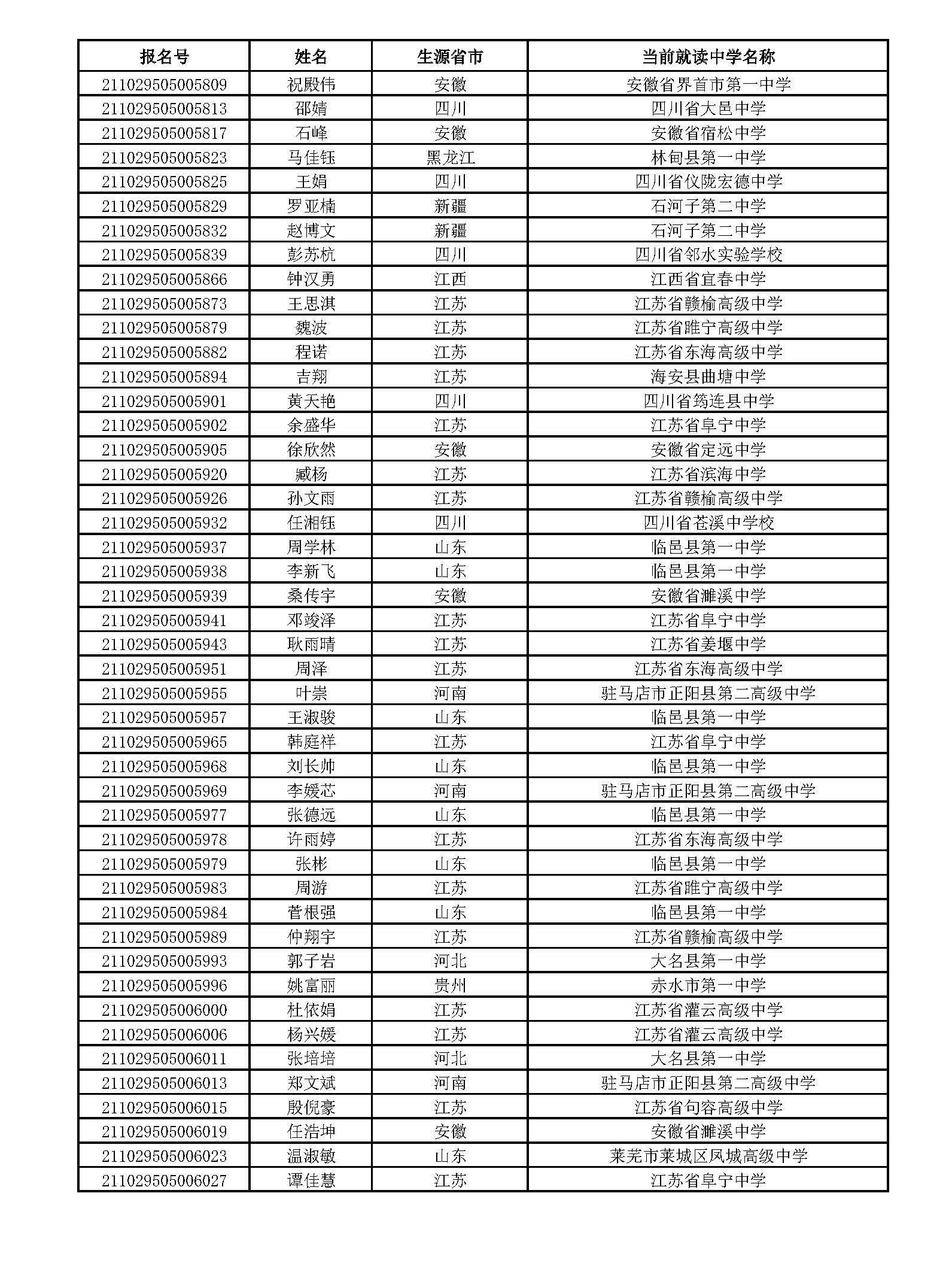
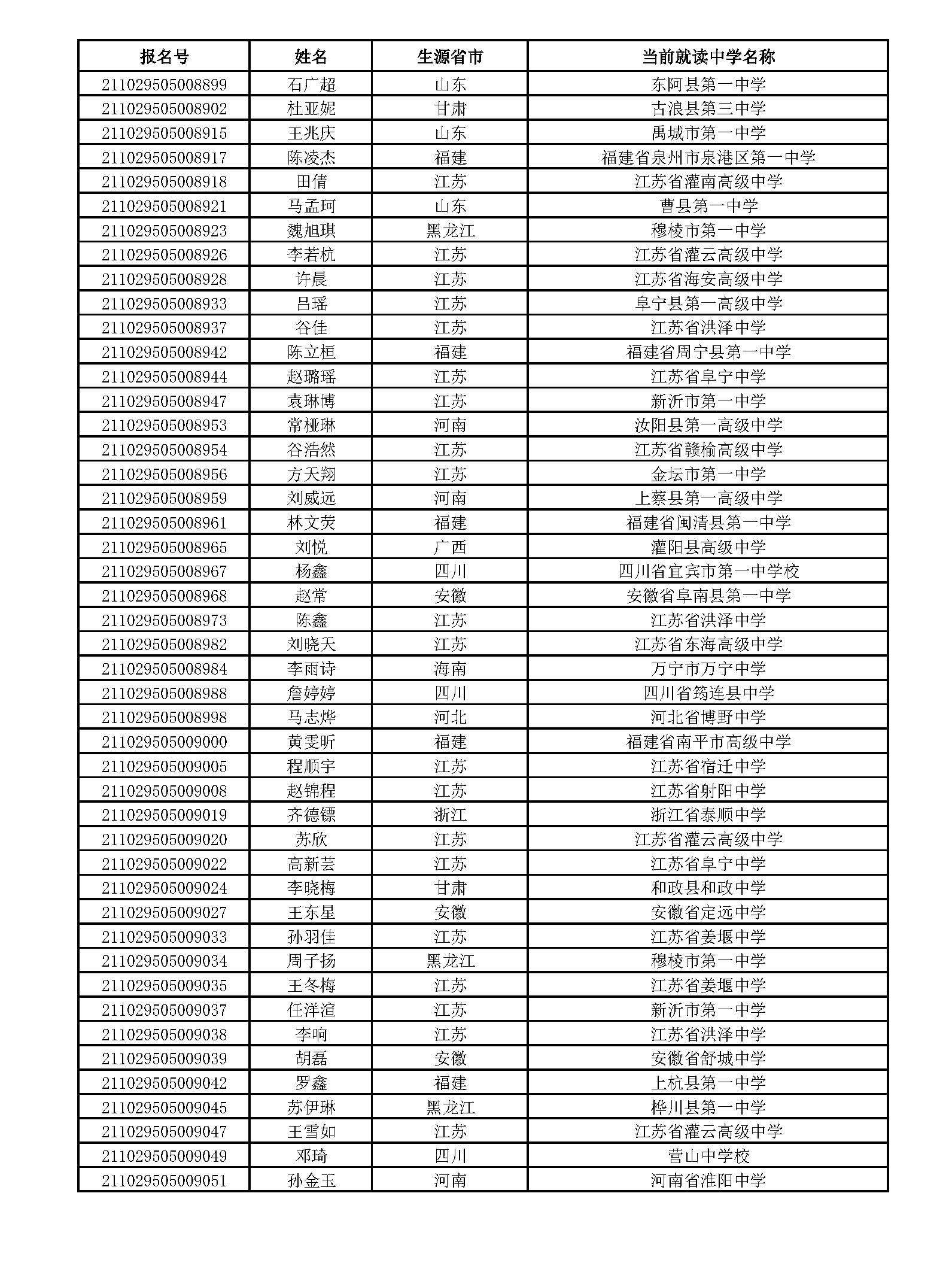
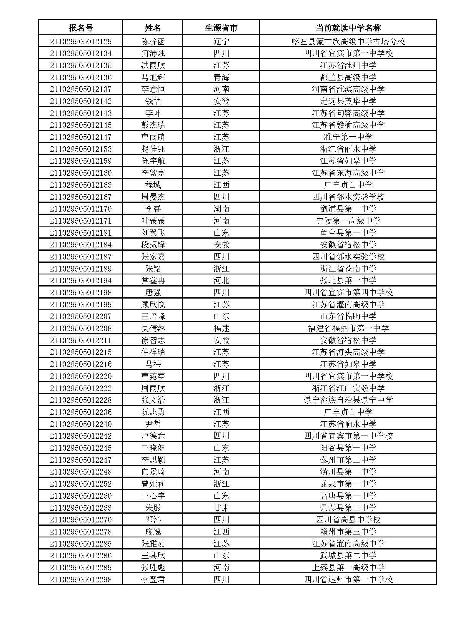
