各位考生:
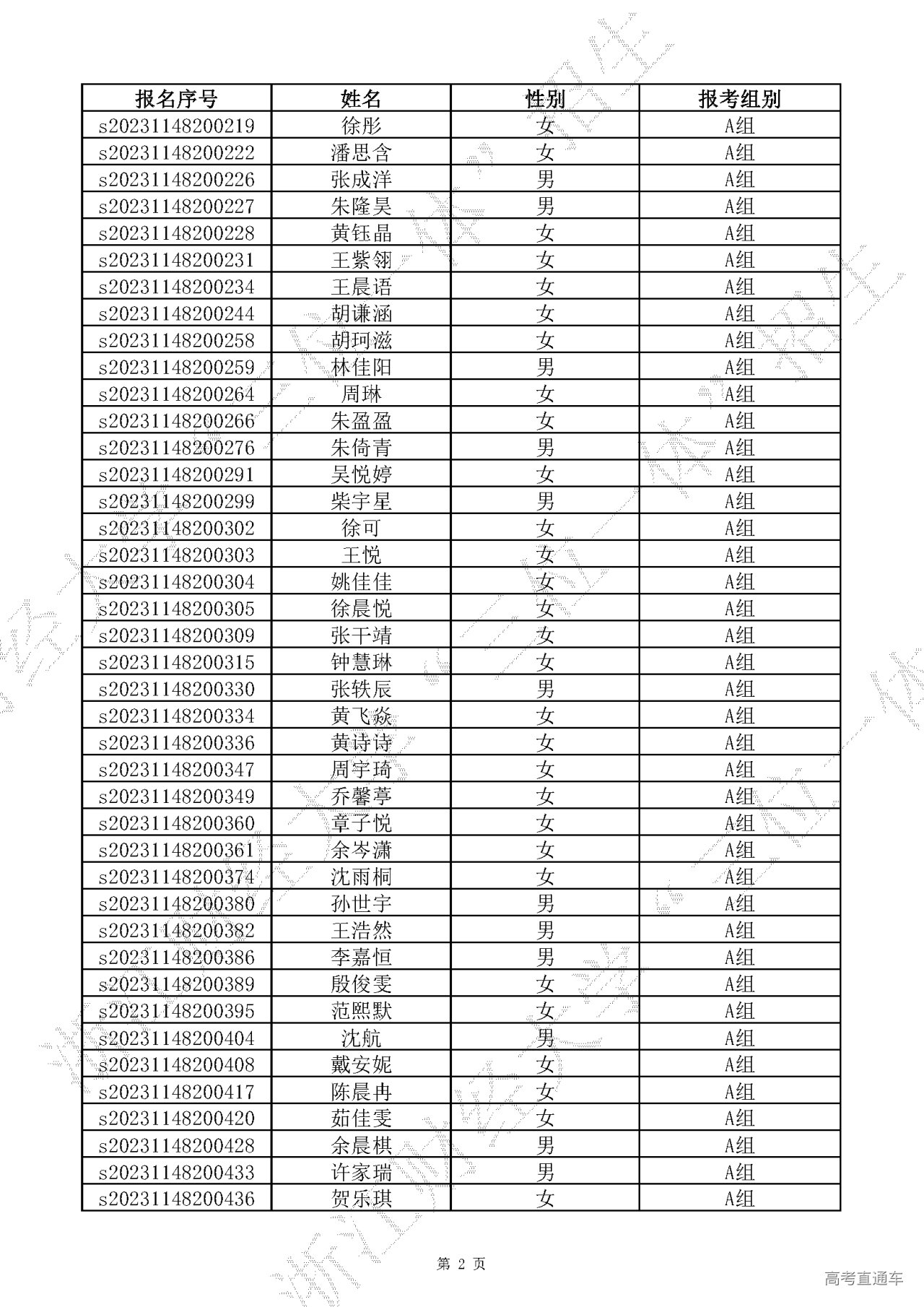
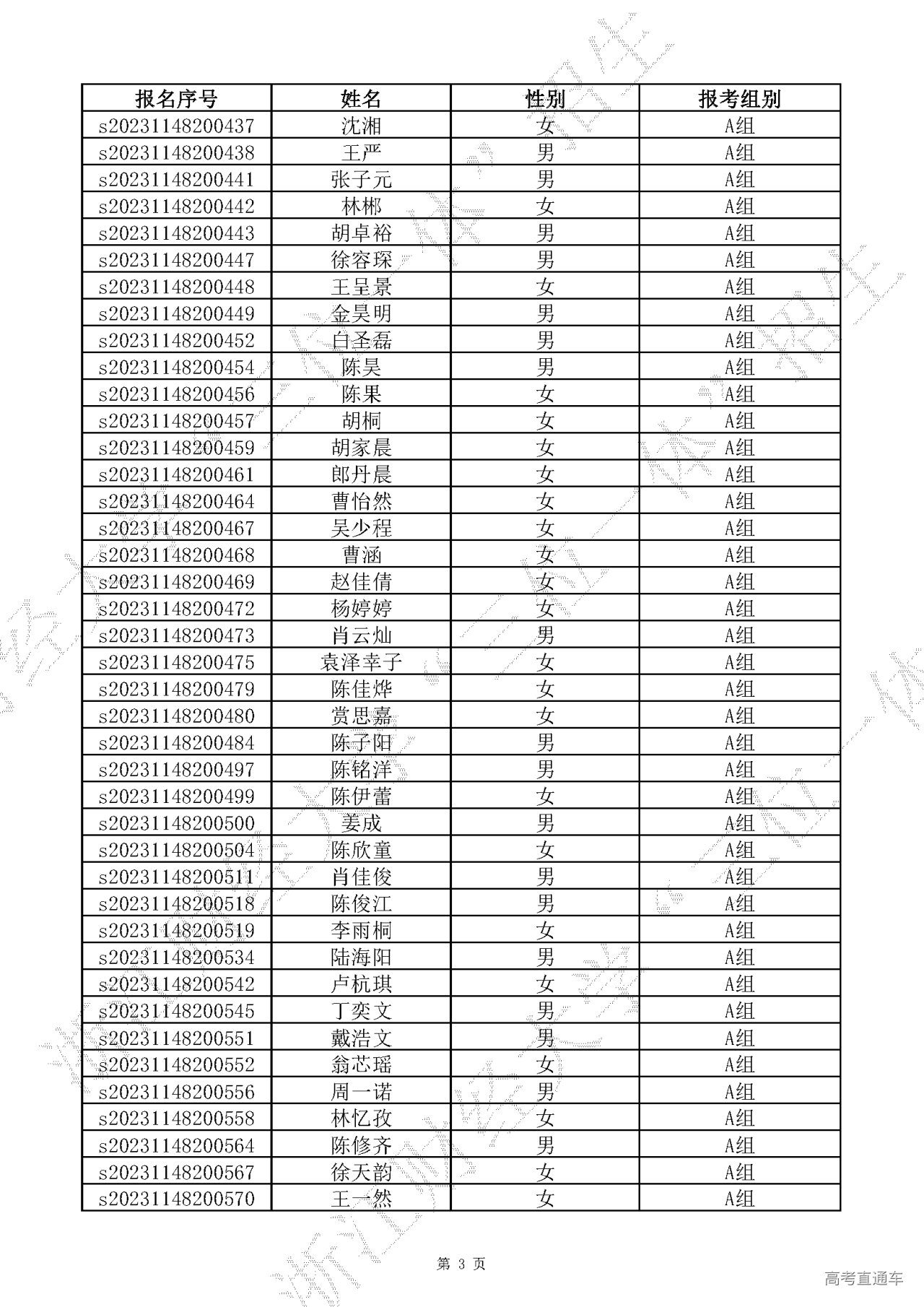
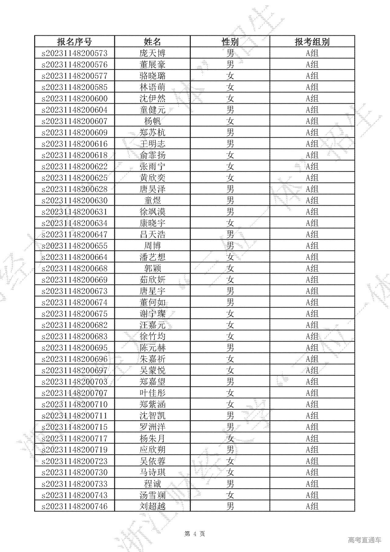
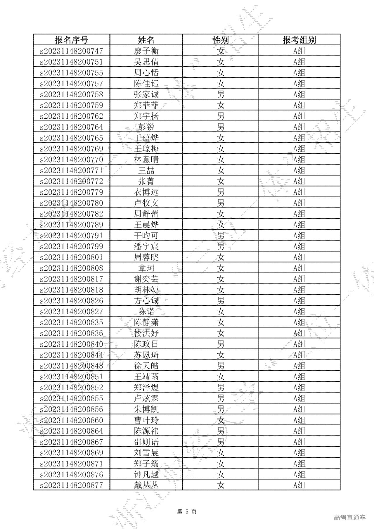
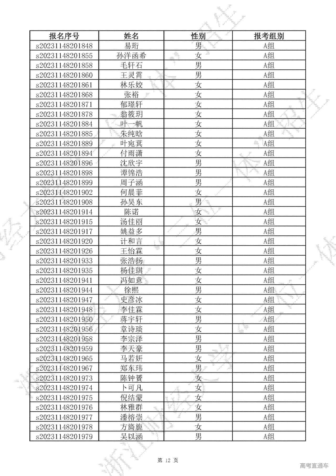
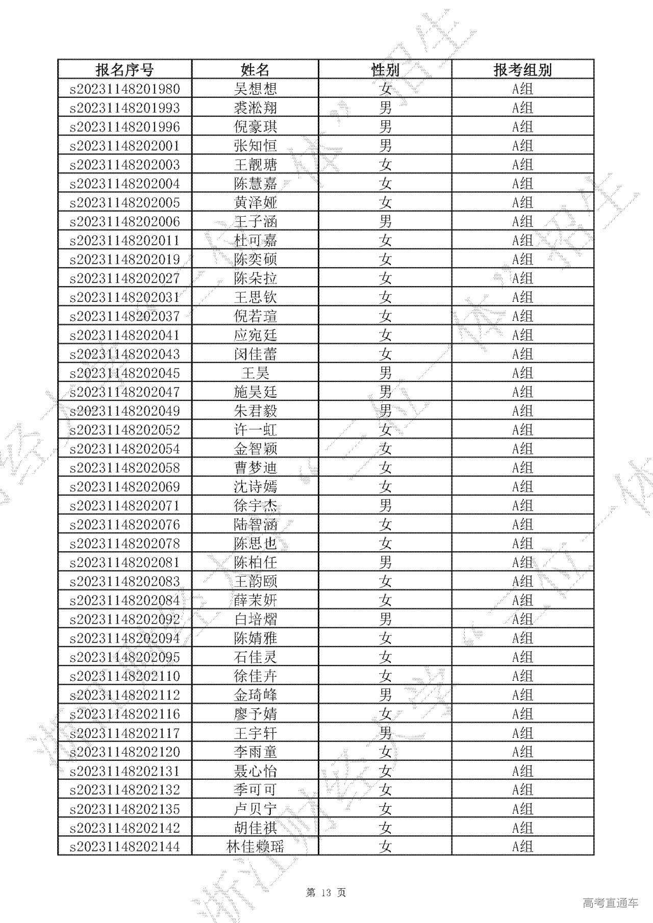
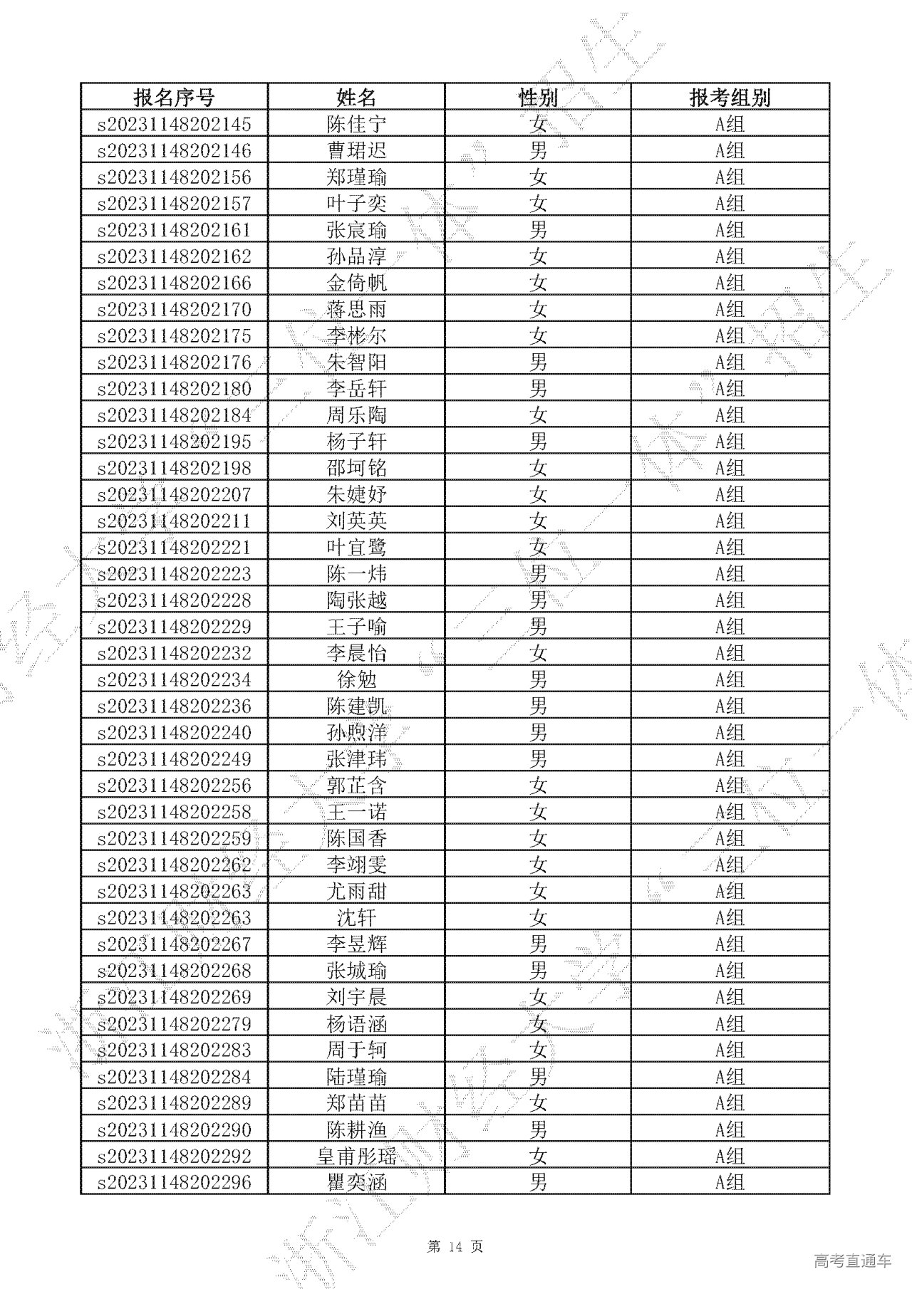
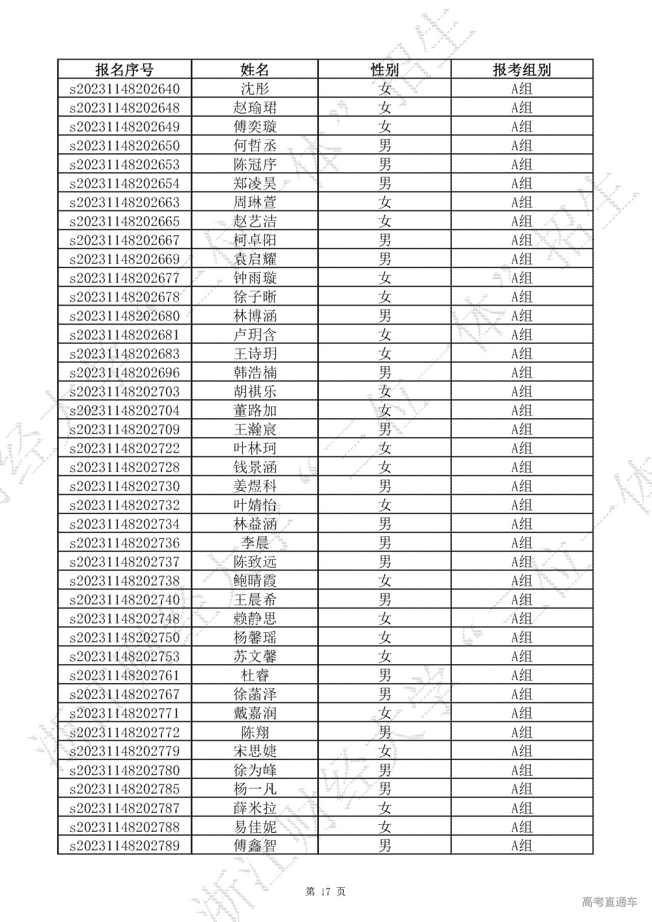
