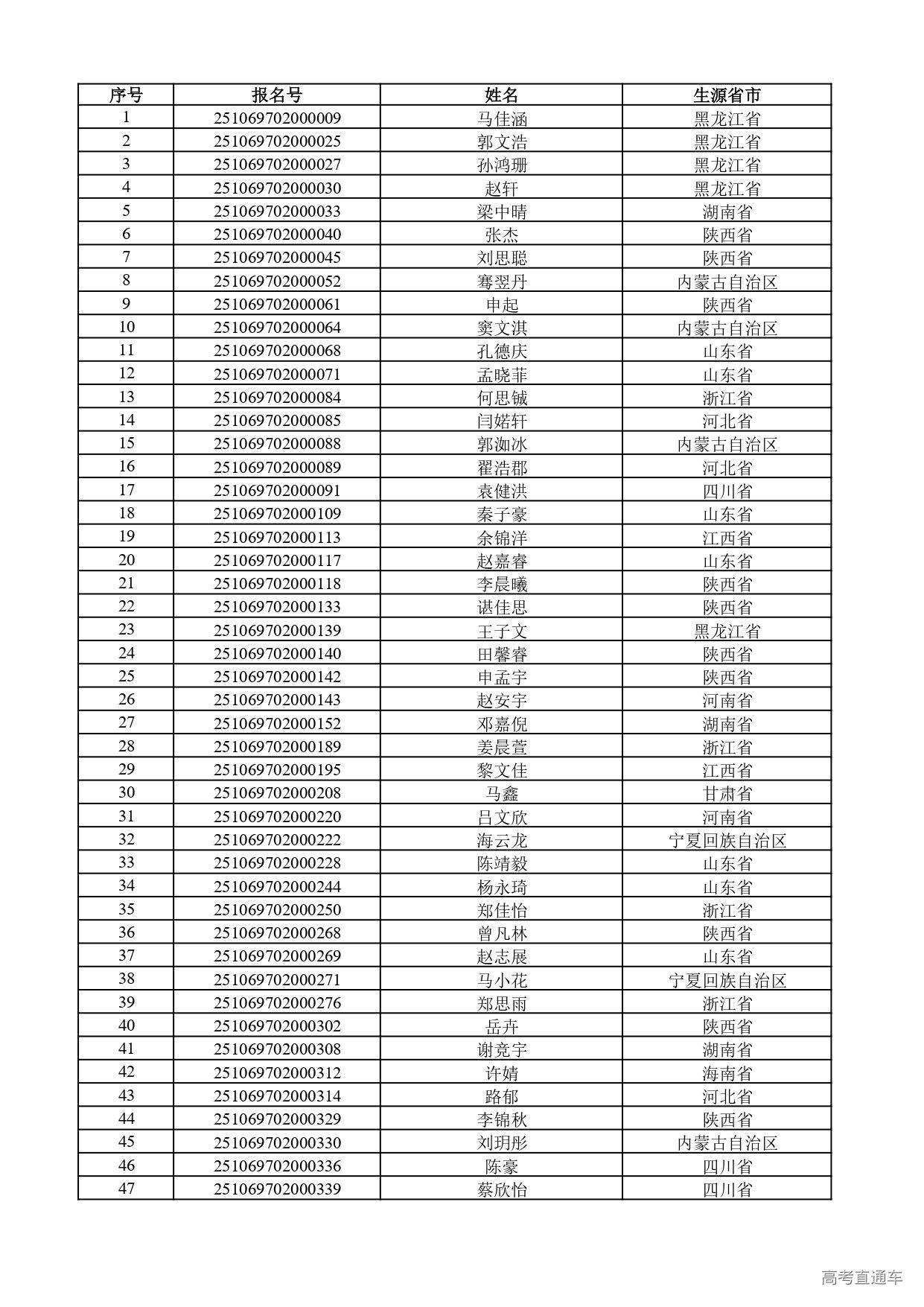
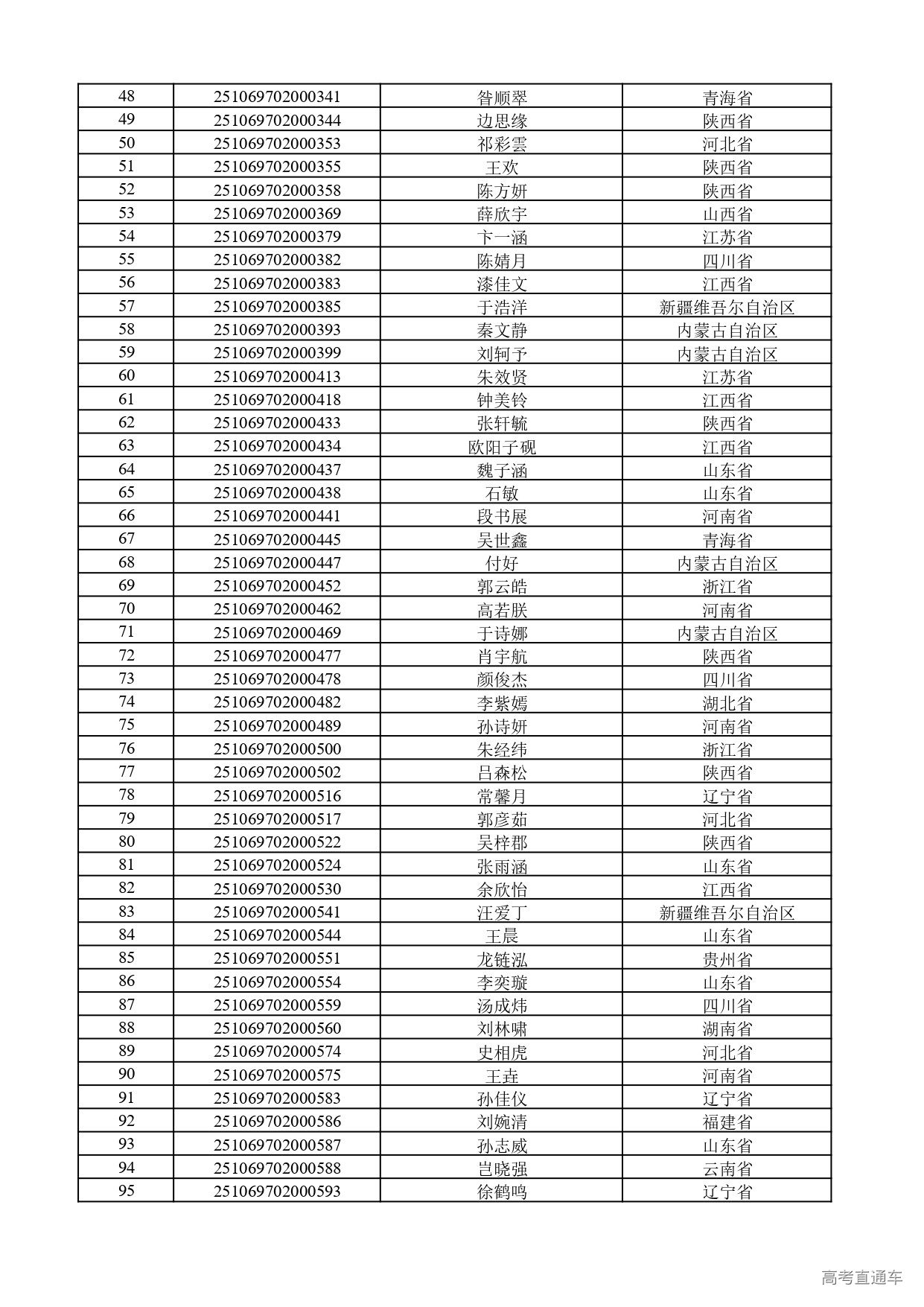
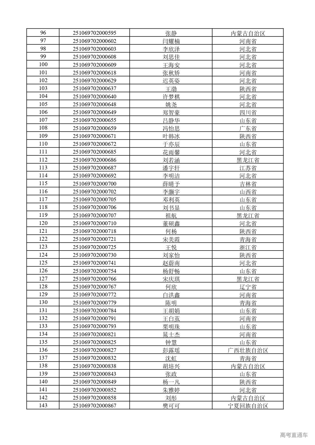
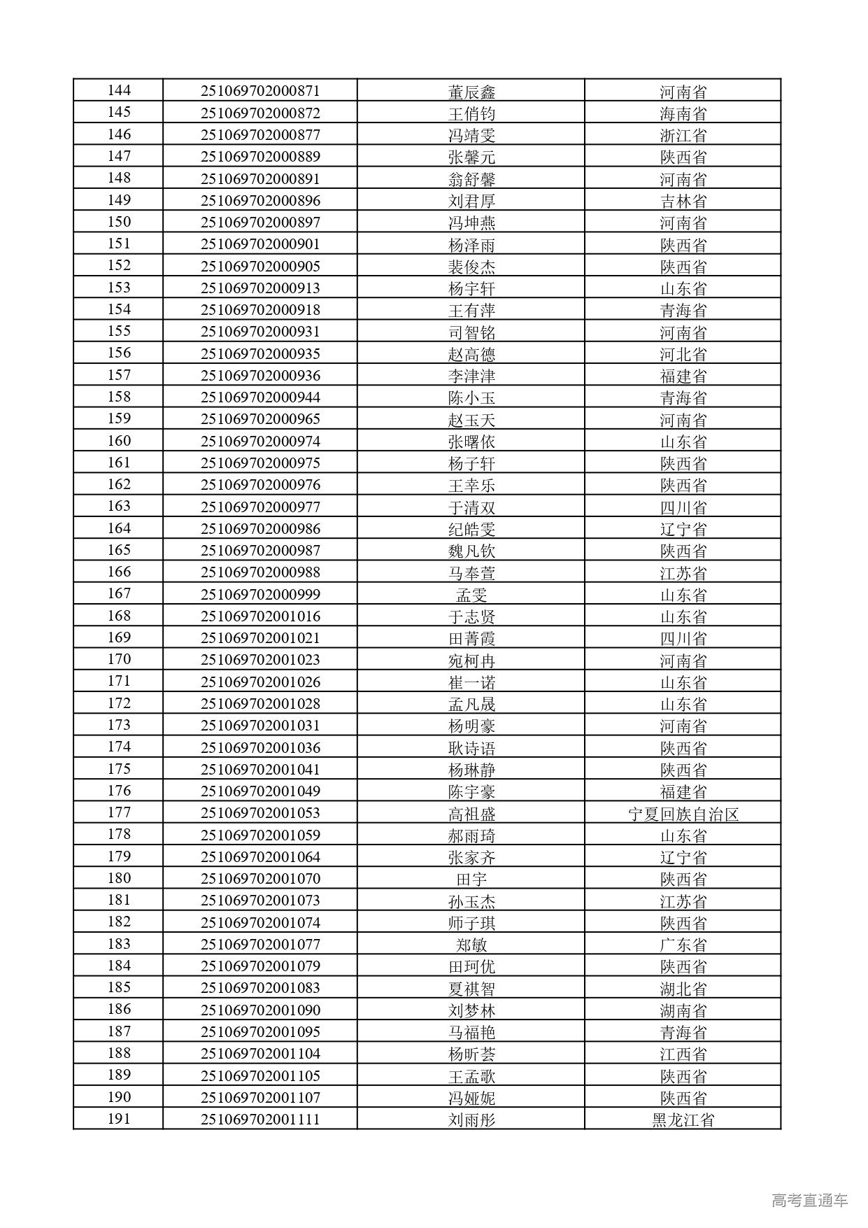
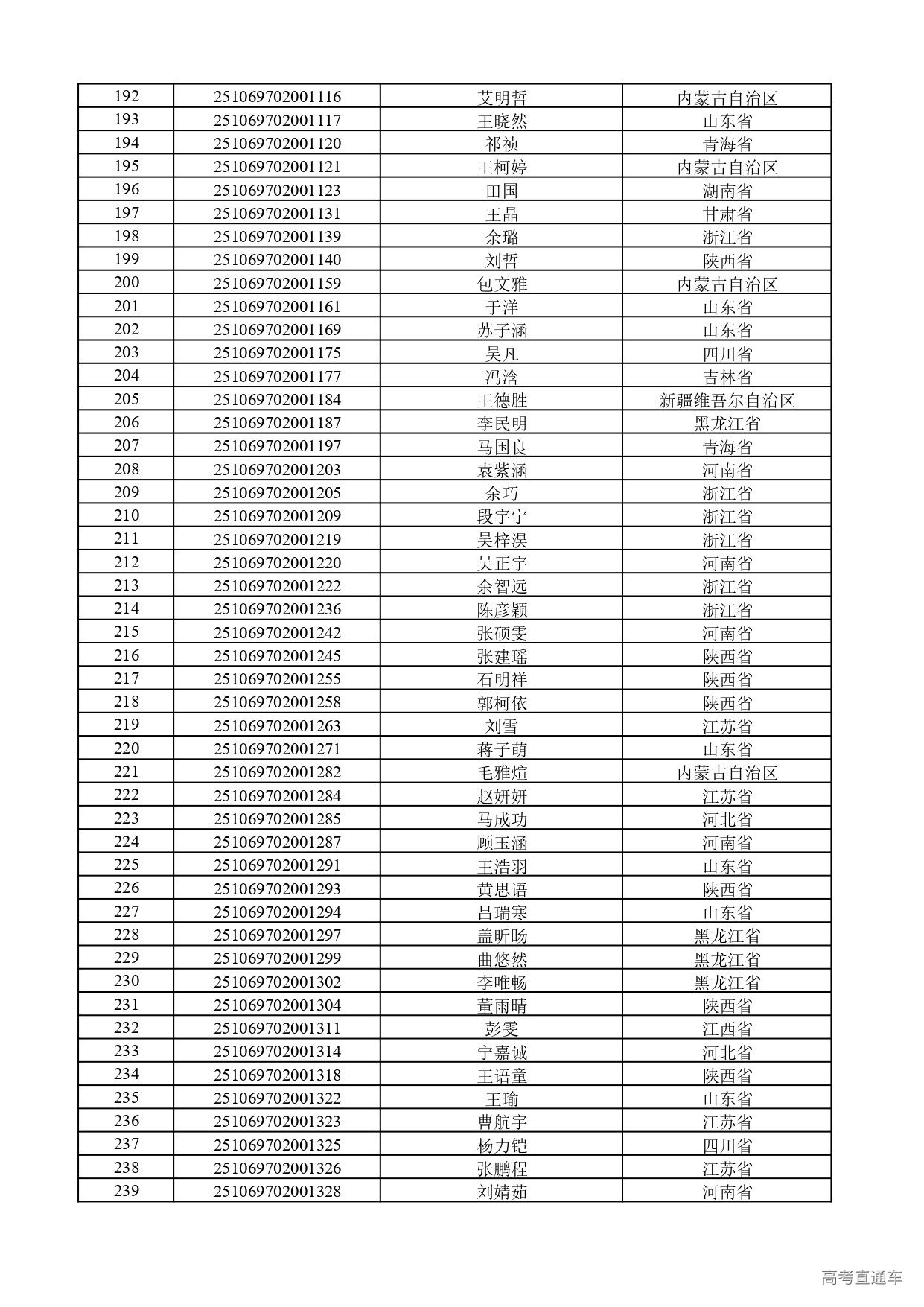
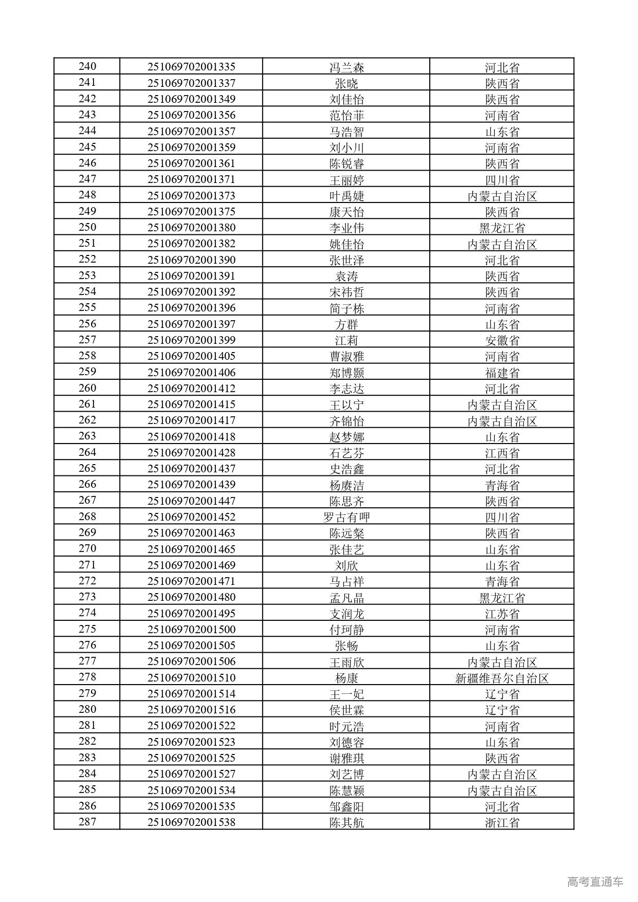
