各位考生:
根据《广东省教育厅 广东省招生委员会办公室 关于做好2023年中高职贯通培养三二分段转段考核工作的通知》(粤教职函〔2023〕5号)精神和《广东科贸职业学院2023年(2024年入学)中高职贯通培养三二分段转段考核招生工作方案》安排,我校2023年(2024年入学)中高职贯通培养三二分段转段考核采取过程性考核课程方式,现已完成面向对口中职学校2021级学生的转段考核工作。
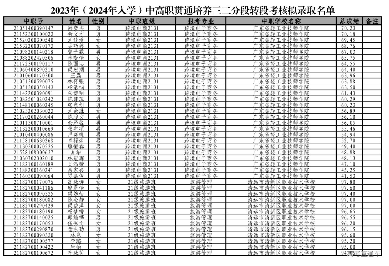
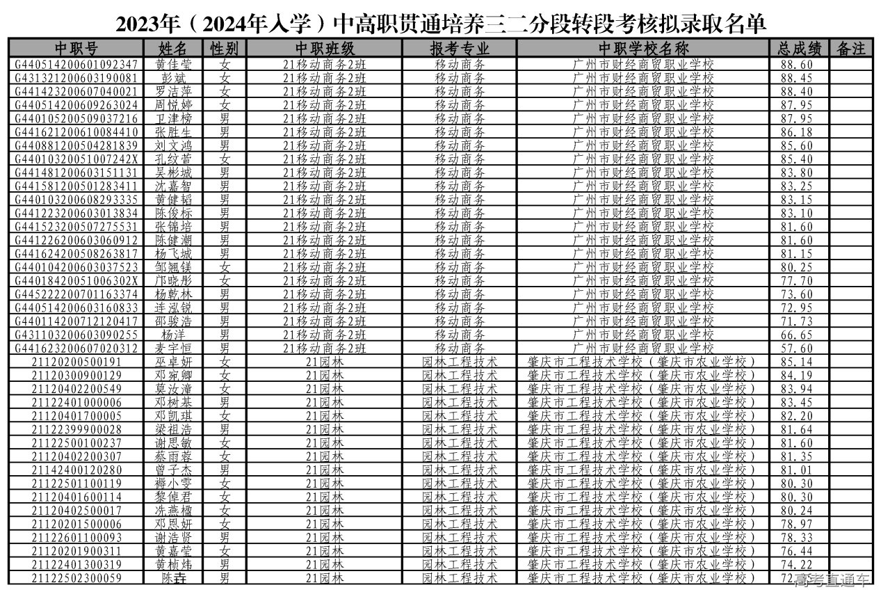