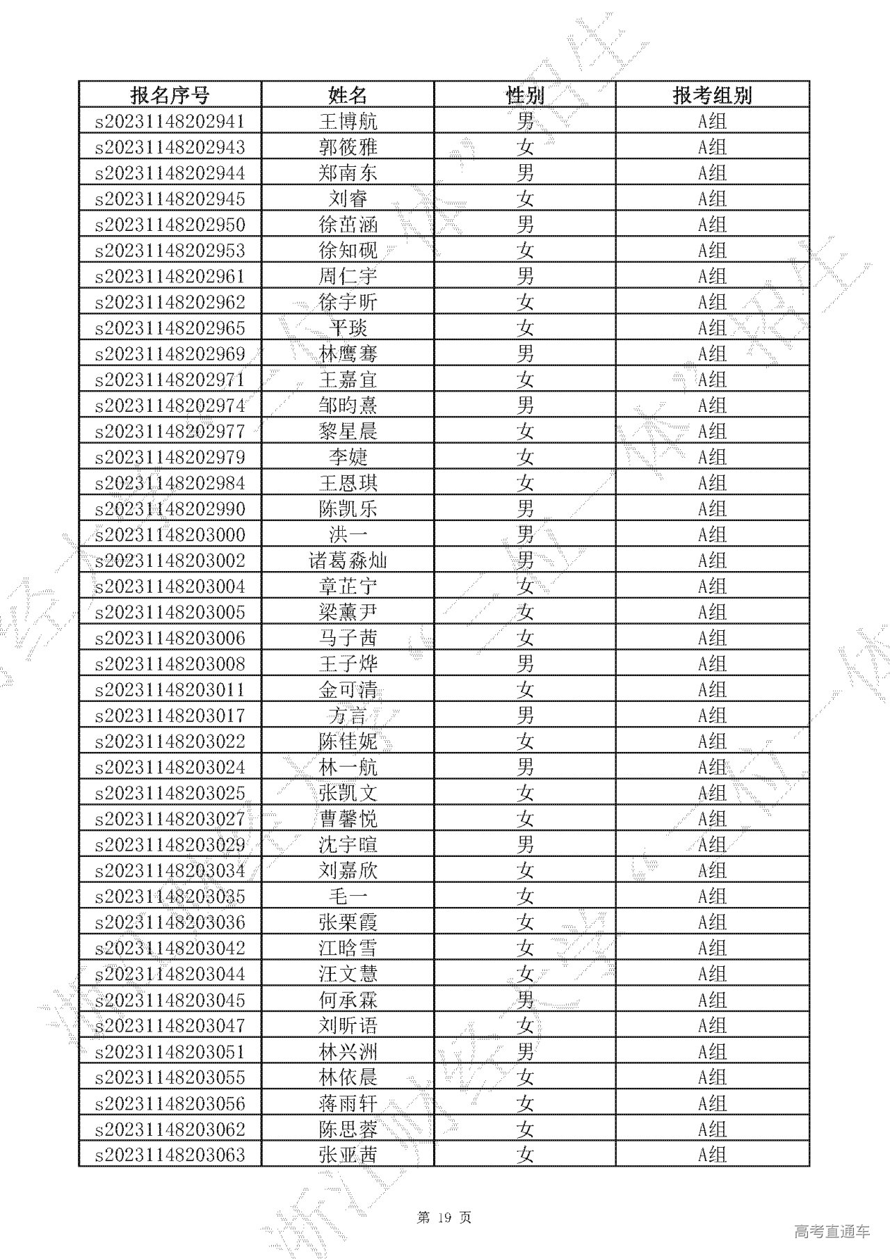
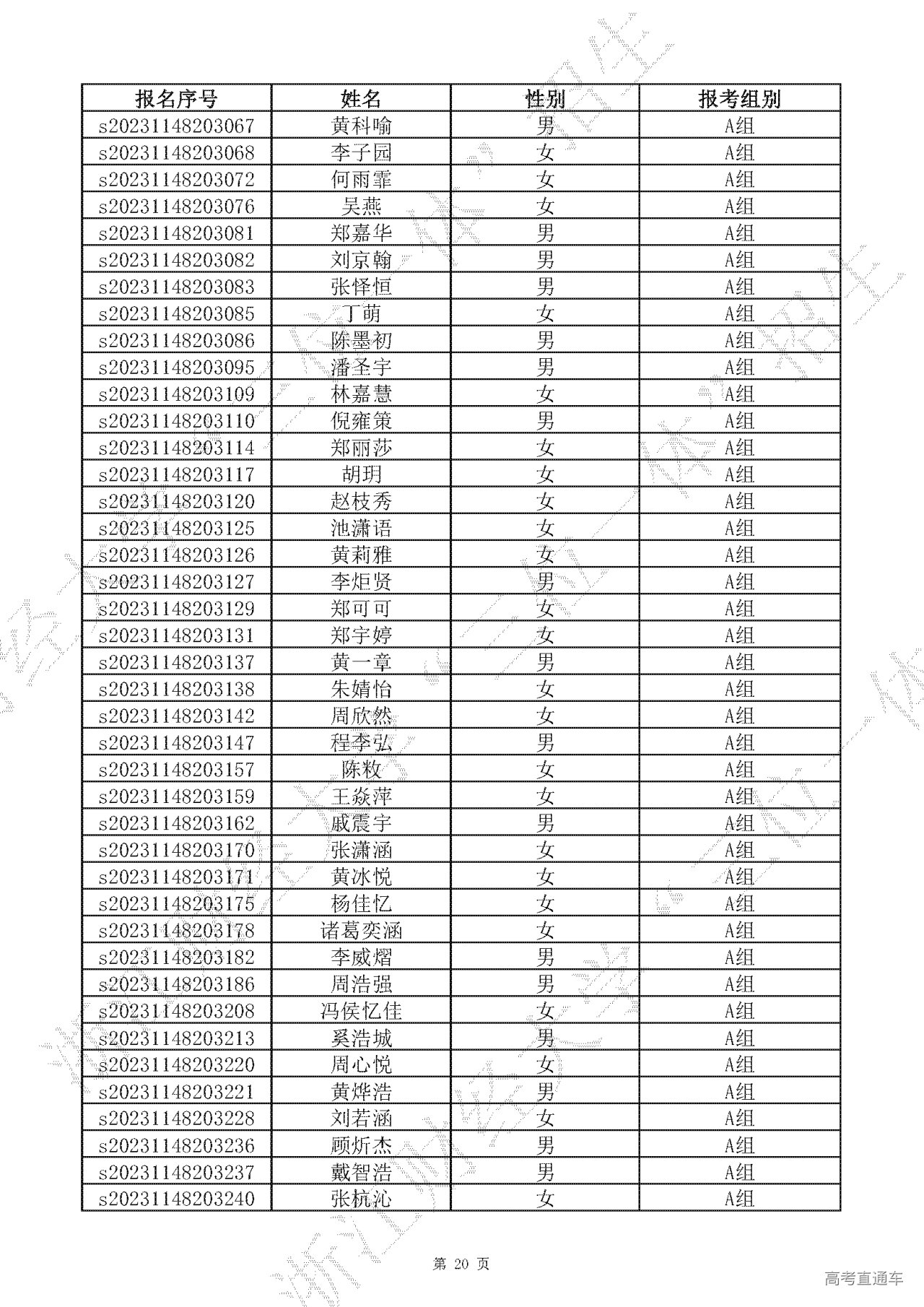
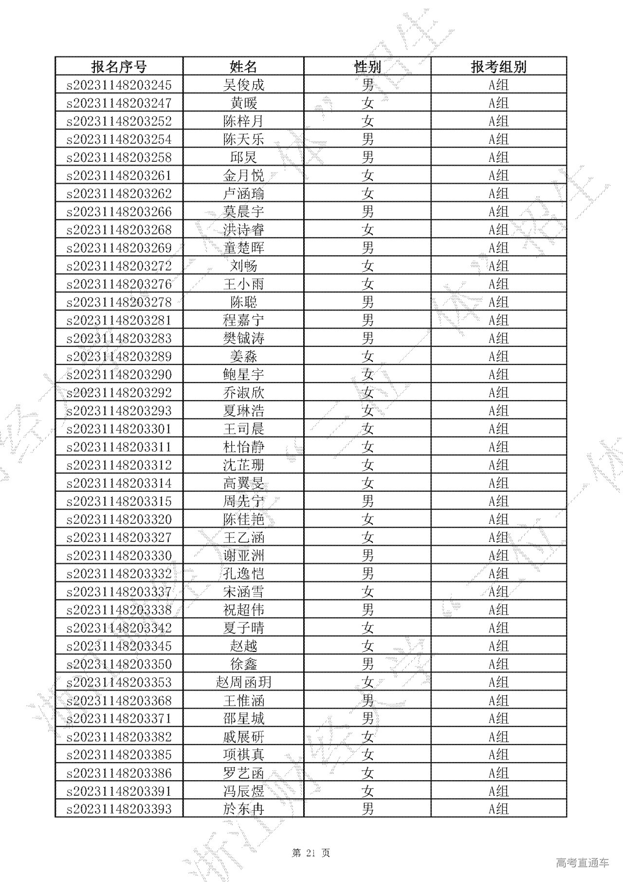
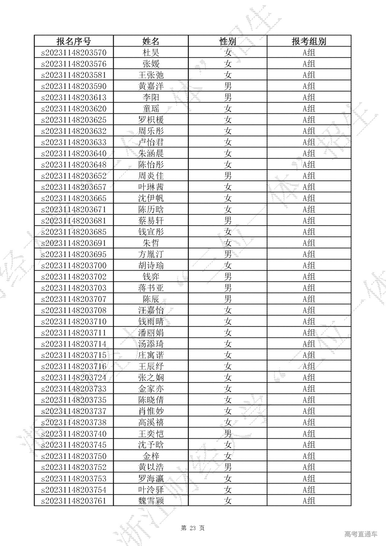
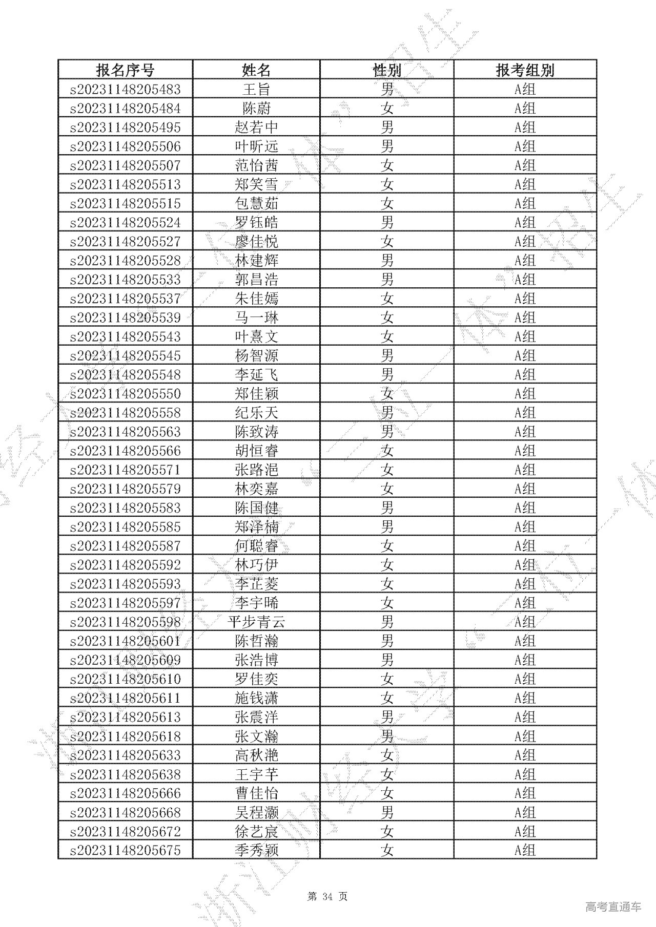
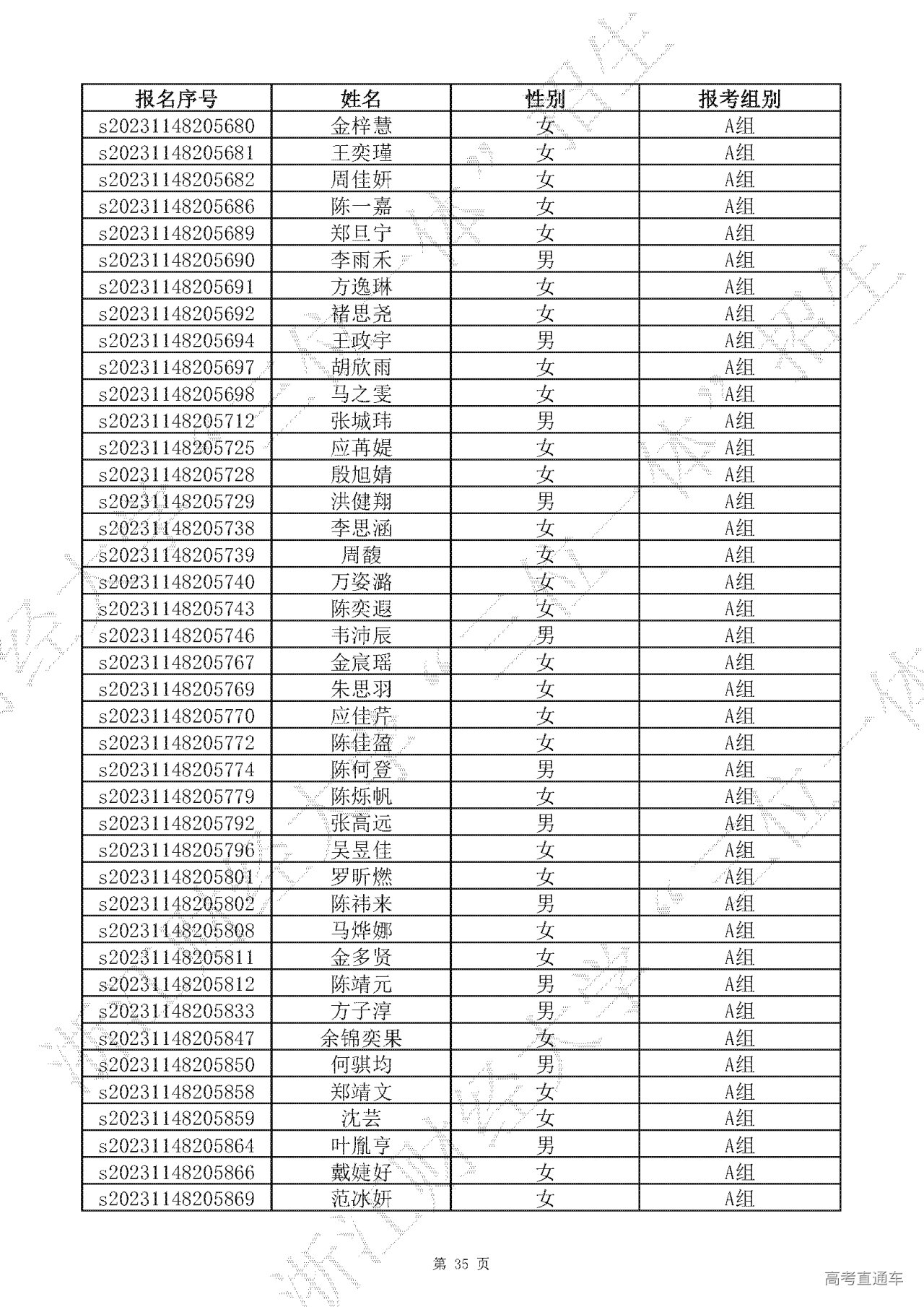
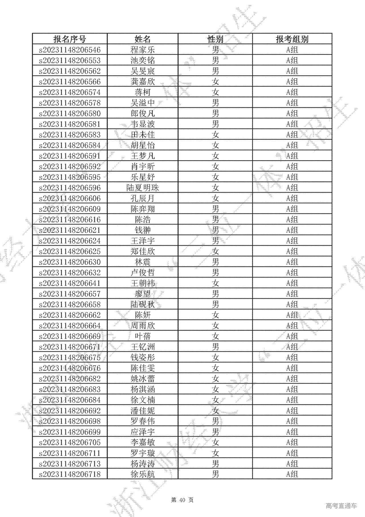
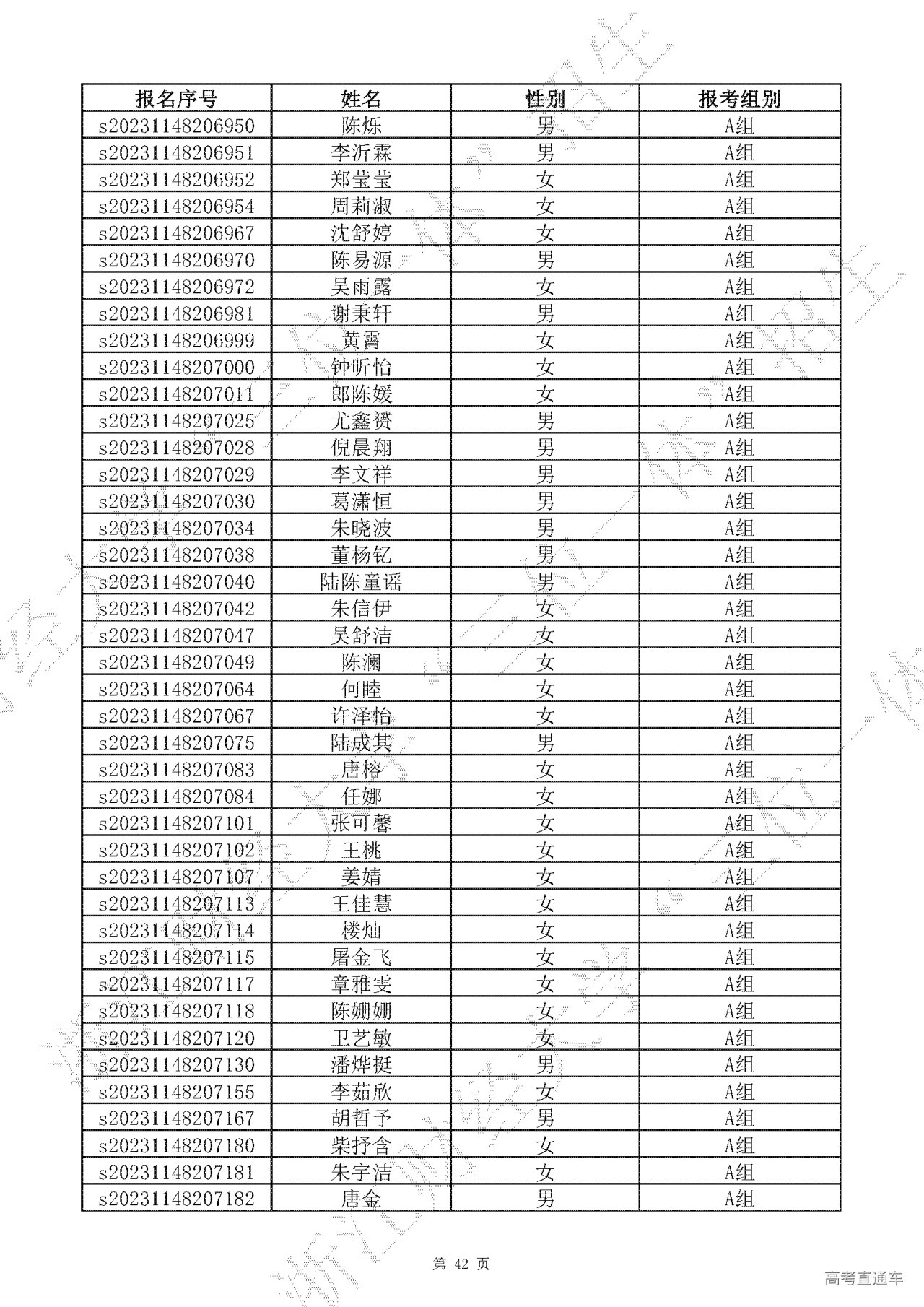
