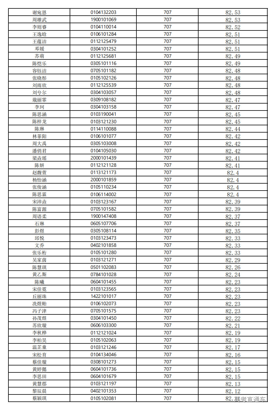
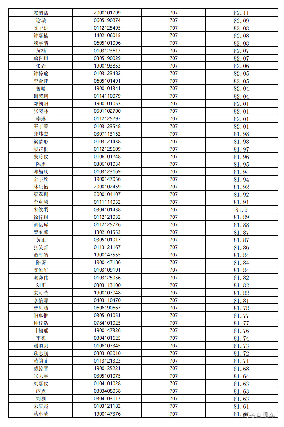
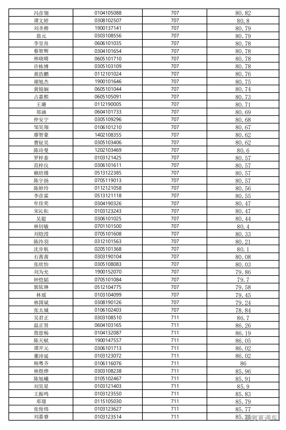
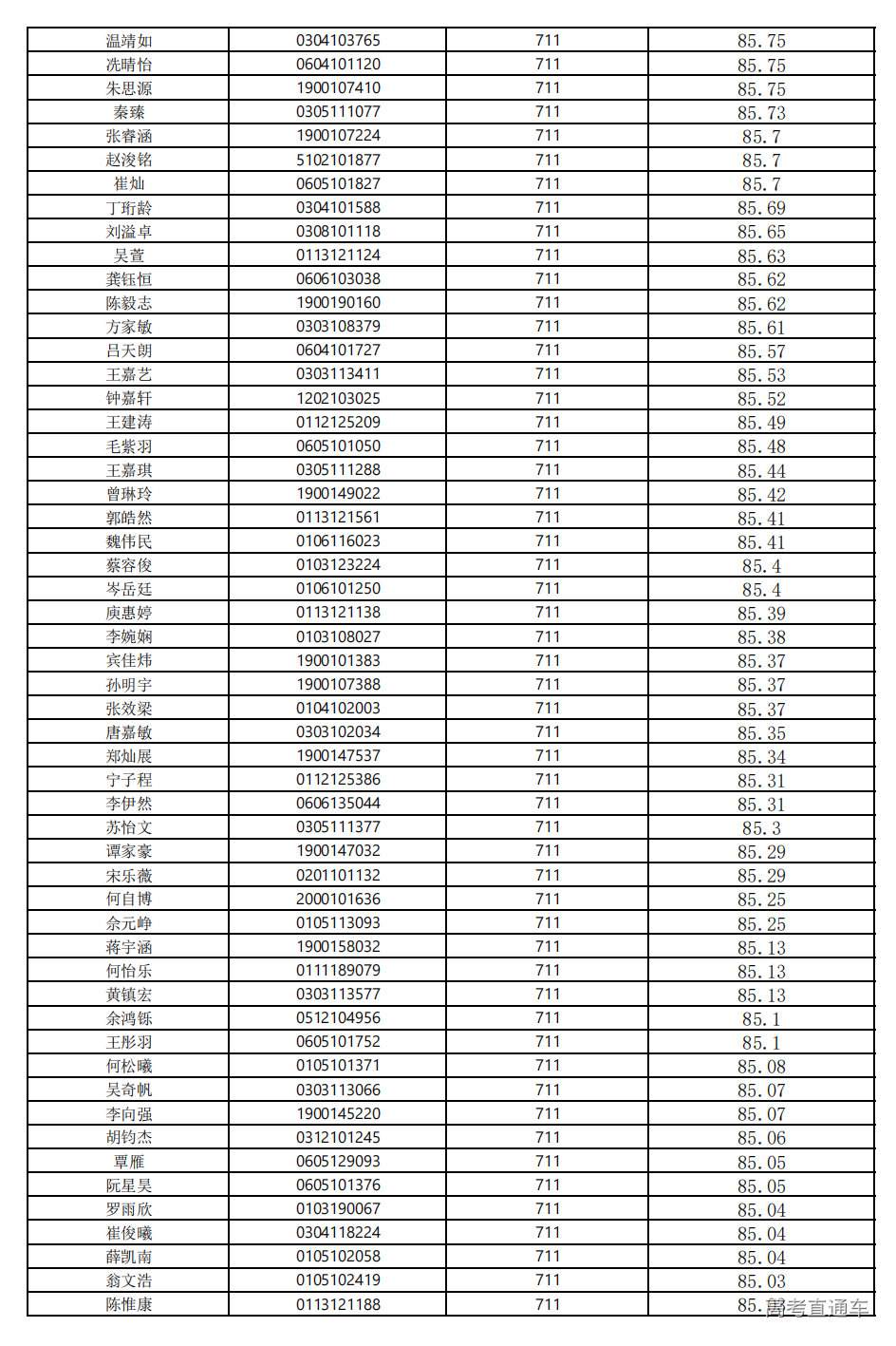
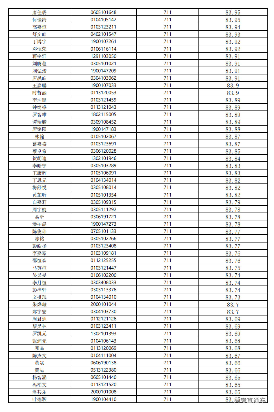
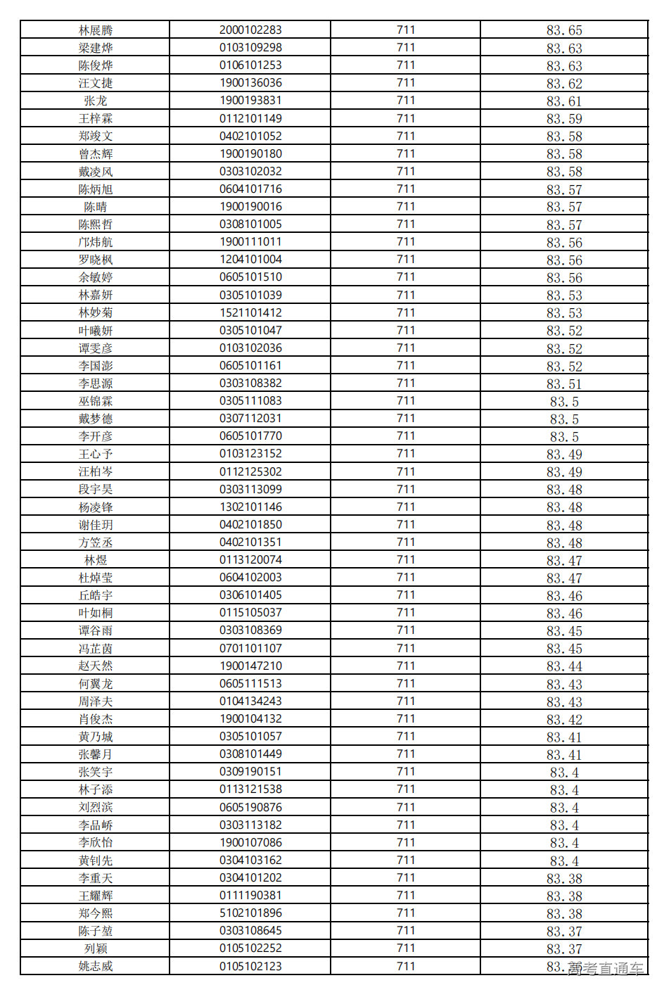
