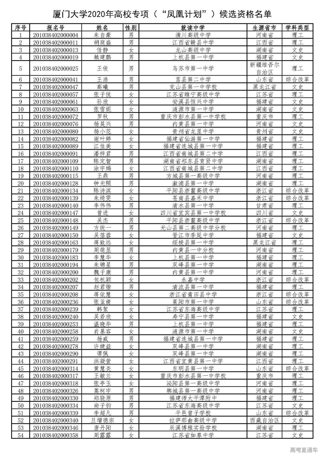
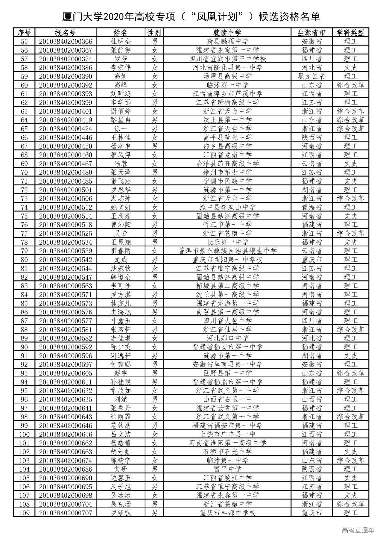
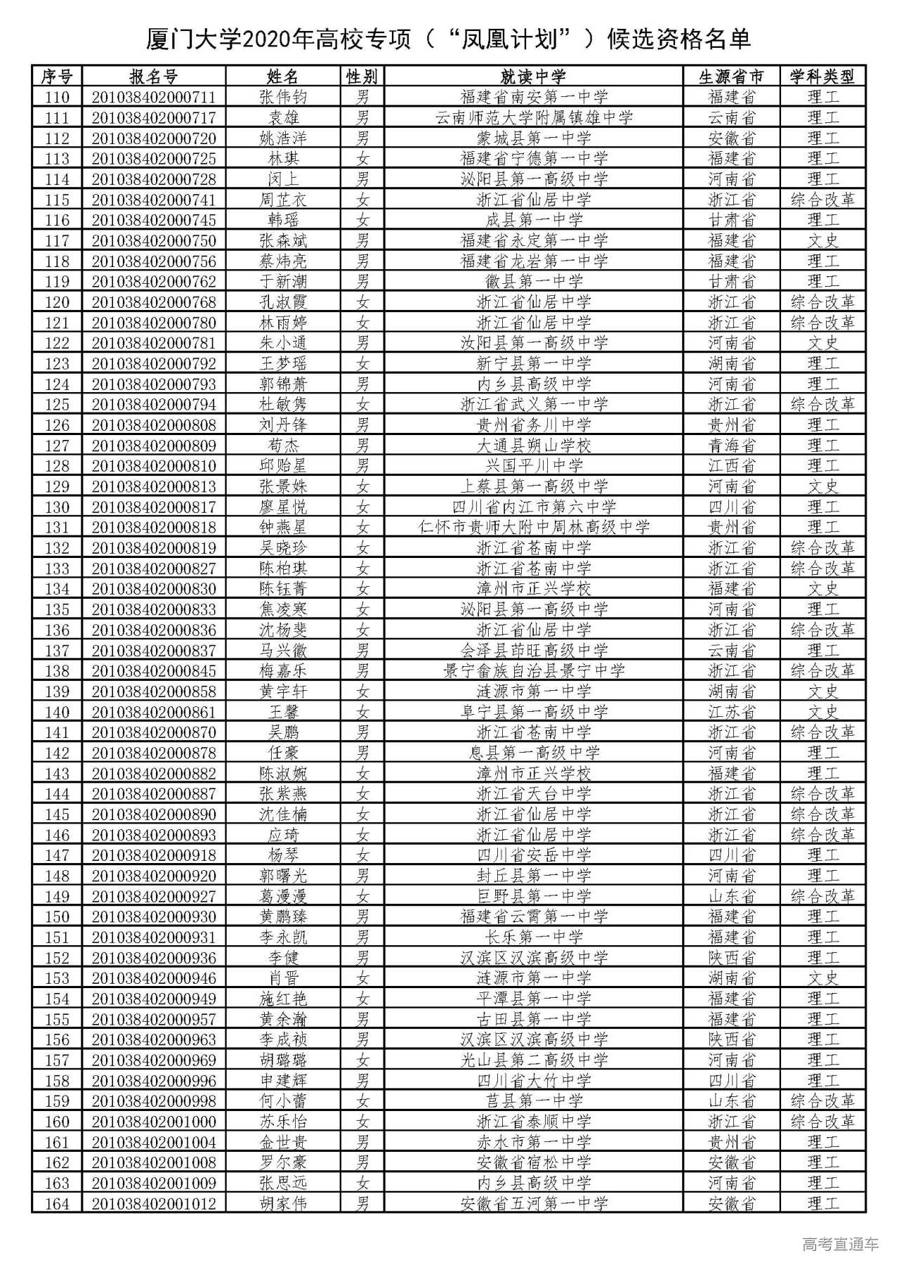
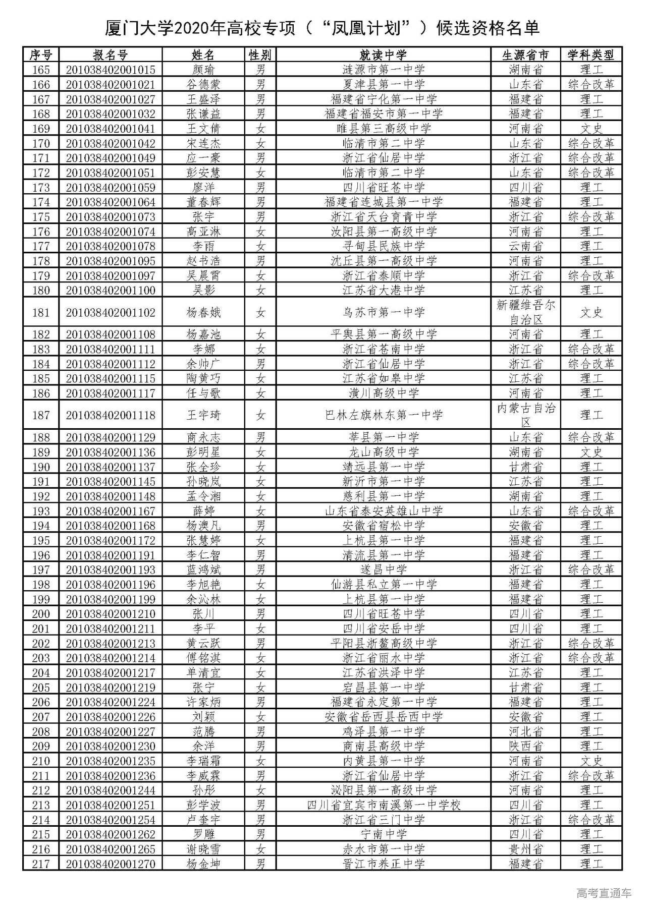
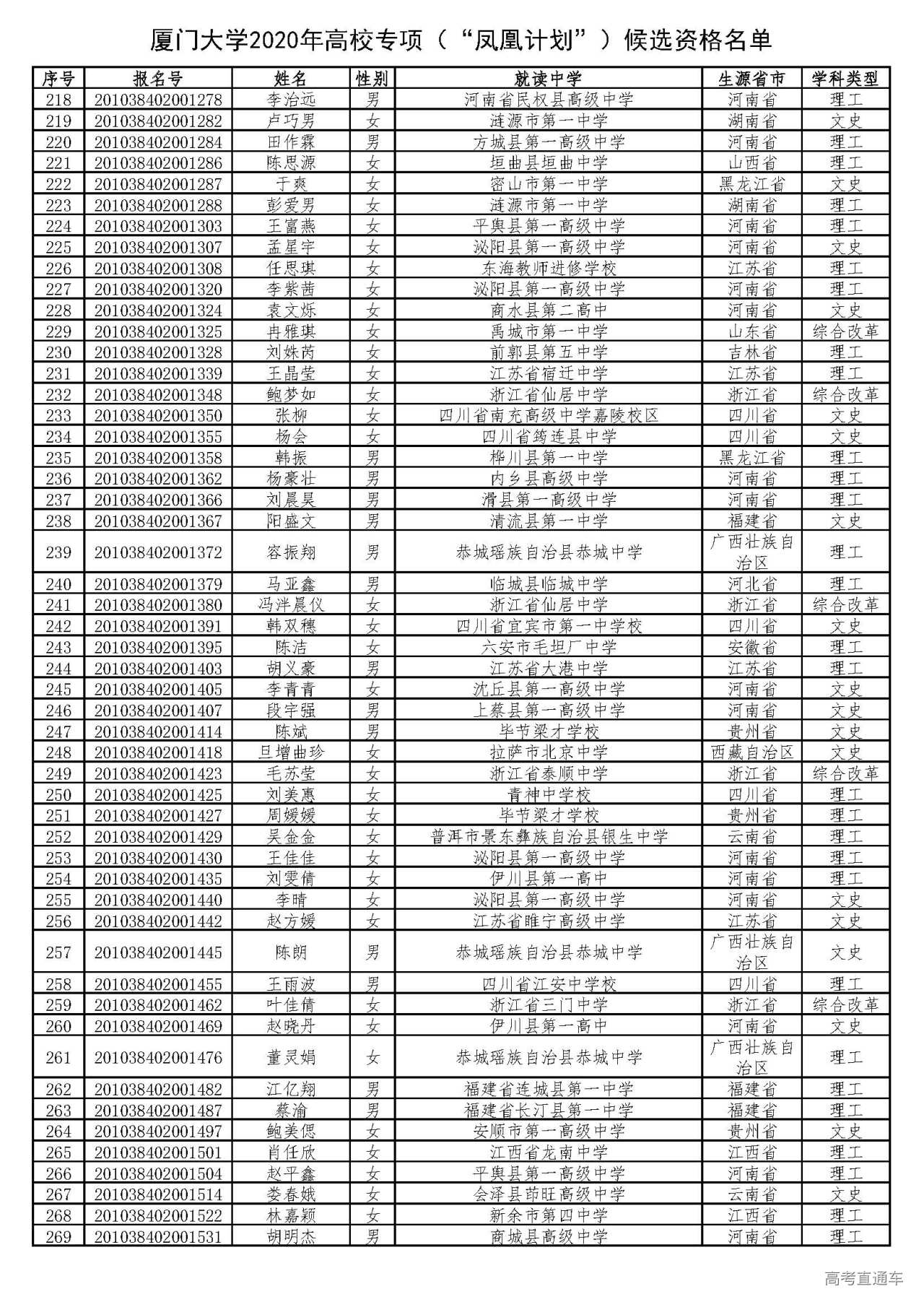
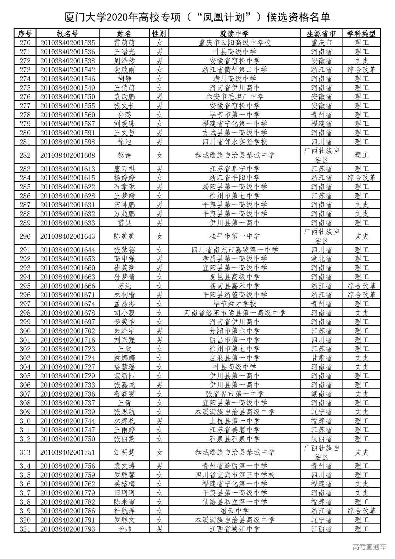
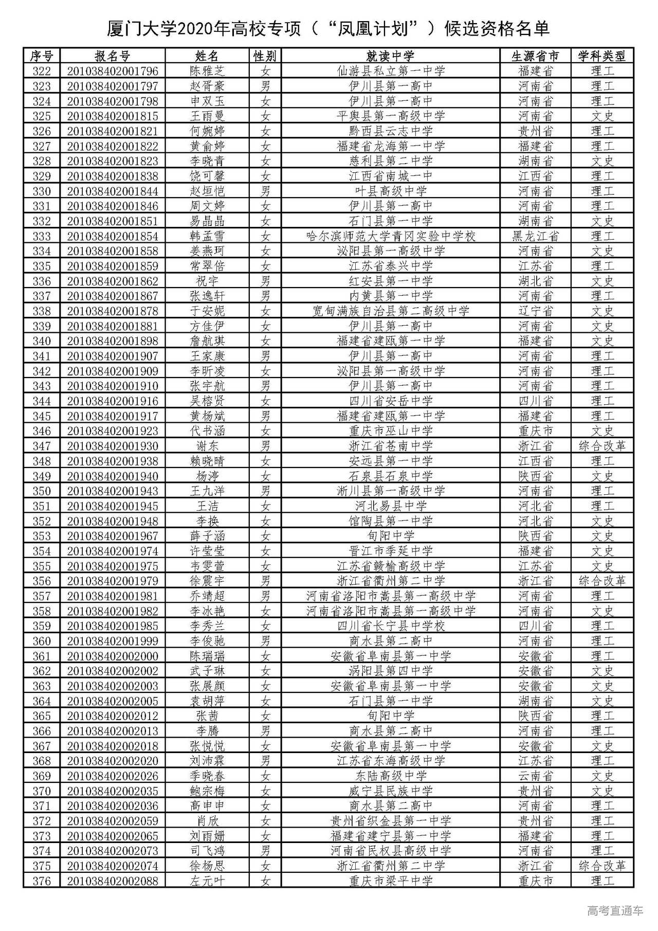