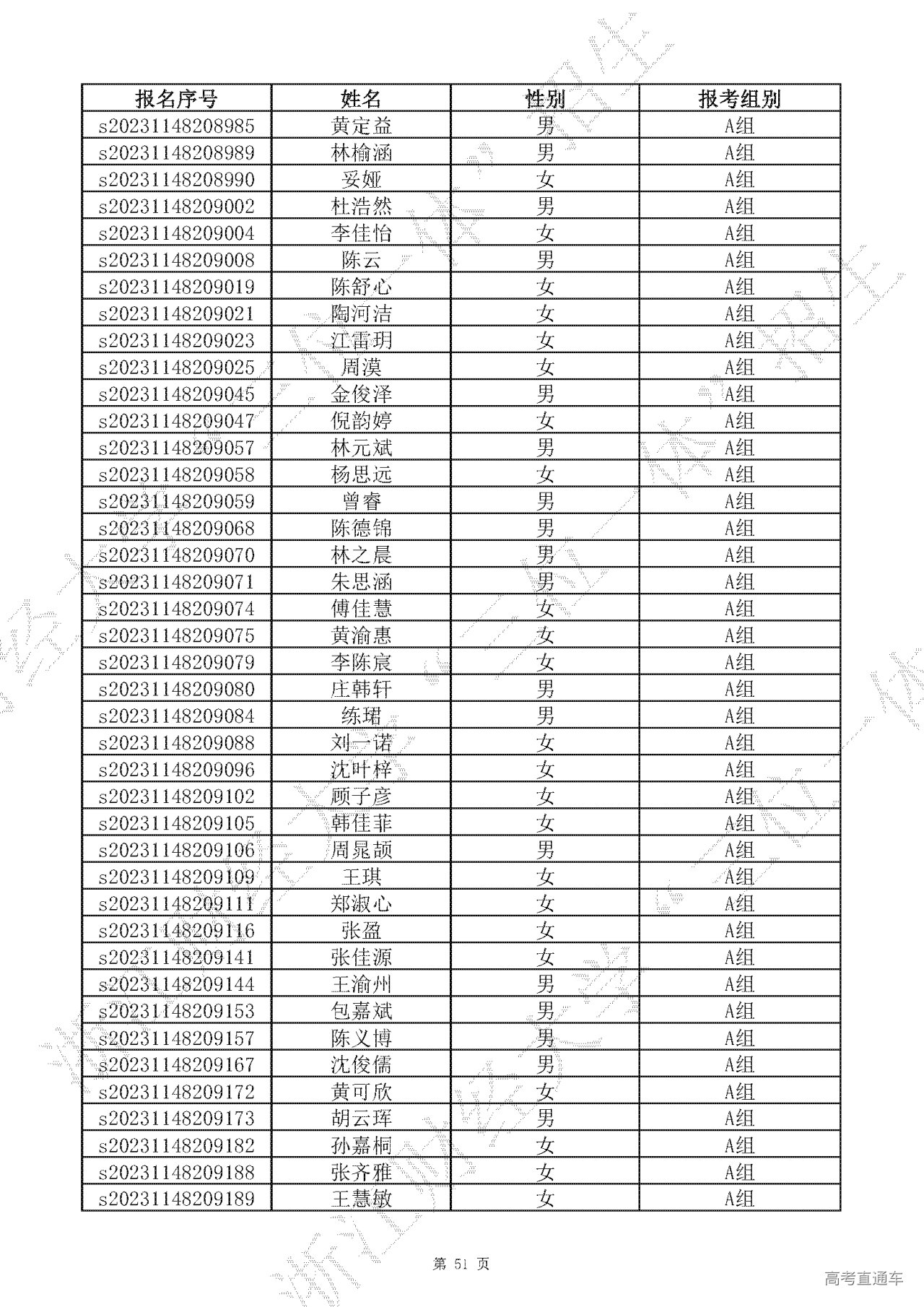
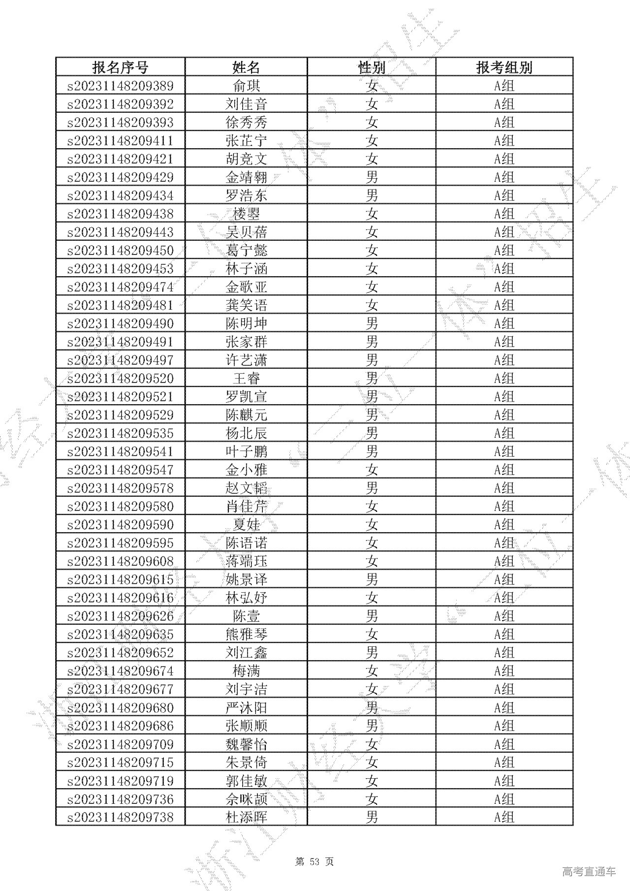
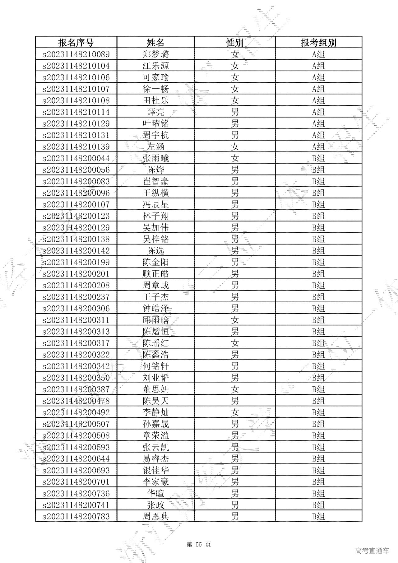
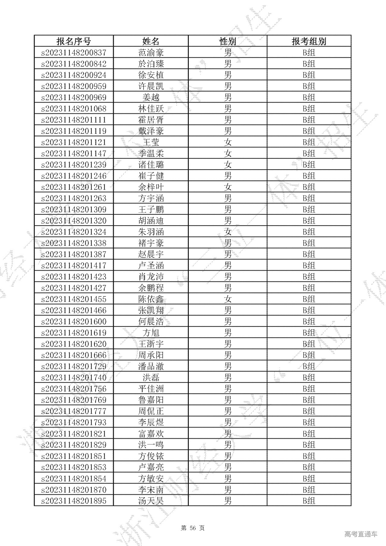
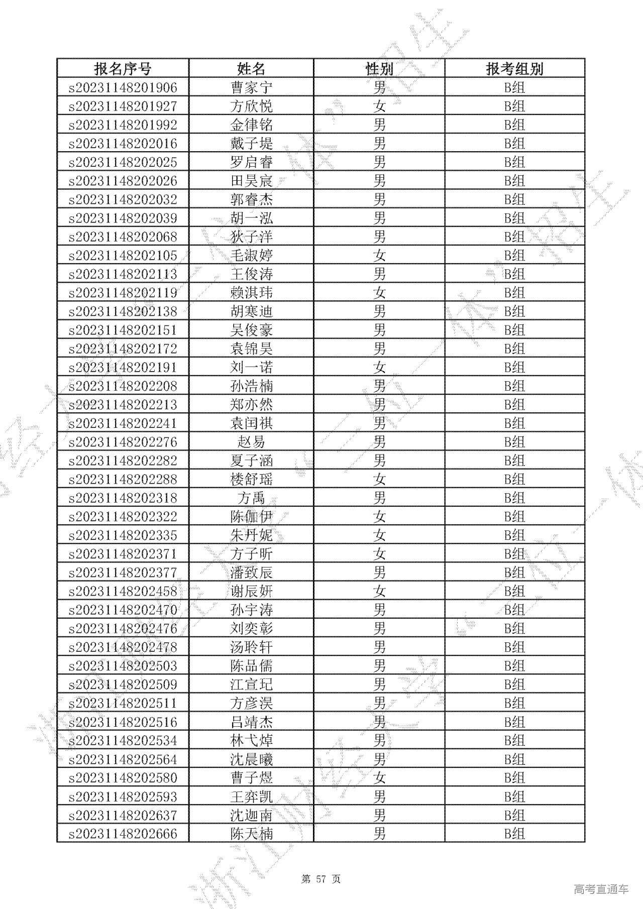
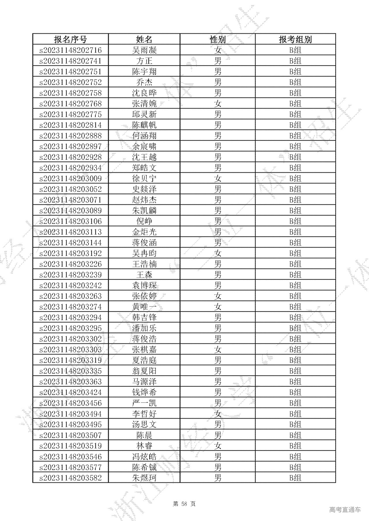
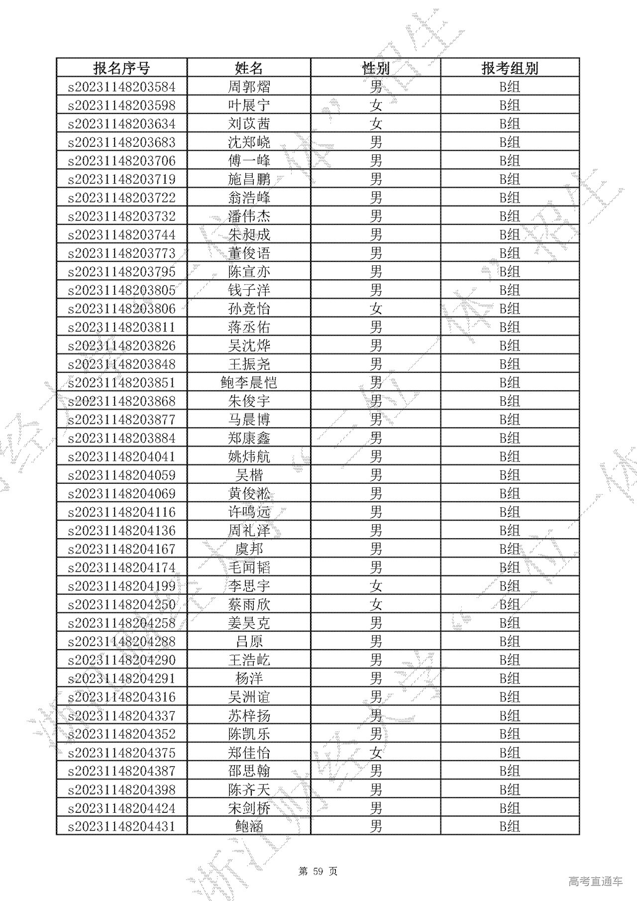
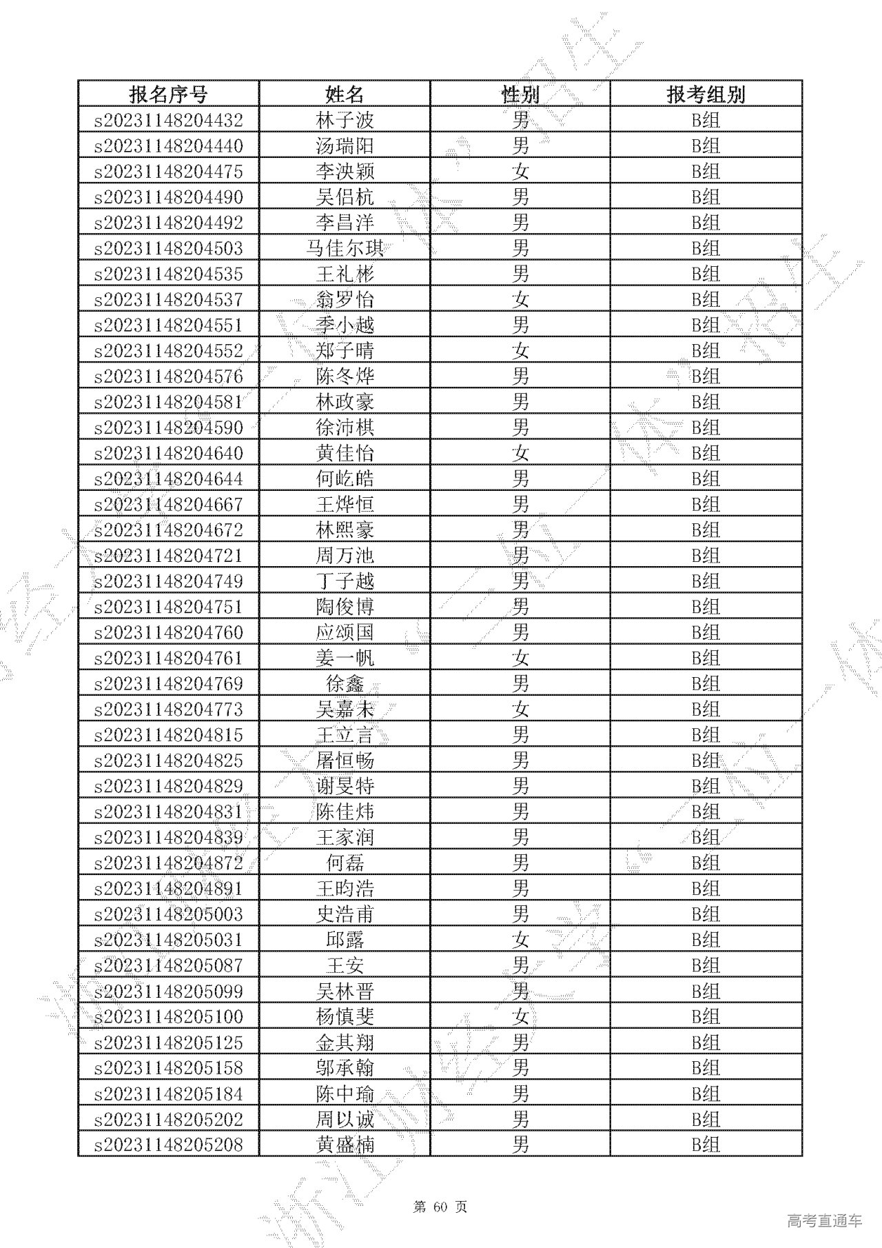
