近日
广东省2024年普通高考本科批次
正式投档
今年
韶关学院生源质量总体稳中向好
共投出考生6187人
均按计划满档投出
历史类最低排位
较去年提升了1038名
下面一起来看看各专业组
具体的投档情况

韶关学院2024年
广东省本科批次普通类投档情况
1
投档情况
✨历史科目组投档1135人,最高分536,最高排位20184,最低分493,最低排位43701;
✨物理科目组投档4164人,最高分560,最高排位58298,最低分488,最低排位168364;
✨体育组拟录取368人,最高分561,最低分521;
✨音乐学组拟录取225人,最高分484,最低分450;
✨舞蹈组拟录取55人,最高分465,最低分453;
✨美术组拟录取240人,最高分487,最低分470。
2
各专业组最低投档分数线

(温馨提示:最终投档情况以广东省教育考试院公布的为准。)
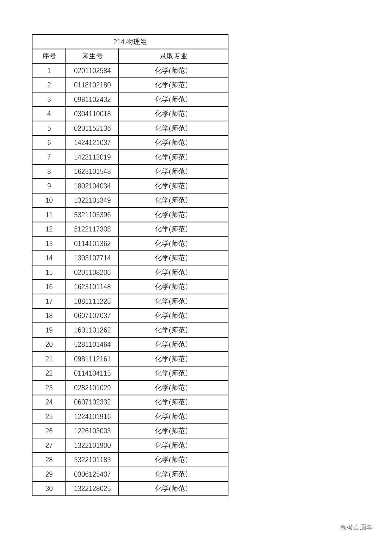
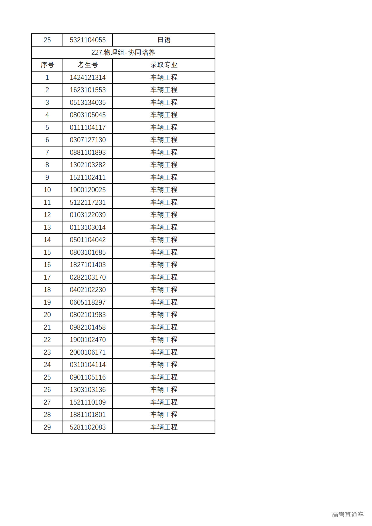
