根据南京中医药大学2020年综合评价录取工作安排,现将我校2020年综合评价录取资格初审结果进行公示,有关事宜通知如下:
一、公示时间
公示期为2020年6月10日至2020年6月23日。公示期内如有异议可致电南京中医药大学招生工作办公室,联系电话:025-85811852,过期不予受理。
二、确认面试及缴费
初审通过的考生须于6月23日前通过综合评价报名系统进行面试确认及缴费,根据《关于进一步明确我省高校收费政策有关问题的通知》(苏价费〔2007〕423号、苏财综〔2007〕92号、苏教财〔2007〕89号)规定,考生须缴纳综合评价录取测试费人民币60元/人。逾期未缴费的视为自动放弃,已缴纳费用但未参加测试者,测试费不予退还。缴费成功后考生于7月6日至10日通过网上报名系统自行打印准考证。
三、其他注意事项
7月10日前将在南京中医药大学本科招生网发布《2020年综合评价录取考生面试报到注意事项》,届时会详细介绍报到及面试相关内容,请各位考生和家长及时关注。
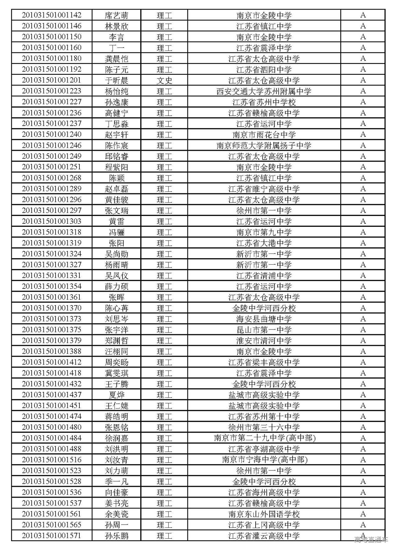
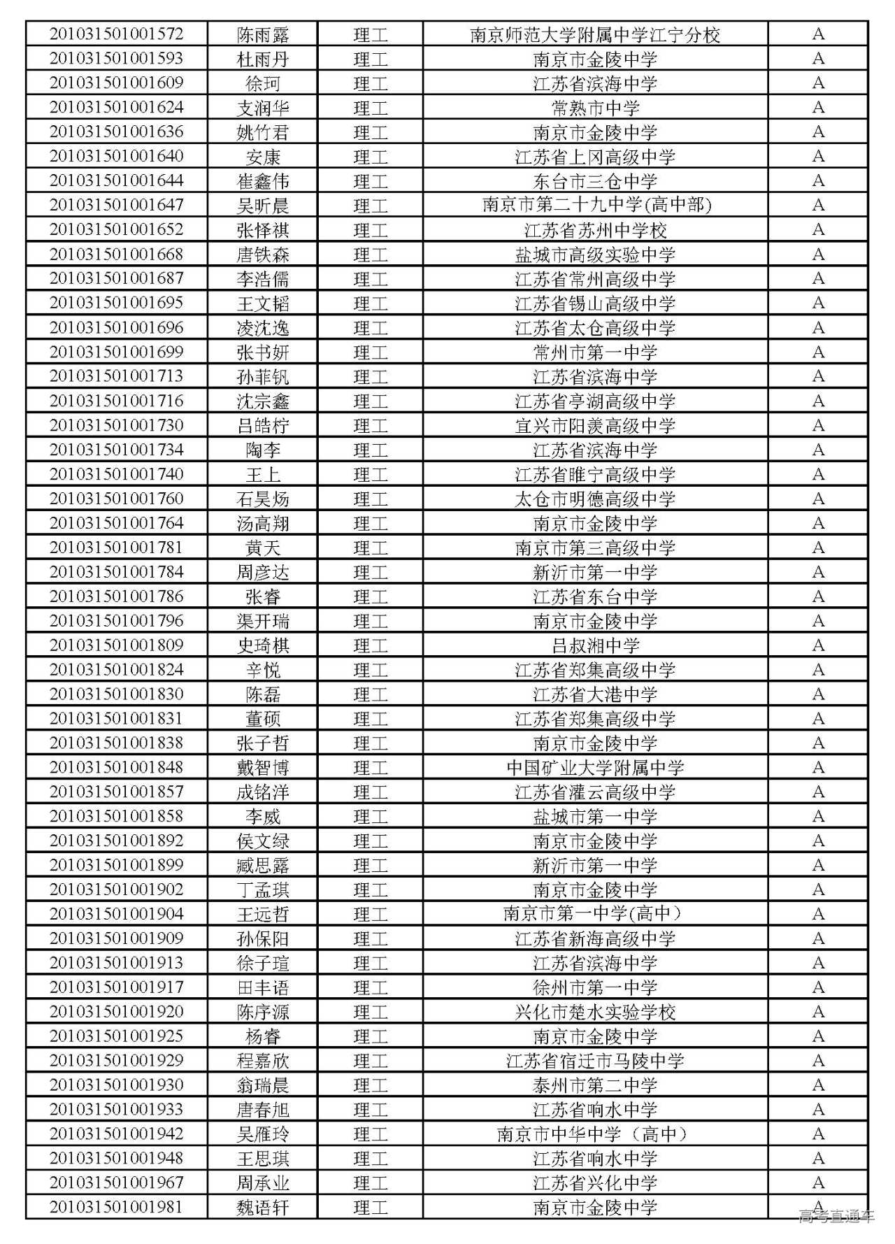