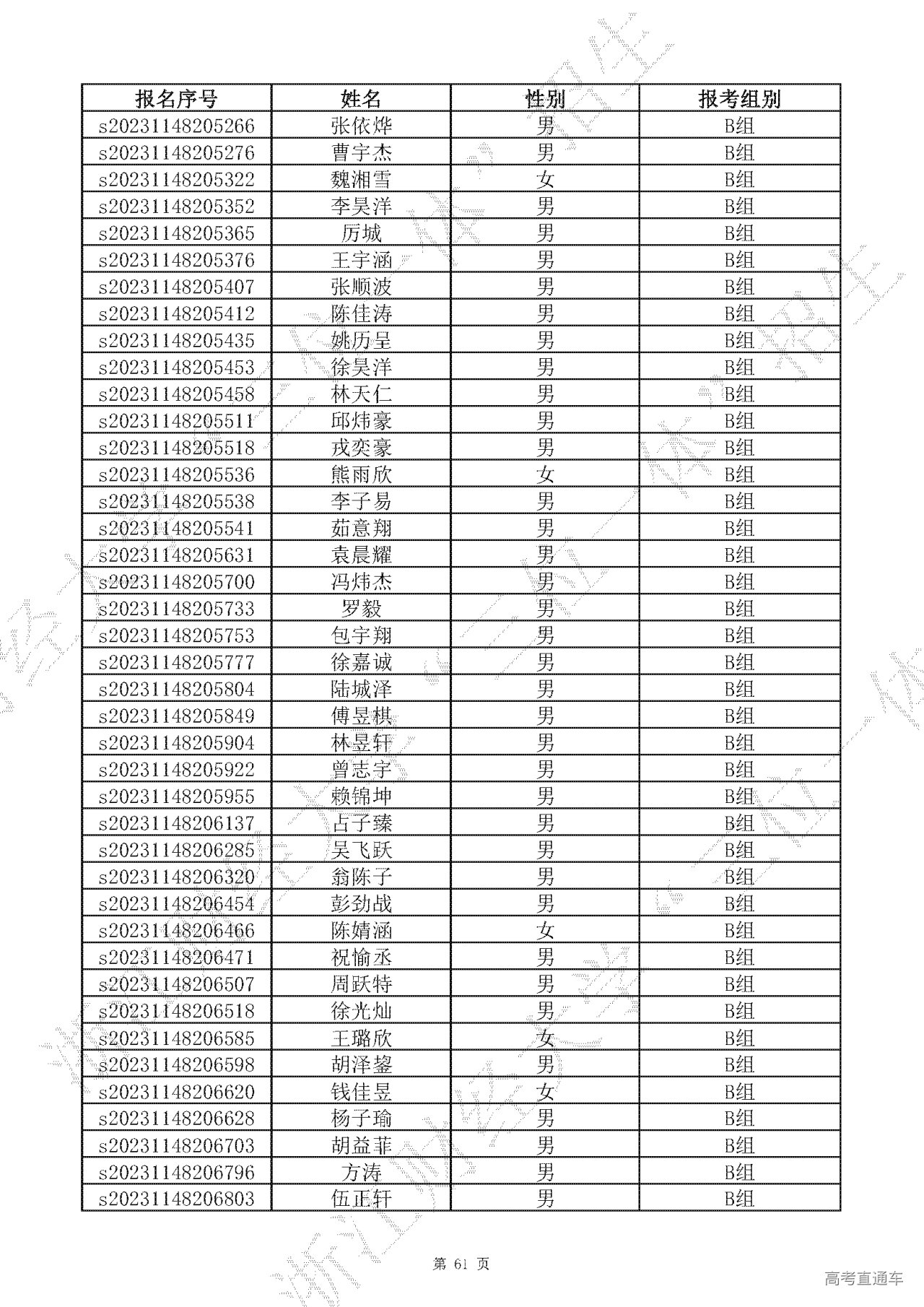
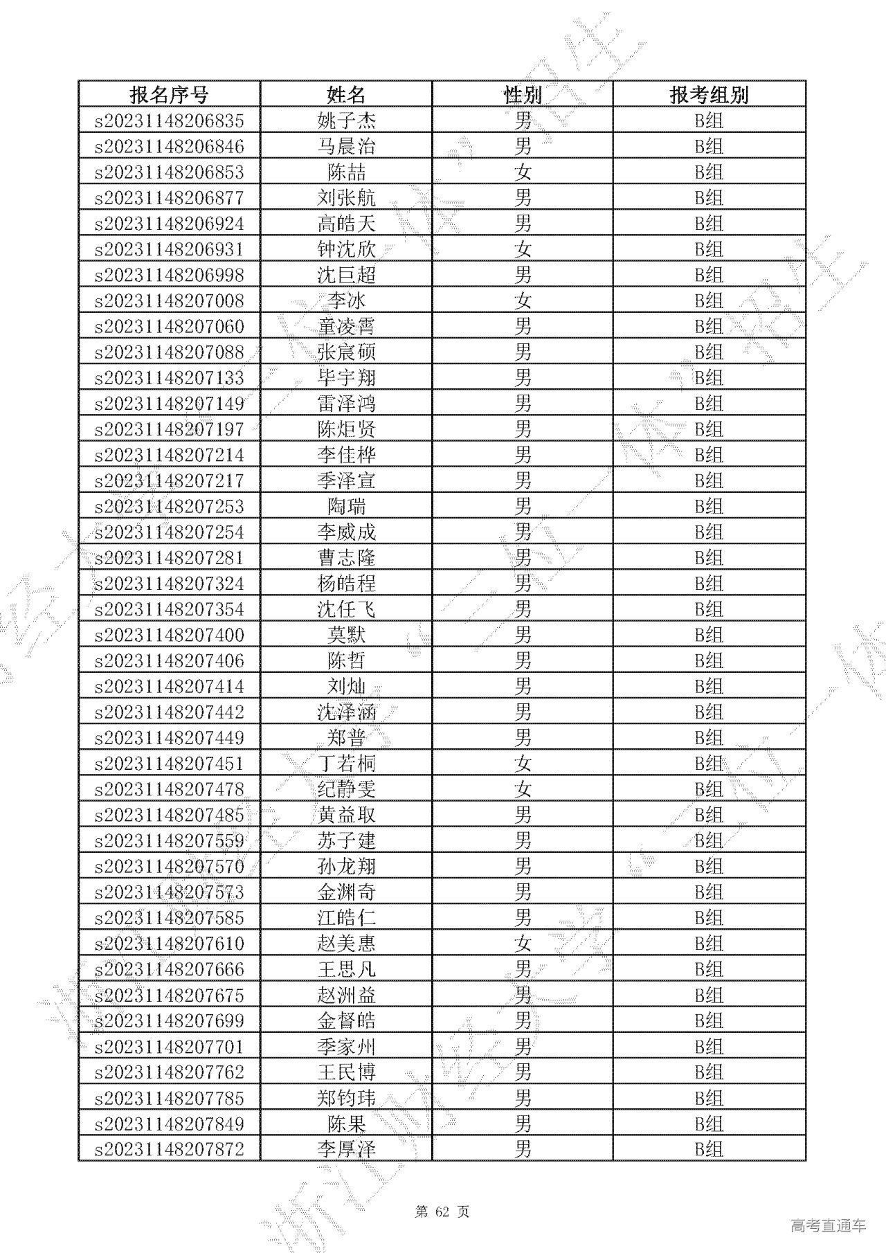
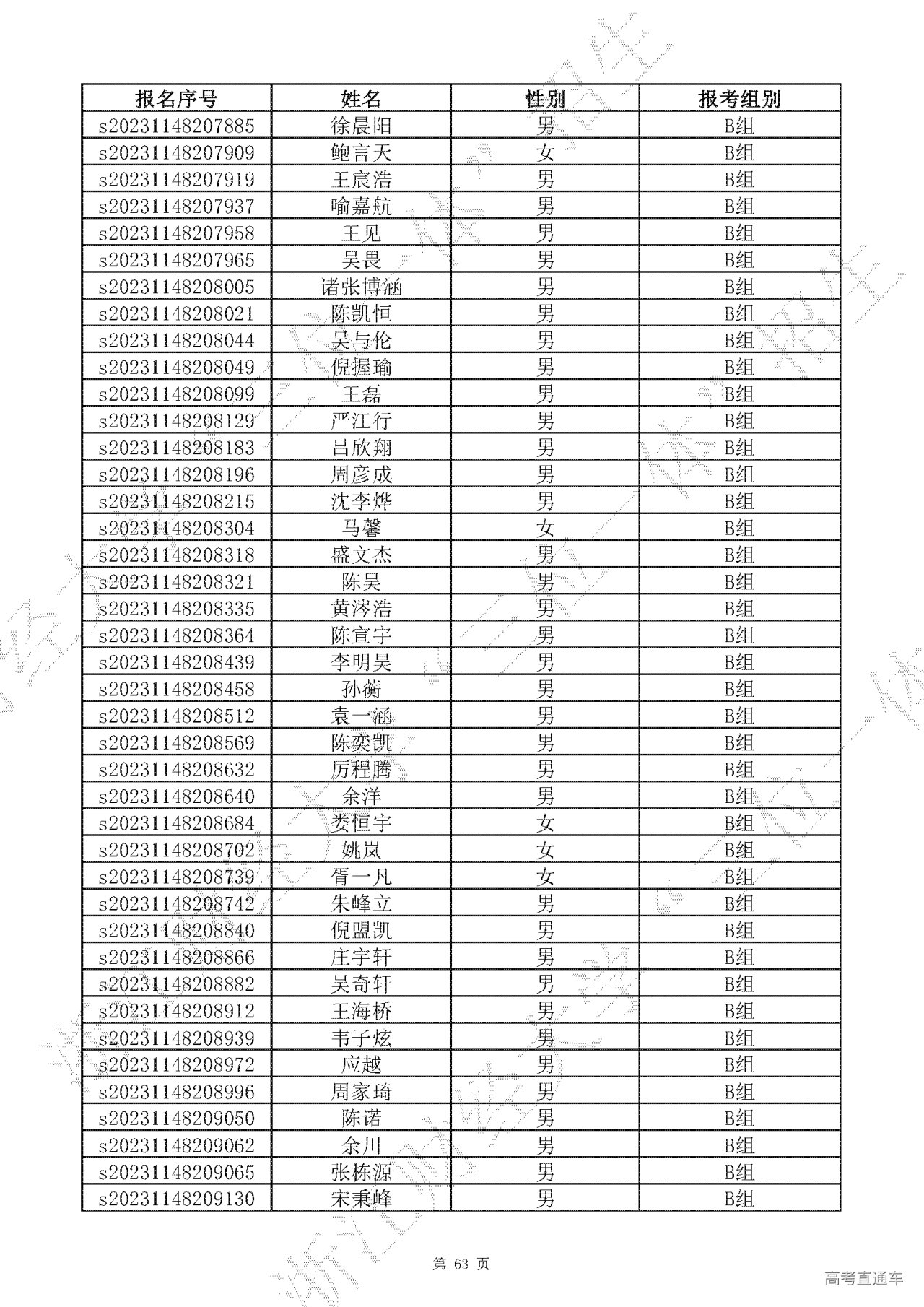
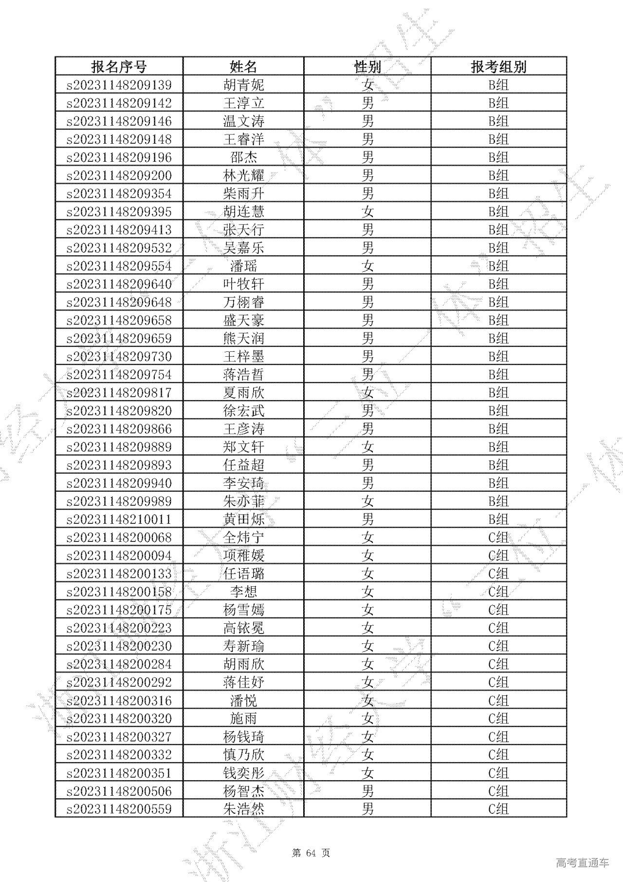
根据《浙江财经大学2023年“三位一体”综合评价招生章程》规定,依据考生学业水平考试成绩、专项条件获奖以及参考中学阶段综合表现情况,经学校材料评审,共有2919名考生通获得参加综合测试资格。各组材料评审入围情况如下:
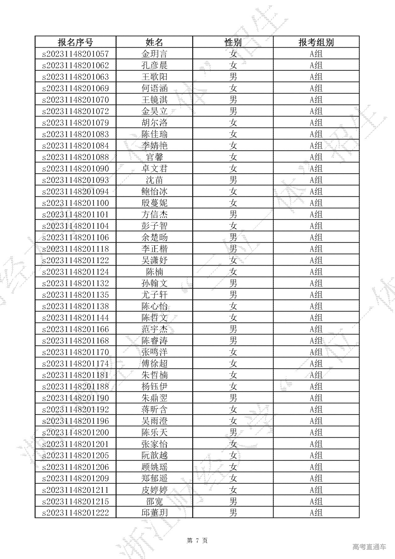
