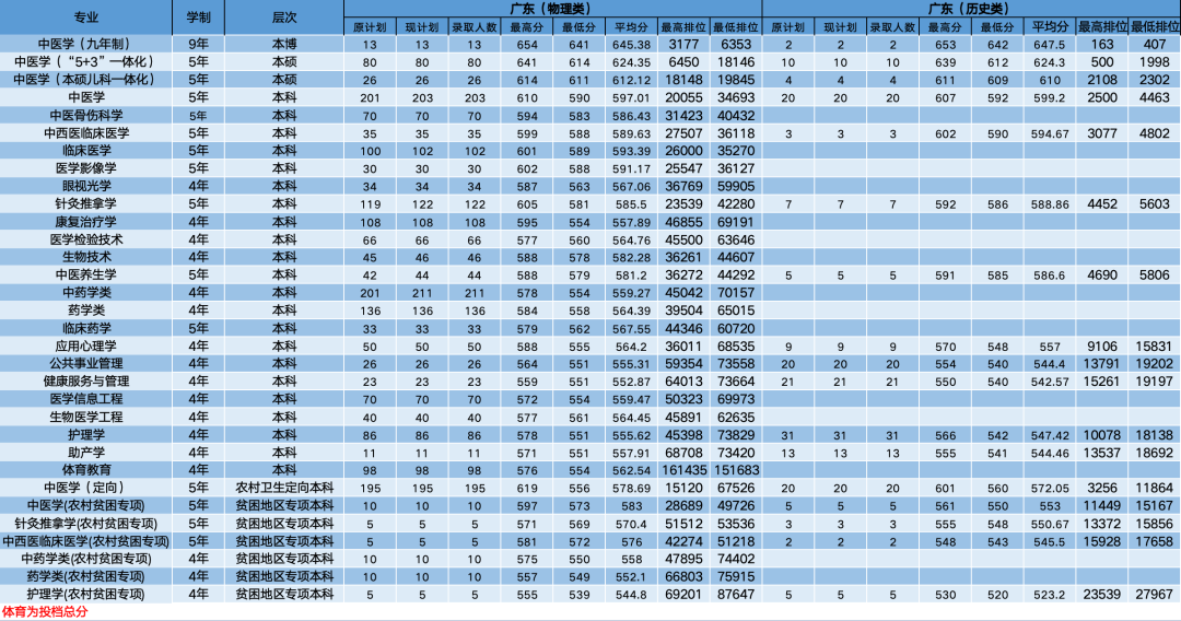
大家期待的广州中医药大学
2023年各省(市)专业录取分数线来了!
希望能给大家带来参考和帮助~
各省本科招生录取信息
广东省 北京市 天津市 河北省 山西省 内蒙古自治区 辽宁省 吉林省 黑龙江省 上海市 江苏省 浙江省 安徽省 福建省 江西省 山东省 河南省 湖北省 湖南省 广西壮族自治区 海南省 重庆市 四川省 贵州省 云南省 陕西省 青海省 宁夏回族自治区 新疆内高班 新疆维吾尔自治区 以上就是广州中医药大学 2023年各省(市)的专业录取分数线啦 最后预祝所有考生高考顺利 六月一过紫气来,广中医门为你开






























