第一章总则
第一条为规范学校招生工作,促进公平、科学选才,根据《中华人民共和国教育法》、《中华人民共和国高等教育法》等相关法律和教育部、河南省教育厅关于2022年招生工作的有关规定,制定本章程。
第二条本章程适用于郑州电力高等专科学校2022年普通全日制专科层次招生工作。
第三条本章程贯彻执行国家招生政策,并接受纪检监察部门、考生及家长、新闻媒体、社会各界的监督。
第二章学校概况
第四条学校名称:郑州电力高等专科学校。河南省招生代码:6213;国标代码:11828。办学类型:公办、高等专科学校。培养层次:专科。办学形式:全日制。颁发证书种类:普通高等教育专科学历证书。学制:三年。详细地址:郑州市郑东新区凤栖街296号。
第五条毕业证书:1.学生在规定的学制内修完教学计划规定的学分,获得全日制普通高等教育专科学历证书,证书的学校名称为“郑州电力高等专科学校”;2.中澳合作办学学生在规定的学制内修完教学计划规定的学分并达到澳方要求考核标准,可同时获得中方全日制普通高等教育专科学历证书和澳方证书,澳方的学校名称为“Chisholm Institute”。
第六条郑州电力高等专科学校是中央与地方共建,由电力行业办学的普通高校。始建于1933年,已有89年的办学历程,学校形成了“严谨笃学、敬业乐群”的优良校风和“立德修能、知行合一”的学风品质,确立完善了“校企结合,学工衔接”的人才培养模式,以良好的教学生活环境、科学规范的教学管理体系和优美浓郁的校园文化氛围,在电力教育领域乃至全国职业教育领域确立了重要的地位。学校是河南省首批高职高专特色院校、河南省省级优质专科高等职业院校、河南省“双高”建设单位、河南省首批深化创新创业教育改革示范高校、河南综合实力30强院校,入选教育部中德先进职业教育合作项目首批试点院校、全国职业院校智慧校园50强、治理体系50强、思政工作创新示范案例50强,获得了全国党建工作标杆院系和样板支部、河南省五一劳动奖状、国家电网有限公司职业教育和技能人才队伍建设先进集体、河南省脱贫攻坚先进集体、国家电网有限公司服务脱贫攻坚先进集体、河南省文明校园、河南省高校毕业生就业工作优秀单位、河南省普通高校“大美学工”十佳优秀学生工作先进单位、河南省最美校园等荣誉。
第三章组织机构及其职责
第七条学校成立招生工作领导小组,全面负责贯彻执行教育部和各省教育厅的招生工作政策;研究制定学校招生实施细则、规定和招生章程;领导、监督招生工作的具体实施;协调处理招生工作中的重大问题。
学校招生就业处具体负责招生工作,其主要职责是执行学校制定的有关招生规定和实施细则;组织招生宣传和录取工作;监督招生政策的贯彻落实;做到招生录取的公开、公平、公正;维护学校和考生的合法权益。
第四章招生对象、计划及专业要求
第八条招生对象:报名参加2022年全国普通高等学校招生统一考试的考生。
第九条招生计划分配原则和方法。按照上级部门核定的年度招生规模,依据教育部文件精神和学校自身发展实际,结合近年分省(区、市)、分专业计划编制与执行情况,统筹考虑生源结构、区域均衡、生源质量等因素,科学、合理编制学校分省(区、市)、分专业来源计划。
第十条分省分专业招生计划由各省(区)招生部门以适当方式向当地考生公布。
第十一条学校2022年统一考试招生无预留计划。
第十二条学校专业教学培养使用的外语语种为英语。
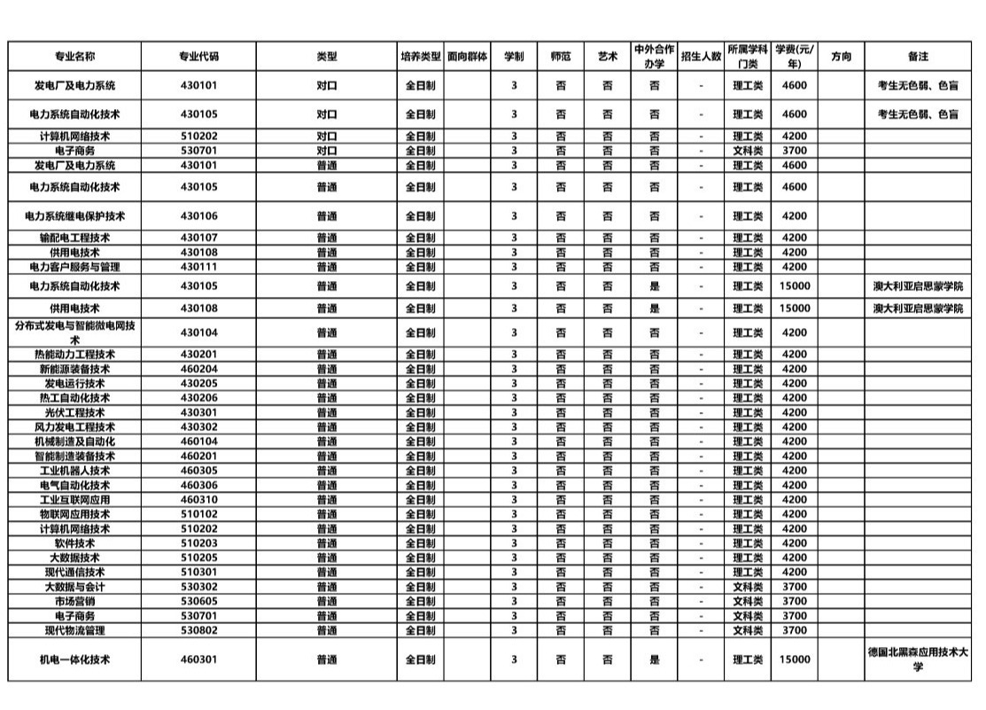