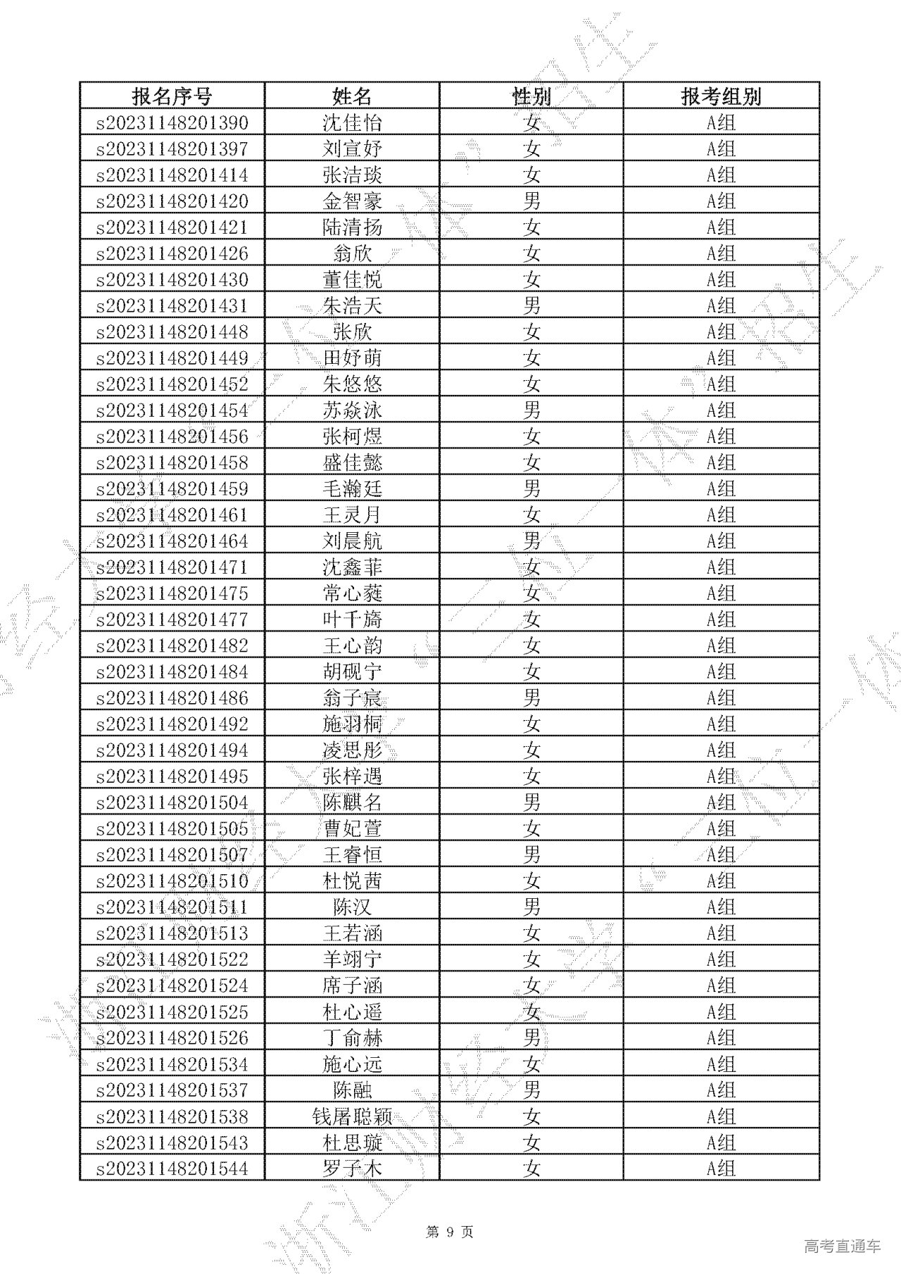
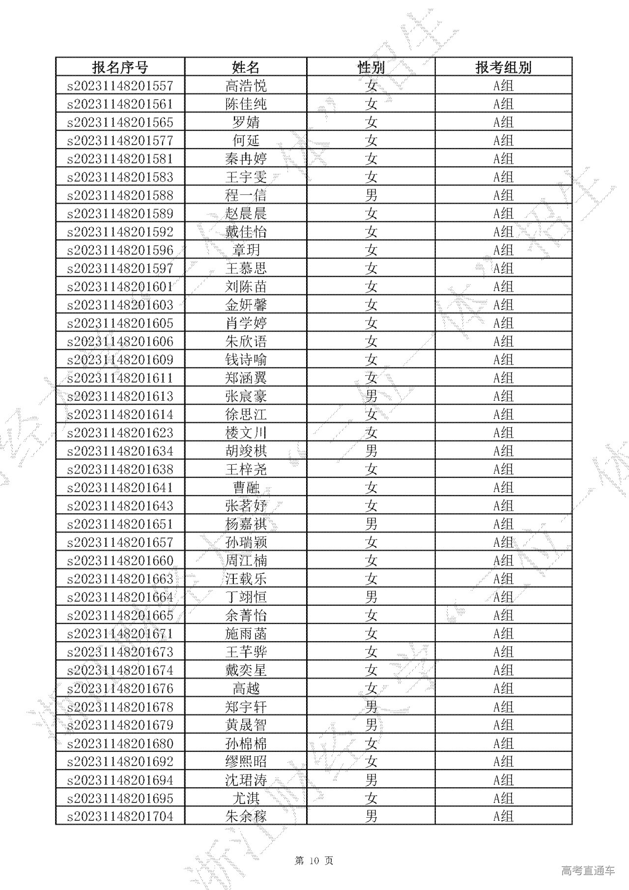
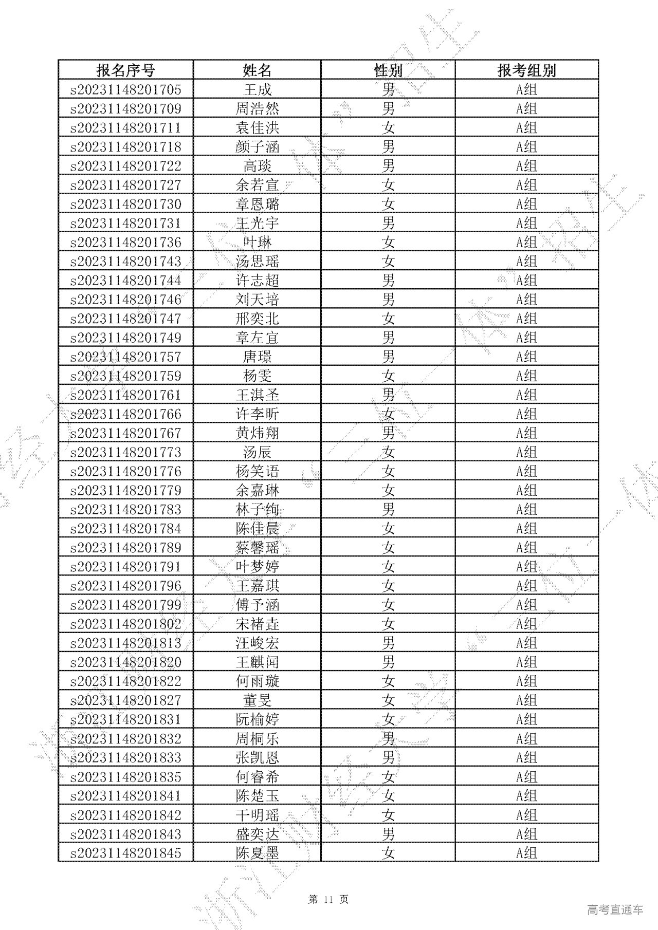
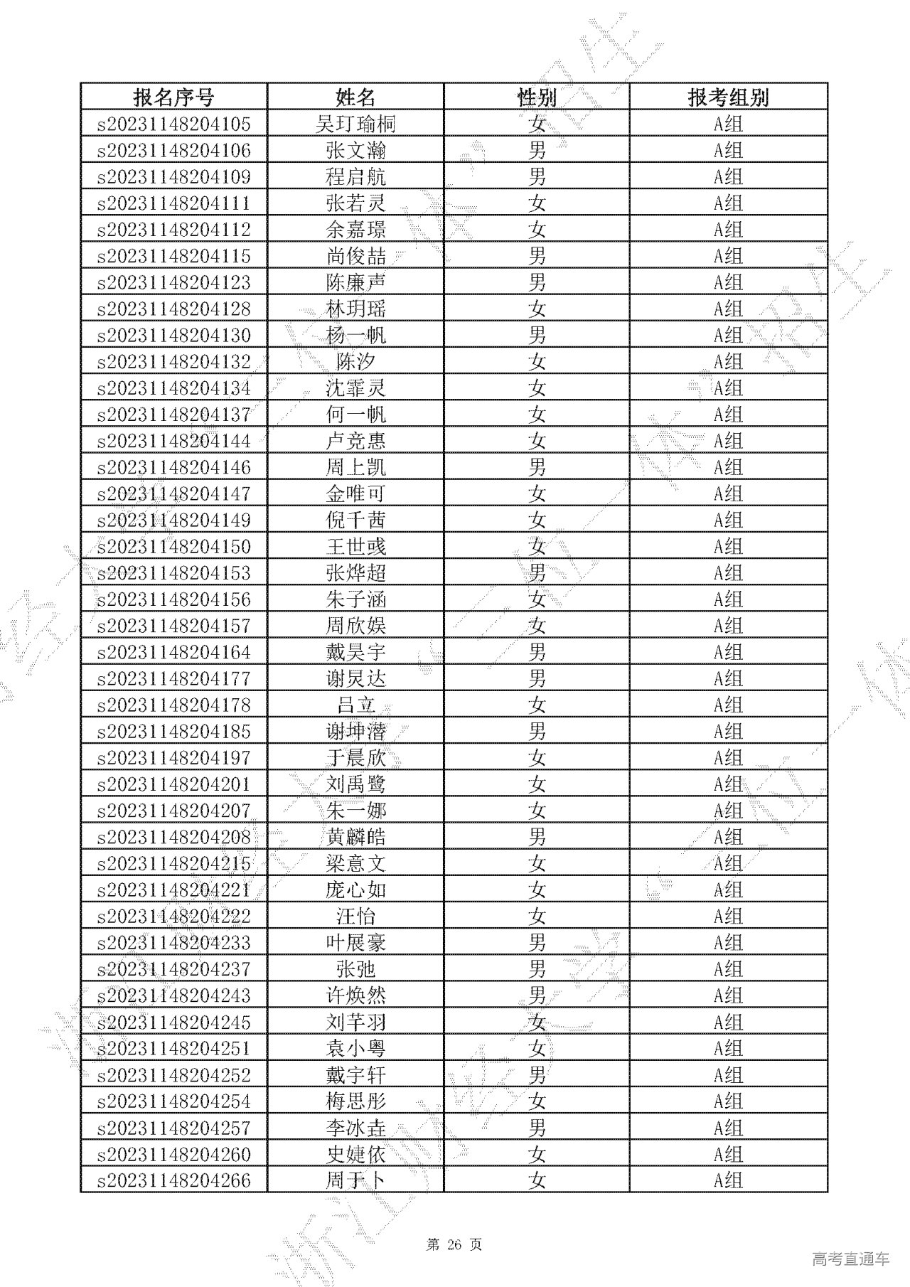
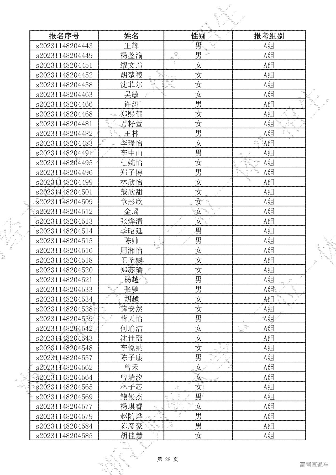
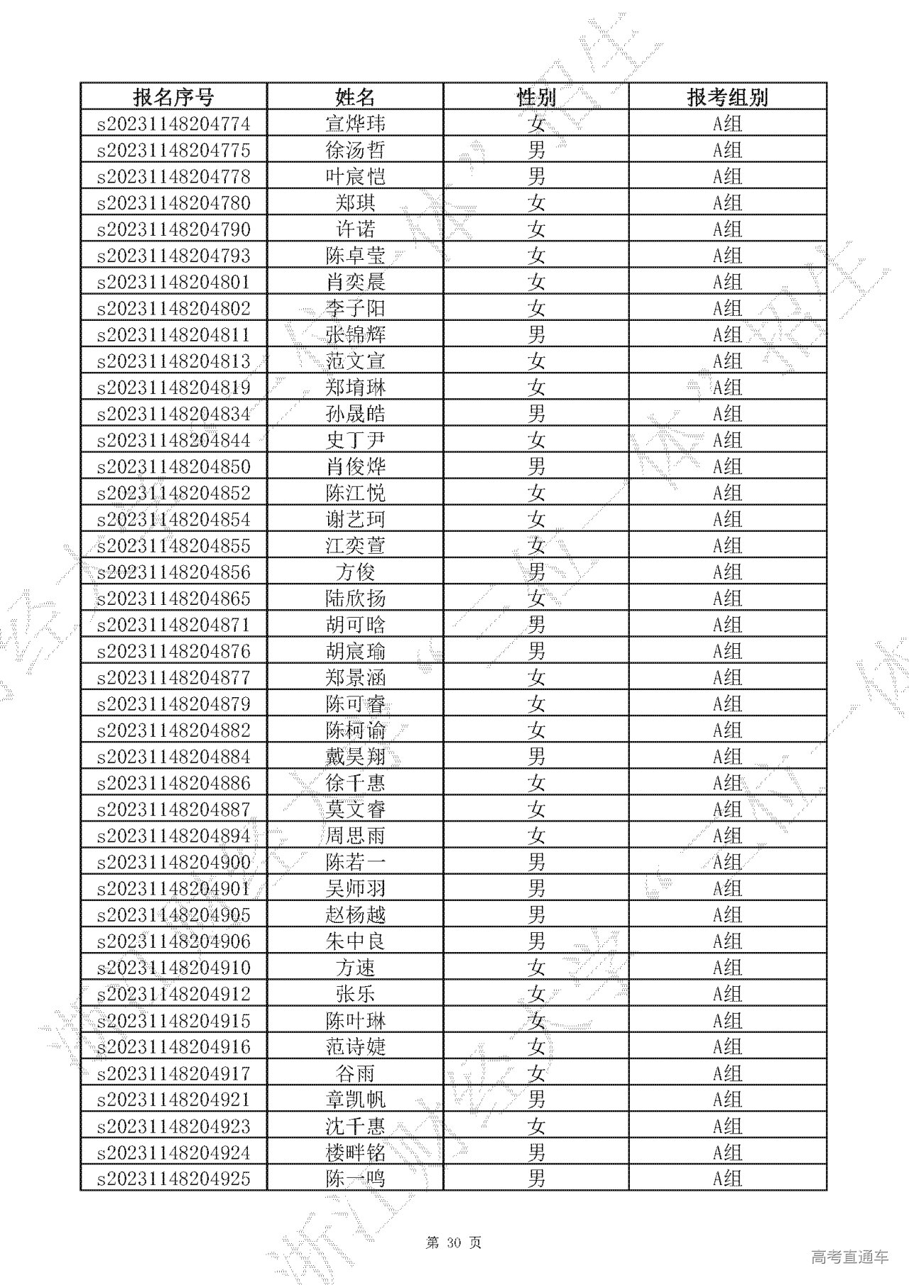
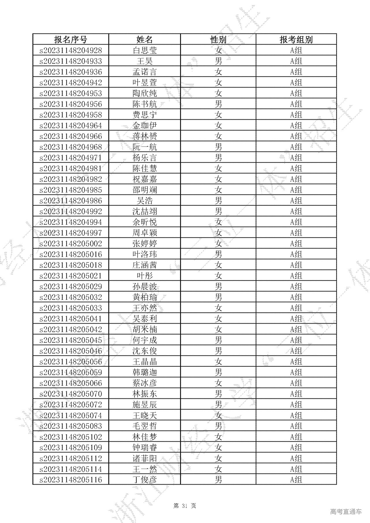
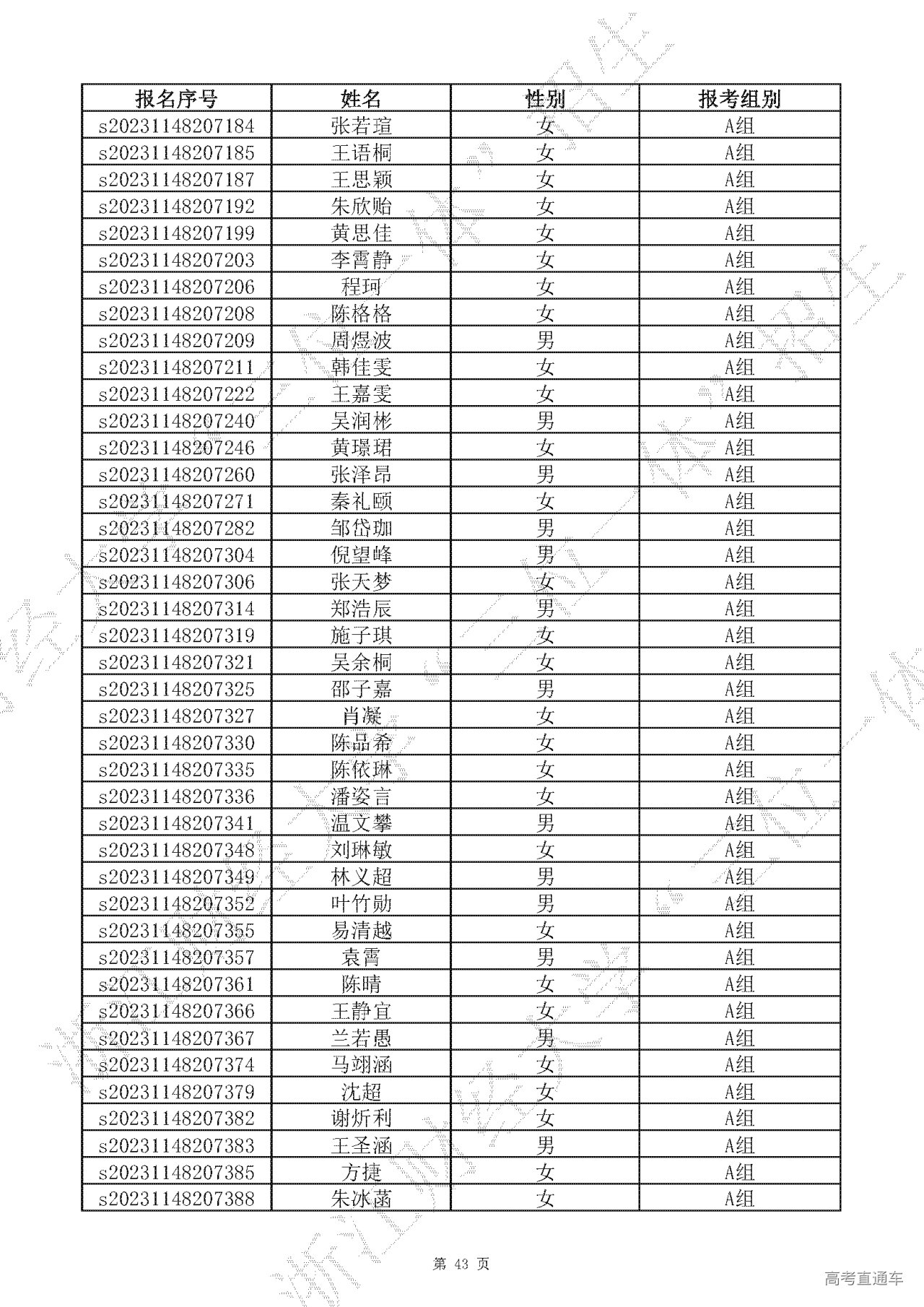
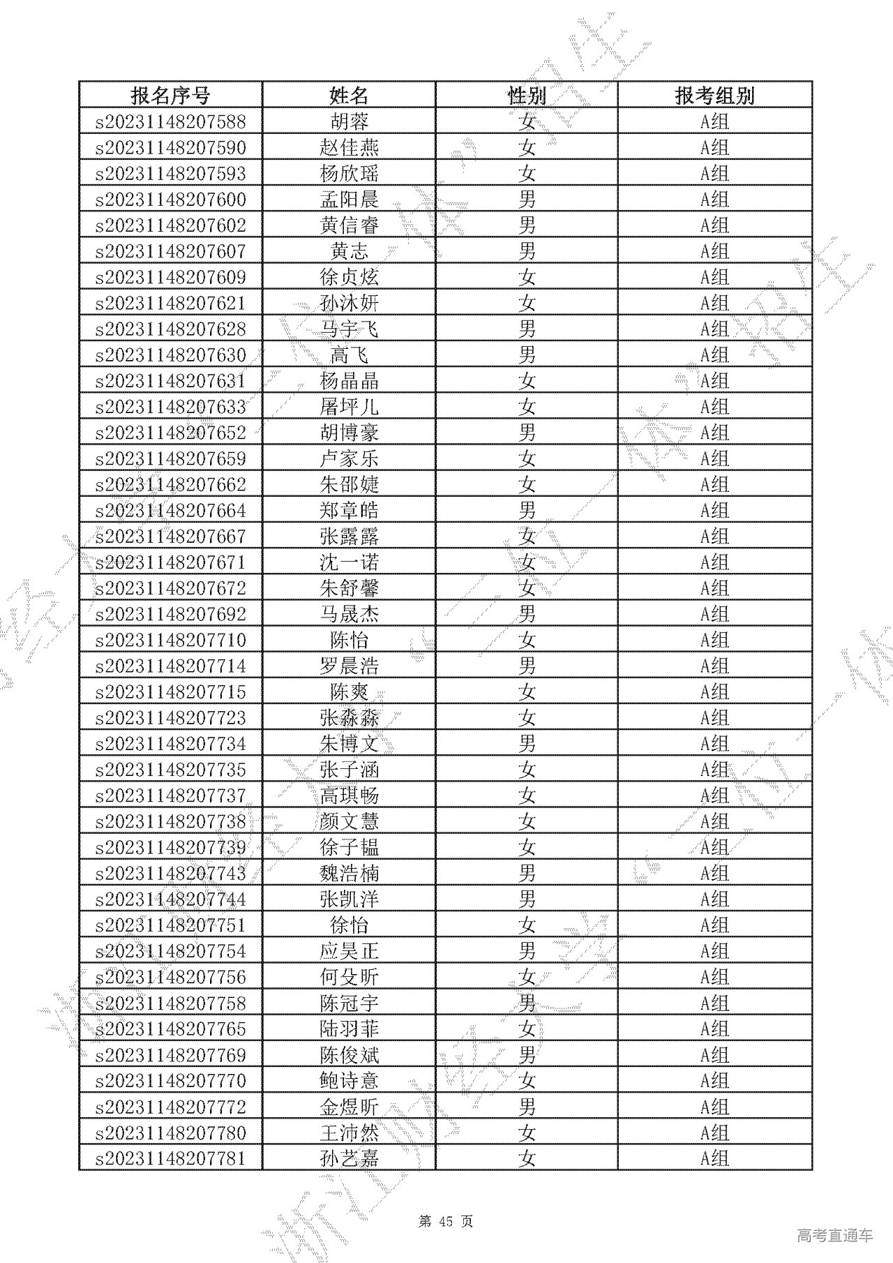