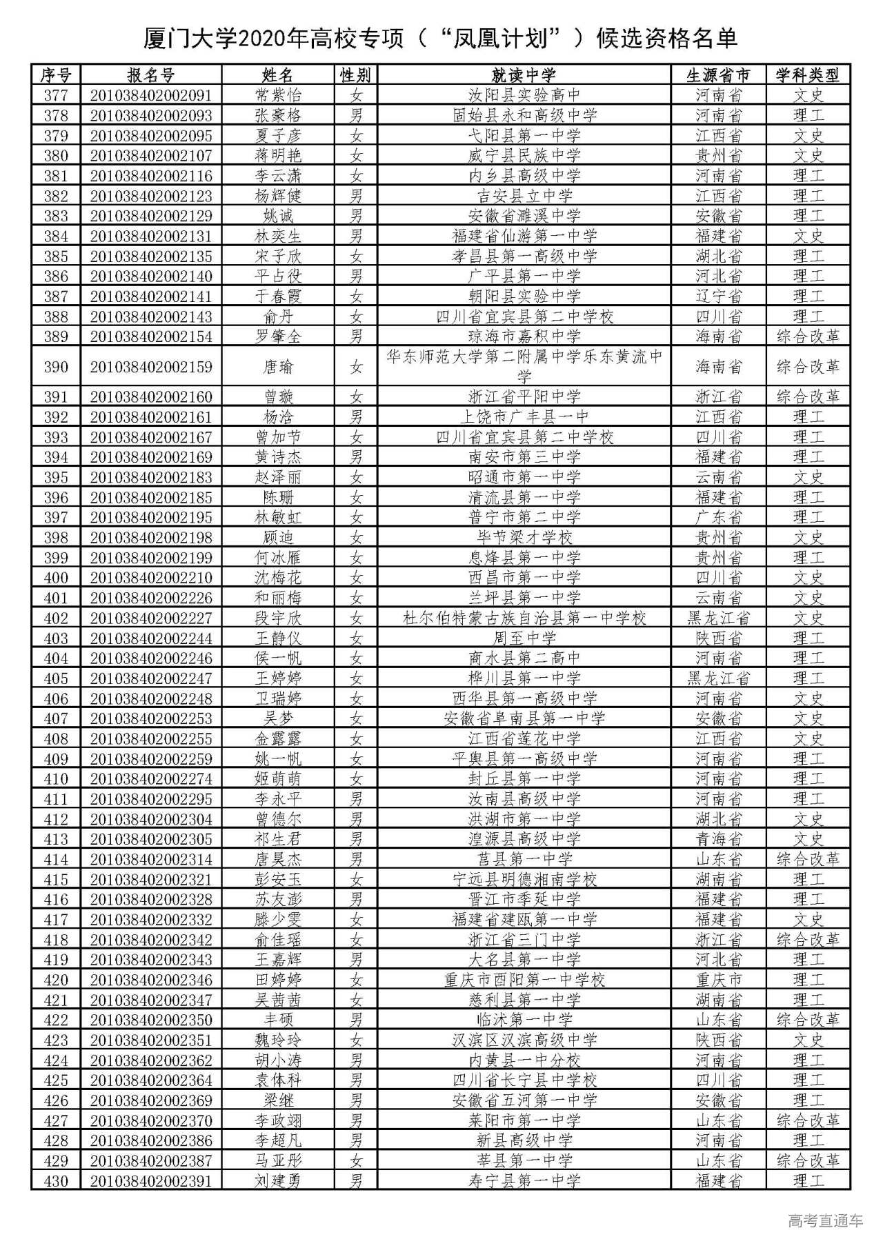
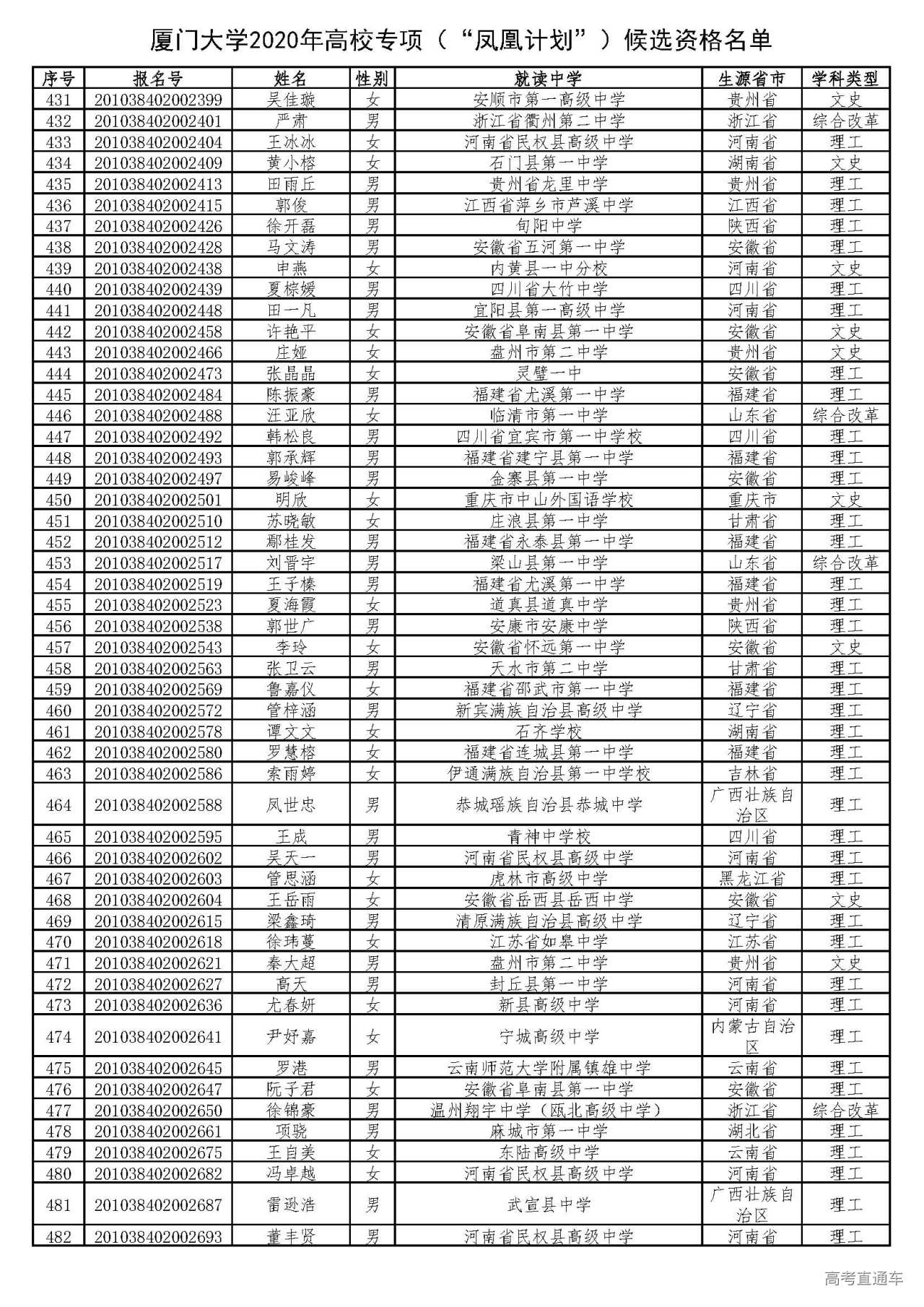
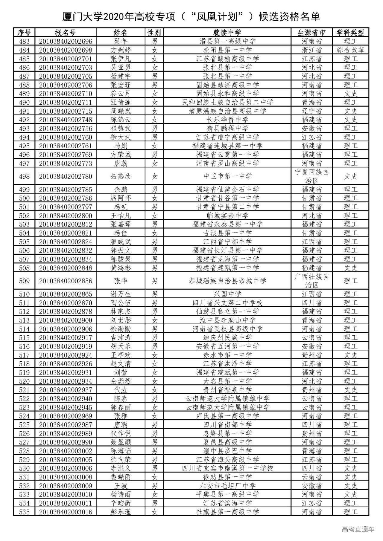
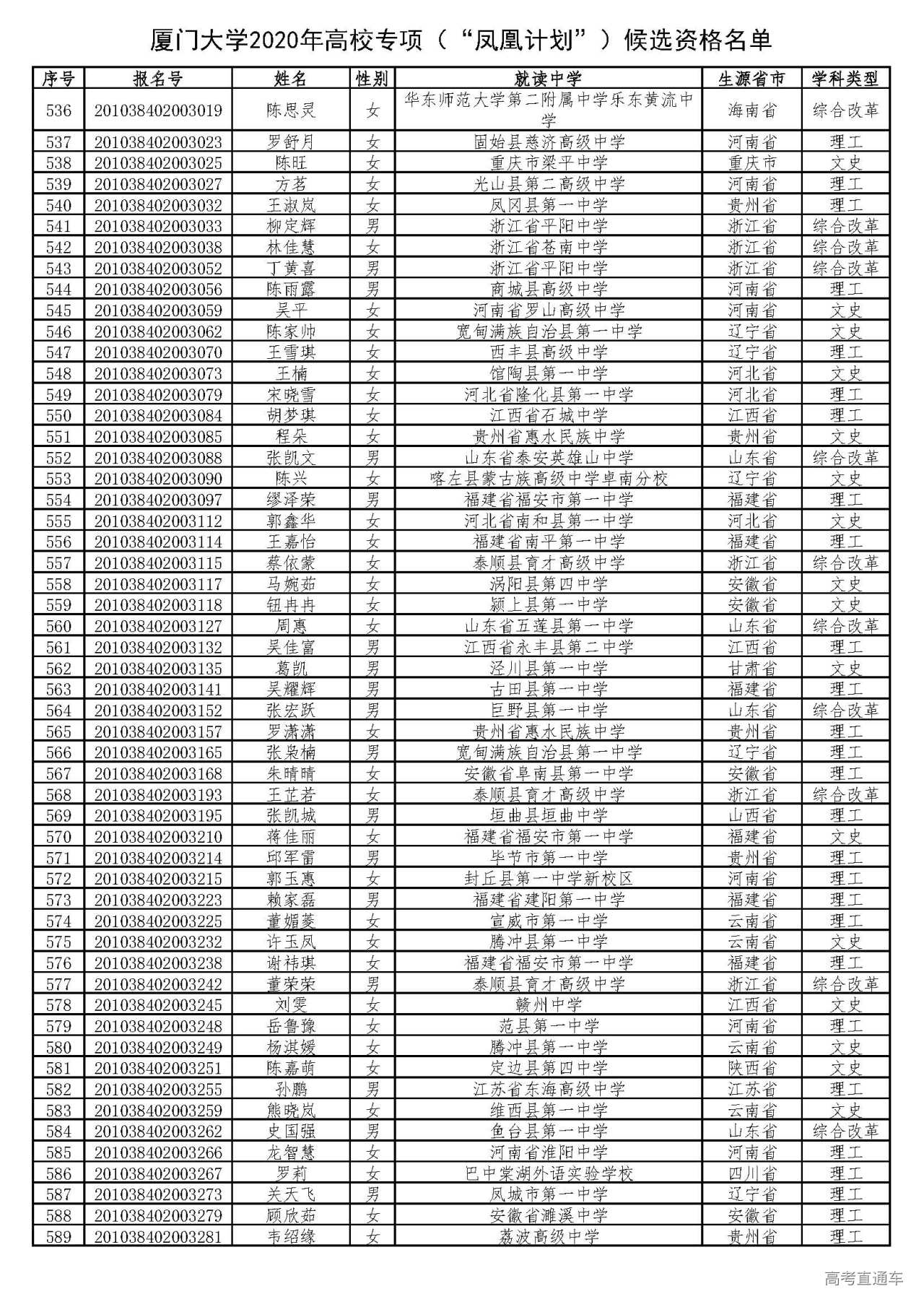
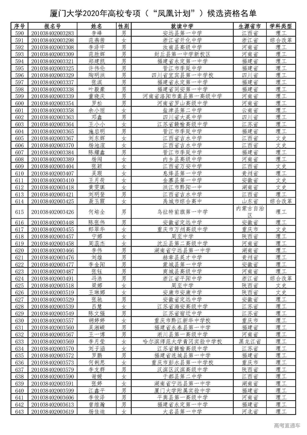
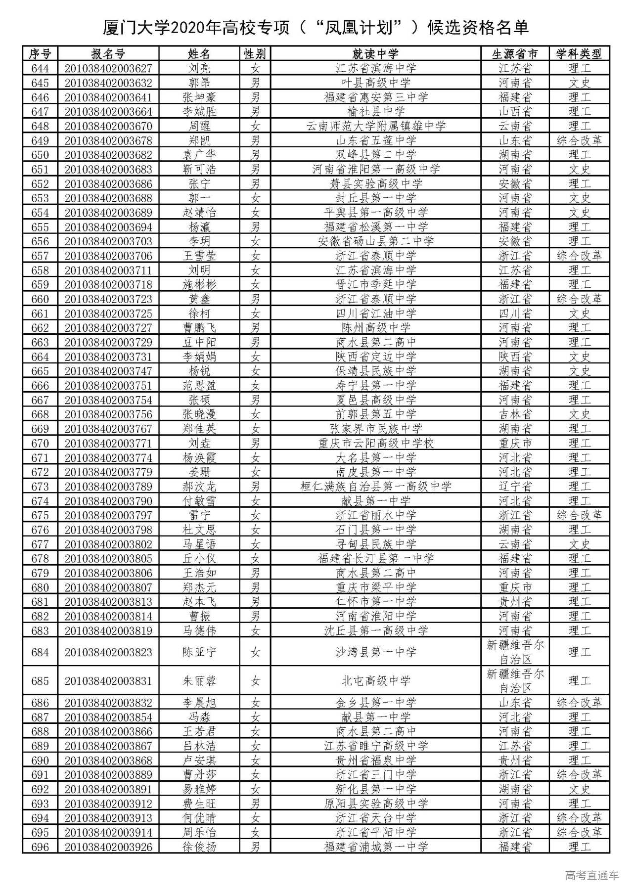
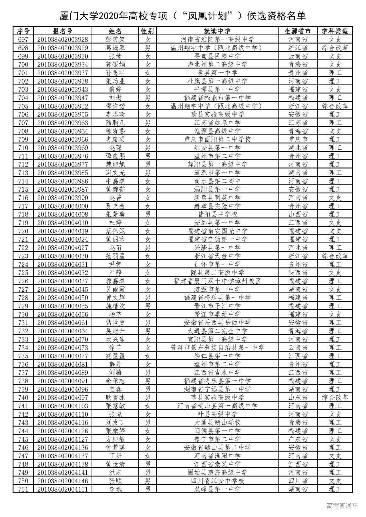