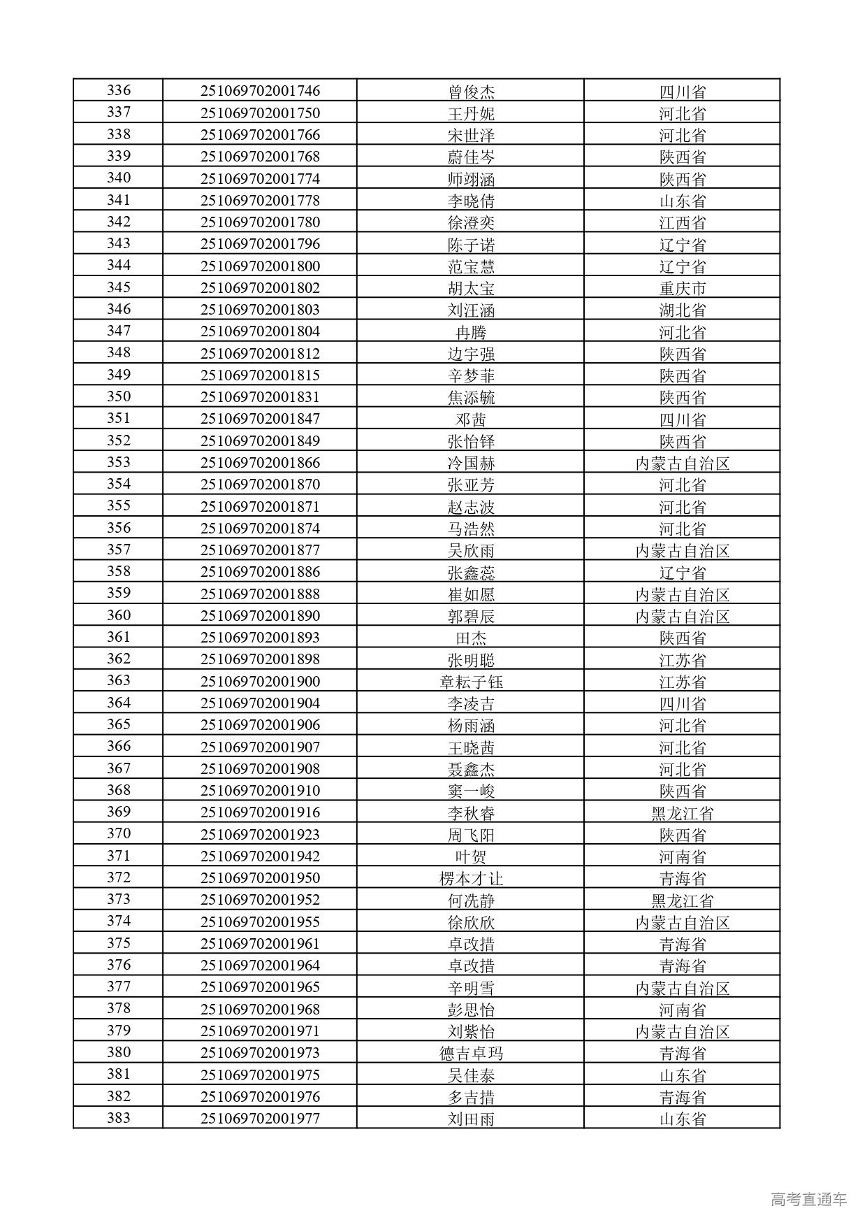
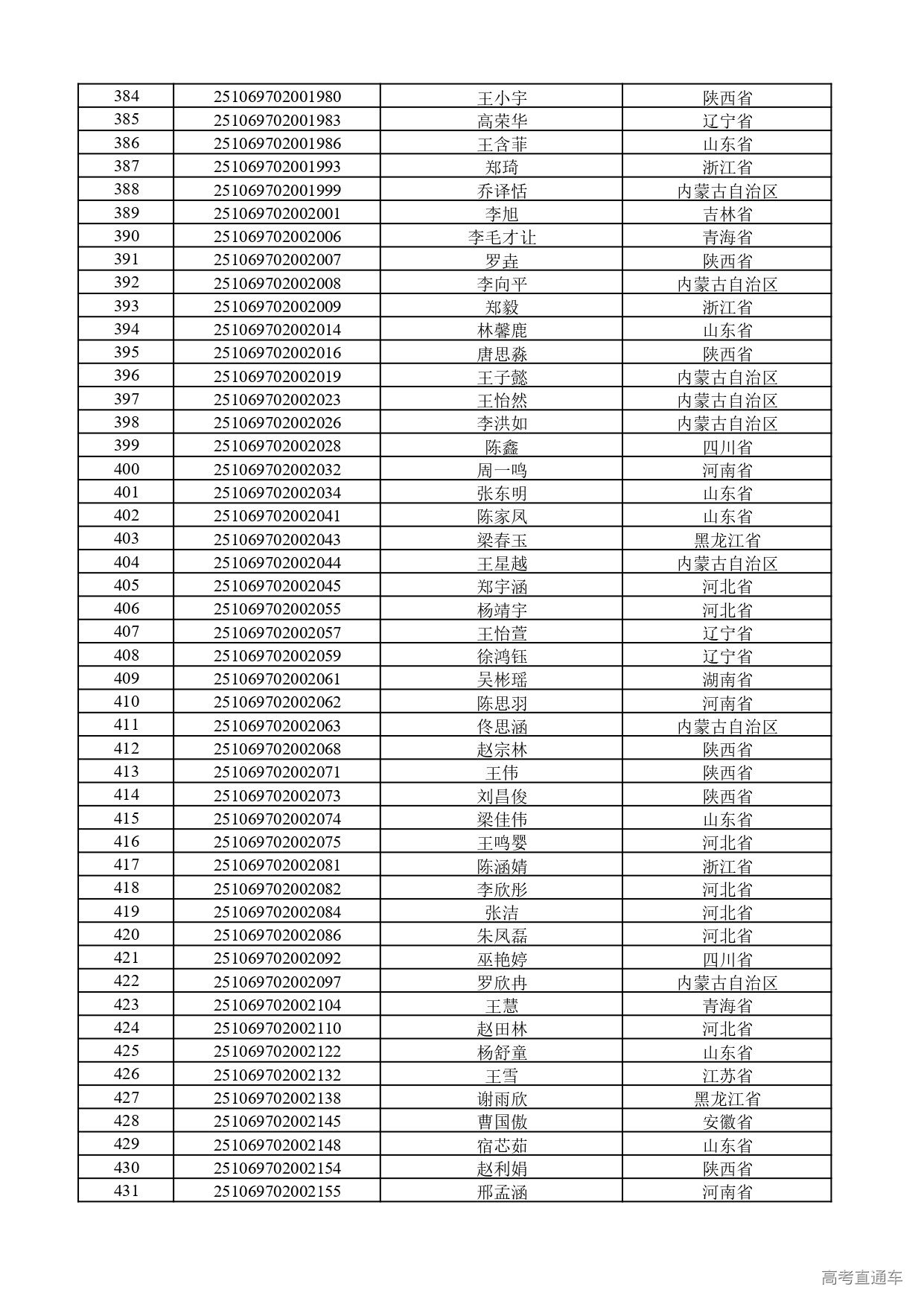
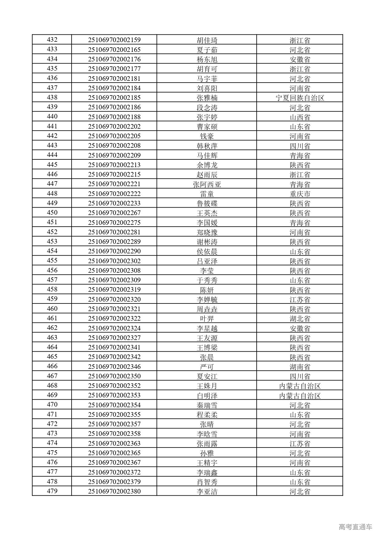
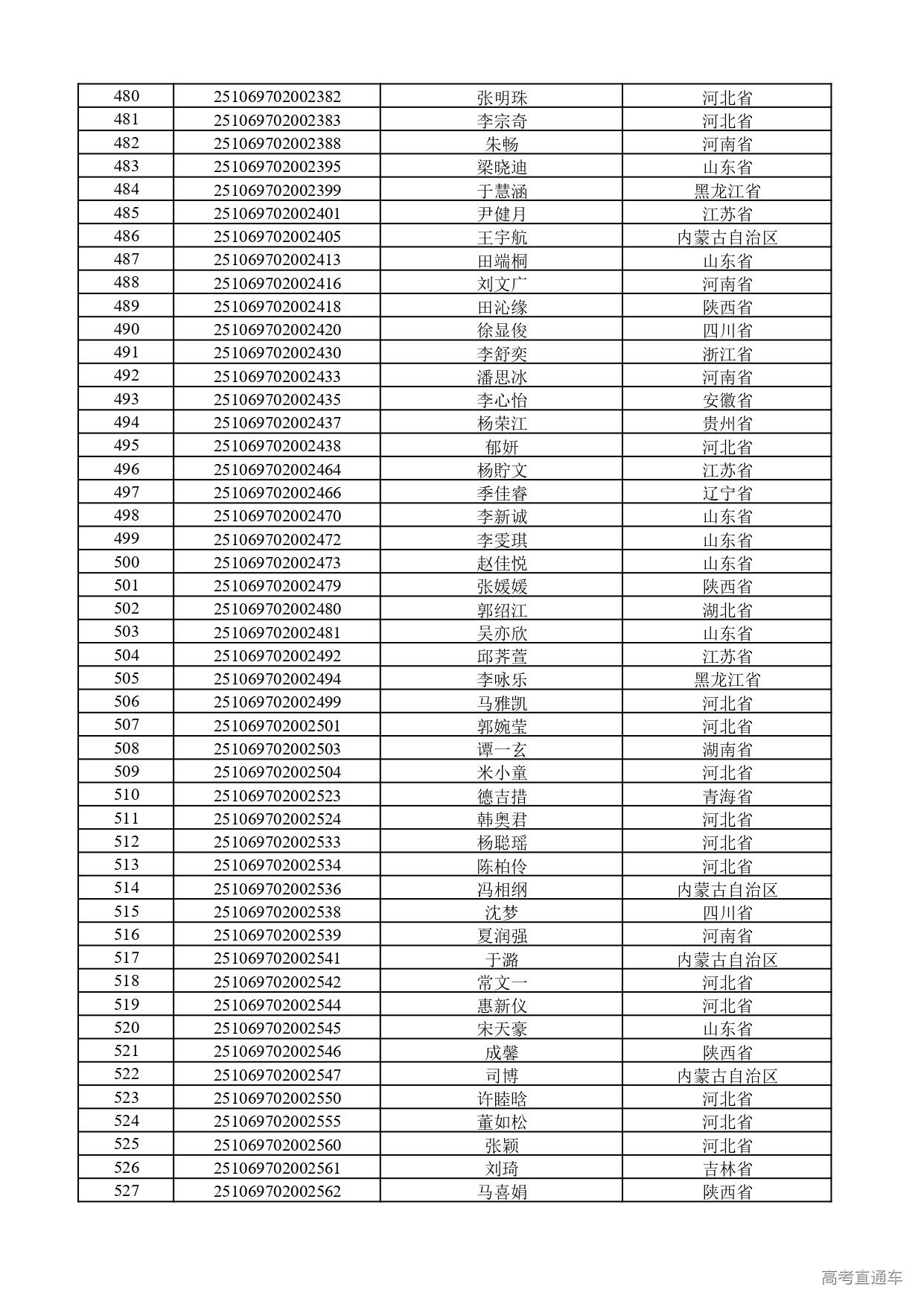
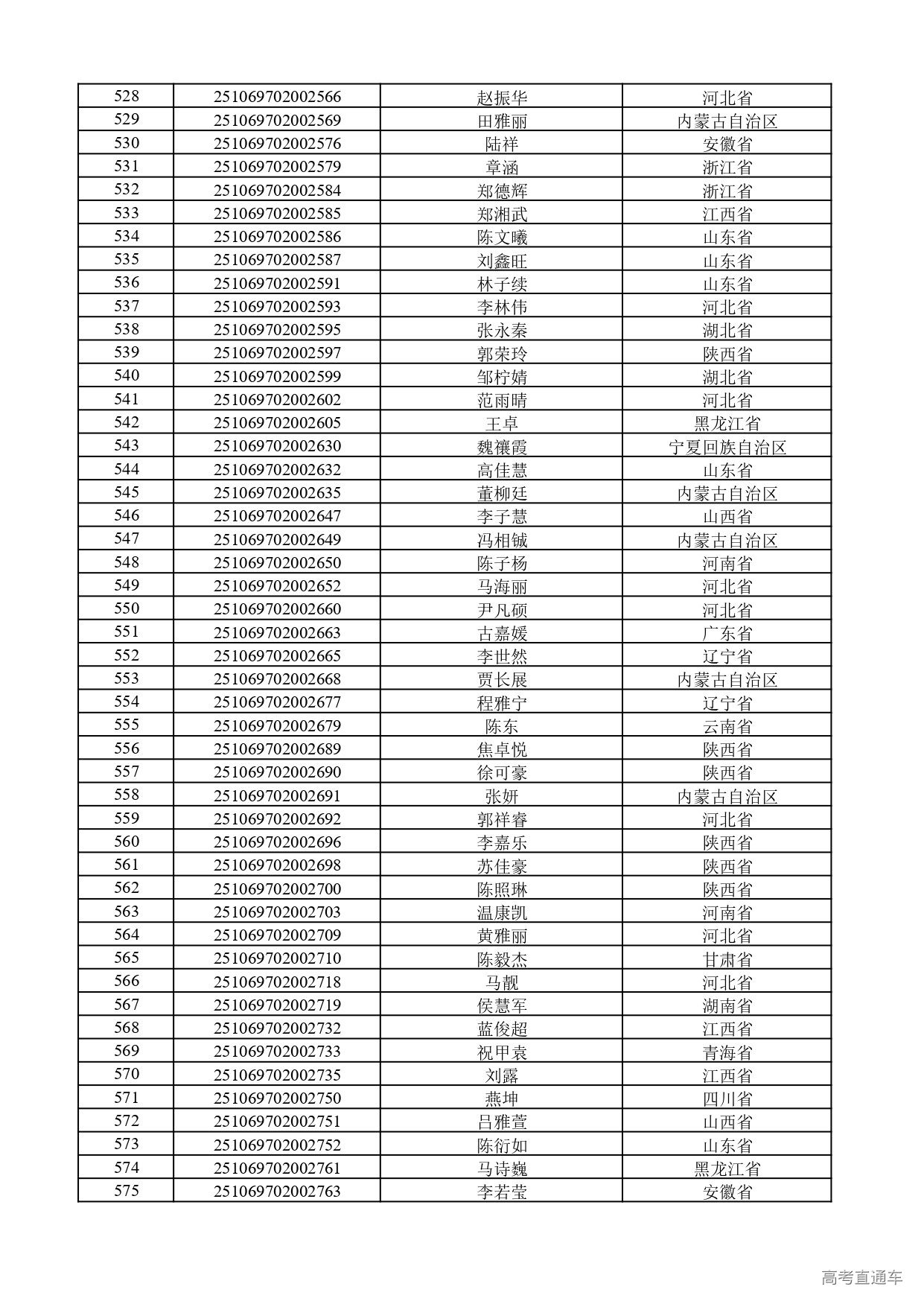