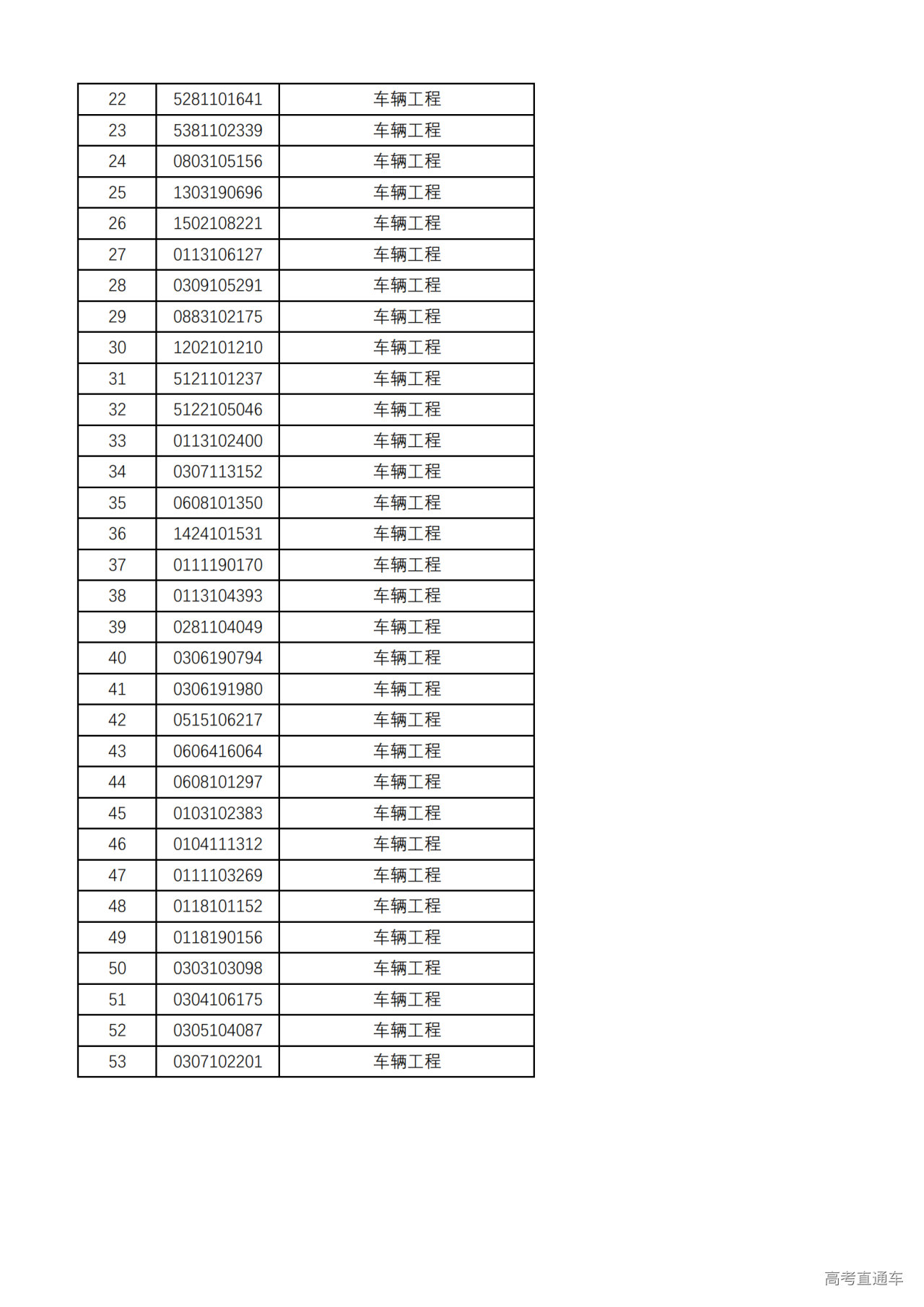
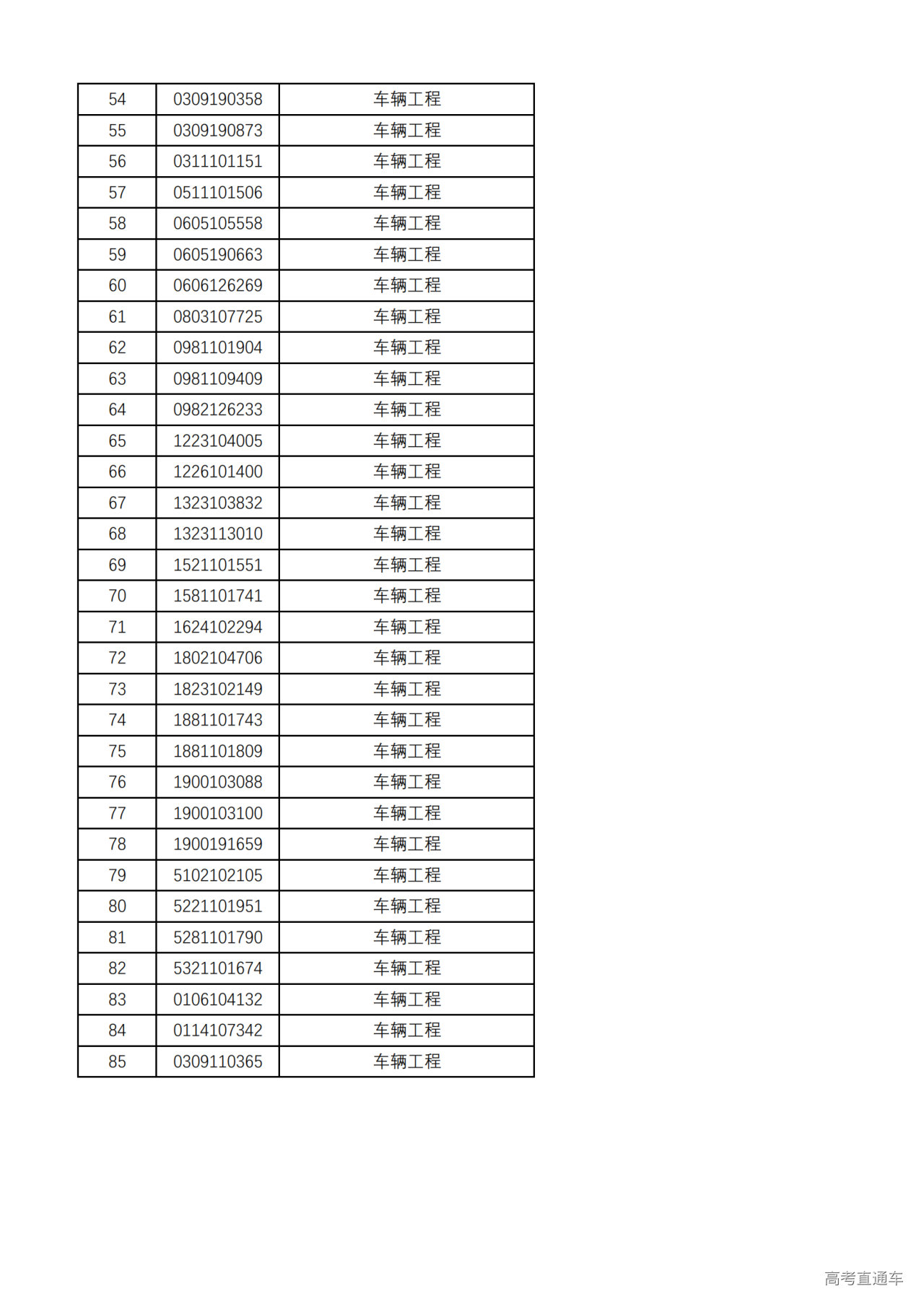
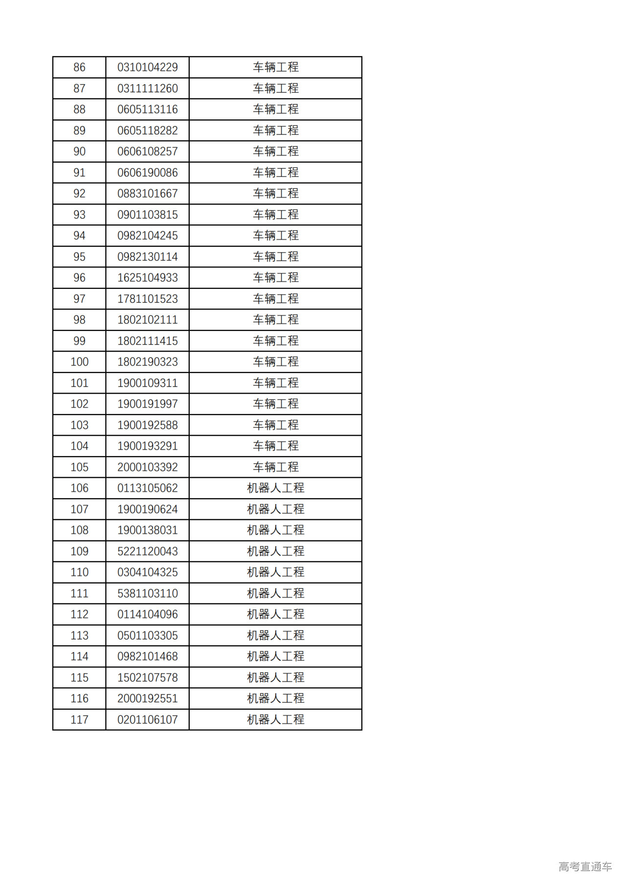
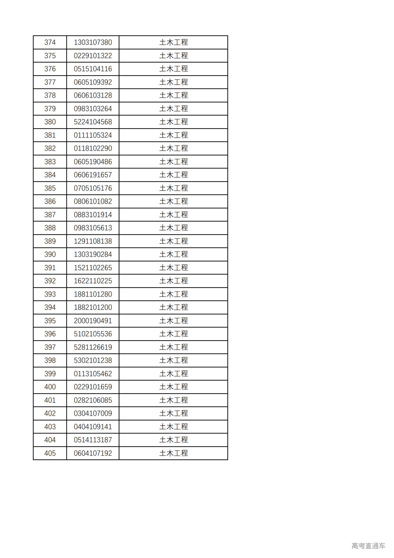