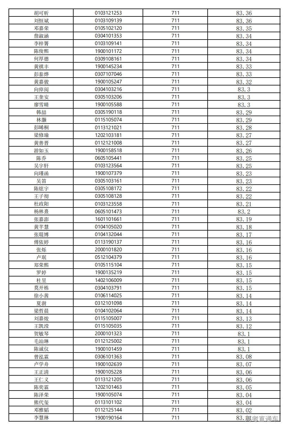
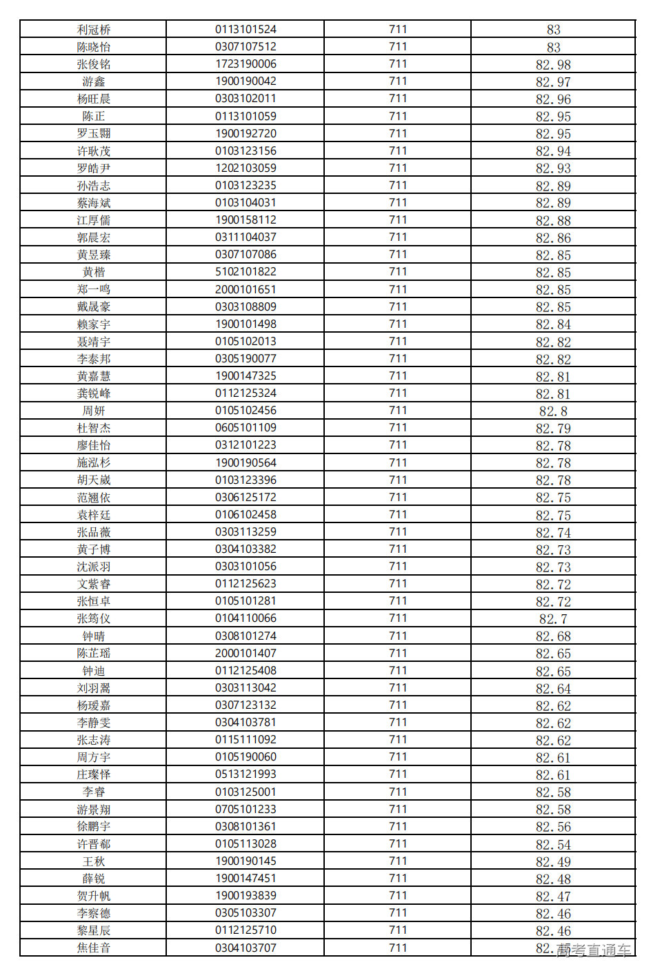
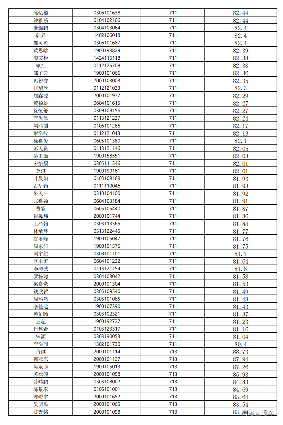
我校2023年广东省综合评价录取面试考核工作已结束。根据《中山大学2023年广东省综合评价录取招生简章》规定和面试考核有关要求,结合我校考核成绩,现公布考生综合成绩(附件)。
综合成绩(四舍五入取2位小数)=高考投档成绩(折算成百分制)×85%+我校考核成绩(百分制)×15%。
广东省教育考试院预计将于7月16日开始投档,我校将根据广东省综合评价录取批次投档考生综合成绩从高到低排序,按照招生计划和“分数优先(综合成绩),遵循志愿”的原则安排专业。
2023年共有1854人获得我校面试考核资格。面试考核过程中,9名考生违反考试纪律,97人未参加面试,取消综合评价录取资格,不公布综合成绩。
填报综合评价志愿但未入选(含不公布综合成绩)的考生,不影响后续本科批次投档与录取。
特此公告。
中山大学招生办公室
2023年7月10日
