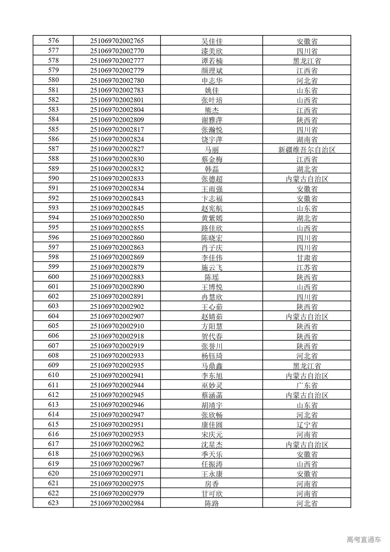
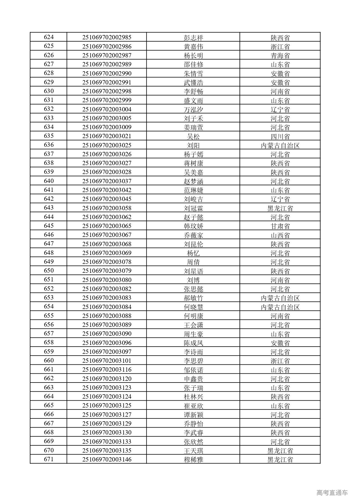
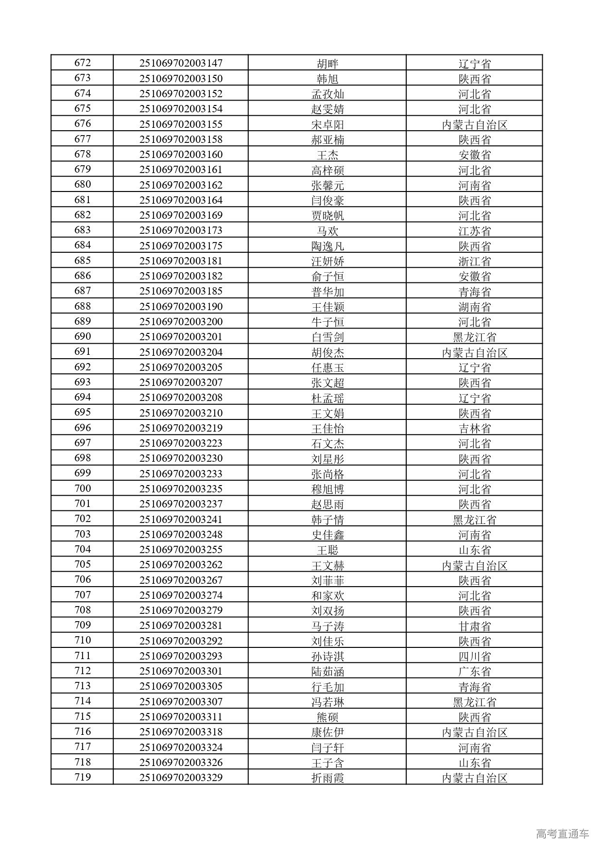
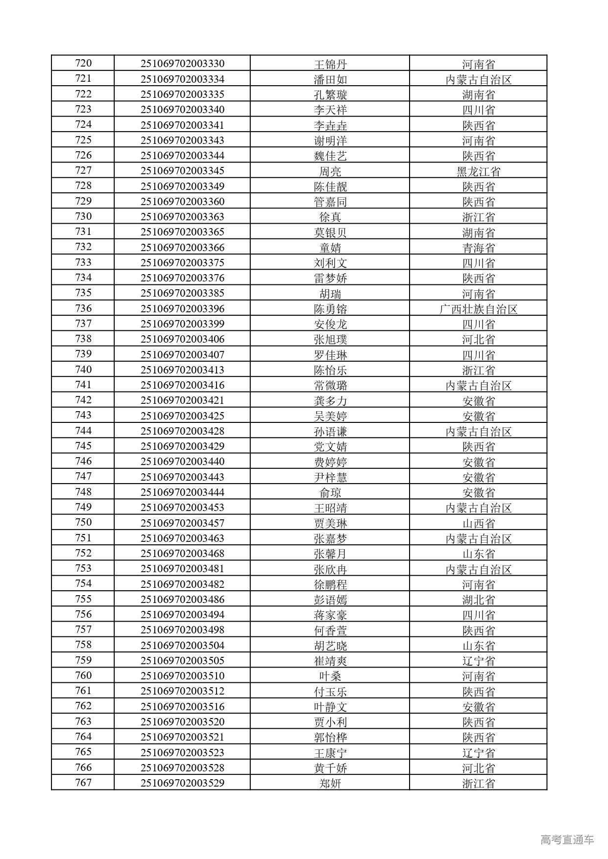
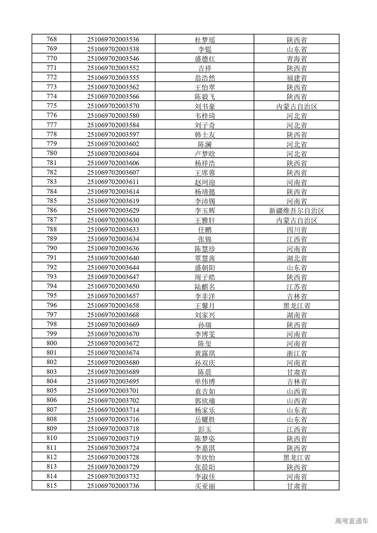
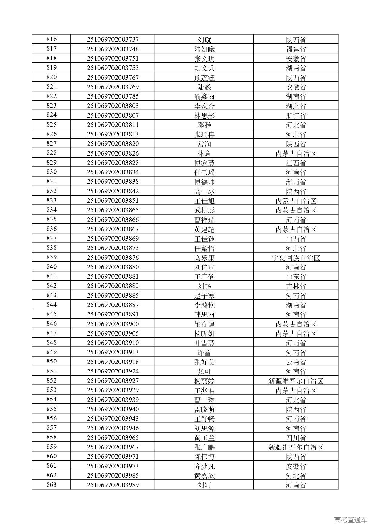