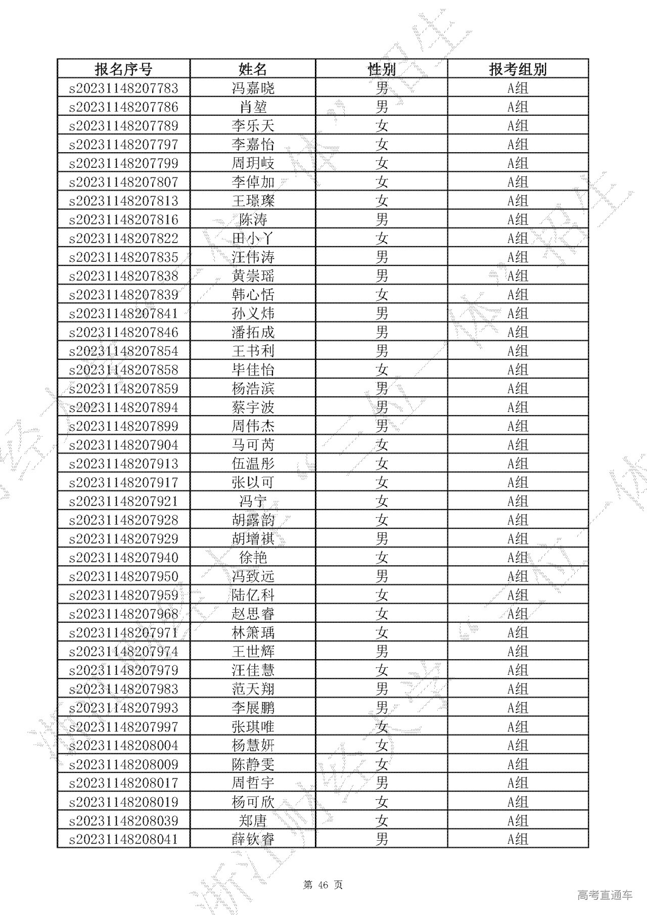
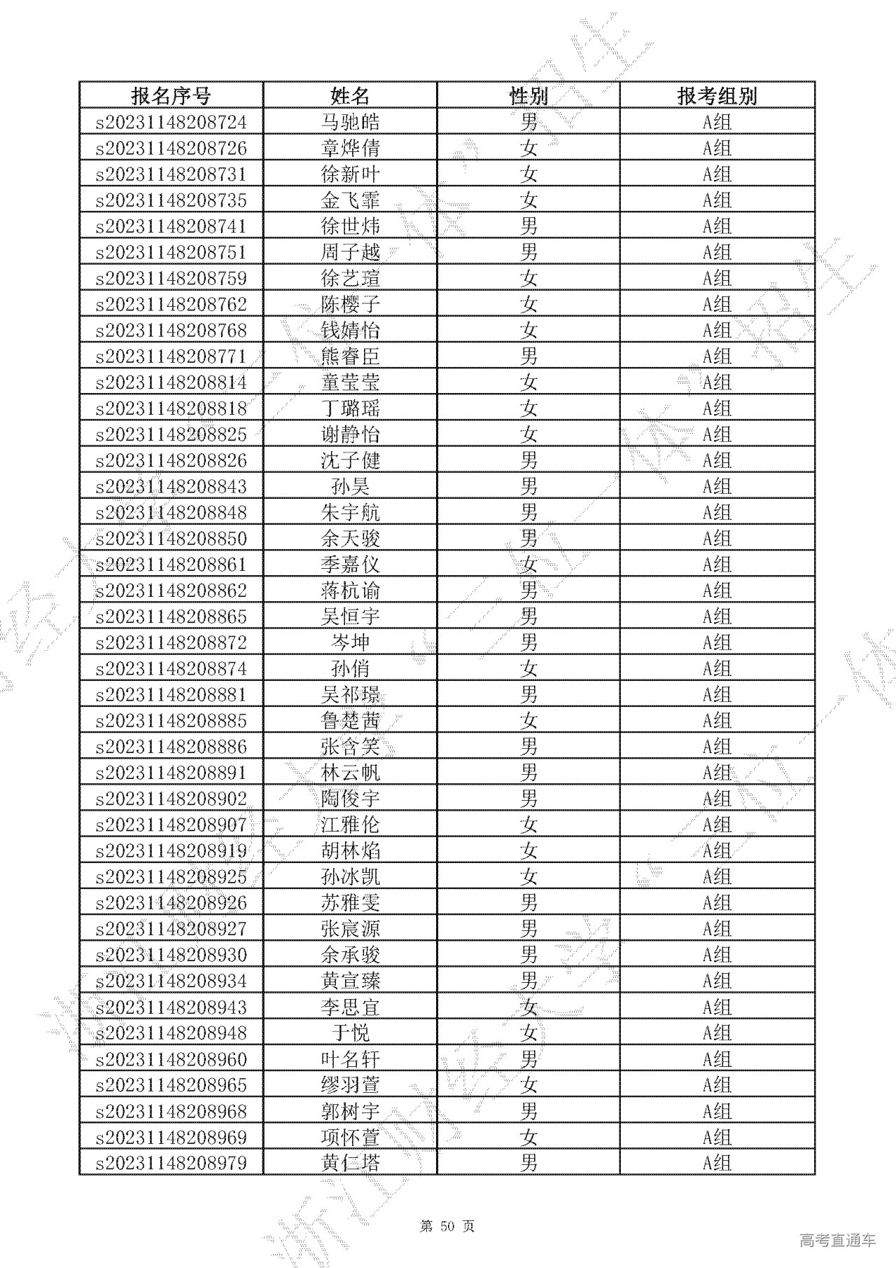
1.A组入围2291名。其中无专项条件的考生2221名(同分带入16人),有专项条件的考生70名。
无专项条件的考生入围要求:学业水平考试成绩总分最低114分,语文和数学学考折算合计30分,外语学考折算最低9分。
2.B组入围396名。其中无专项条件的考生385名,有专项条件的考生11名。
无专项条件的考生入围要求:学业水平考试成绩总分最低分120分,语文和数学学考折算合计最低18分,外语学考折算最低3分。