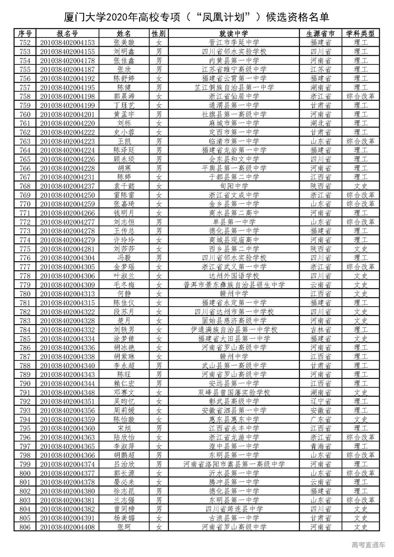
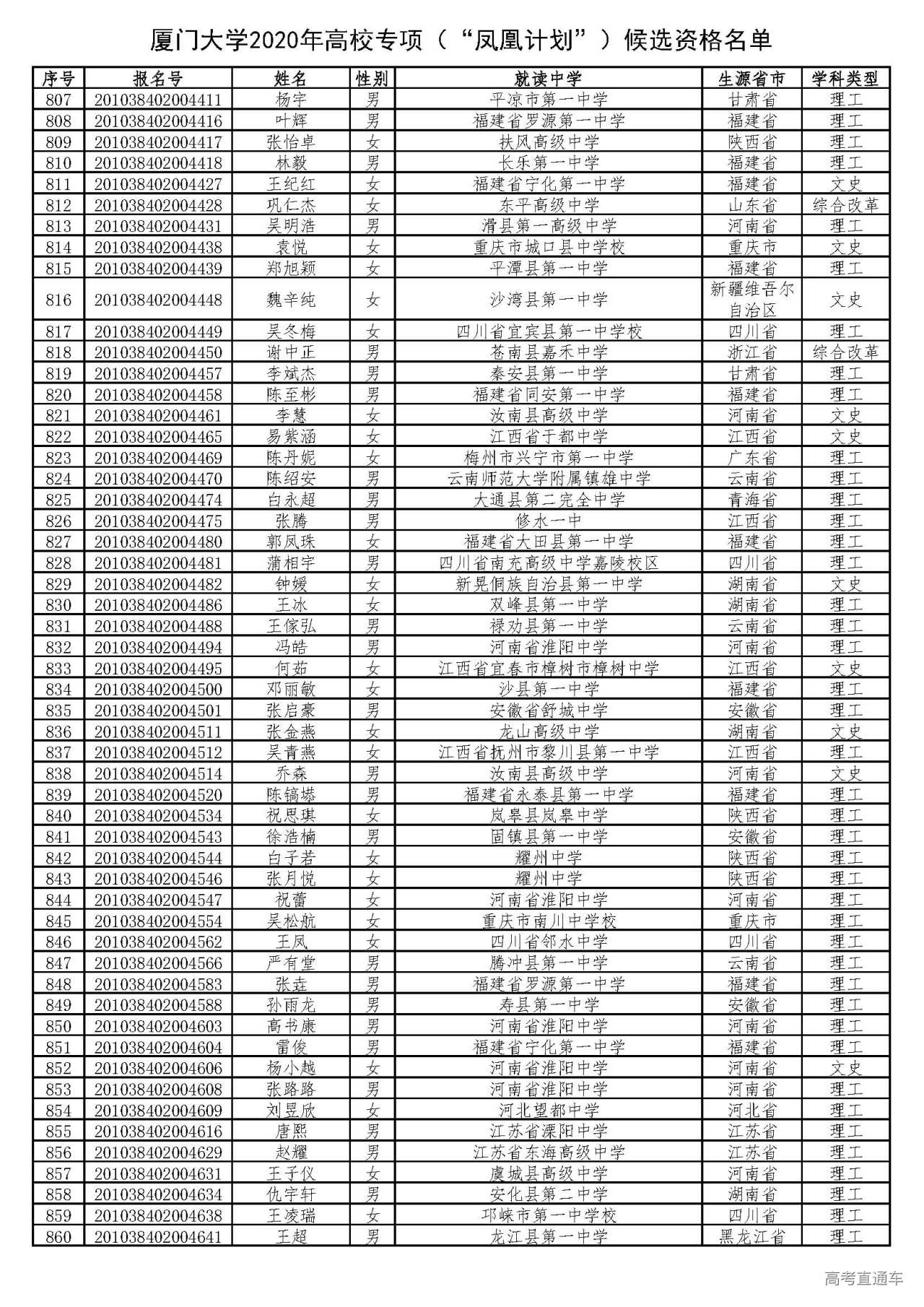
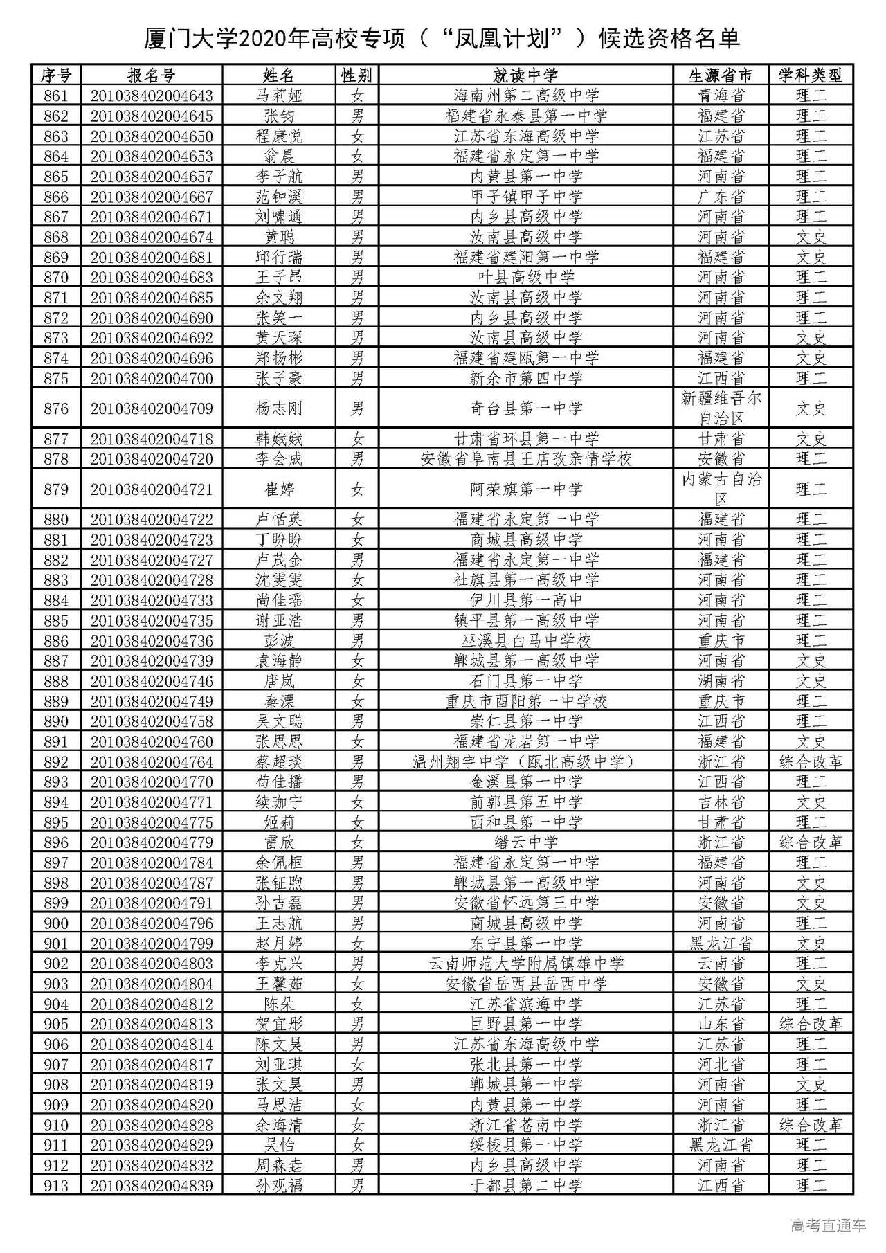
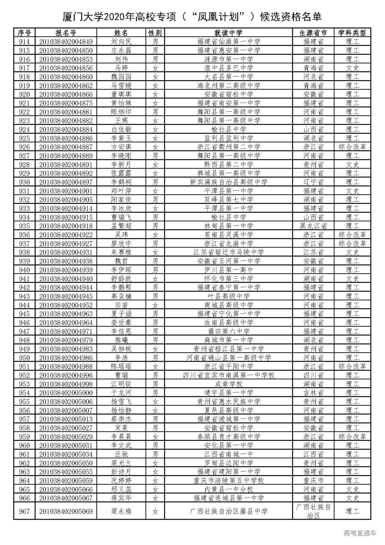
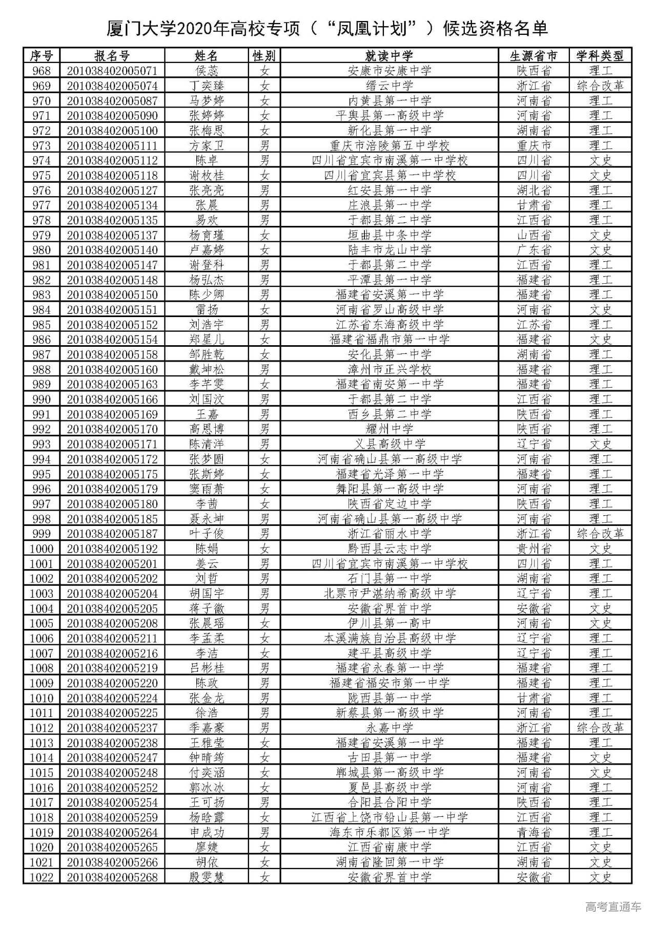
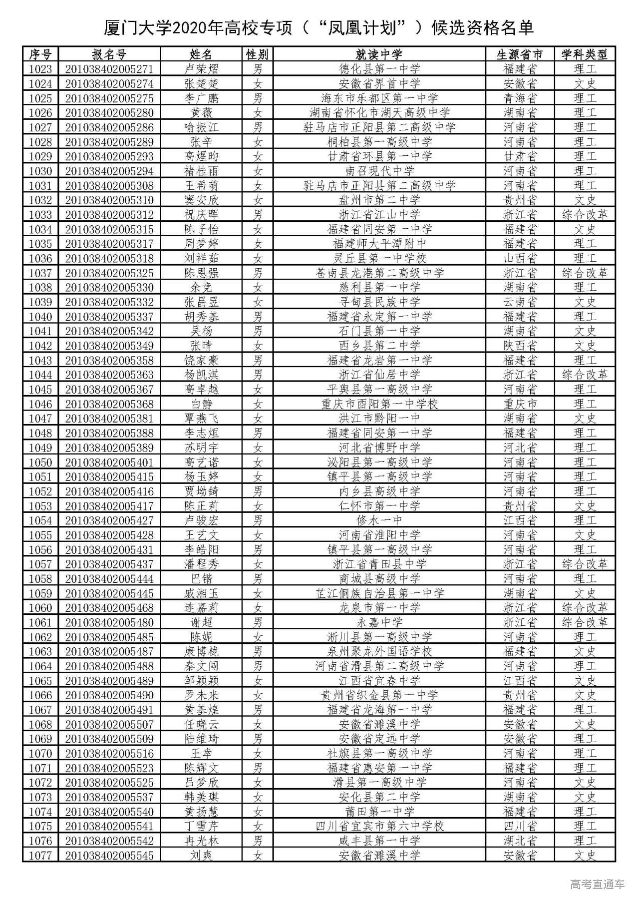
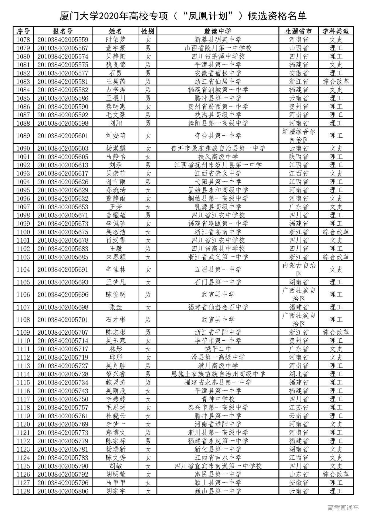
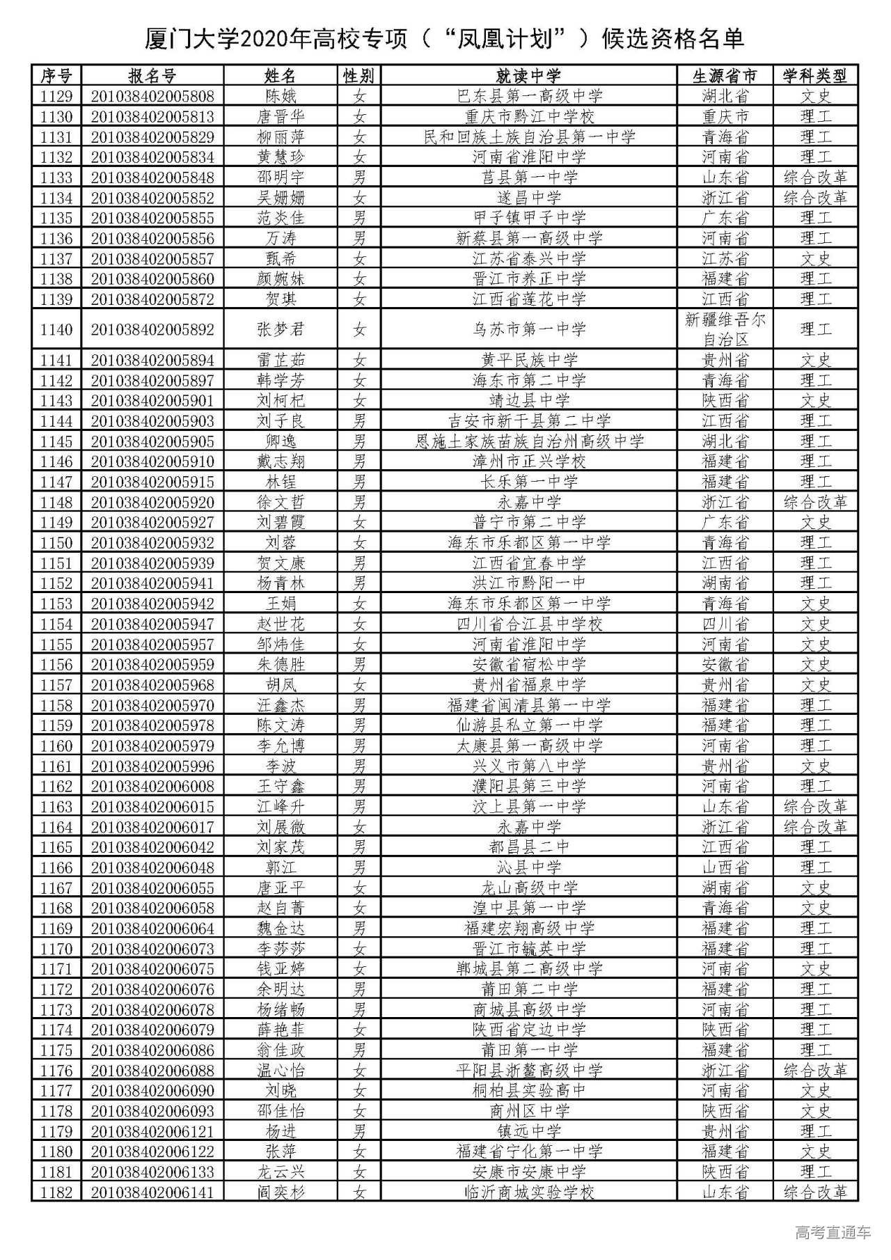