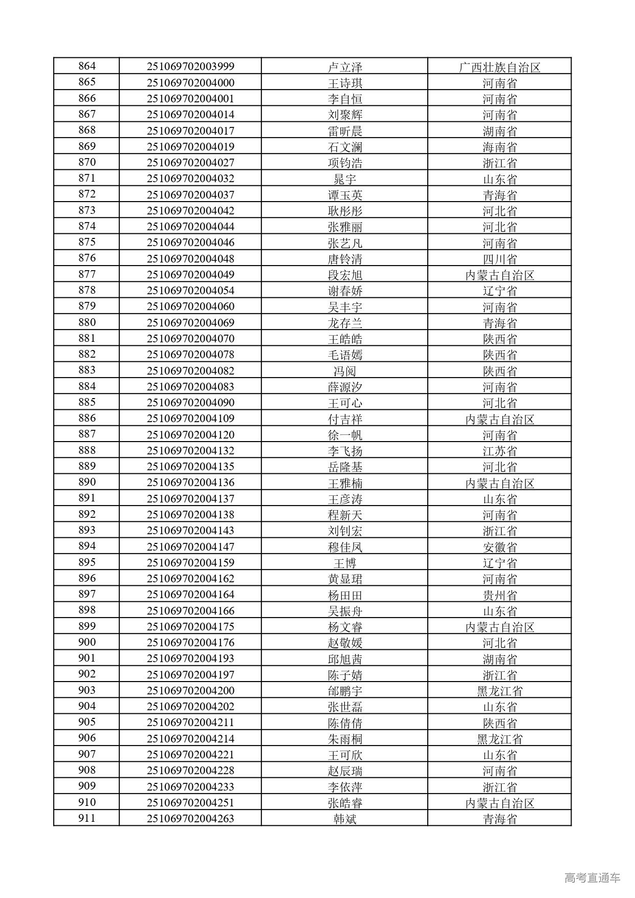
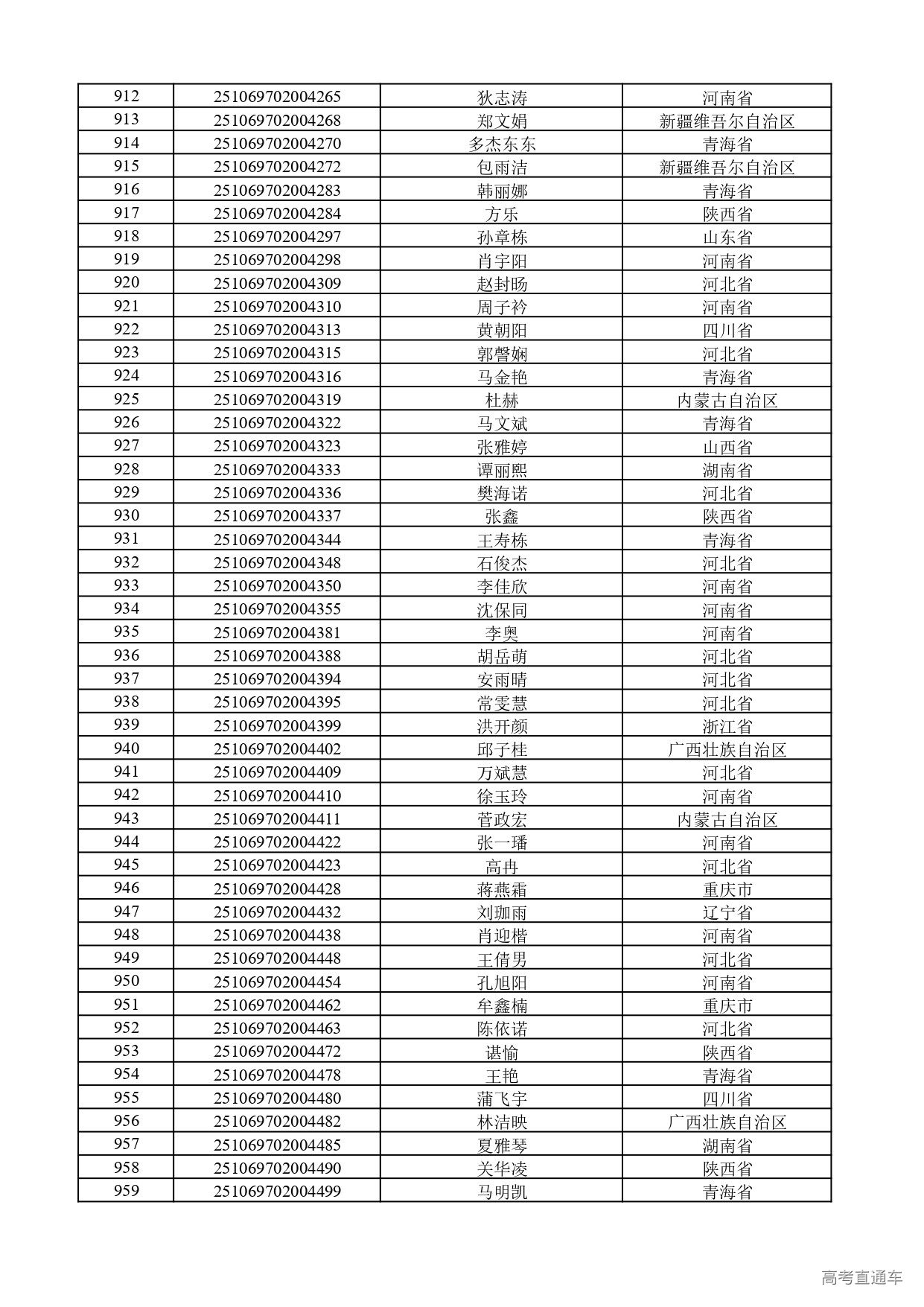
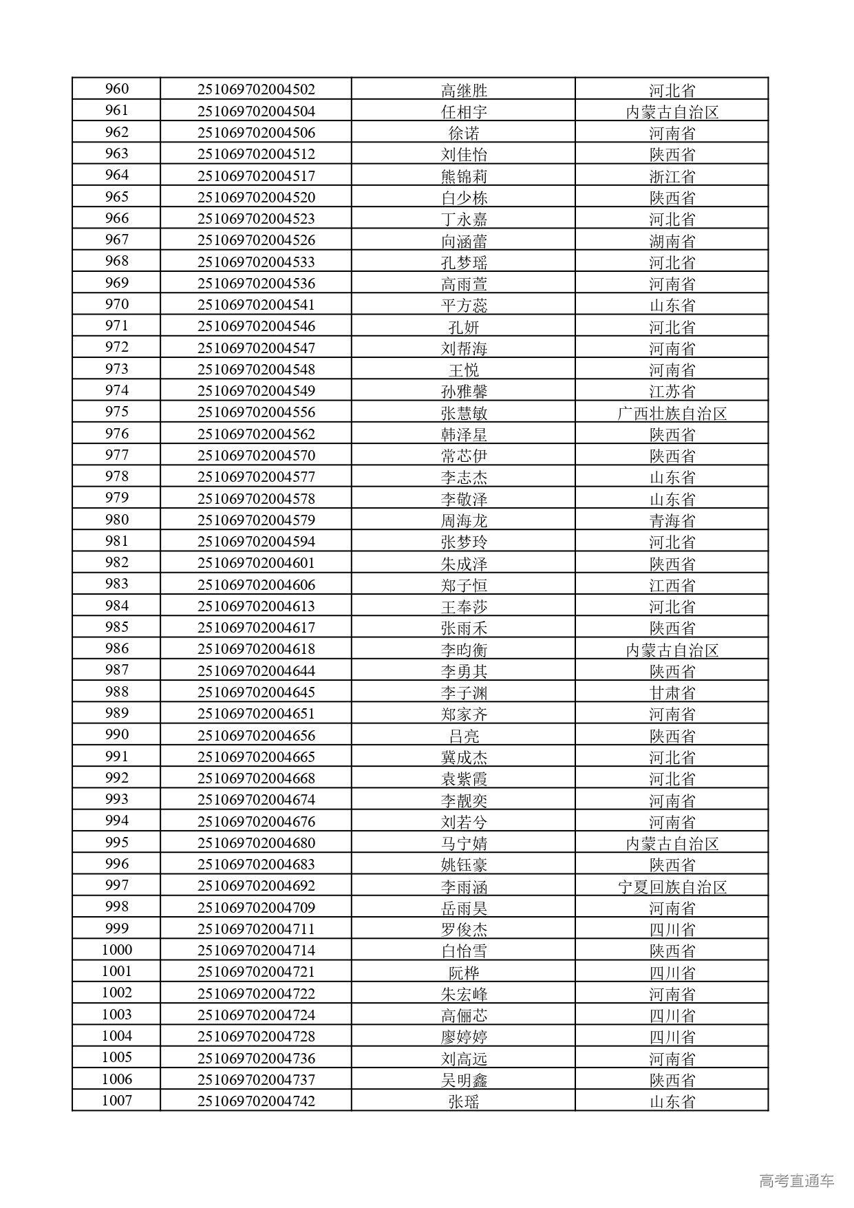
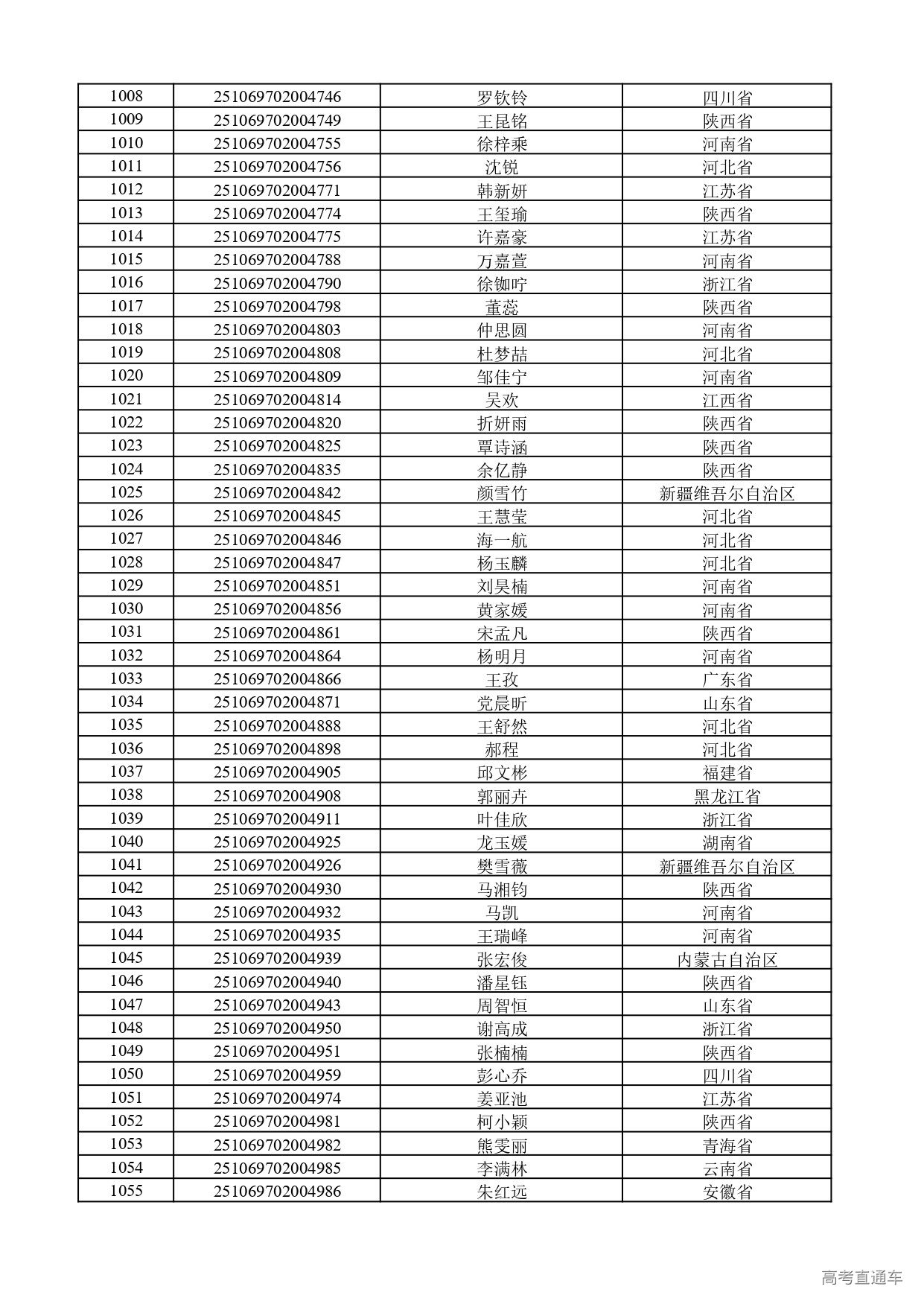
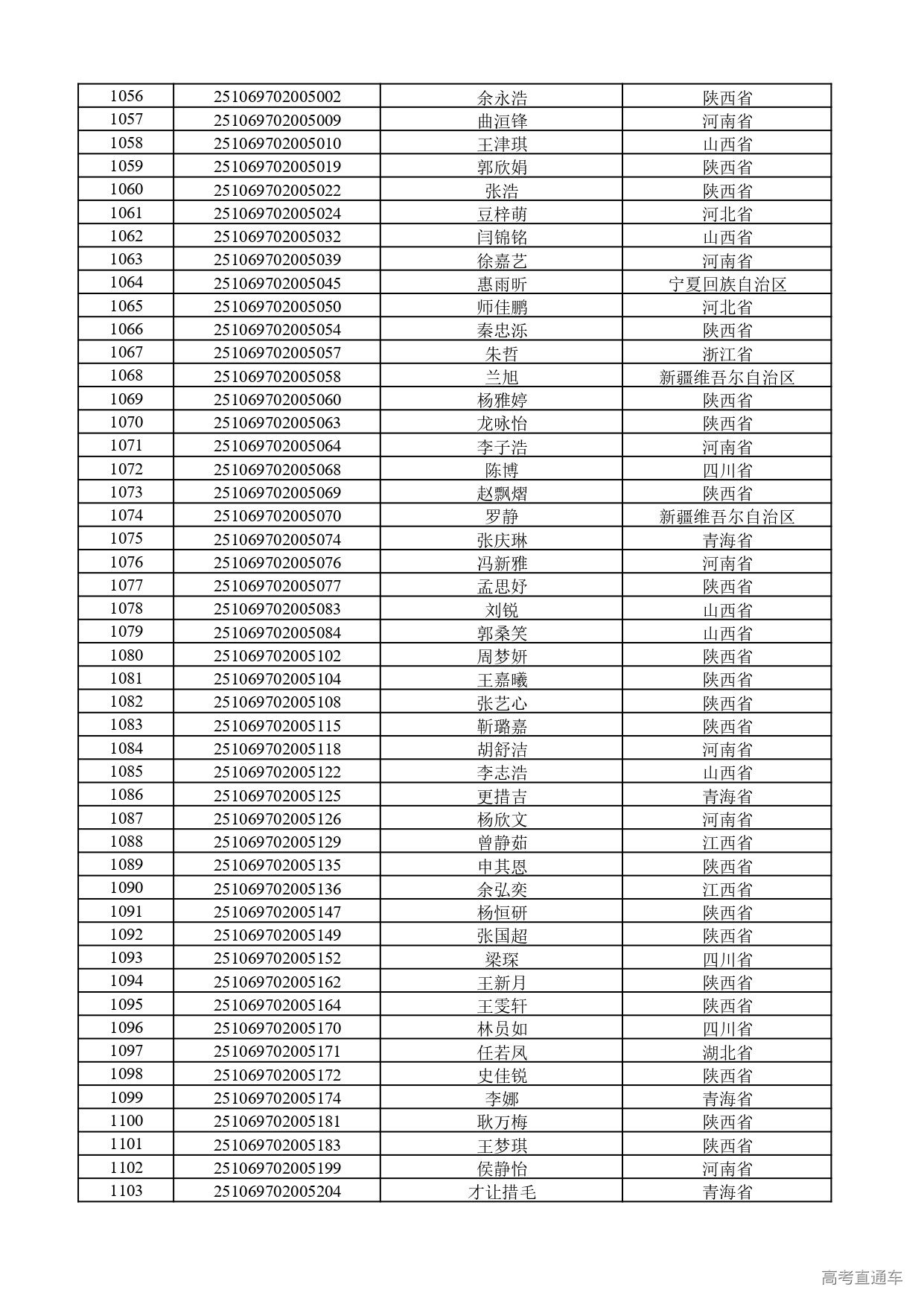
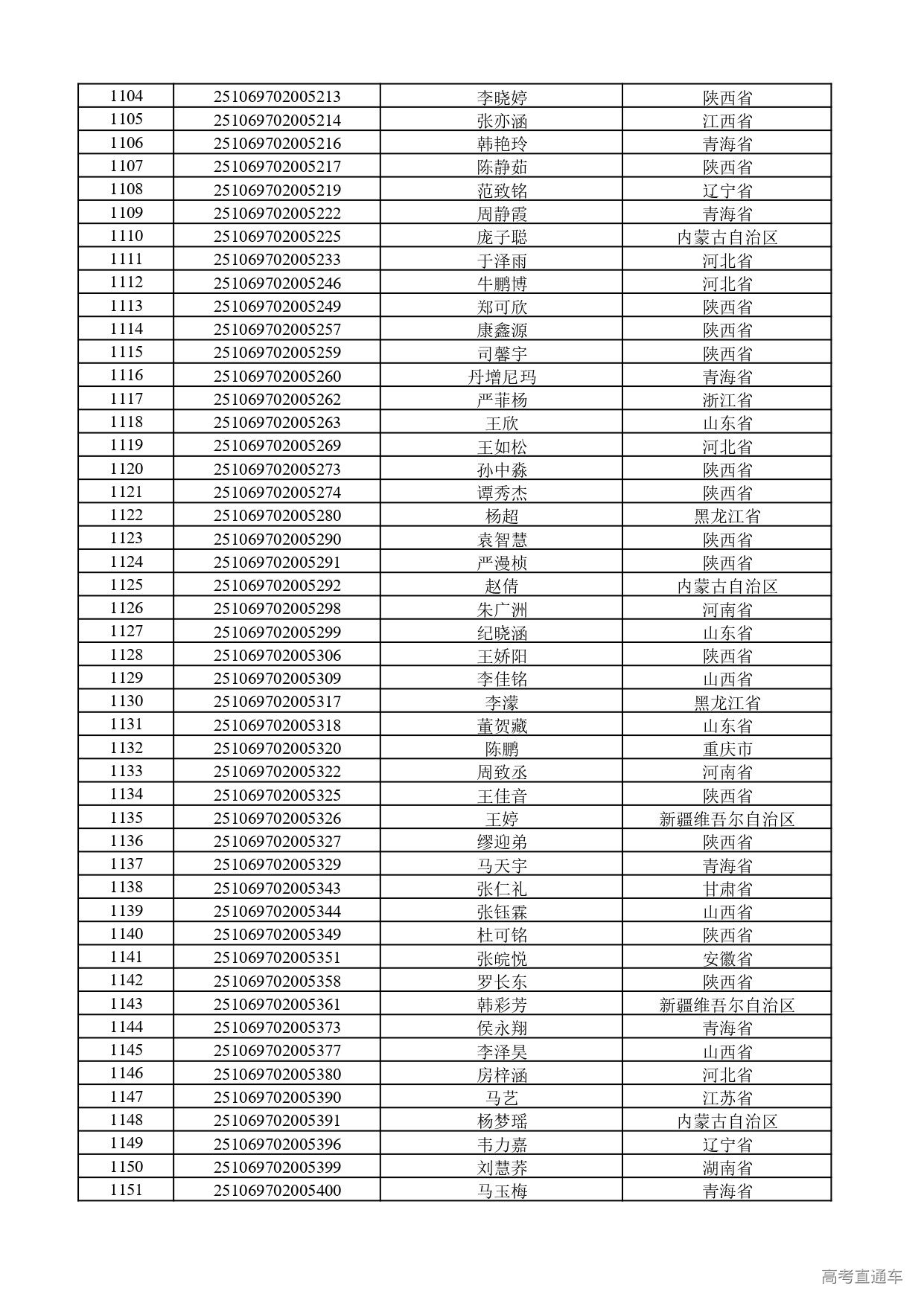