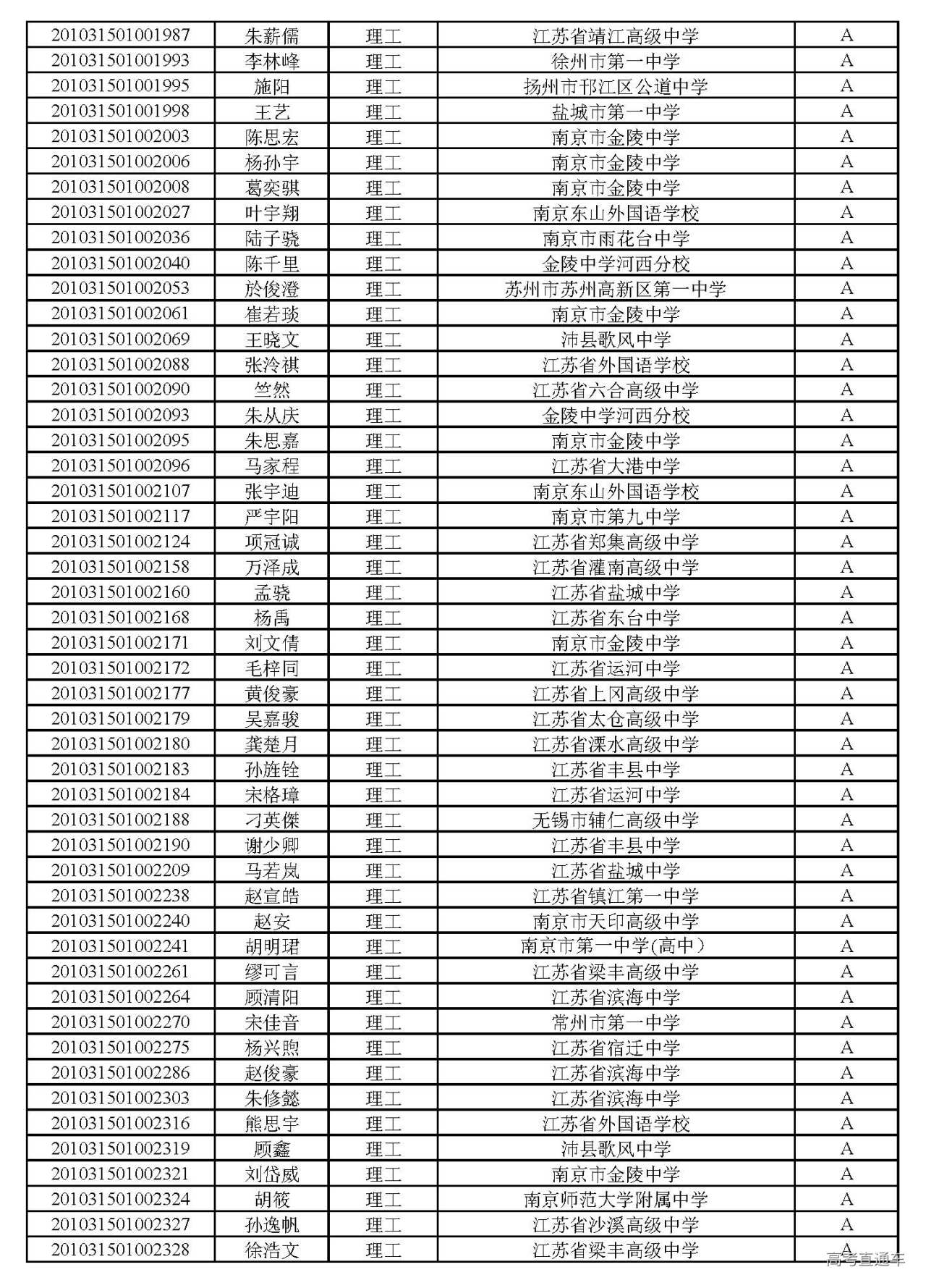
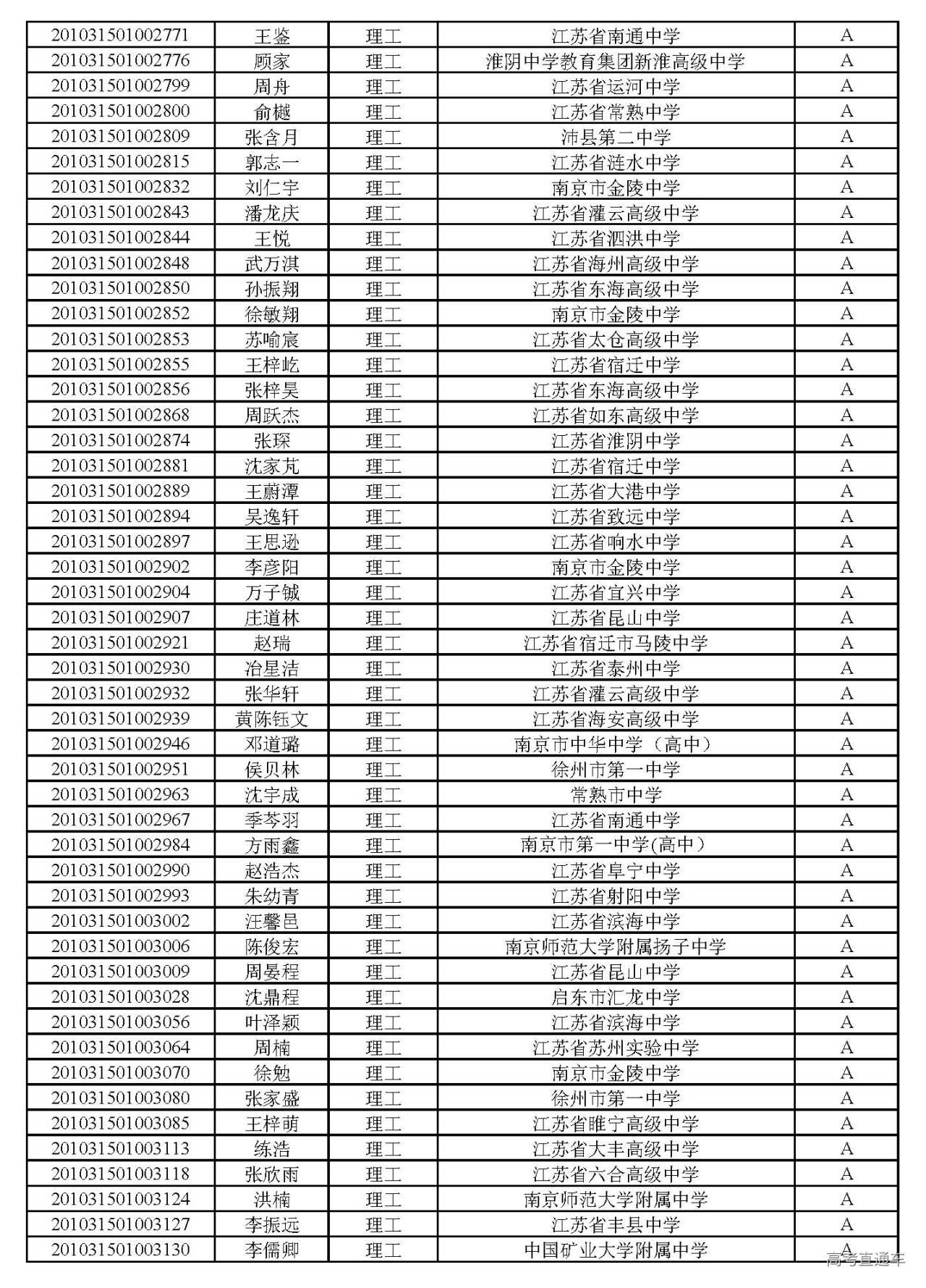
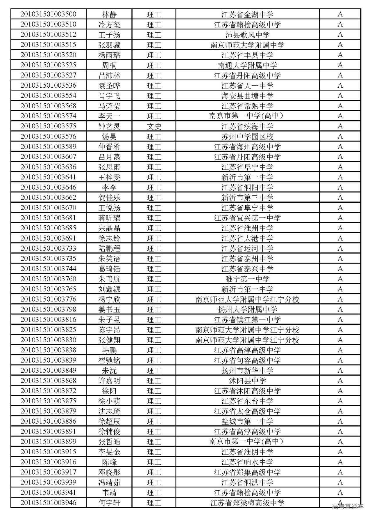
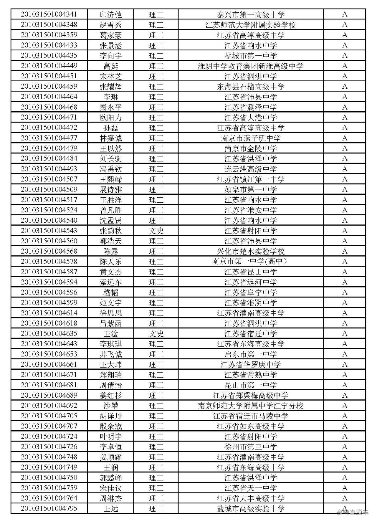