根据《广东科贸职业学院2024年中高职贯通培养三二分段转段招生章程》规定:考生考核总成绩由“文化基础课+专业课”成绩构成。转段考核总成绩满分值为100分,拟录取的考生转段考核总成绩原则上不低于40分。缺考一门不予录取。
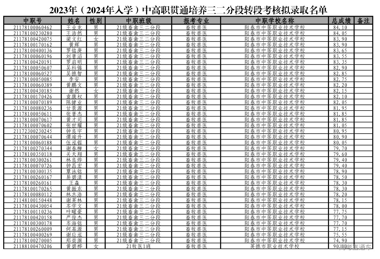
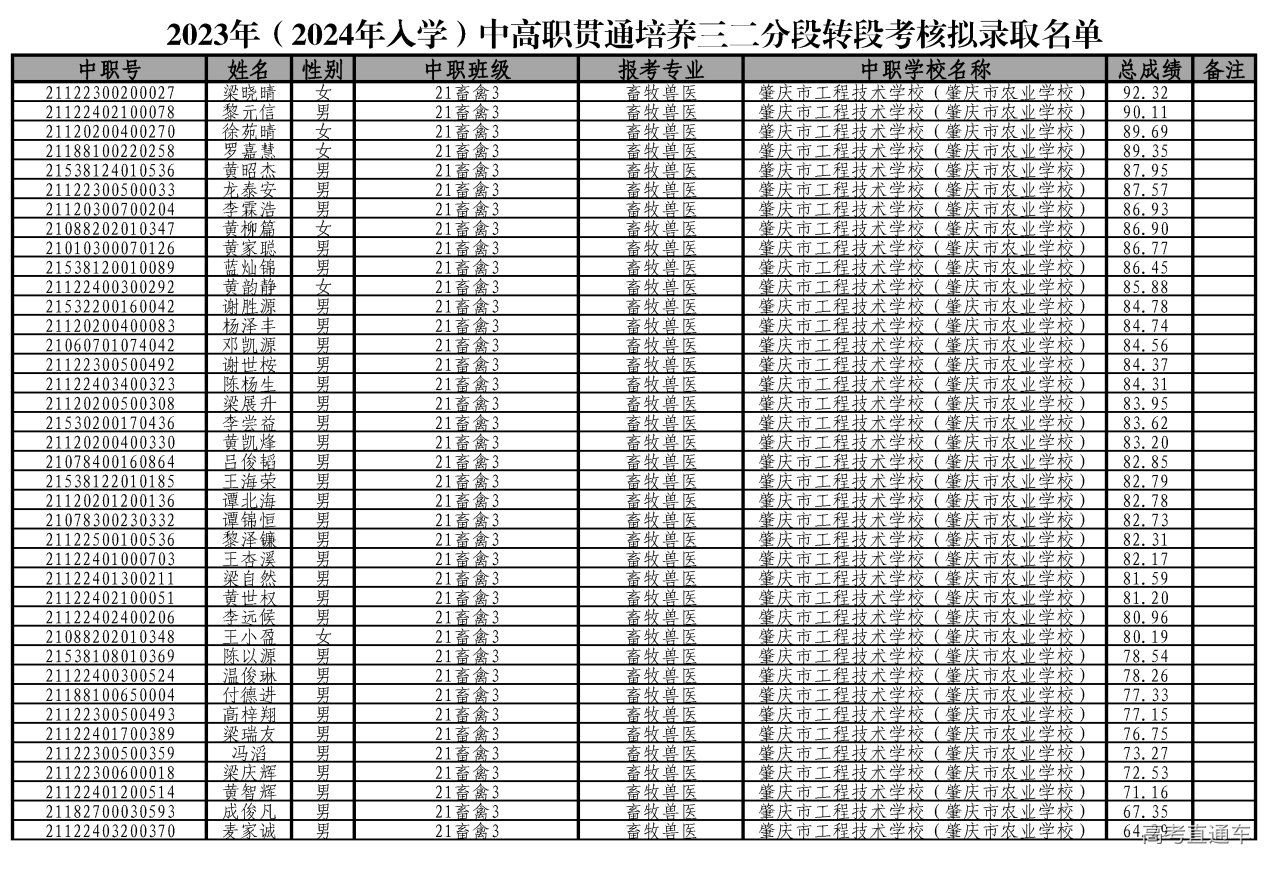
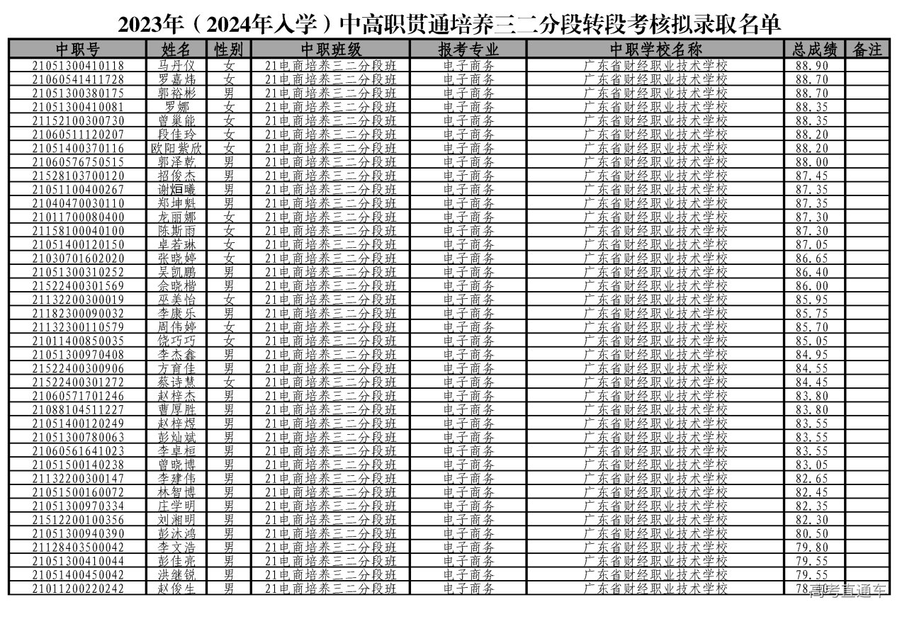
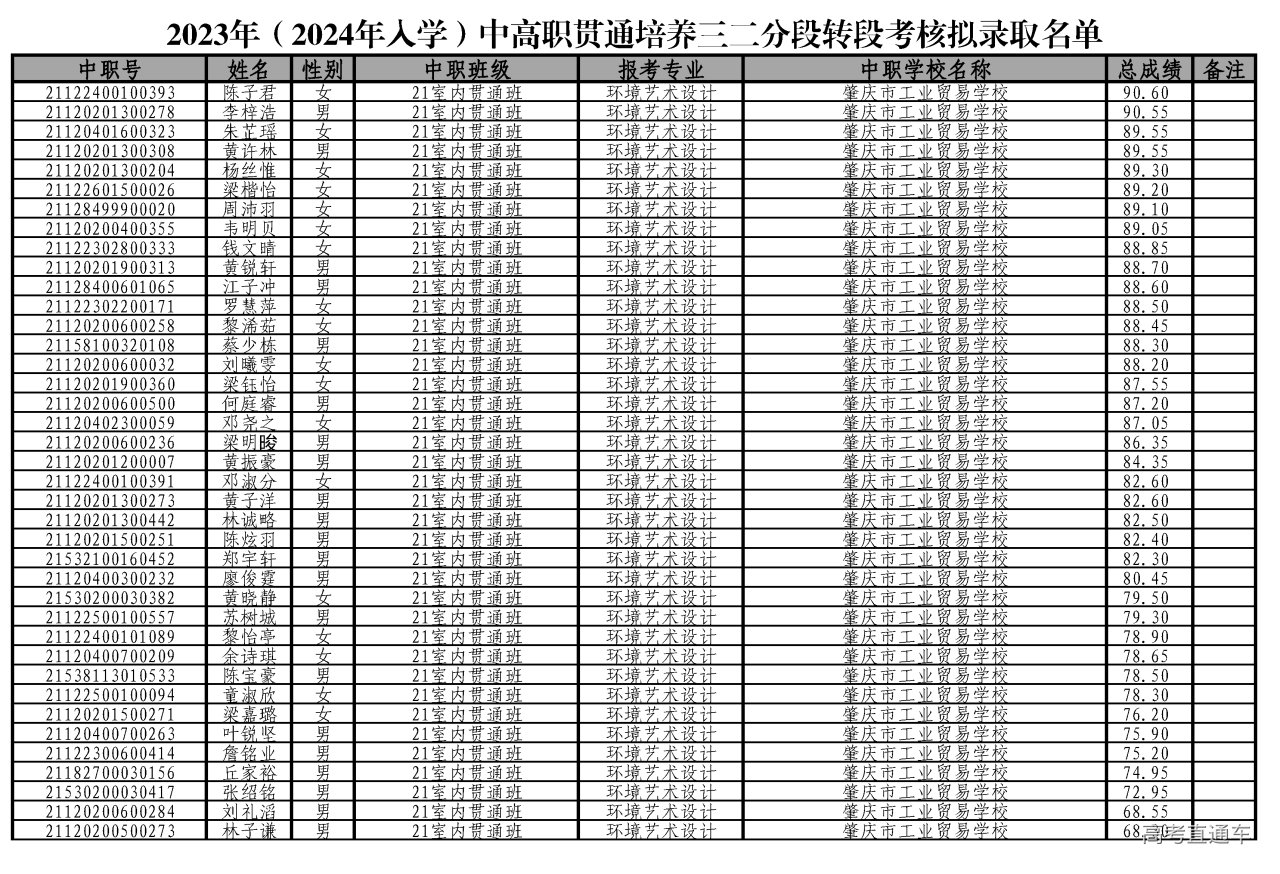
经学校2023年中高职贯通培养三二分段转段考核招生录取工作领导小组决定,拟录取1256人(具体名单见附件),现予以公示。
2023年9月13日至2023年9月22日。
(公示期间,考生若有异议,请通过电话或电子邮件(gdkmzsb@163.com)的形式向我校有关部门反映,反映情况者应提供真实姓名和联系方式,否则不予受理。)
招生办、纪检室
蔡老师,联系电话:0763-3989393
陈老师,联系电话:0763-3987951
请拟录取考生在第五学期前按《广东科贸职业学院2024年中高职贯通培养三二分段转段招生章程》要求考取相对应的职业资格证书,并参加2024年广东省高考报名资格审核。如不符合高考报名资格和没考取相对应的职业资格证书,我校将取消录取资格。最终预录取结果以报送广东省教育考试院审核通过后的名单为准。
































