广州番禺职业技术学院
中职2022级(高职2025级)
中高职贯通培养三二分段
拟录取名单的公示


各中职学校、考生:
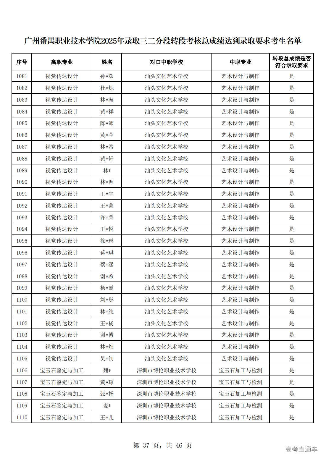
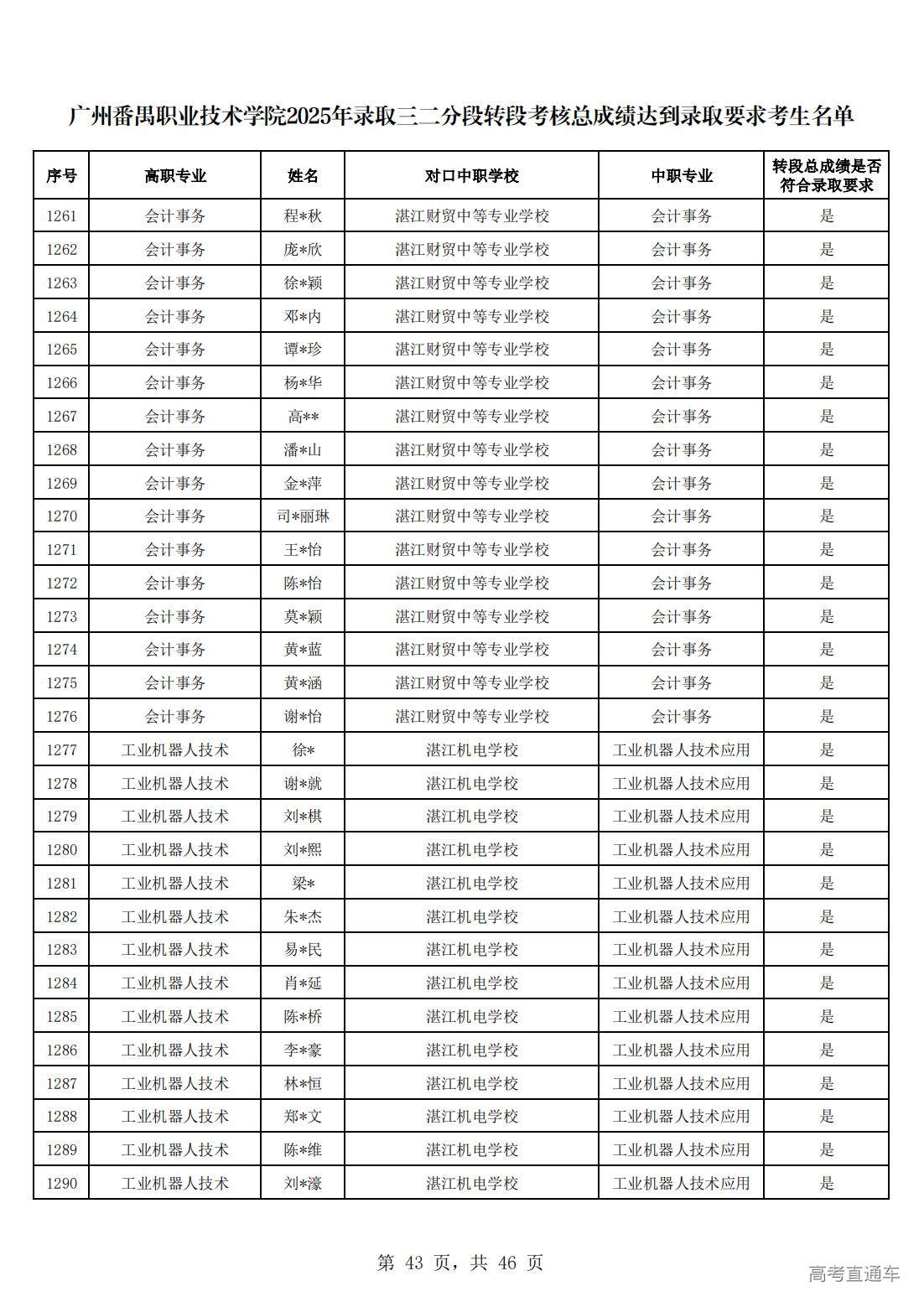
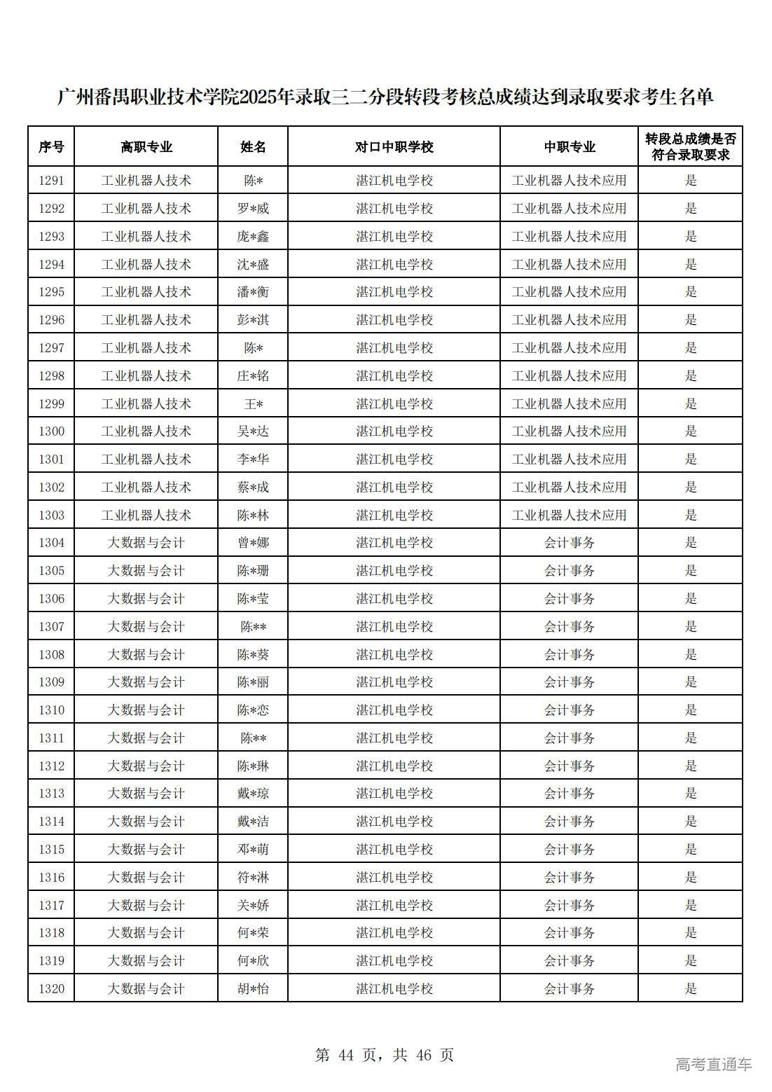
根据《广东省教育厅 广东省招生委员会办公室关于做好2024年中高职贯通培养三二分段转段考核工作的通知》(粤教职函[2024]8号)及我校2025年中高职贯通培养三二分段招生章程录取规则,现对转段总成绩符合录取要求的考生名单公示,具体名单如下,请考生自行查看。
公示时间:2024年7月31日-8月7日
如对公示总成绩有异议,可向我校反映情况,受理部门:
学校招生办公室:020-34874086
学校纪委办公室:020-84731189
反映情况者应提供真实姓名、联系方式及有效证据,逾期不予受理。
请转段成绩符合录取要求的考生,依据我校2025年中高职贯通培养三二分段招生章程公布要求,在中职学段第五学期结束前取得相应的职业资格证书,并且符合其他录取要求,以免影响正式录取。
广州番禺职业技术学院
招生办公室
2024年7月31日













