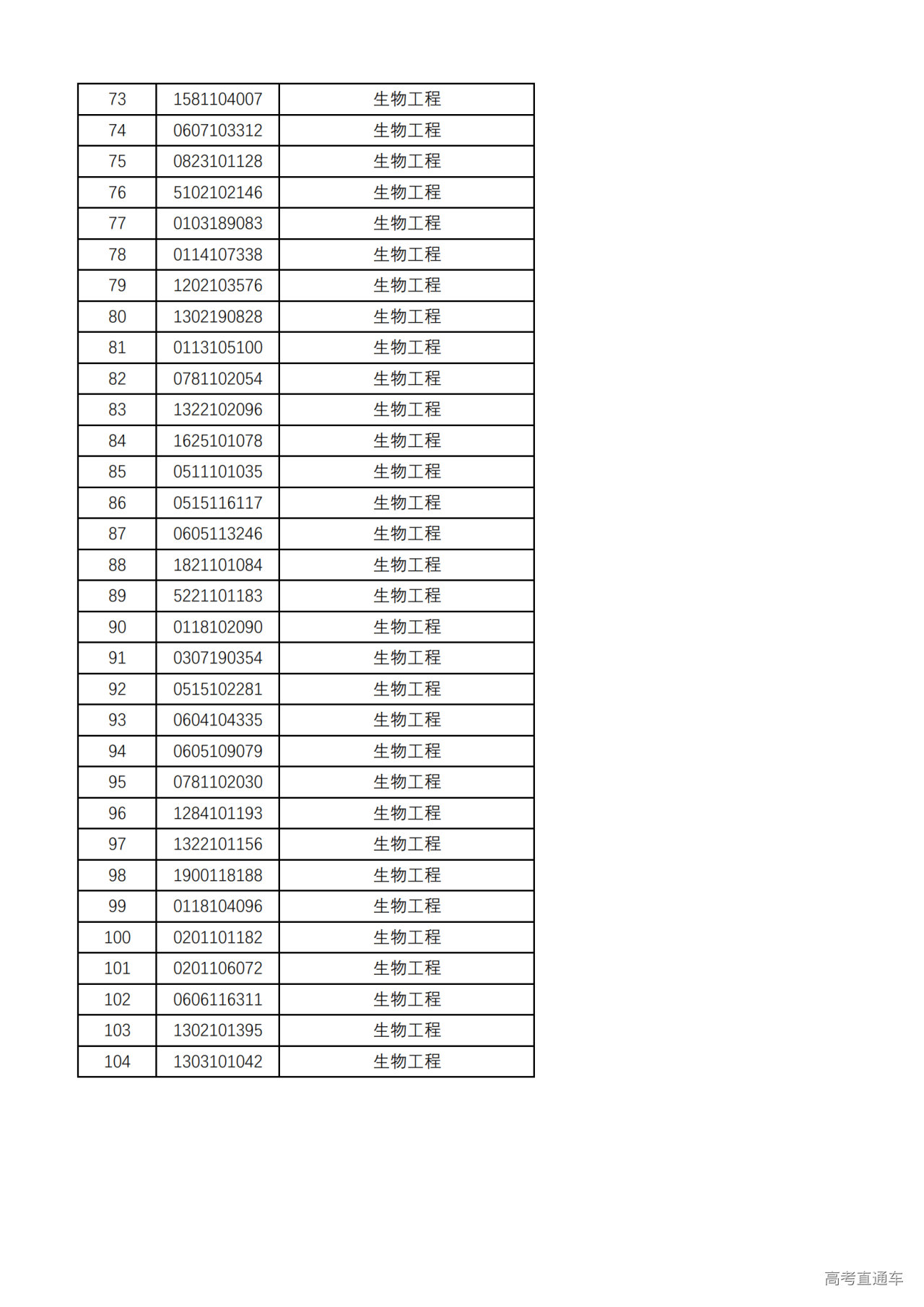
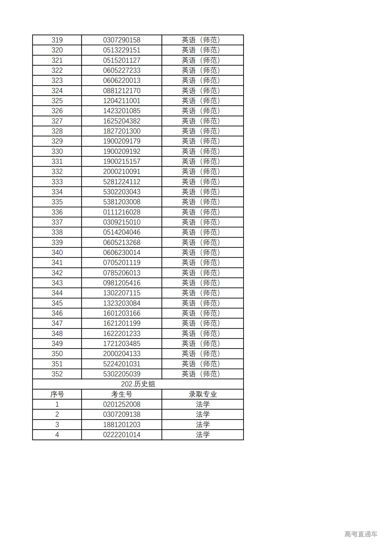
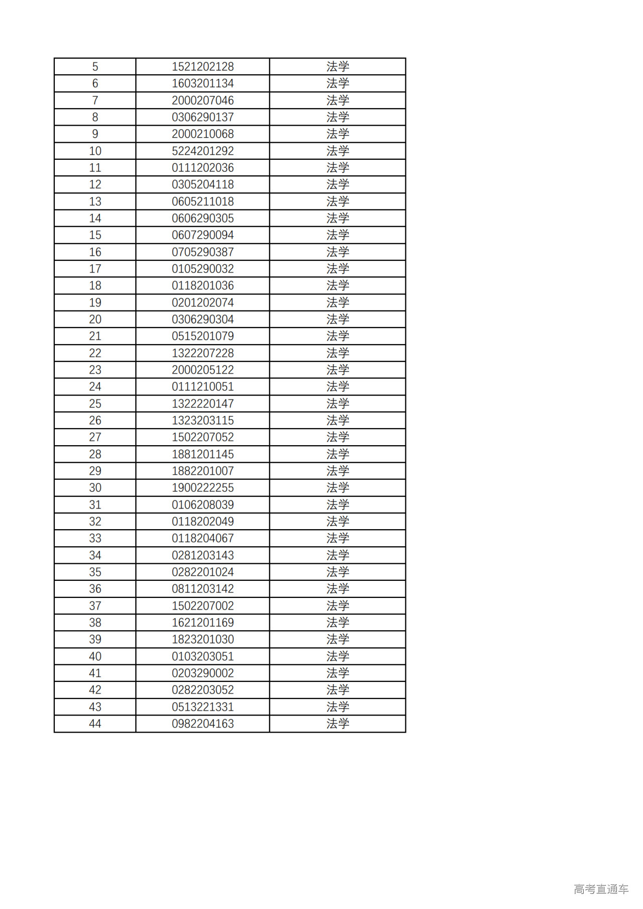
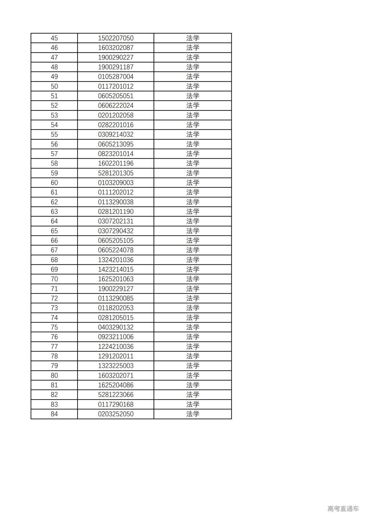