3.C组入围232名。其中无专项条件的考生223名(同分带入13人),有专项条件的考生9名。
无专项条件的考生入围要求:学业水平考试成绩总分最低102分,语文和数学学考折算合计最低24分,外语学考折算15分,中学阶段品德表现、运动健康、艺术素养、创新实践四方面A等总数为1个及以上。
现将获得我校综合测试资格的考生名单予以公示,具体名单见附件,各位考生也可自行登录报名系统“首页”查看“报考状态”。
公示时间:3月25日—3月31日16:00
公示期间如有疑问请与本科招生办联系,联系电话:0571-87557480,87557456,89878890(传真);纪检监察室电话:0571-87557163。
缴费提醒:请通过材料评审的考生,于3月25日9:00-4月4日中午12:00登录学校“三位一体”报名系统,在“报考进程”→“报考缴费”栏完成缴费,缴费后放弃考试不予退费,逾期未缴费者视为放弃面试资格。
学校“三位一体”综合评价招生测试后续相关安排,请考生及时关注浙江财经大学本科招生网最新公告。
三位一体报名系统:swyt.zufe.edu.cn
欢迎广大考生报考浙江财经大学!
浙江财经大学本科招生办公室
2023年3月25日
浙江财经大学2023年“三位一体”综合测试招生通过书面评审考生名单(无专项获奖).pdf
浙江财经大学2023年“三位一体”综合评价招生考试通过书面评审考生名单(有专项获奖)-1.pdf








































