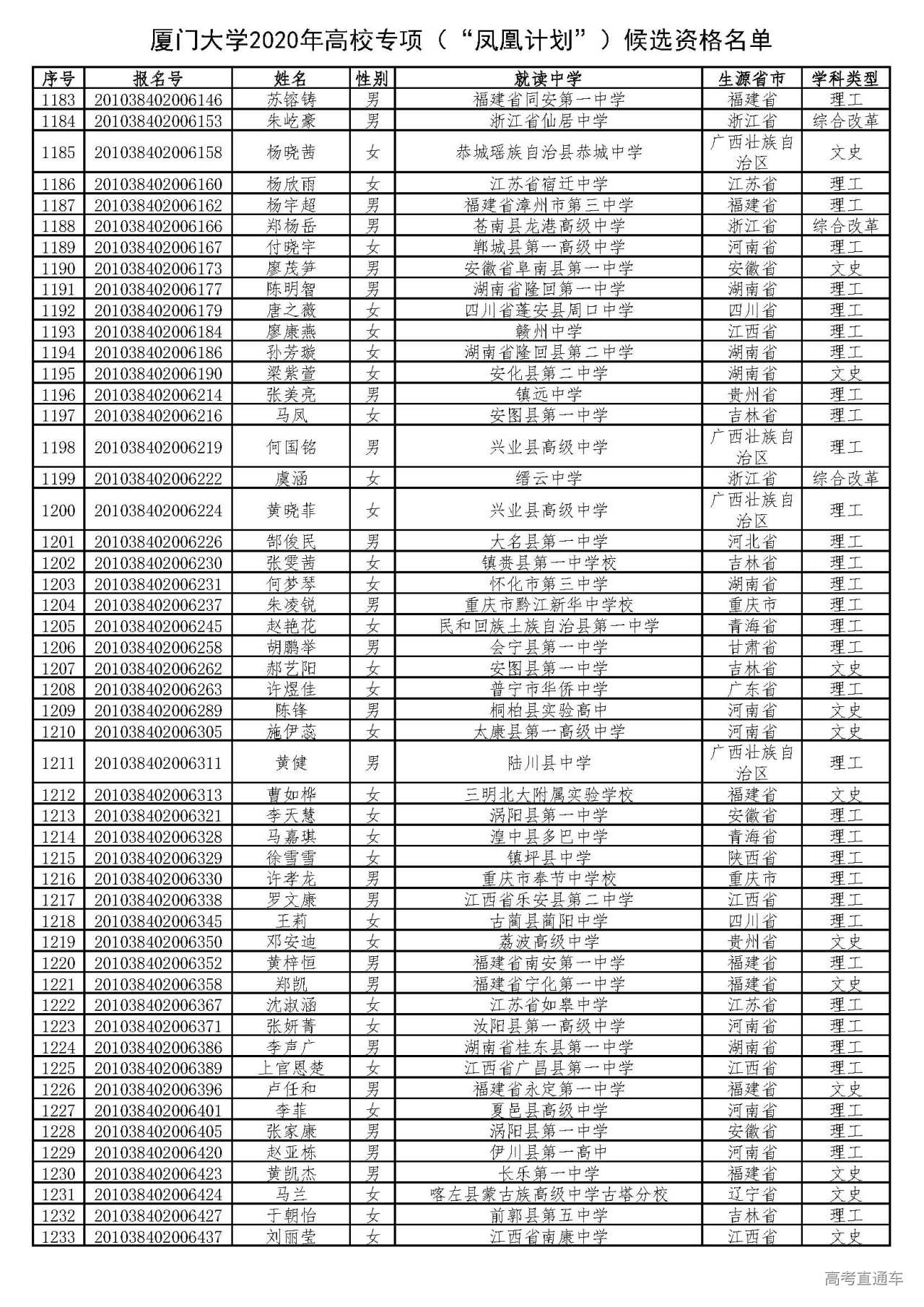
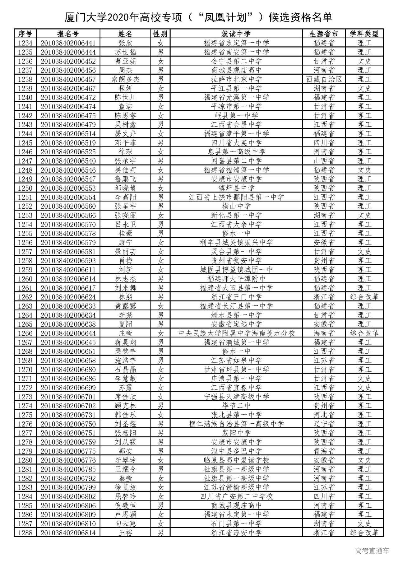
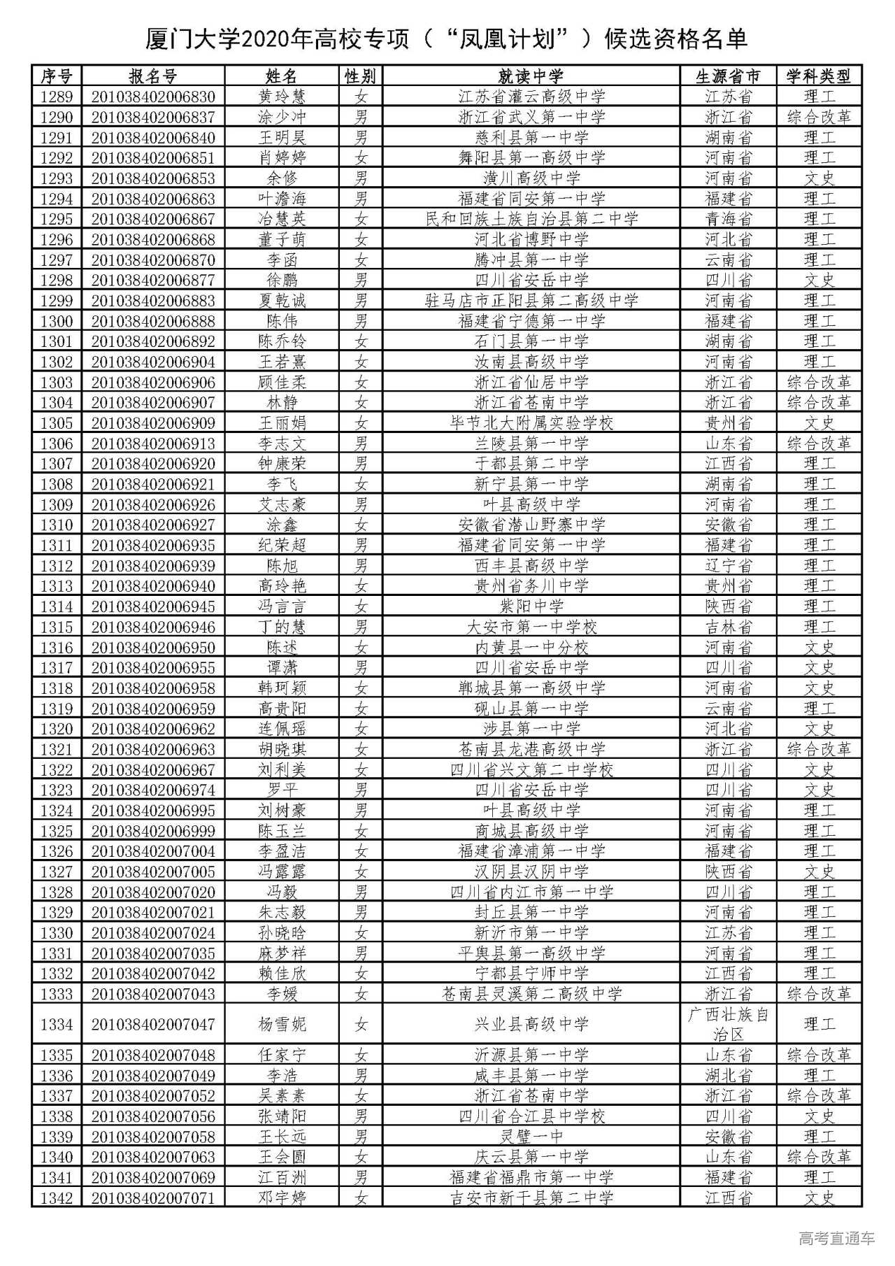
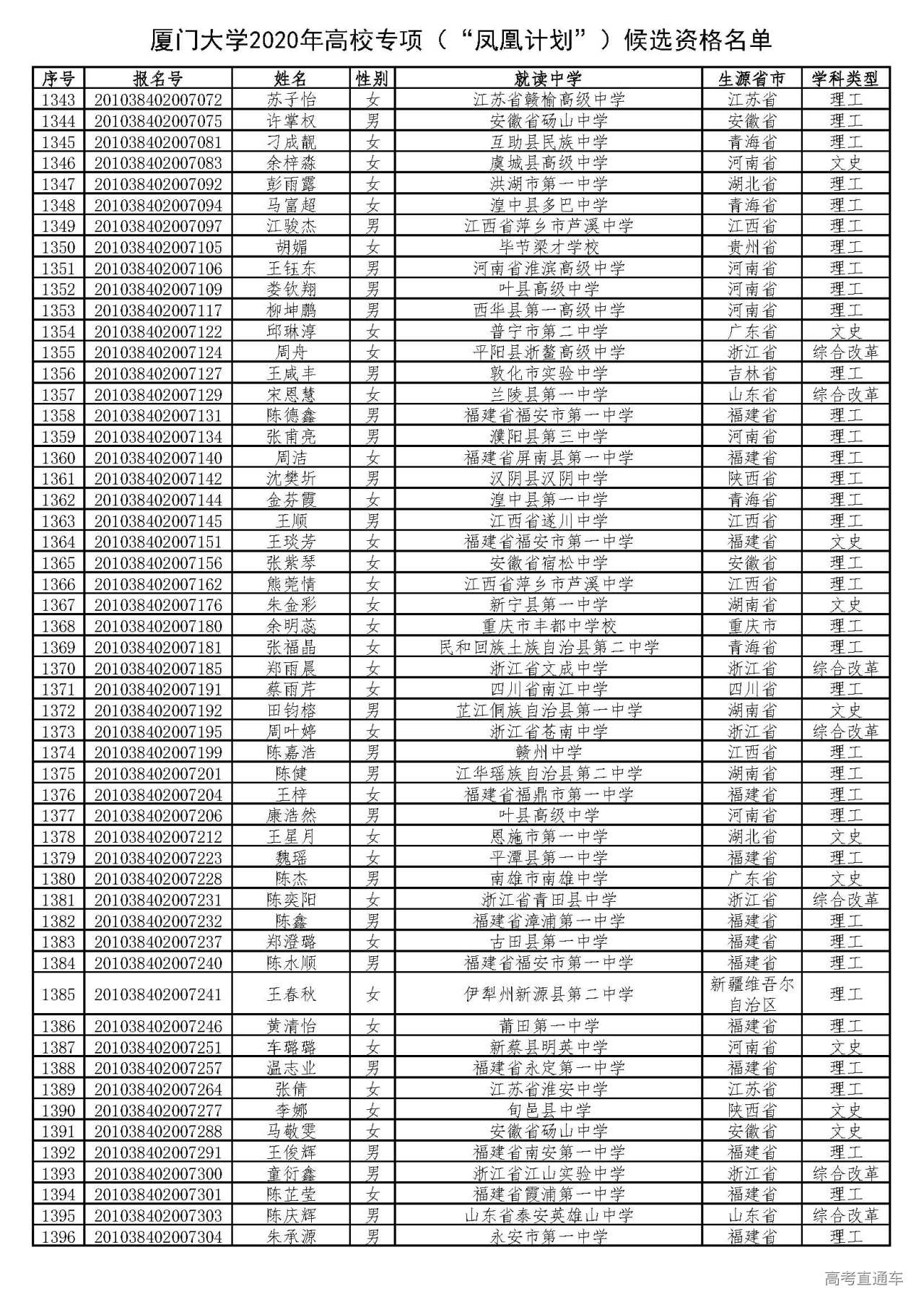
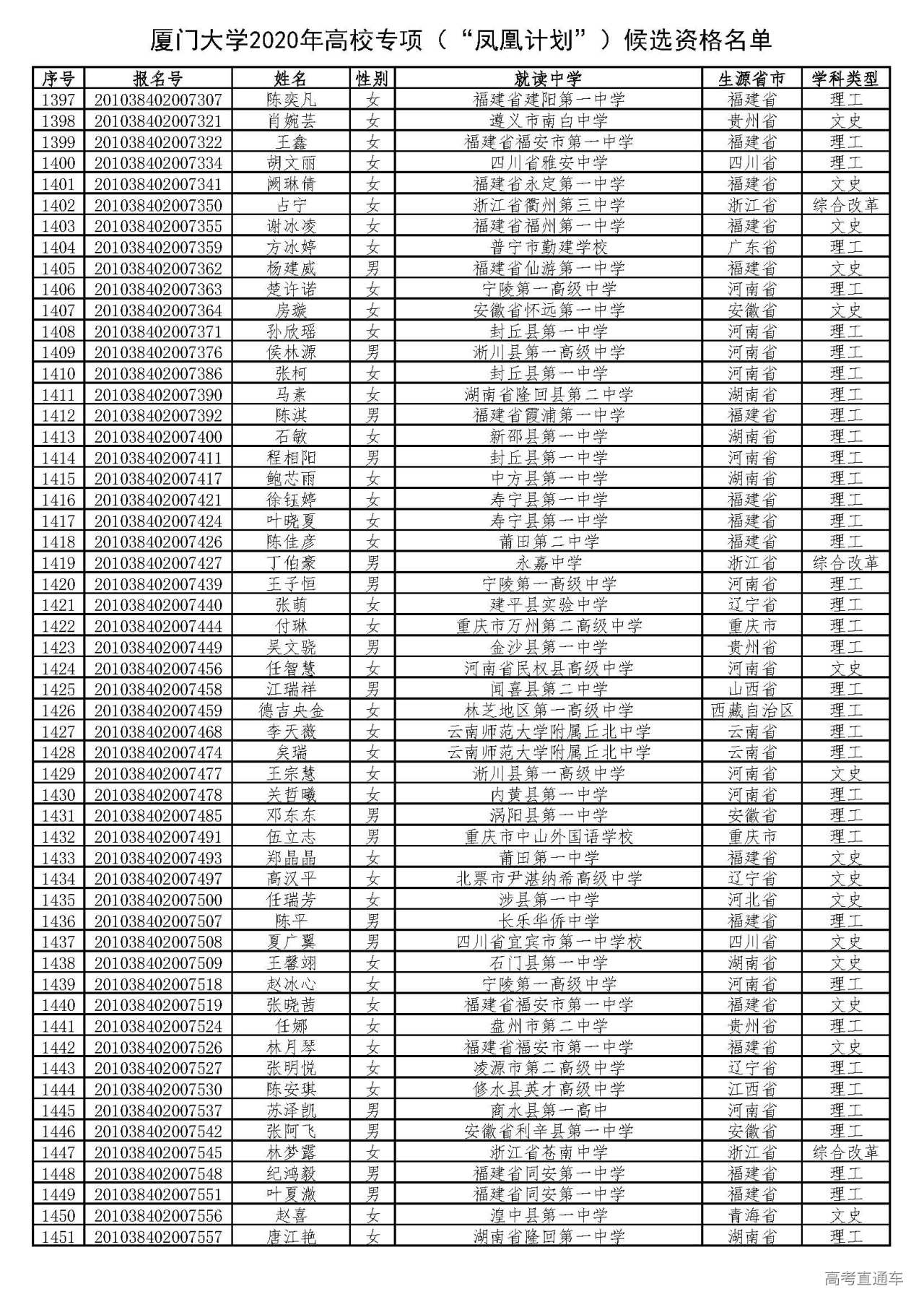
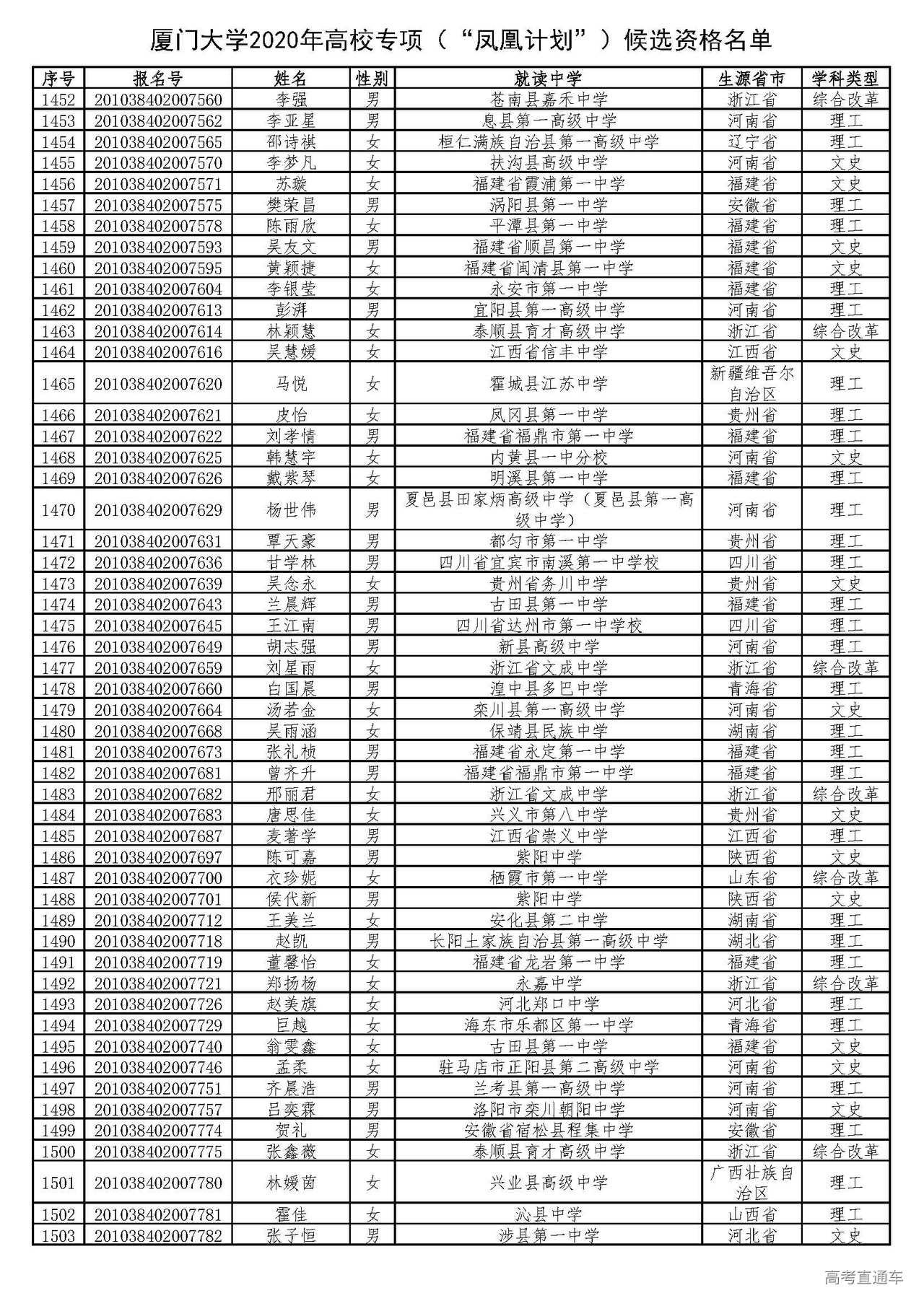
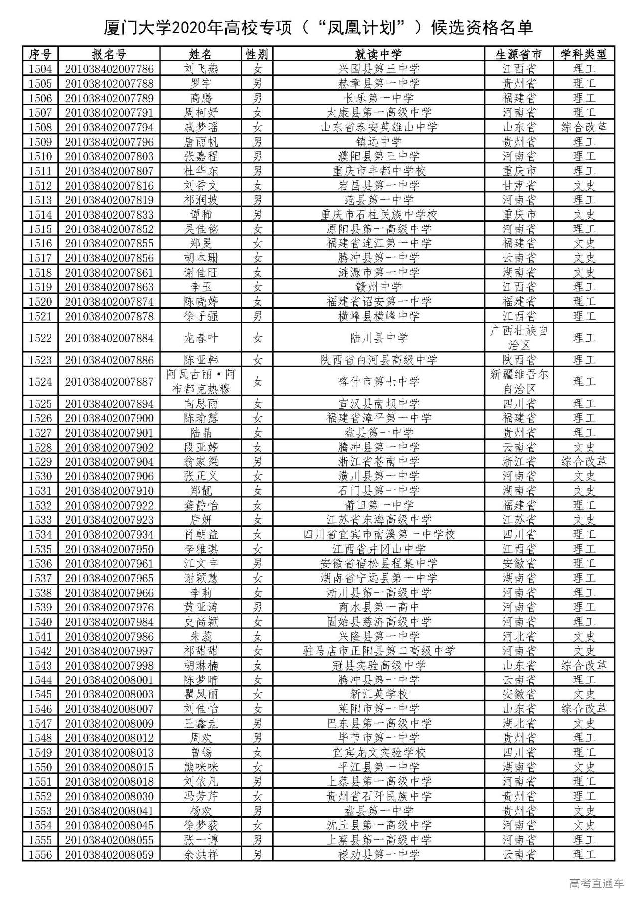
