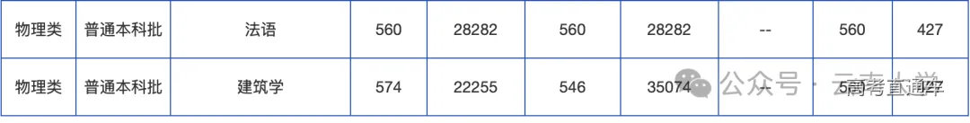
在这里,我们也为各位考生整理了一份2024年云南大学在各省区市普通本科批次招生录取分数排位表,供各位考生参考。
北京

天津



河北







山西





内蒙古





辽宁





吉林





黑龙江





山东




上海


江苏


浙江




安徽





福建





江西





湖北





河南






湖南







广东






广西







海南



重庆






四川







贵州





云南







天津




陕西







甘肃





青海




宁夏




新疆





在这里,我们也为各位考生整理了一份2024年云南大学在各省区市普通本科批次招生录取分数排位表,供各位考生参考。
北京
天津
河北
山西
内蒙古
辽宁
吉林
黑龙江
山东
上海
江苏
浙江
安徽
福建
江西
湖北
河南
湖南
广东
广西
海南
重庆
四川
贵州
云南
天津
陕西
甘肃
青海
宁夏
新疆
哇哦!快加入高考直通车APP,发现更多精彩内容,与学霸一起交流学习吧!