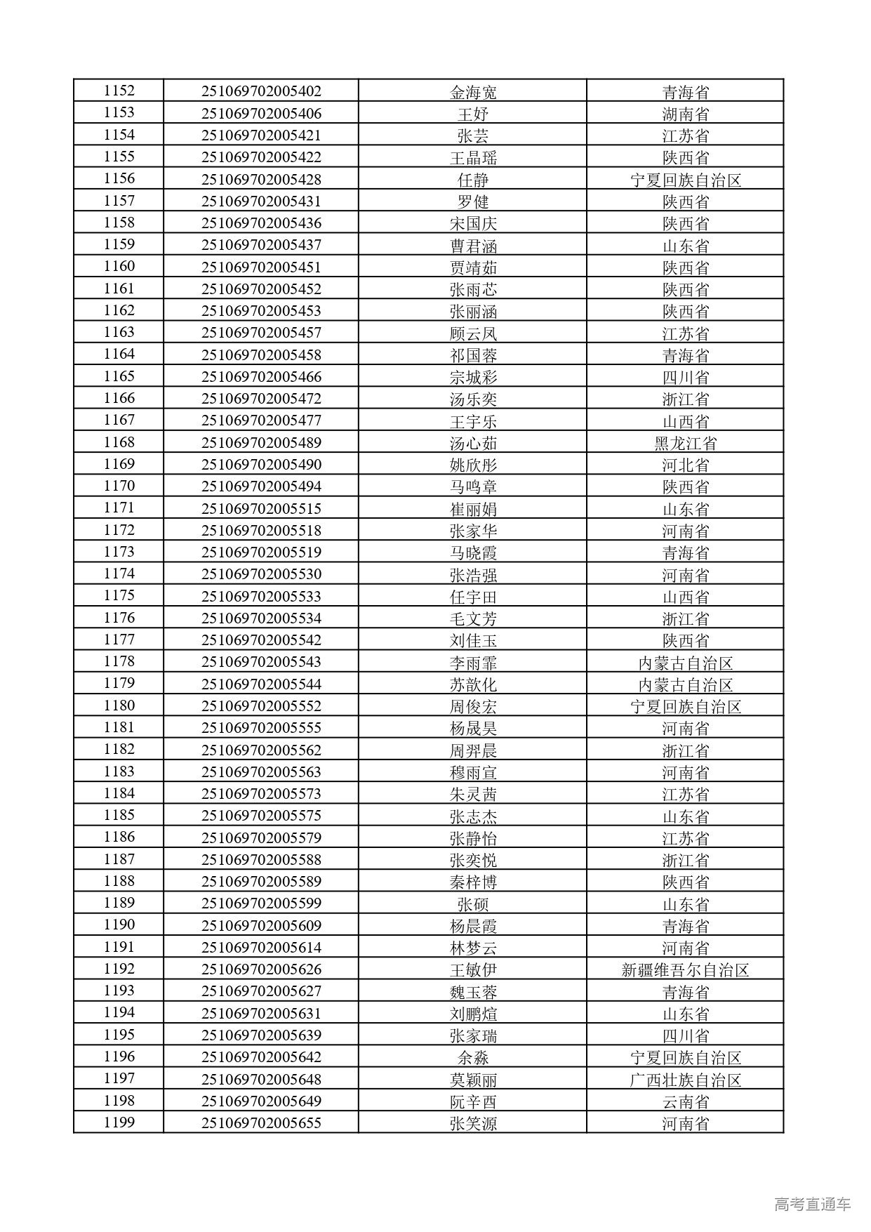
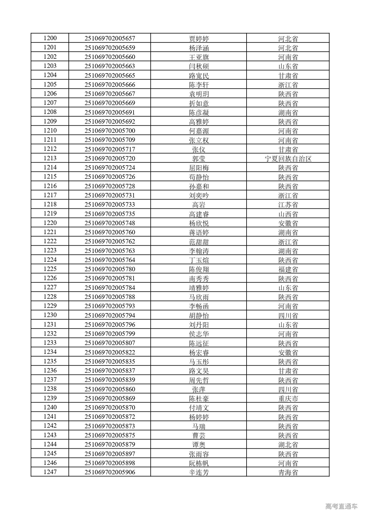
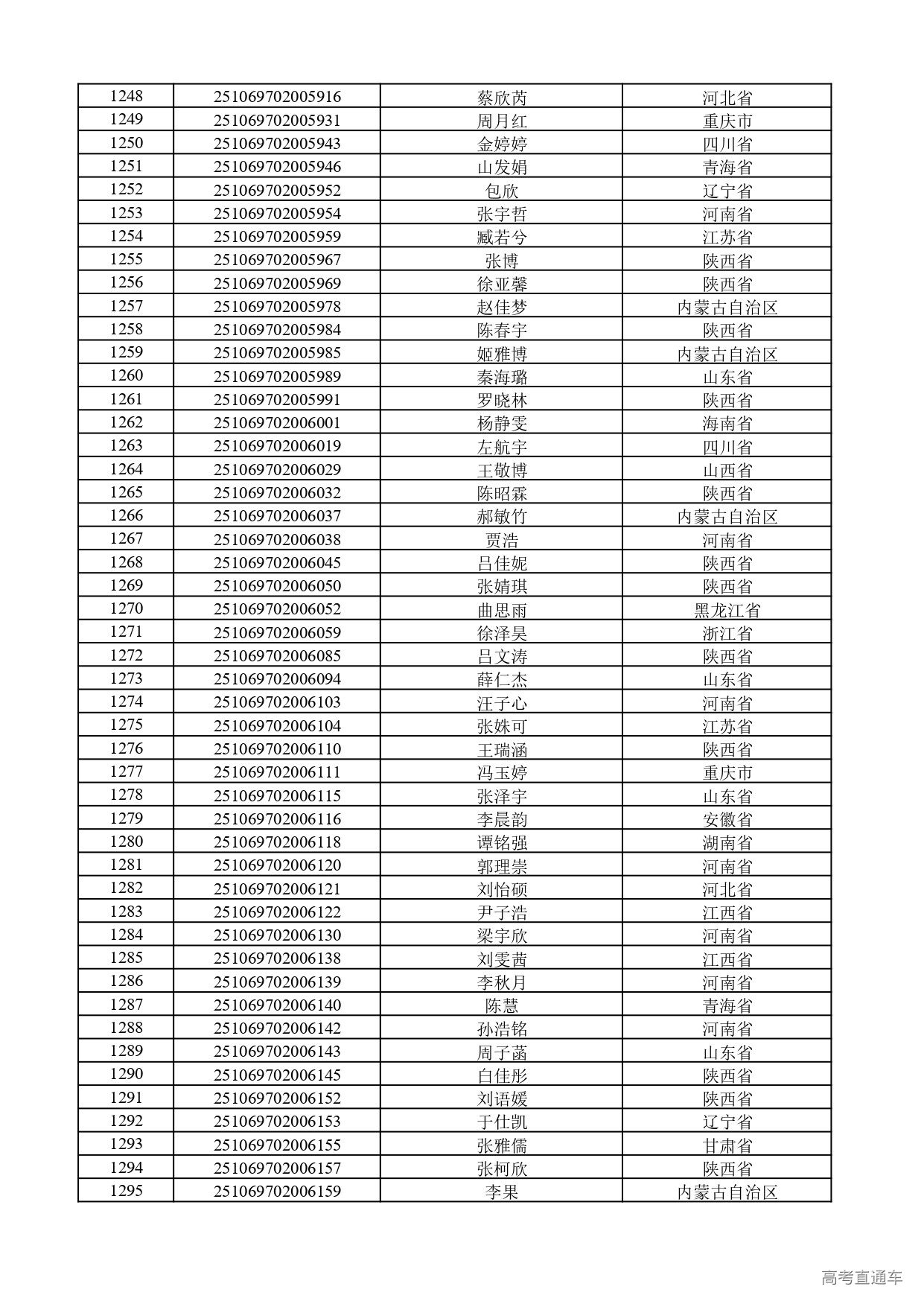
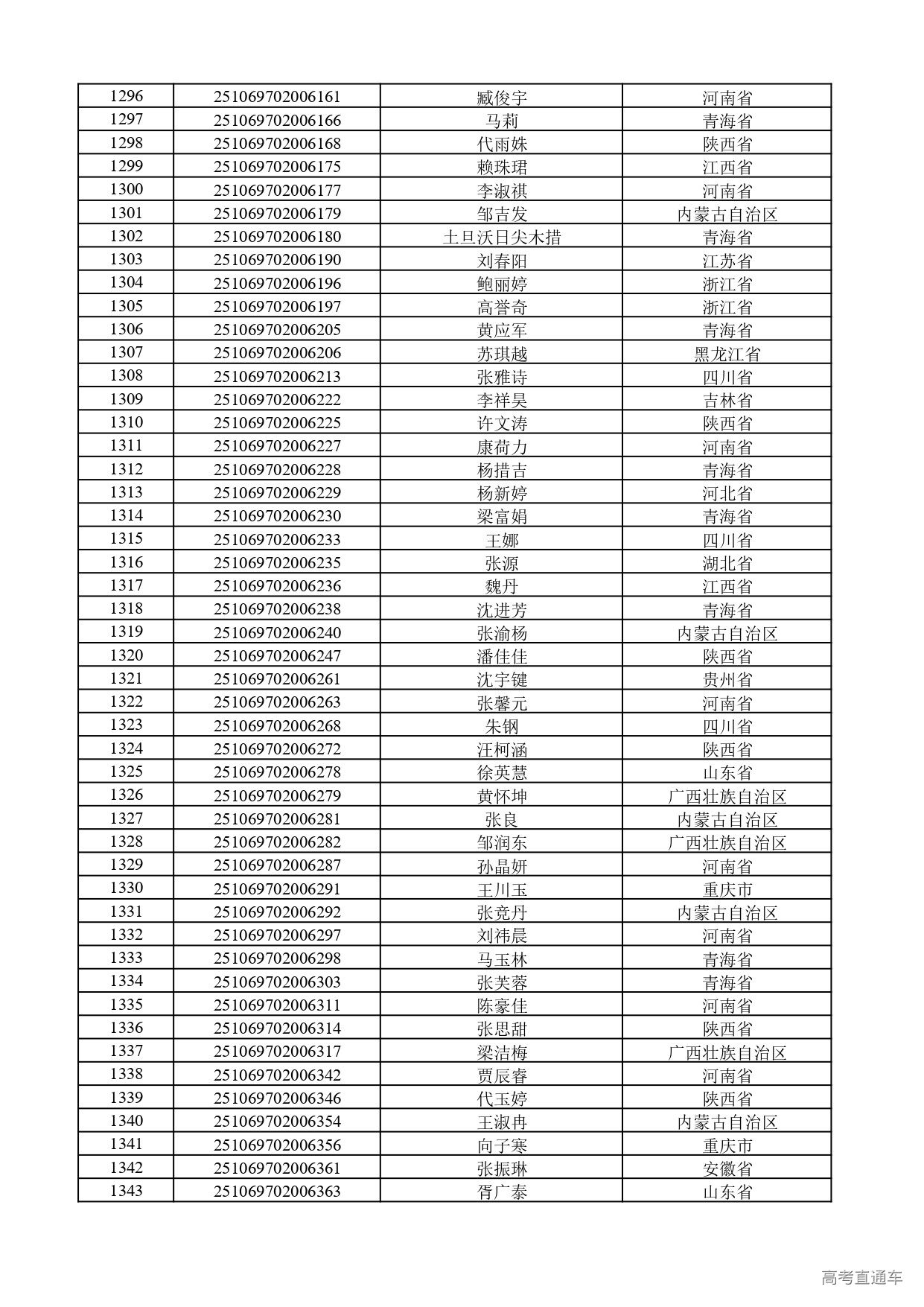
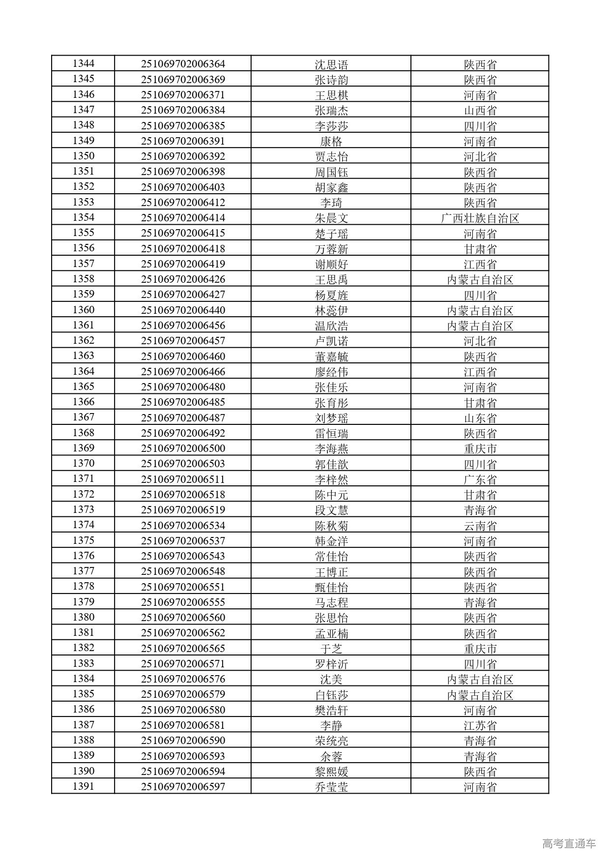
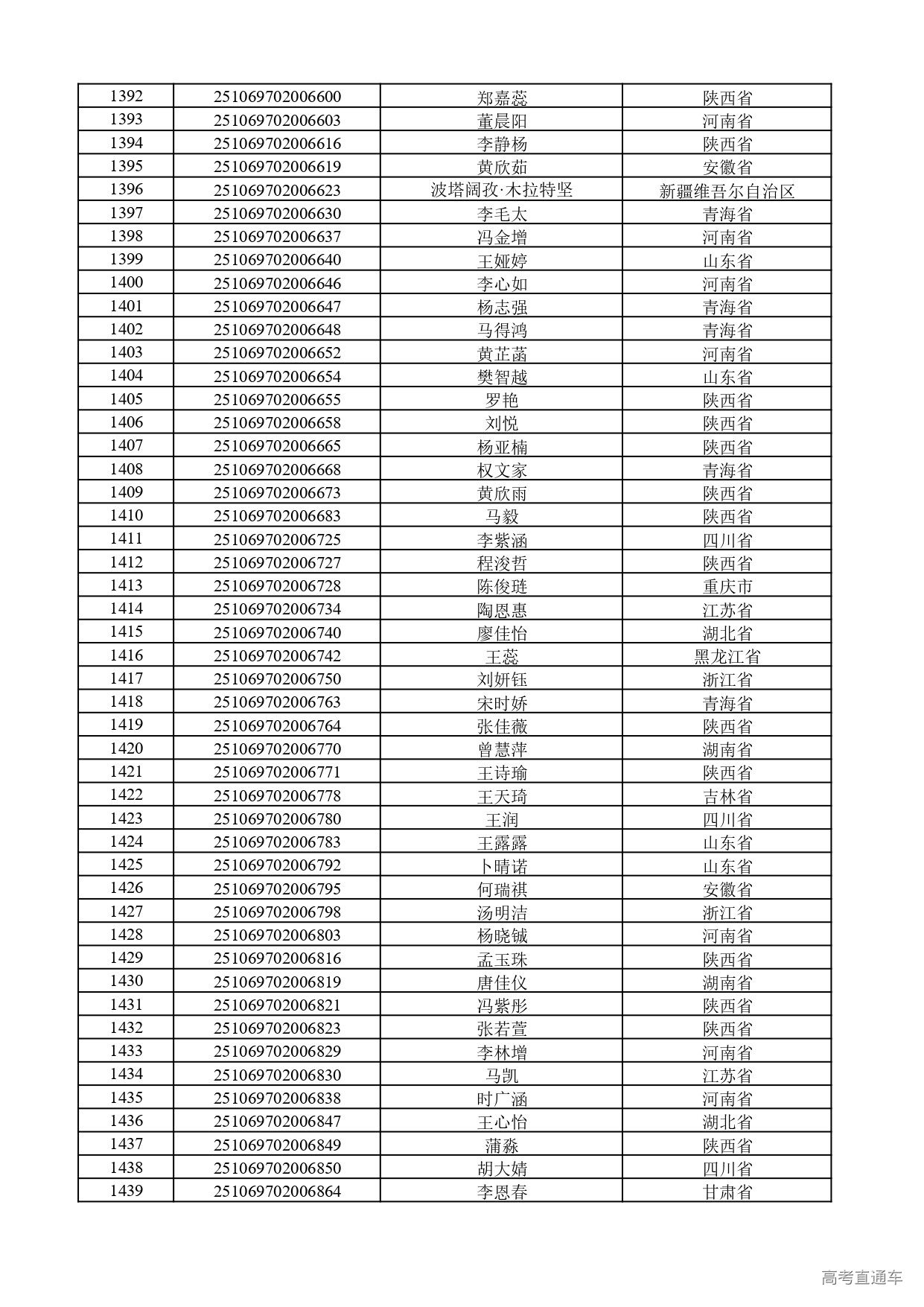