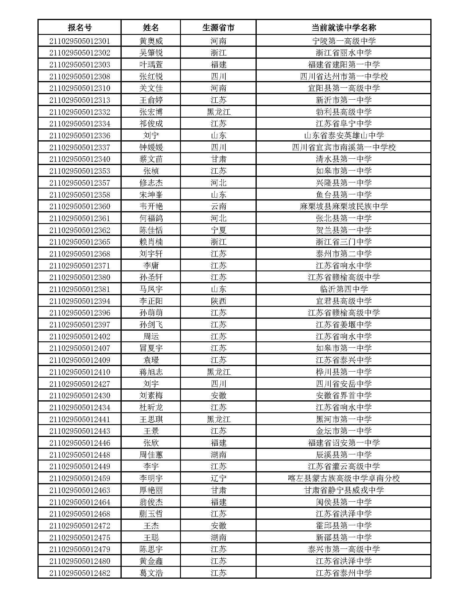
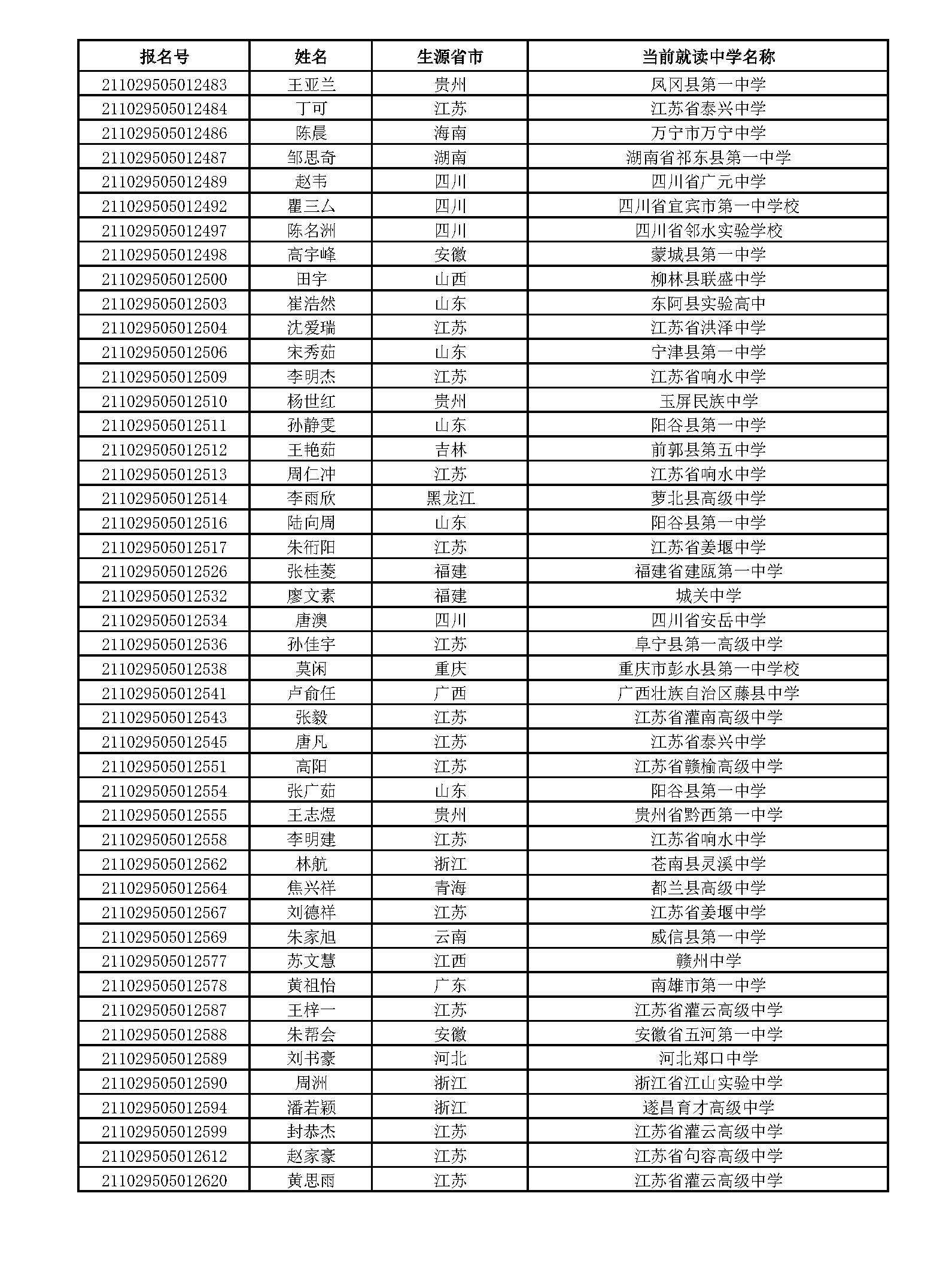
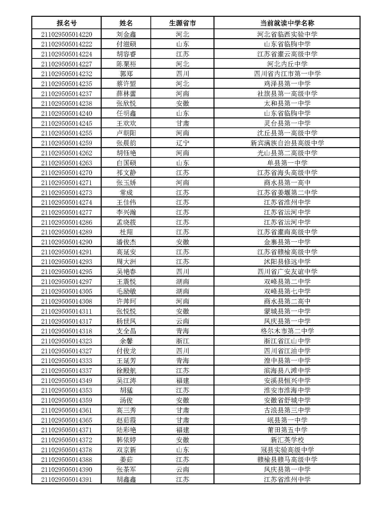
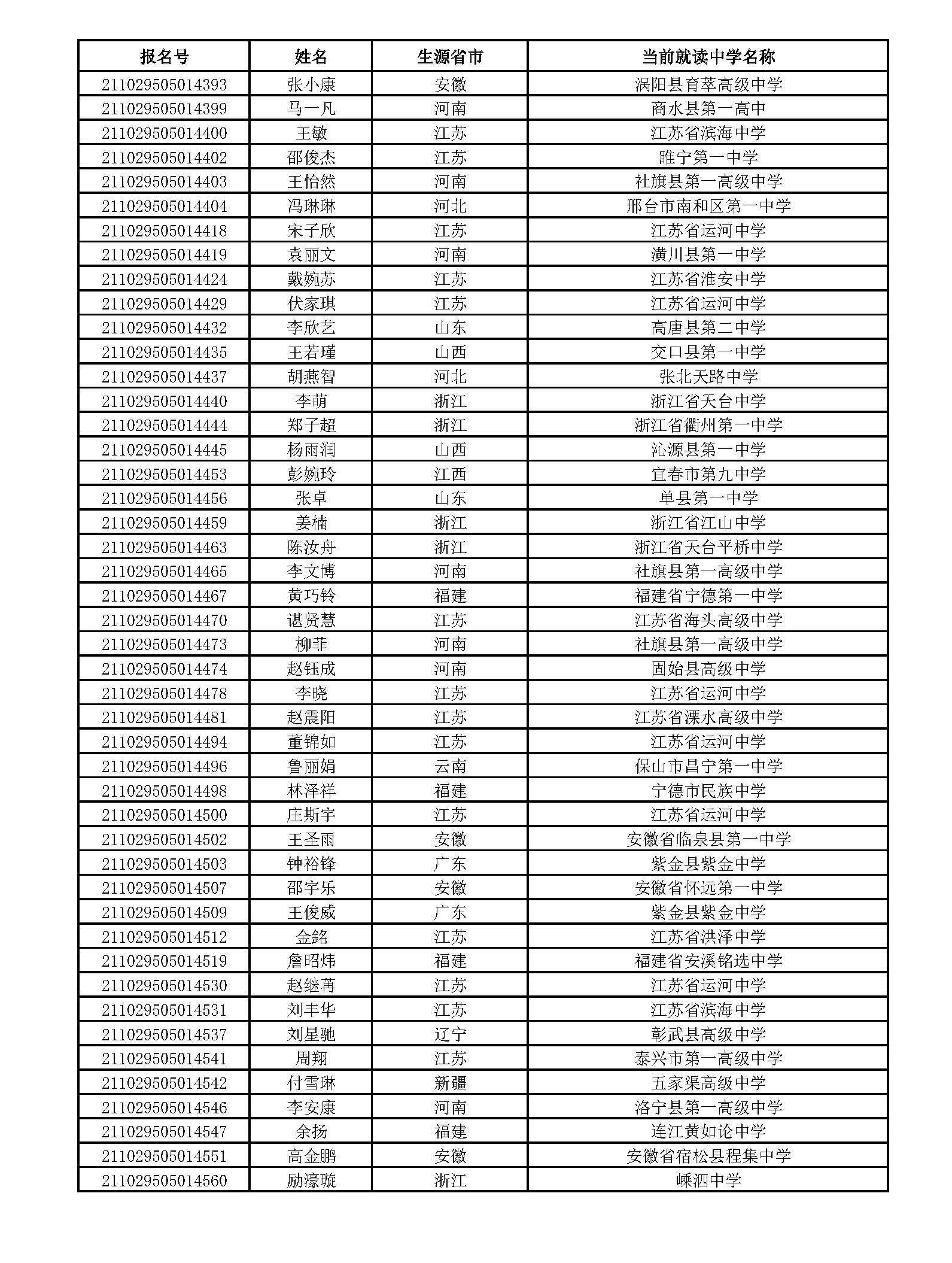