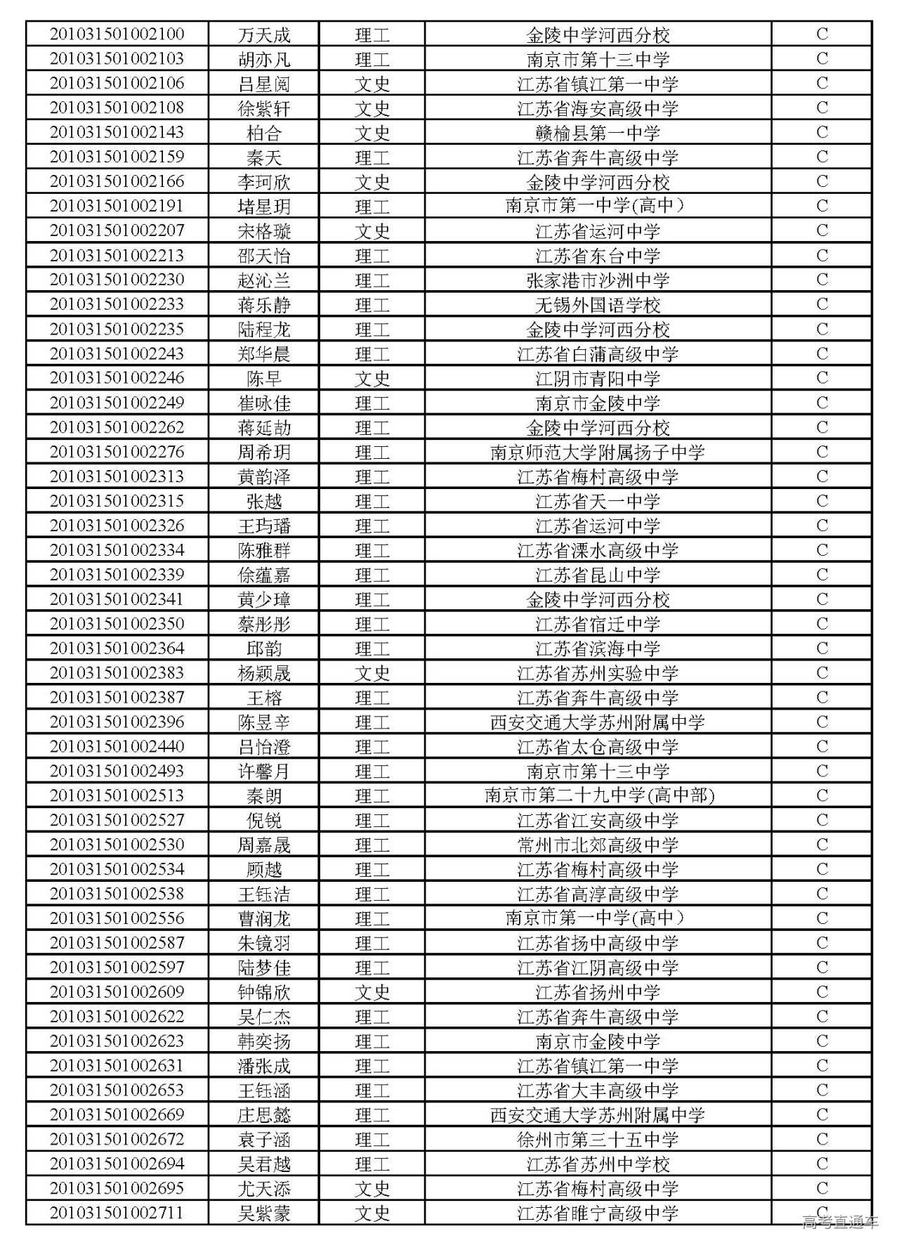
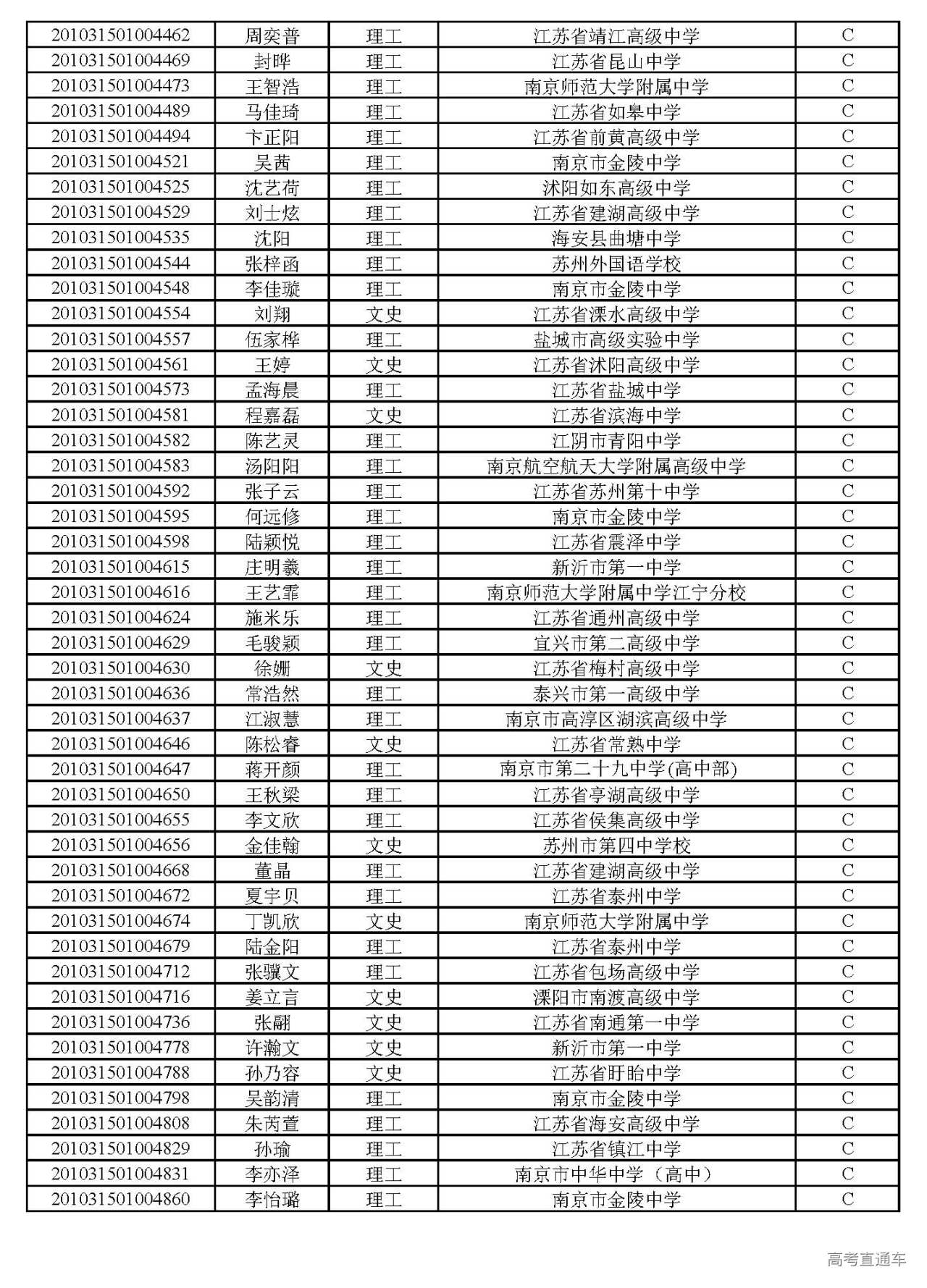
附件:南京中医药大学2020年综合评价录取初审合格考生名单
南京中医药大学招生工作办公室
2020年6月10日





































