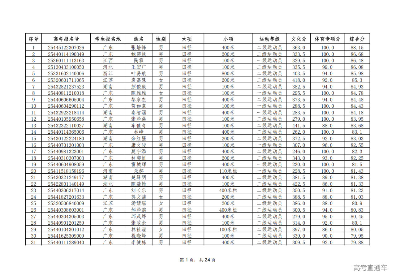
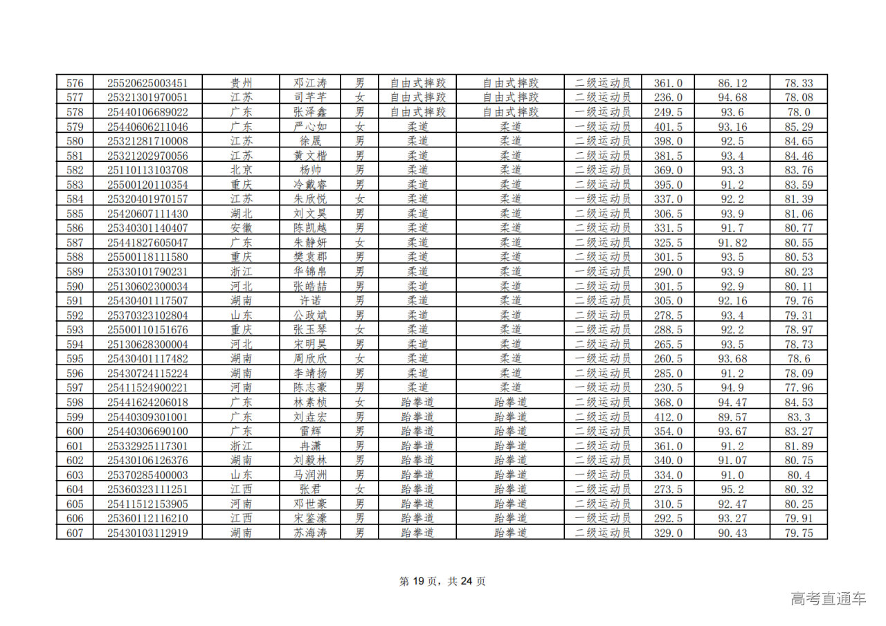
根据《广州体育学院2025年运动训练、武术与民族传统体育专业招生简章》《广州体育学院2025年足球运动专业招生简章》等文件相关规定,现将第一志愿拟录取名单进行公示(公示名单见附件),正式录取名单以教育部、国家体育总局、各省招生考试机构审核通过为准。
公示期为2025年5月25日-5月30日。考生如有异议,请于公示期内通过电话或书面形式实名反映,逾期不予受理。
招生办公室电话:020-38027717
电子邮箱:xuzx@gzsport.edu.cn
纪检监察室电话:020-38026206
电子邮箱:whgzty@126.com