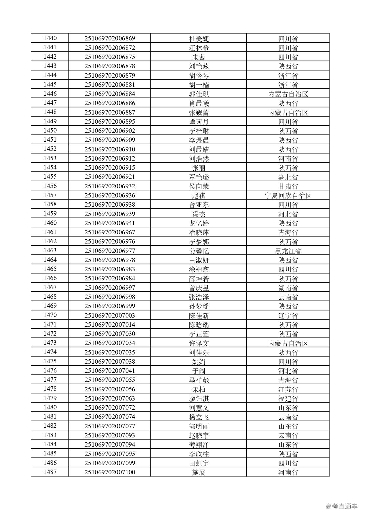
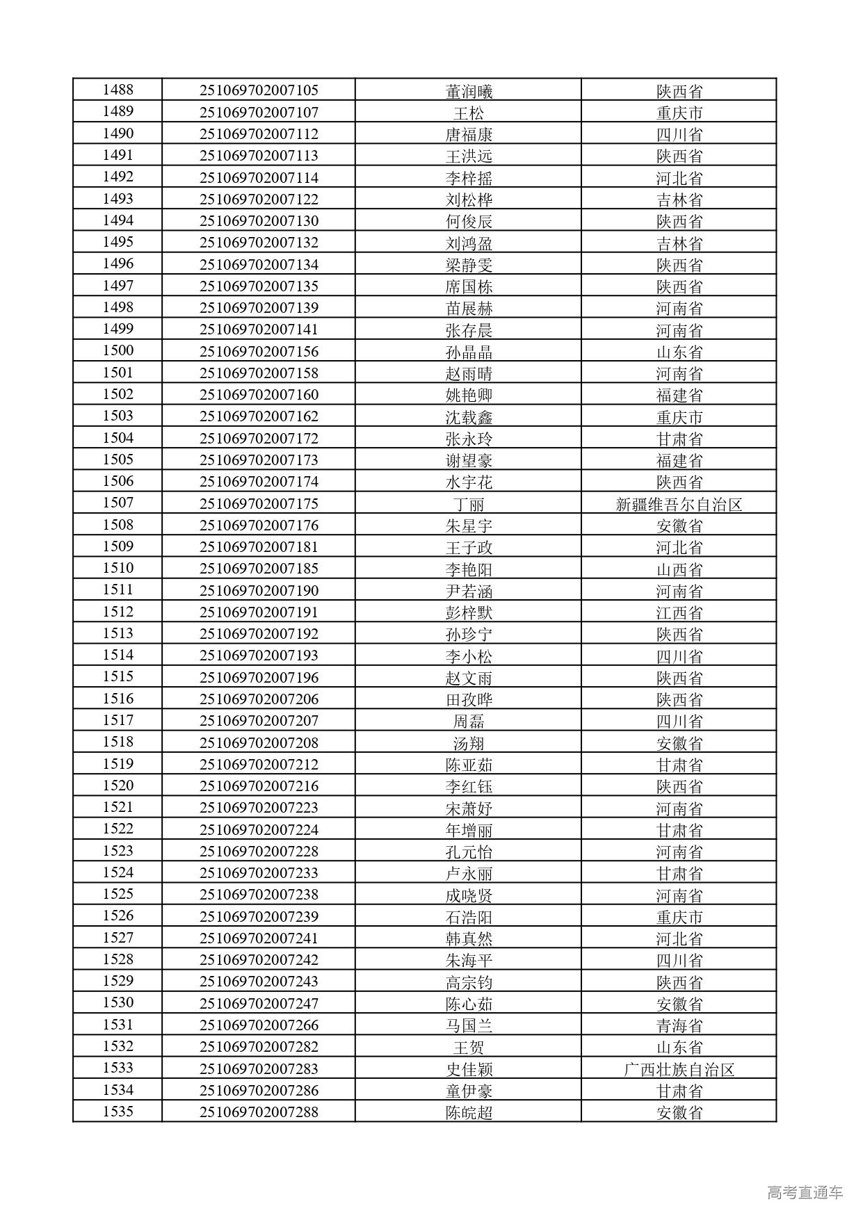
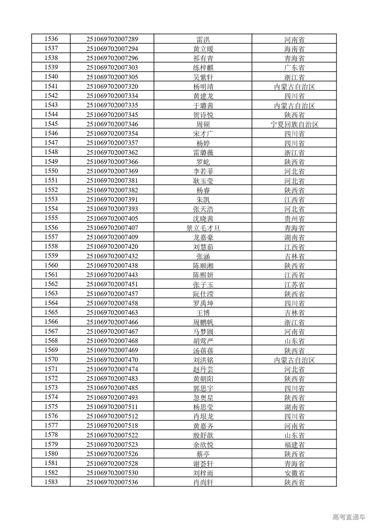
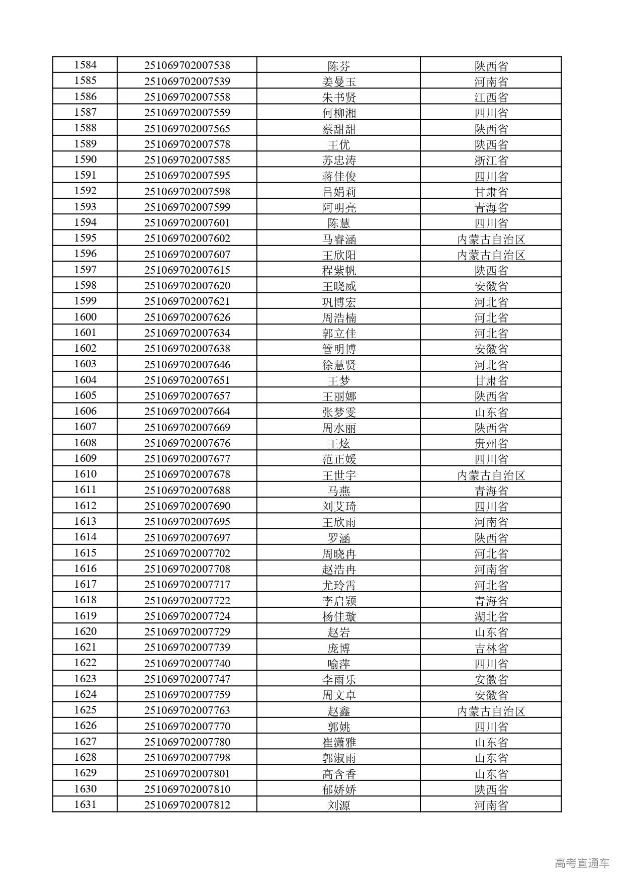
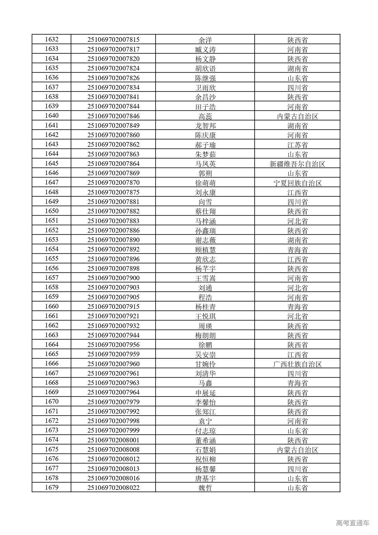