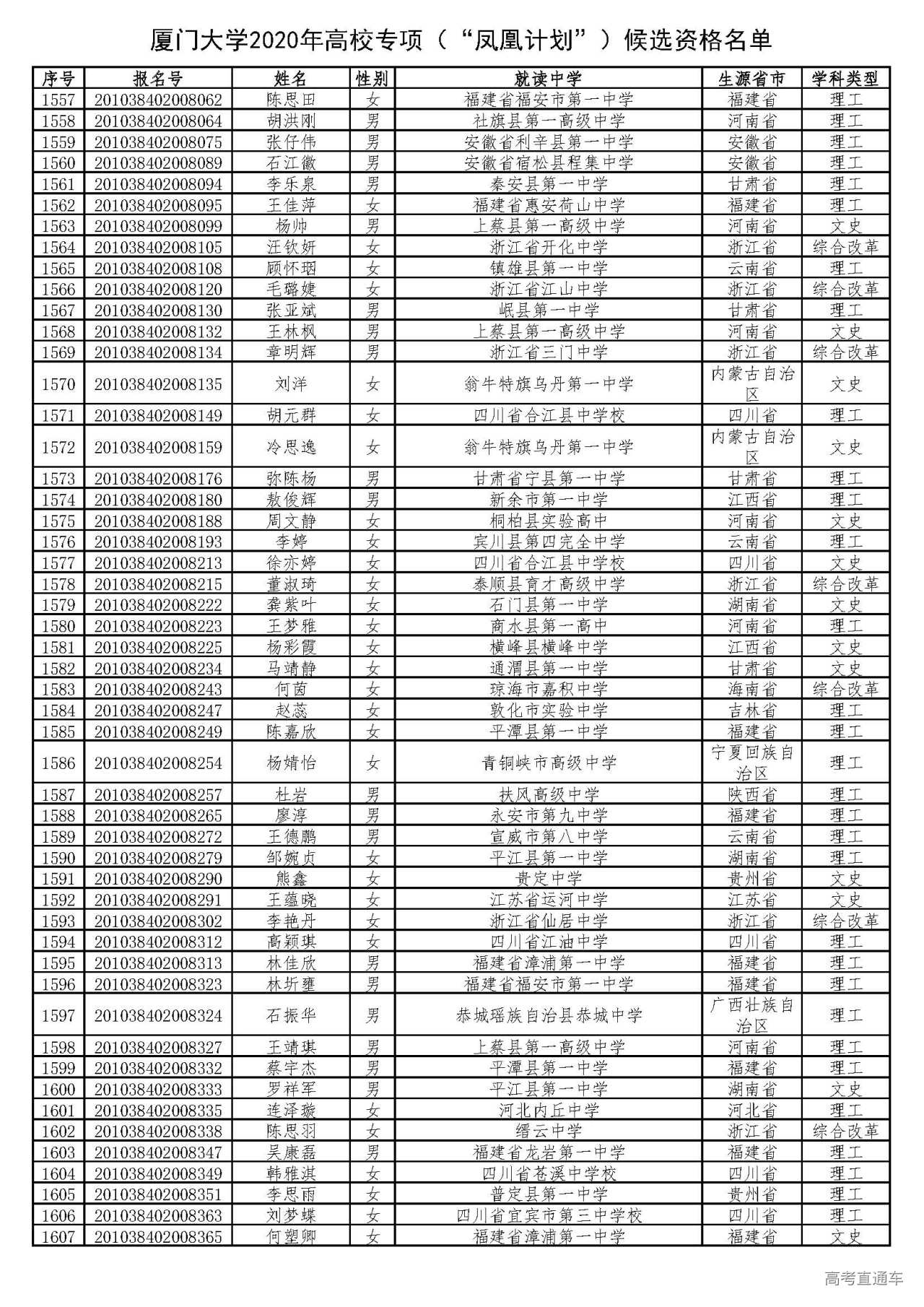
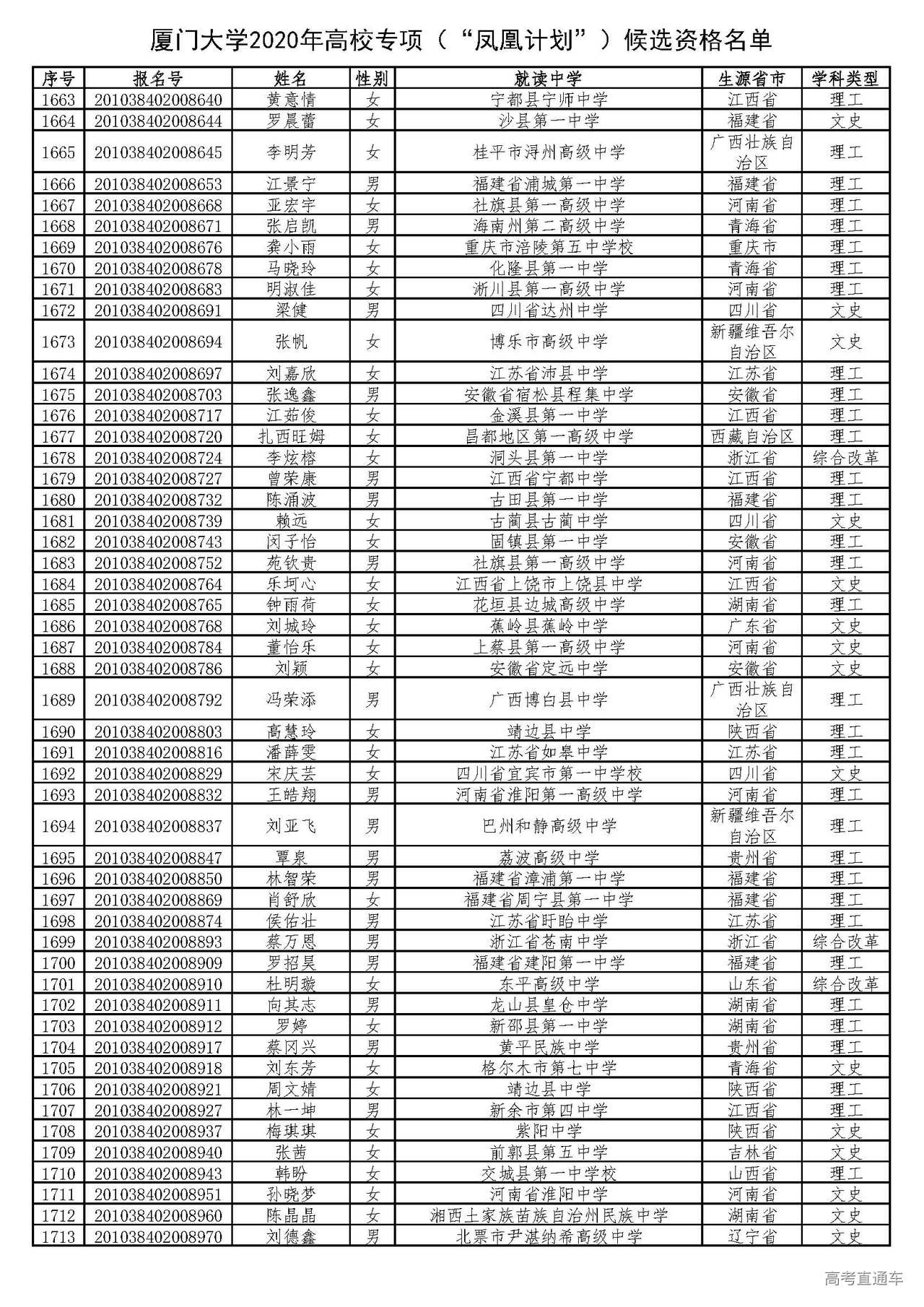
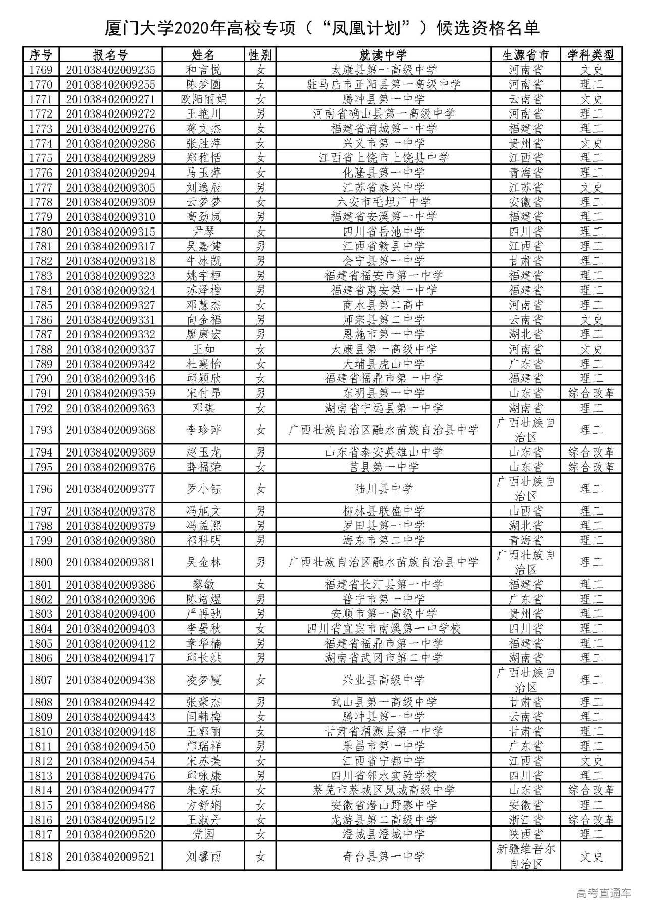
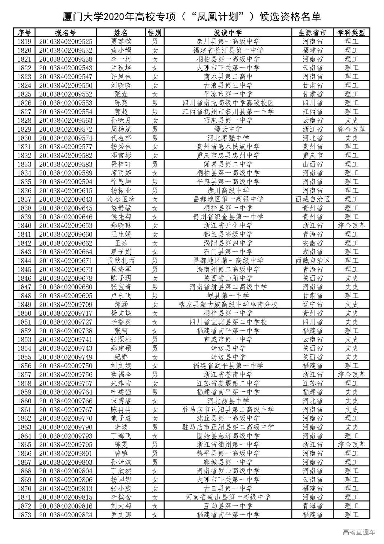
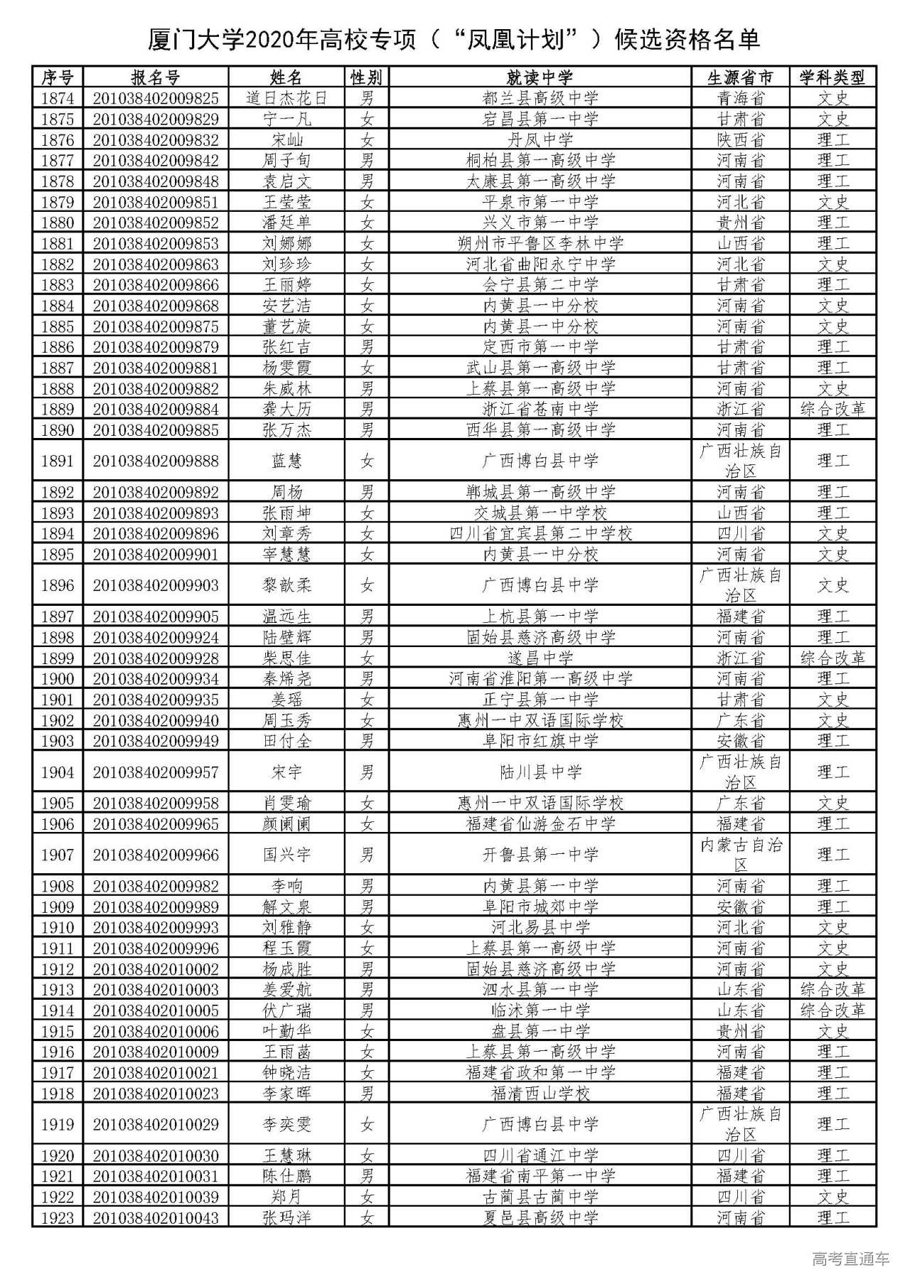
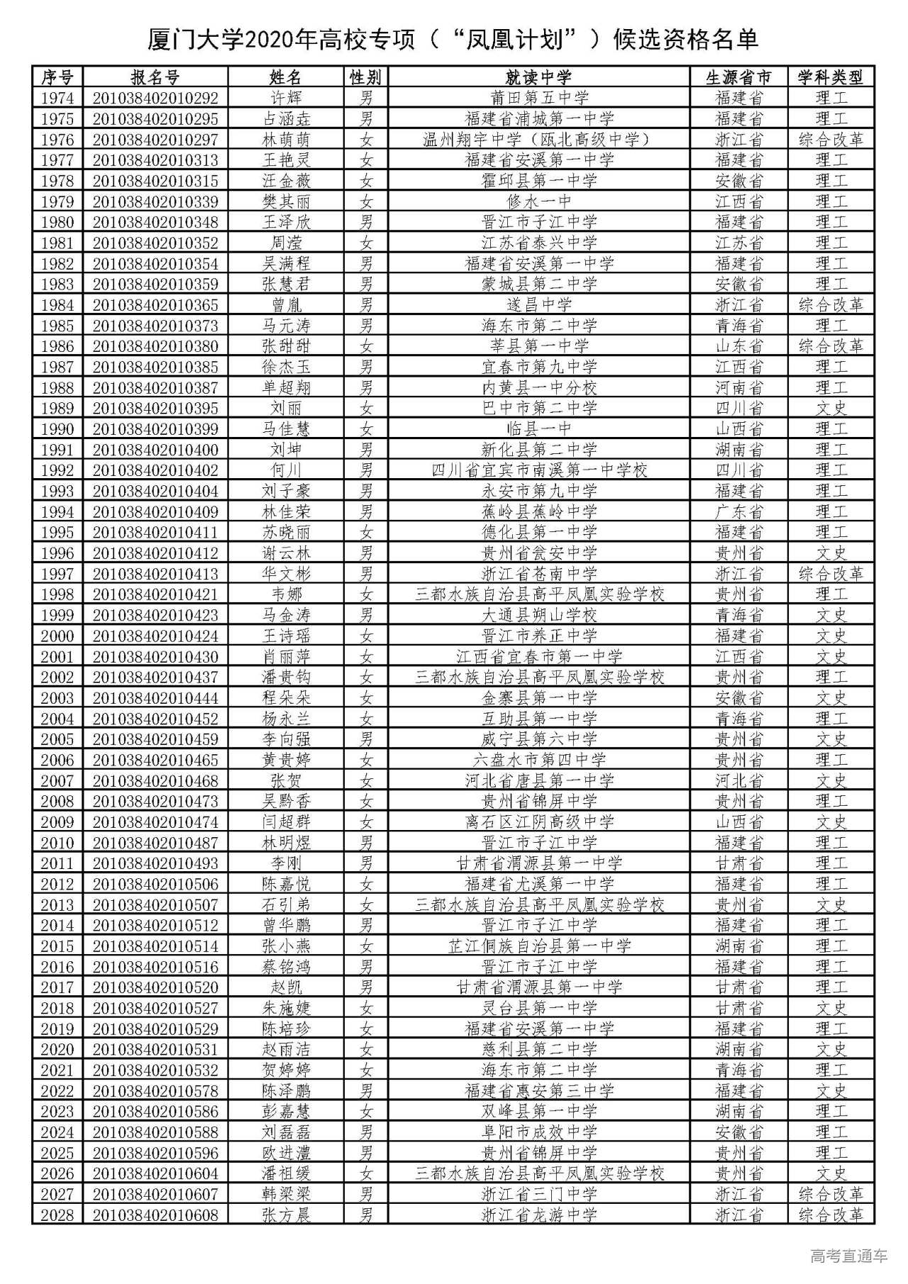
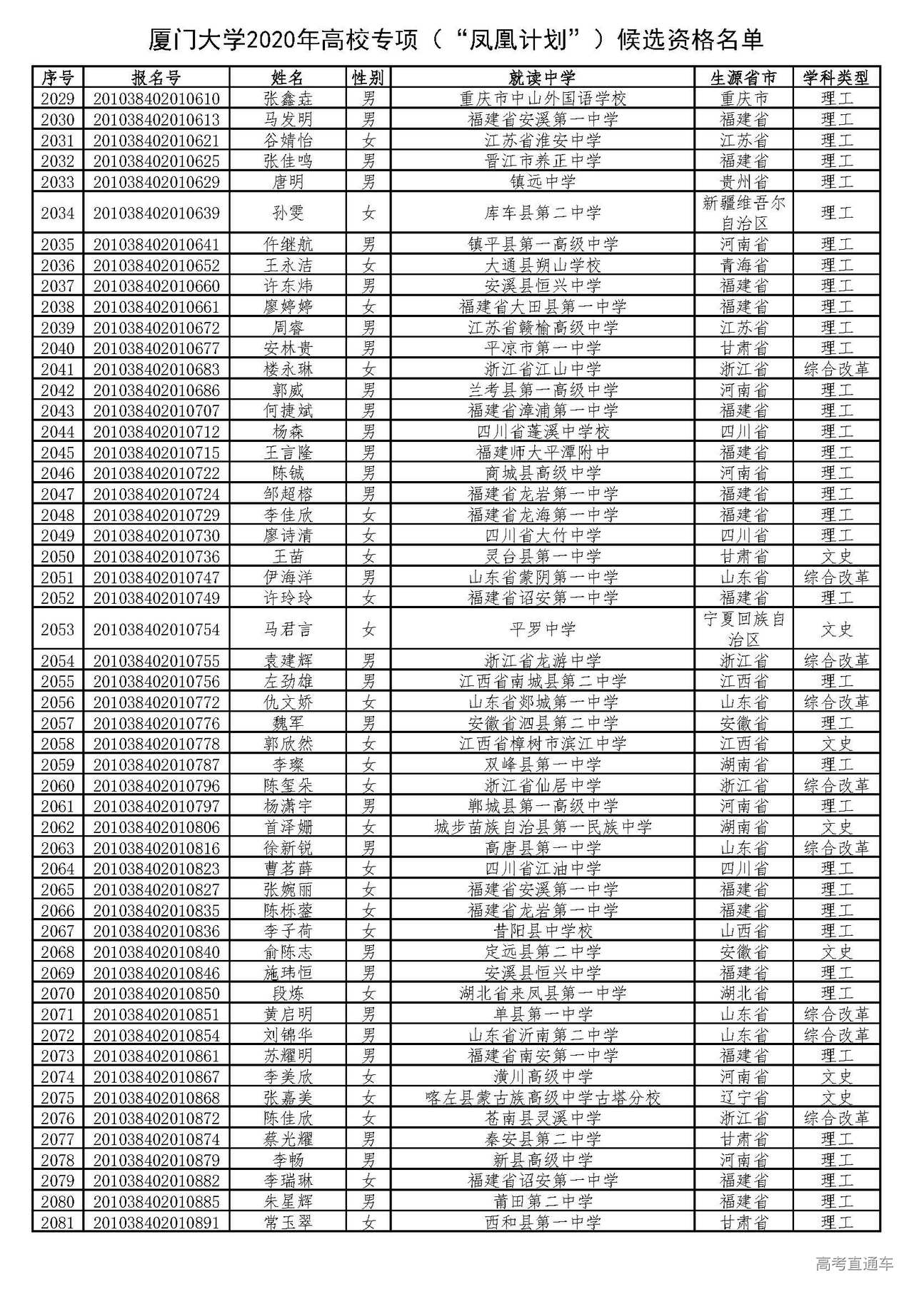