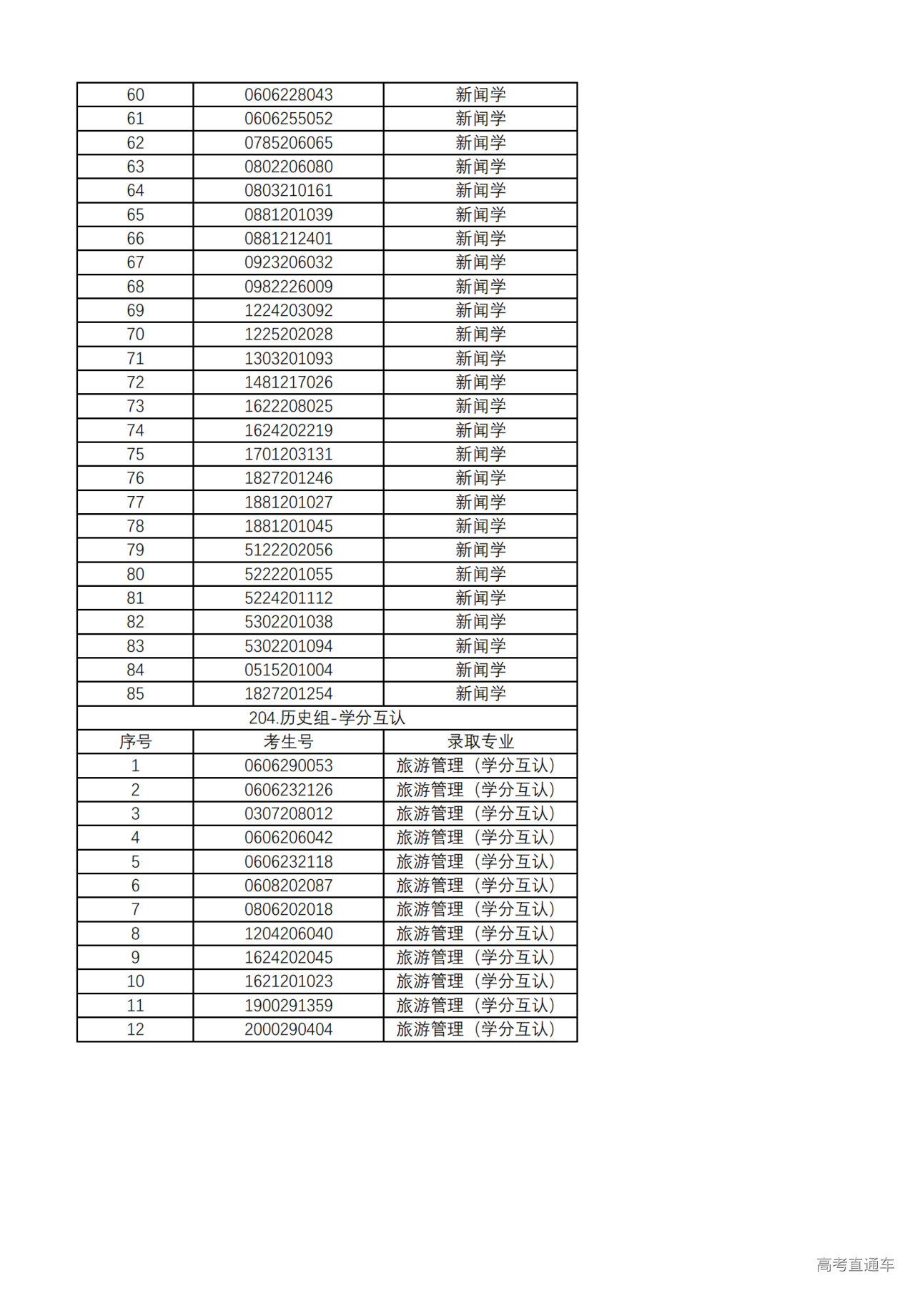
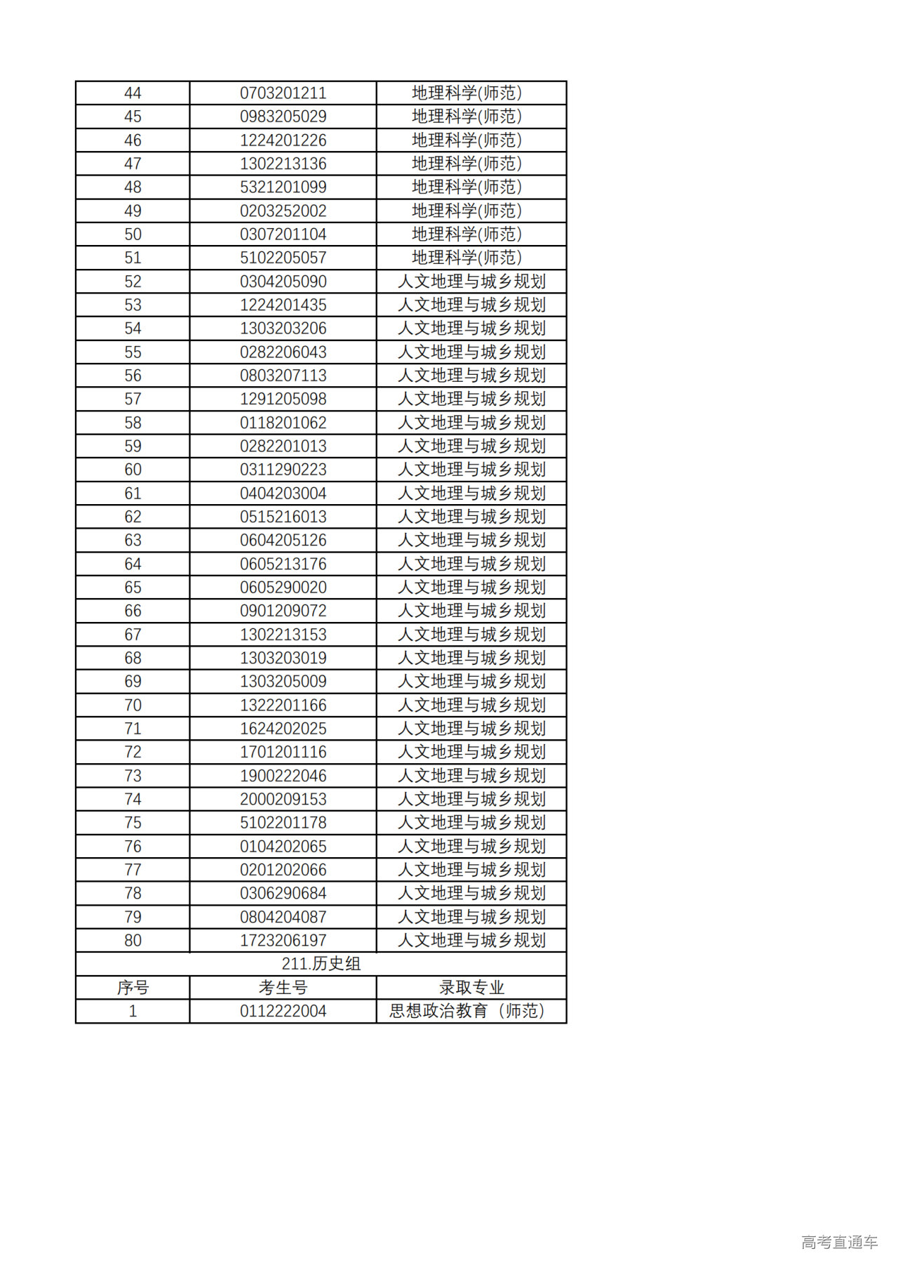
详细录取名单见附件,也可登录韶关学院招生信息网“录取查询”查询:http://zs.sgu.edu.cn/query/lq.aspx































































































































































































