截止7月20日,我校在广东省本科批次文史类、理工类、校考书法学各专业录取均已结束。
经广东省教育考试院审核,我校在广东省校考书法学专业录取51人,录取最低综合分306.4分。
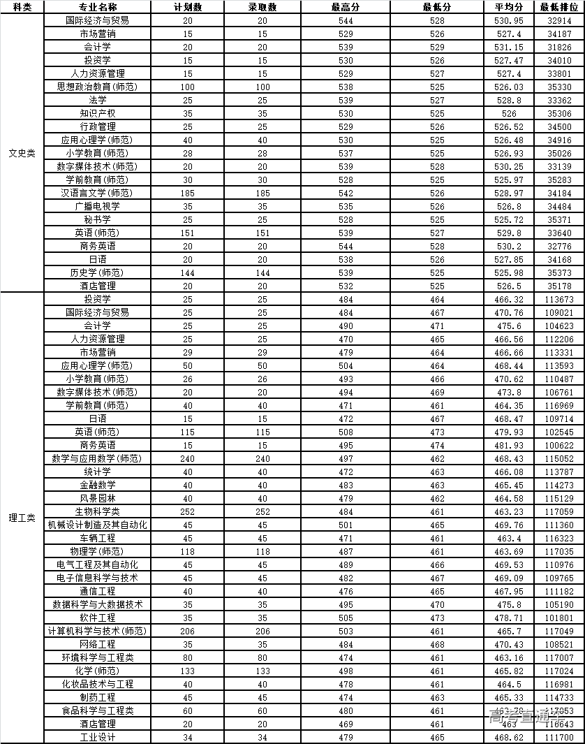
我校广东省本科批次录取文史类考生988人,录取分数线525分,最低排位35373;录取理工类考生2083人,录取分数线461分,最低排位117059。录取具体情况如下表:
注:广东省书法学(师范)专业在取得我校专业术科考试合格证的情况下,学校对投出档案考生的文化课成绩和专业术科成绩按一定比例计算后得出总分,总分=文化成绩×40%+专业术科成绩×60%,按照总分由高到低的顺序,优先安排高分考生志愿,若考生总分相同时,则专业术科成绩高者优先录取。
考生可通过我校招生办网站录取系统https://lqcx.zqu.edu.cn/进行查询。
录取通知书的寄出安排:
广东省提前批教师专项录取通知书需等各地教育局签好三方协议书之后再寄出,预计8月10号寄出。
广东省本科批次艺体舞蹈类、文理类、书法类专业录取通知书预计7月30日寄出。
录取通知书寄出的第一时间我们会在微信公布,请各位被录取的考生耐心等待。
肇庆学院招生办
2019年7月21日