第十三条身体健康,符合《普通高等学校招生体检工作指导意见》相关要求,其中发电厂及电力系统、供用电技术、电力系统自动化技术、输配电工程技术、电力系统继电保护技术、电力客户服务与管理、分布式发电与智能微电网技术、热能动力工程技术、发电运行技术、风力发电工程技术、热工自动化技术、光伏工程技术、新能源装备技术、电气自动化技术、供用电技术(中外合作办学)、电力系统自动化技术(中外合作办学)专业不招色弱、色盲考生。
第五章录取原则及结果公布
第十四条录取原则
⒈坚持“公正、公开、公平、择优”原则。
⒉录取批次为专科批。
⒊专业录取规则:按照“分数优先,专业间平行志愿”的原则由高分到低分择优录取。当考生所有专业志愿均不能满足但服从专业调剂时,则根据考生成绩从高到低并兼顾单科成绩调剂到其他专业录取;对无法满足专业志愿、又不服从专业调剂的考生,则做退档处理。
⒋对加分投档的考生,以加分后的总分数为录取分数。考生投档成绩相同时,依次按语、数、外、综合成绩顺序比较单科成绩选择考生。
第十五条录取结果的公布渠道
通过学校网站(网址为https://www.zepc.edu.cn)或生源省区招生部门的公示渠道查询。
第十六条新生入学后,按照河南省教育厅的统一部署对新生资格进行复查。经复查不合格者,将取消其入学资格。
第六章收费标准及资助政策
第十七条按照豫发改收费〔2020〕456号文件通知,学校2022年学费标准按专业不同分别为3700元/生·年、4200元/生·年、4600元/生·年,中外合作办学专业学费标准为15000元/生·年。国家级高职优质校学费可上浮15%,上浮范围不超过当年招生专业总数的20%。
第十八条按照豫计收费〔2003〕2225号文件和豫发改收费2014〔778〕号文件通知,学校住宿费标准定为900元/生·年(六人间)、1000元/生·年(四人间)。
第十九条学校相关资助政策:
1.根据上级有关规定,学生可参加国家奖学金、国家励志奖学金和国家助学金的评选与评定。国家奖学金8000元/生·年,国家励志奖学金5000元/生·年,国家助学金生均3300元/年。
2.学校设有奖学金。受奖面占学生总数的30%,一、二、三等奖学金分别占学生总数的5%、10%、15%。一等奖学金1000元/年,二等奖学金800元/年,三等奖学金600元/年。
3.根据国家助学贷款政策,家庭经济困难的学生可按程序申请国家助学贷款。
4.学校为家庭经济困难的学生提供勤工助学岗位。
5.学校设立临时困难补助。在一定程度上或一定时期内改善学生的生活,减少学生的经济压力,解决学生突发的重大家庭或个人遇到的困难。
第七章监督机制
第二十条为保证学校统一招生工作公平、公正、公开,落实阳光招生政策,由学校纪委对统一招生工作进行全过程监督,保证考生的合法权益。对违反规定的工作人员,按照相关规定进行处理。监督电话:0371-62275256。
第八章附则
第二十一条学校没有委托任何中介机构或个人进行招生,对以我校名义进行非法招生等活动的中介机构或个人,将依法追究其责任。望考生和家长不要轻信任何中介机构或个人的非法招生诈骗行为。
第二十二条招生咨询方式。
咨询电话:0371-62275026
统招QQ咨询群:139068640
招生微信公众号:郑州电力高专招生就业处
学校网址:https://www.zepc.edu.cn
招生信息网:https://zs.zepc.cloudzhaokao.com
澳大利亚启思蒙学院网址:https://www.chisholm.edu.au
第二十三条本章程自公布之日起施行,学校以往有关招生工作的规定、要求如与本章程有相悖之处,以本章程为准。
第二十四条本章程由学校招生就业处负责解释。