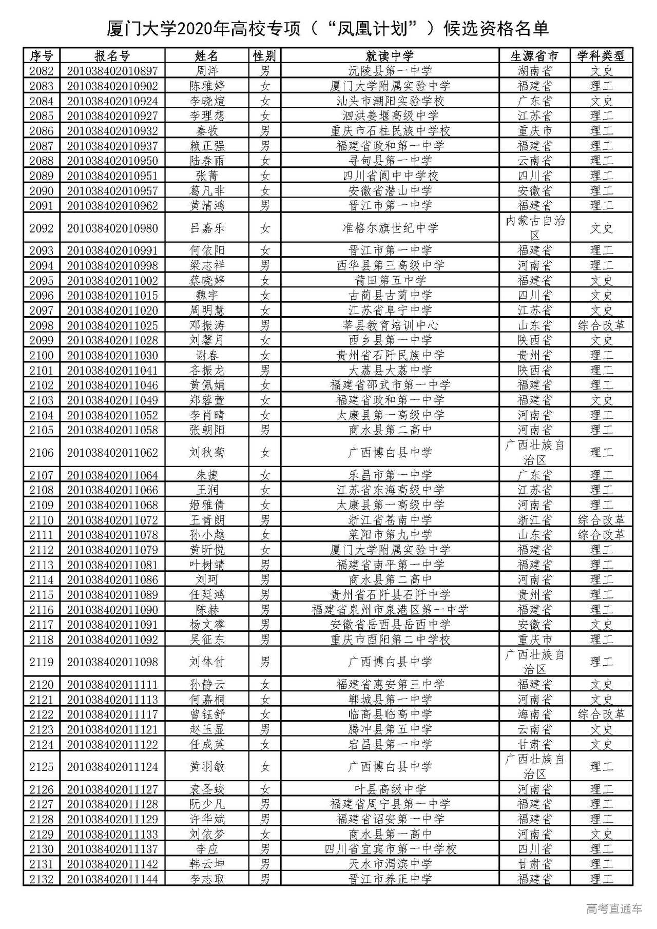
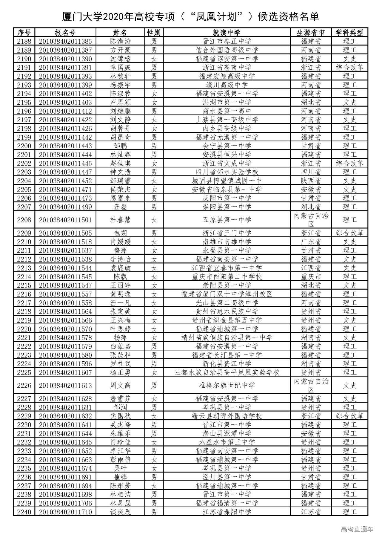
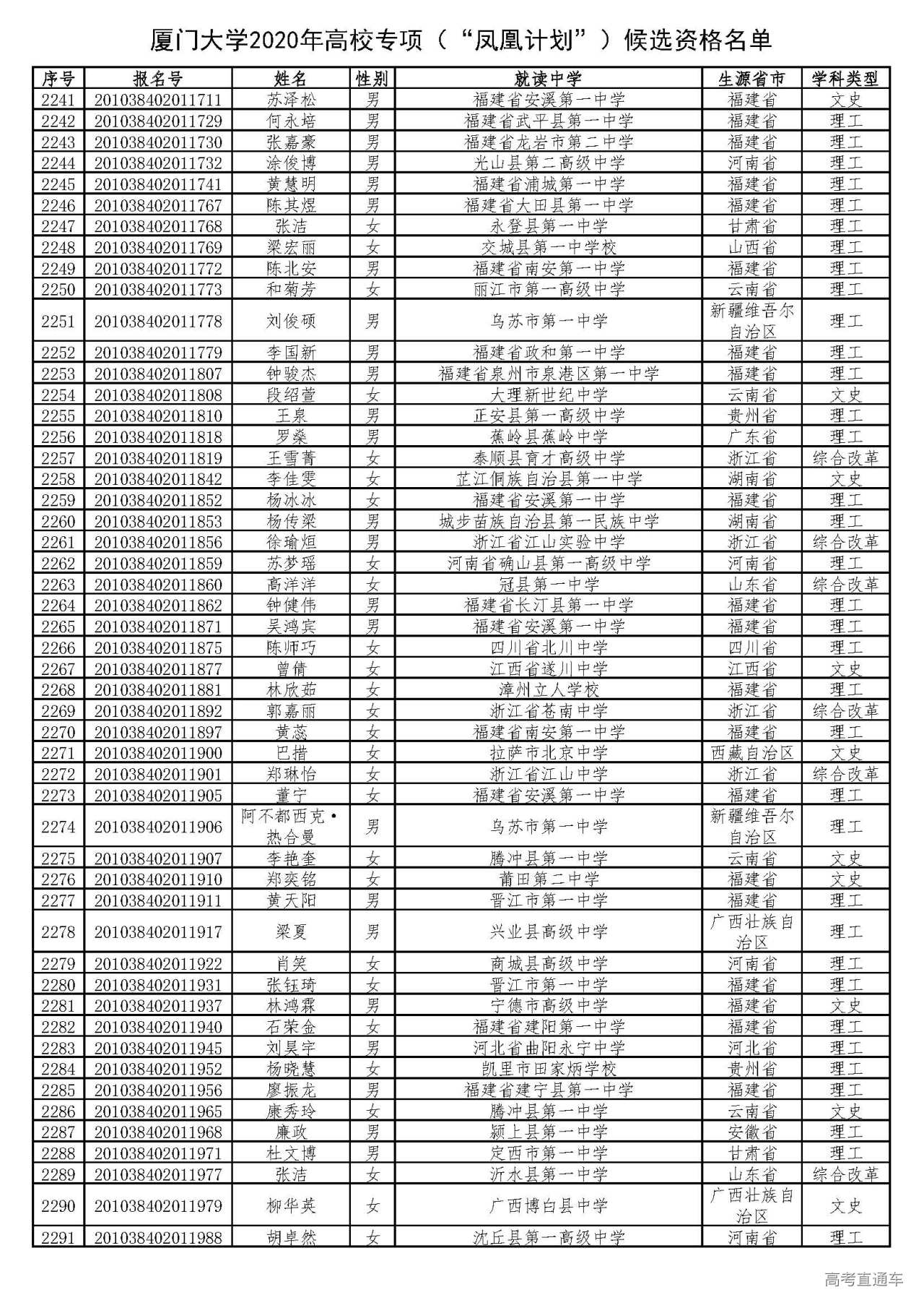
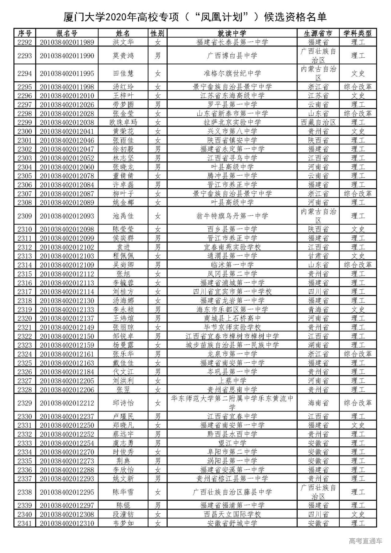
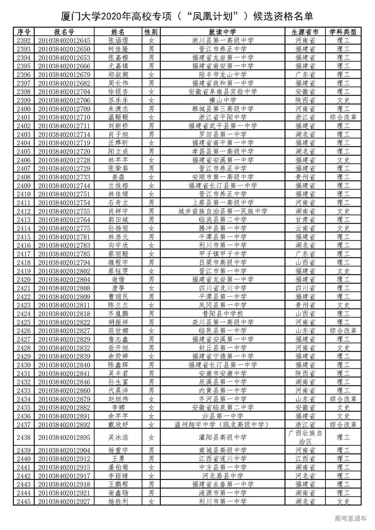
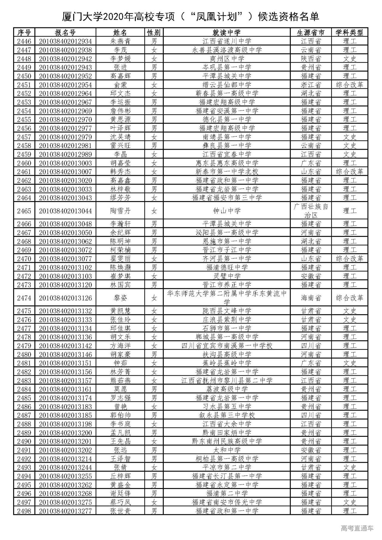