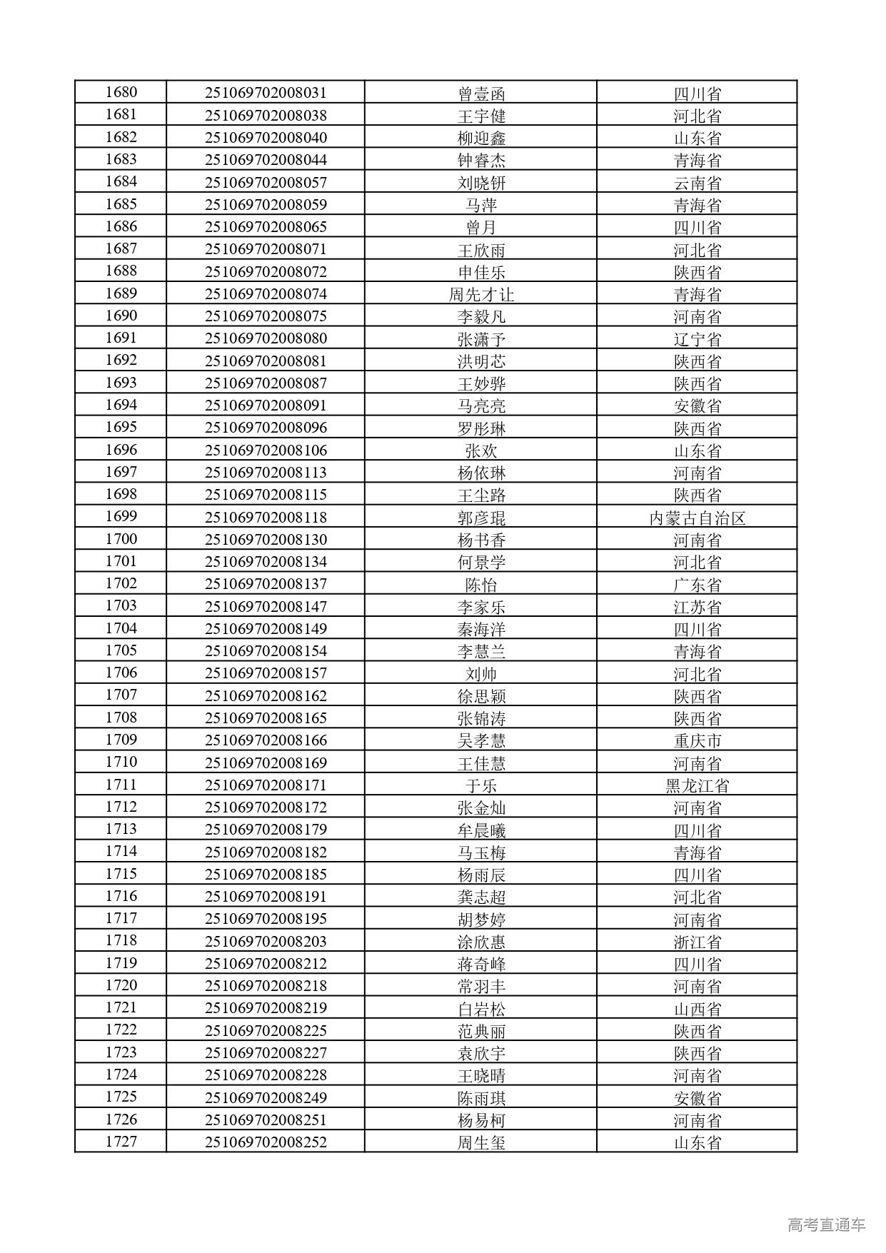
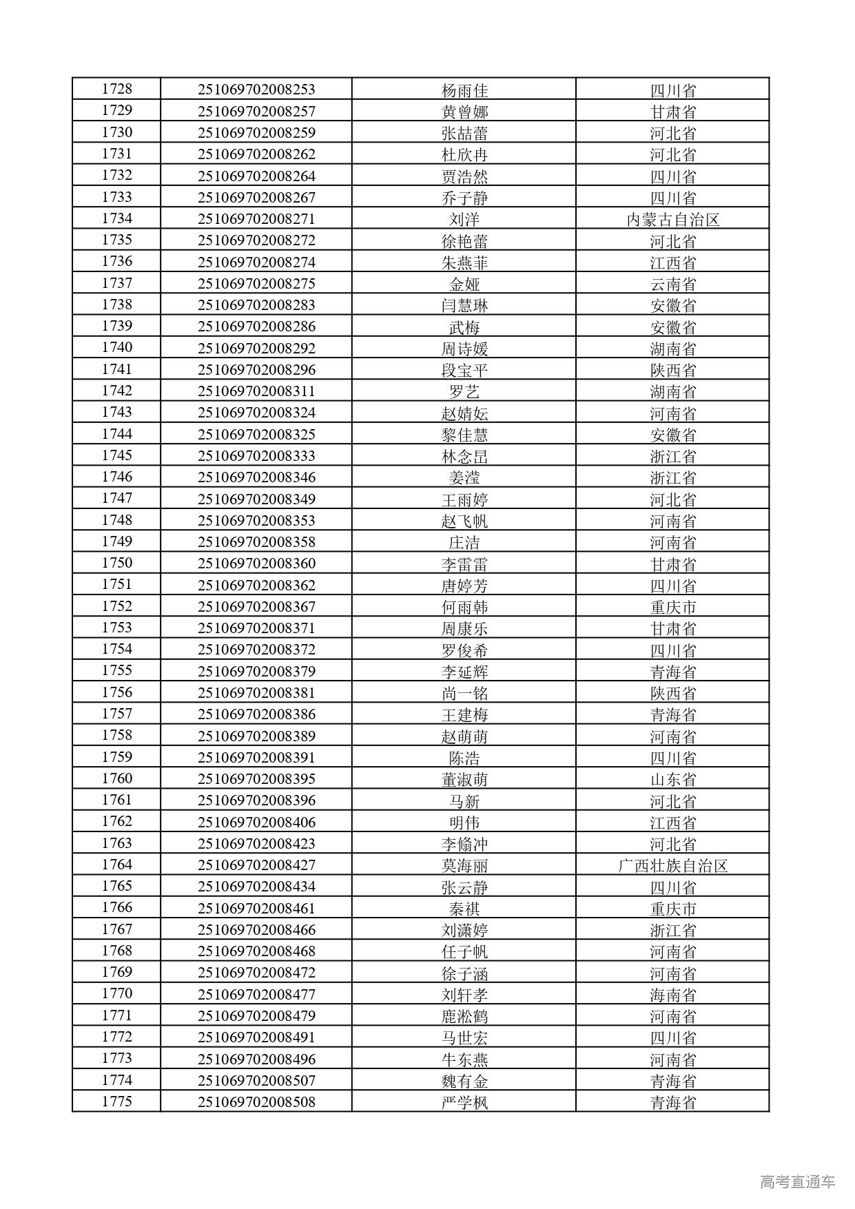
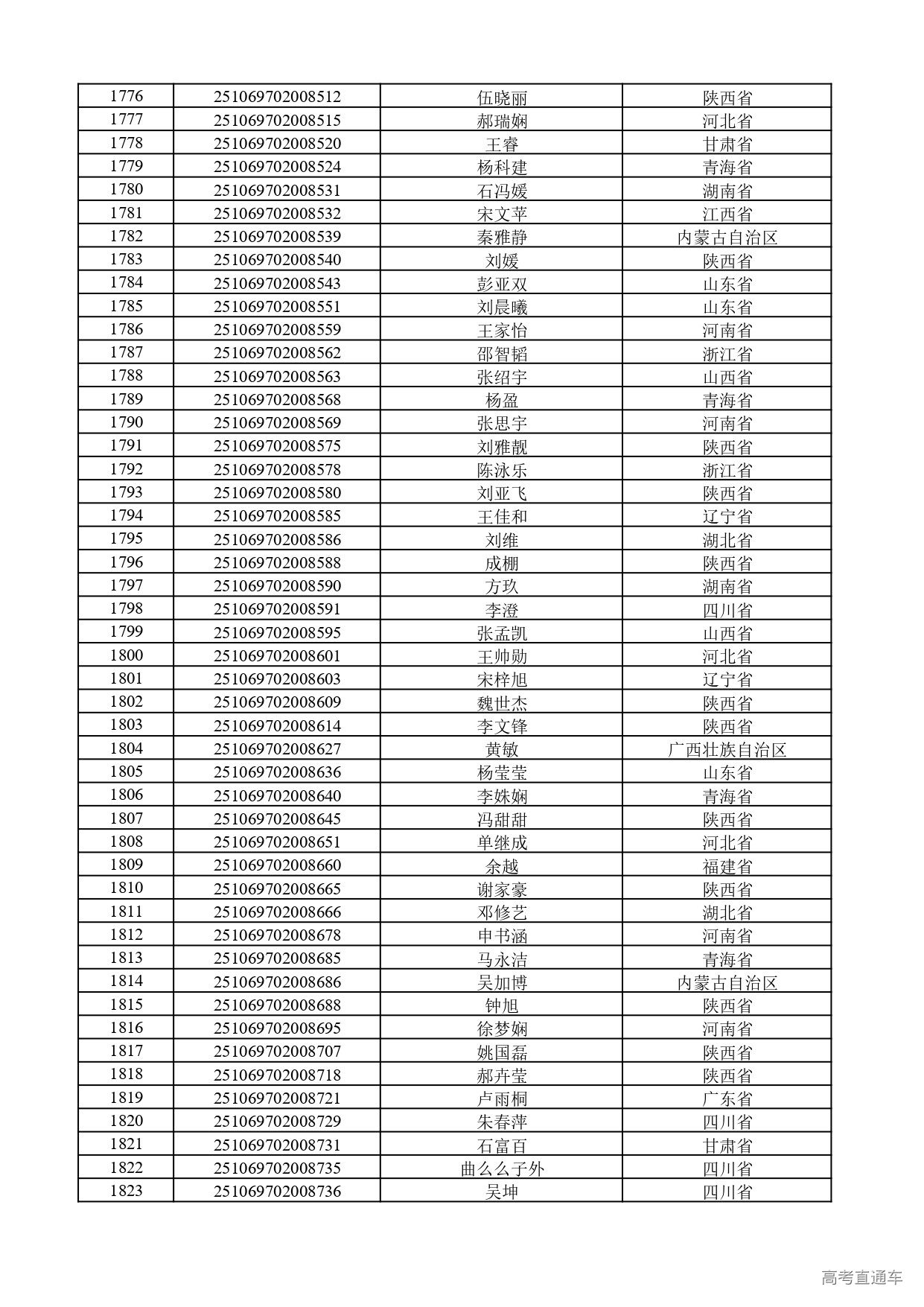
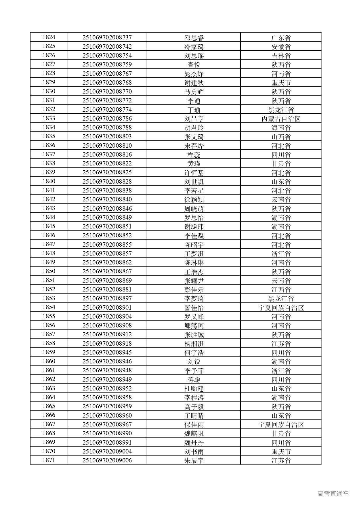
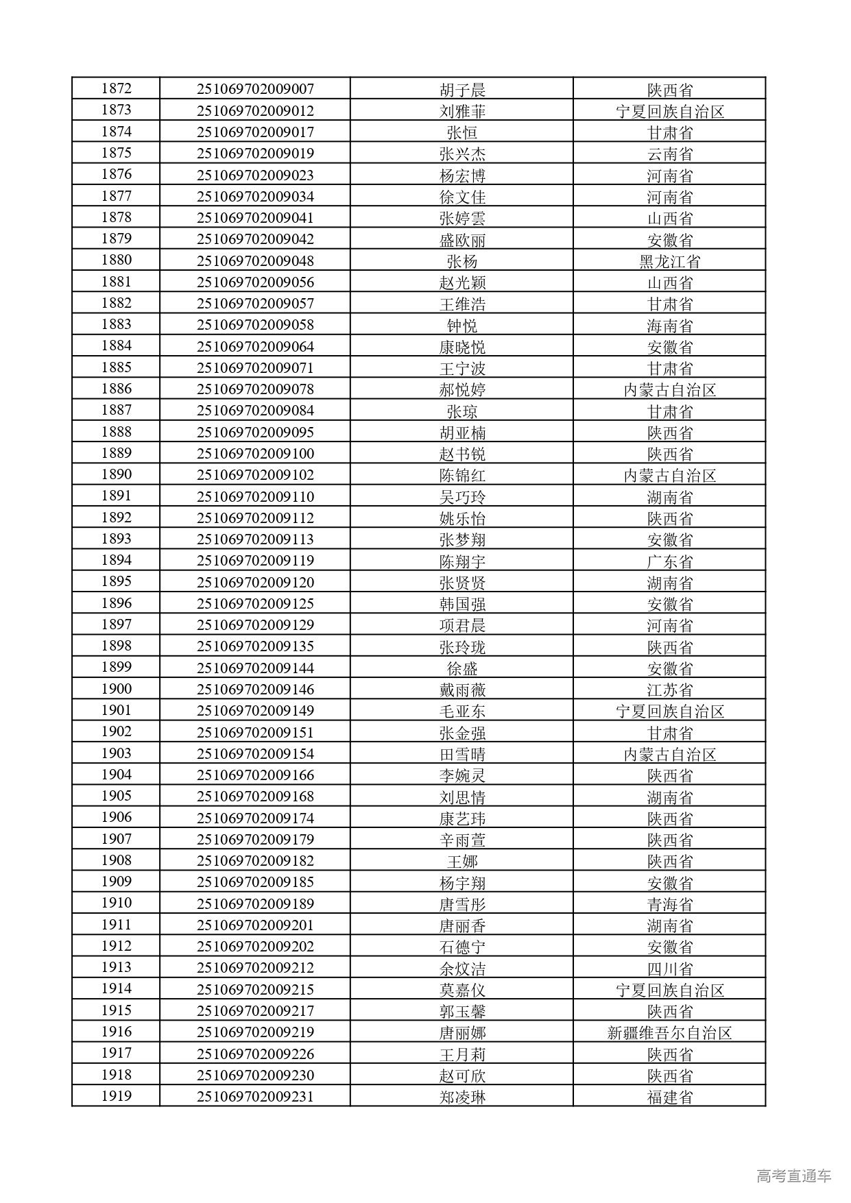
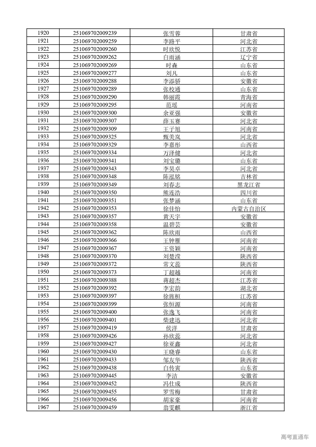