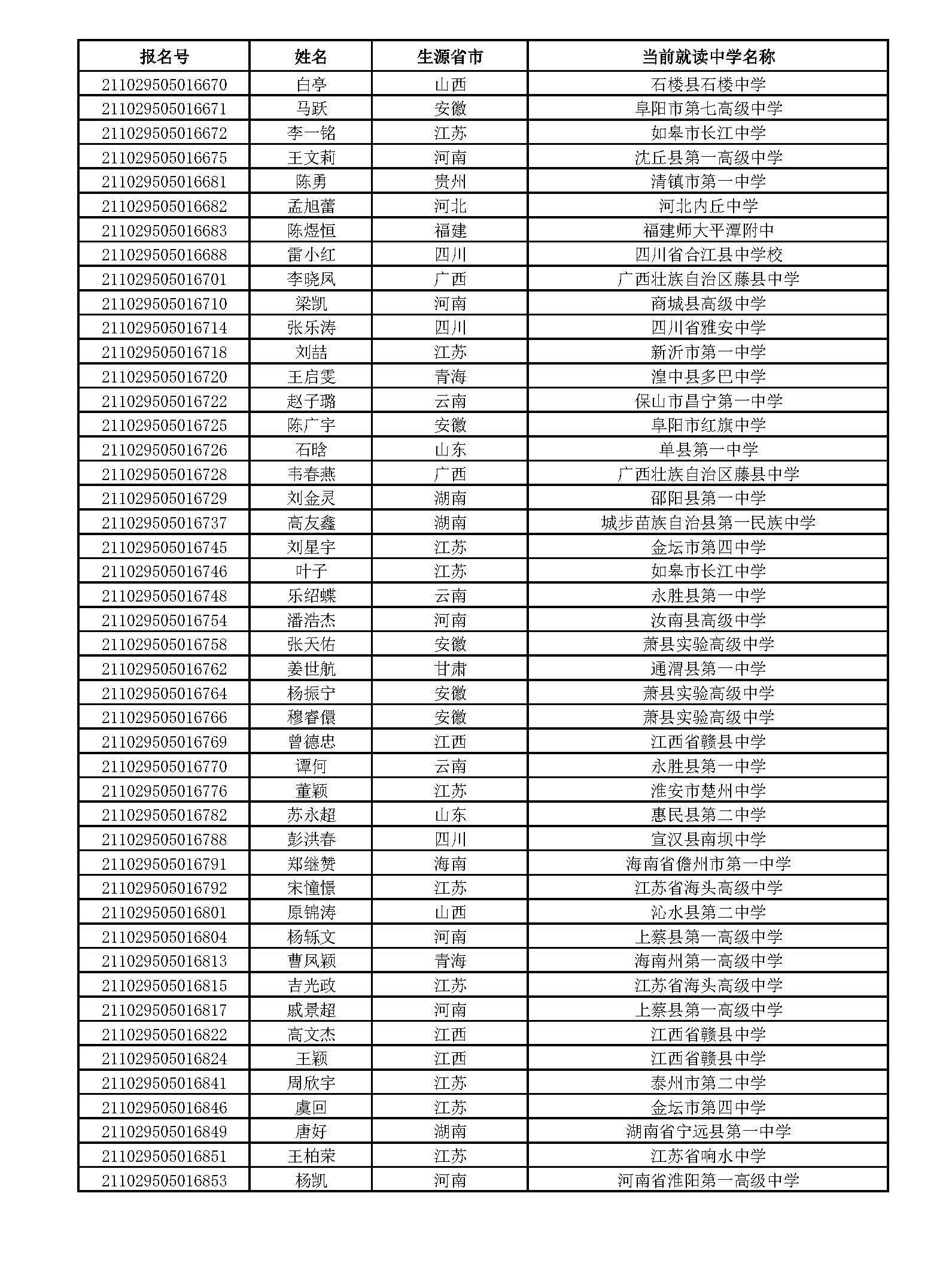
根据《关于2021年继续做好重点高校招生专项计划实施工作的通知》(教学司﹝2021﹞3号)文件精神和《江南大学2021年高校专项计划招生简章》,在有关省(区、市)完成考生户籍、学籍资格等基本条件审核的基础上,我校对考生提供的报名材料进行审核,现审核工作已结束,请考生自行登录“高校专项计划报名系统”(网址为https://gaokao.chsi.com.cn/gxzxbm/)查询审核结果。同时,将获得我校2021年高校专项计划入选资格考生名单予以公示(详见附件)。
公示期:2021年5月31日-2021年6月4日
如有异议,请于公示期内以实名方式向我校招生就业处或监督检查室反映。招生就业处电话:0510-85915666,监督检查室电话:0510-85913557。
附件:江南大学2021年高校专项计划入选资格考生名单
江南大学招生就业处
2021年5月31日



































































