我校2020年高校专项计划(凤凰计划)候选资格名单已公布,现将名单予以公示,公示期五个工作日。公示期内如有异议请向我校招生办公室(联系电话:0592-2188888)或学校监察部门(联系电话:0592-2180299)反映。请考生登录阳光高考平台(http://gaokao.chsi.com.cn/gxzxbm/)查询结果。
经我校招生网和教育部“阳光高考”平台公示无异议的考生方最终取得我校高校专项计划入选资格。
查看完整试题
登录查看完整试题答案
阅读数:3.6 k
特别声明:
1. 本站注明稿件来源为其他媒体的文/图等稿件均为转载稿,本站转载出于非商业性的教育和科研之目的,并不意味着赞同其观点或证实其内容的真实性。如转载稿涉及版权等问题,请作者在两周内速来电或来函联系,本站根据实际情况会进行下架处理。
2. 任何媒体、网站或个人未经本网协议授权不得转载、链接、转贴或以其他方式复制发表,违者本站将依法追究责任。
1. 本站注明稿件来源为其他媒体的文/图等稿件均为转载稿,本站转载出于非商业性的教育和科研之目的,并不意味着赞同其观点或证实其内容的真实性。如转载稿涉及版权等问题,请作者在两周内速来电或来函联系,本站根据实际情况会进行下架处理。
2. 任何媒体、网站或个人未经本网协议授权不得转载、链接、转贴或以其他方式复制发表,违者本站将依法追究责任。















