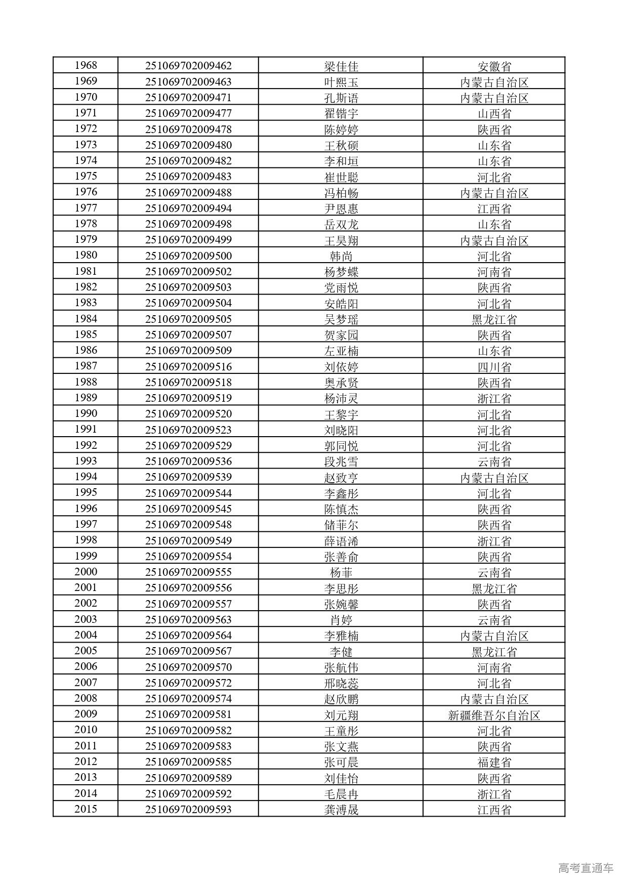
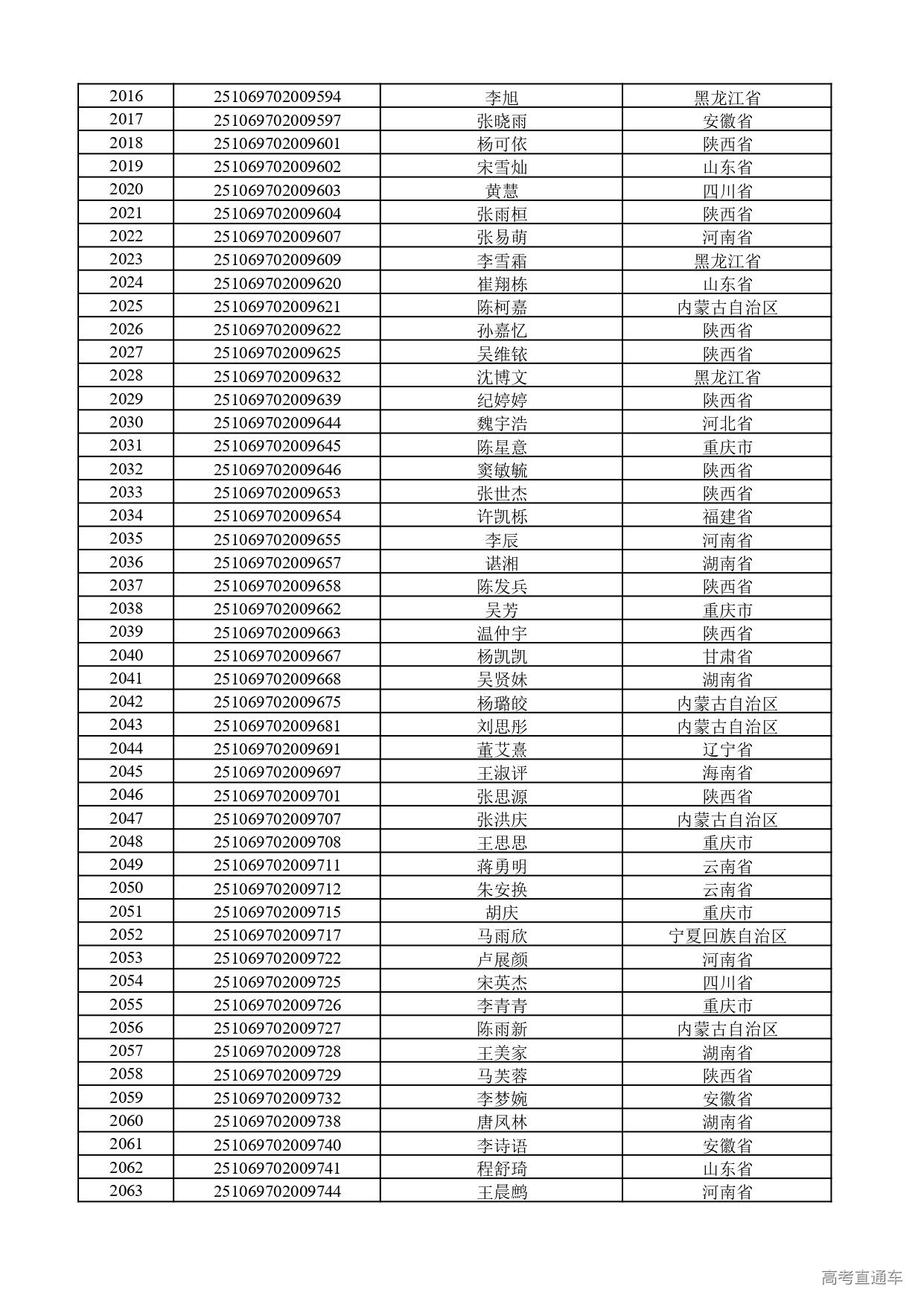
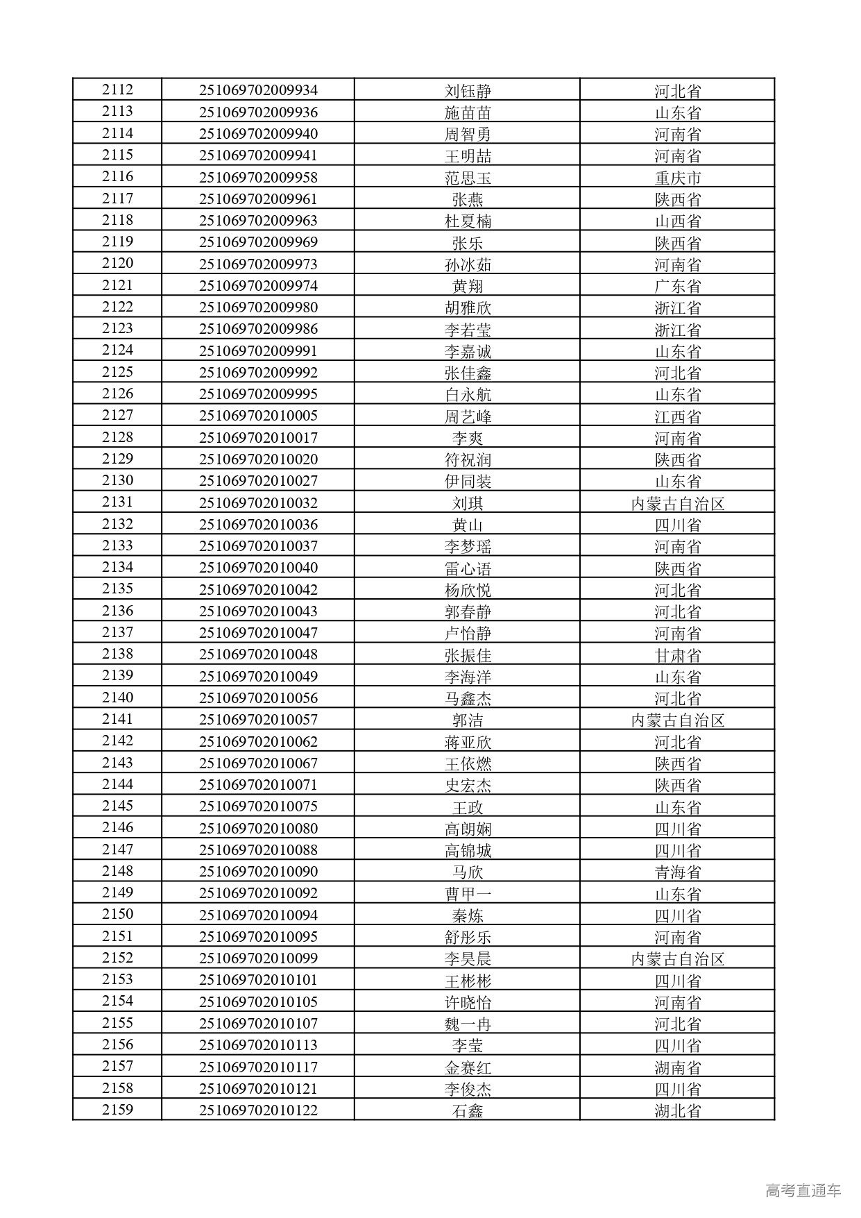
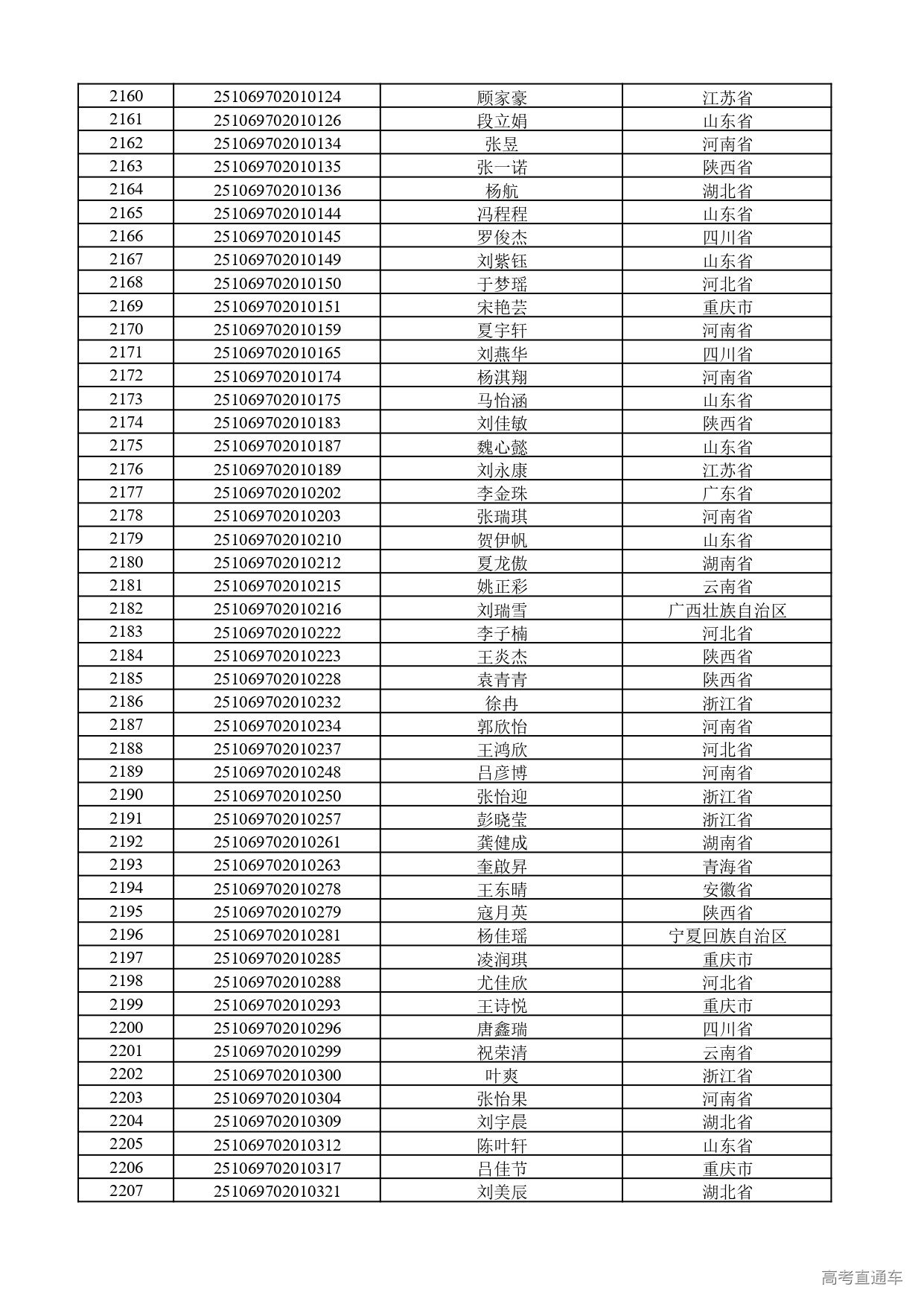
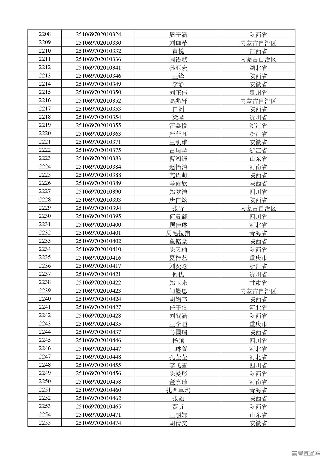
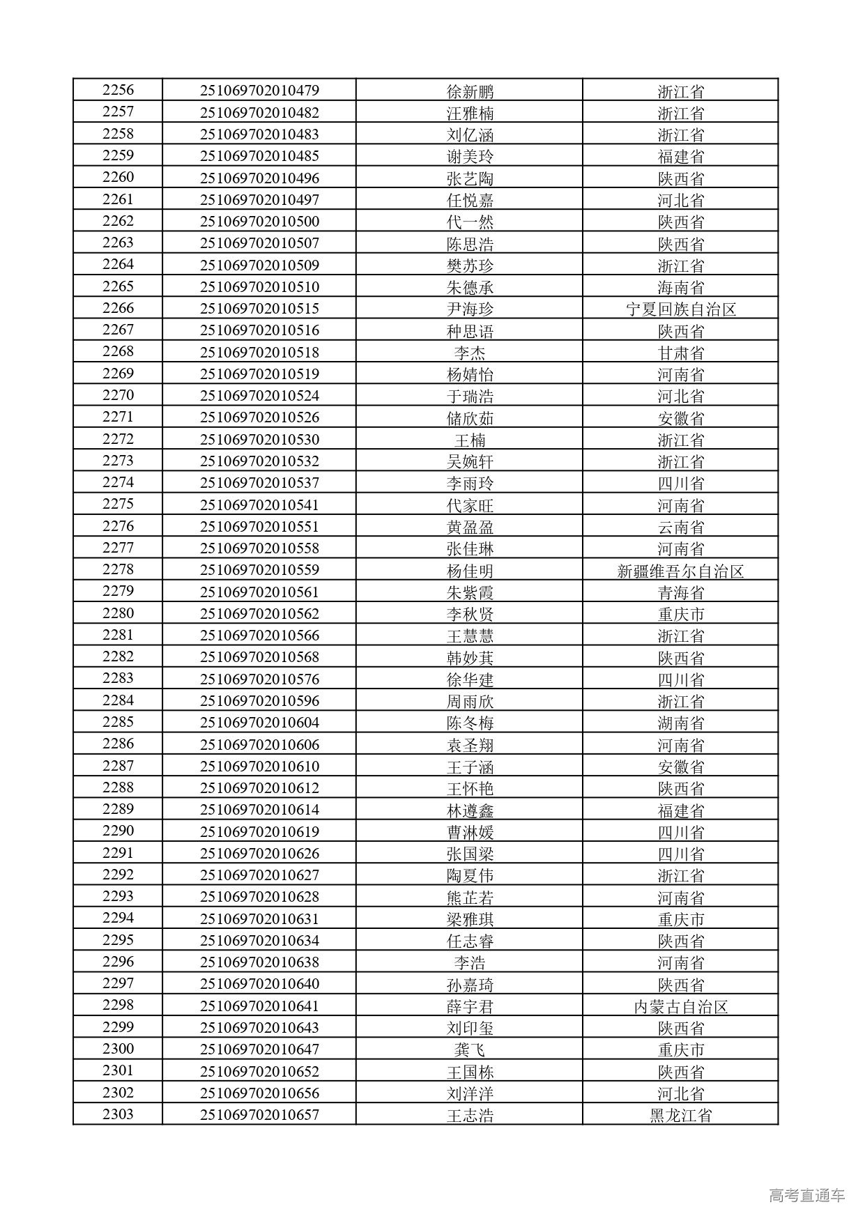
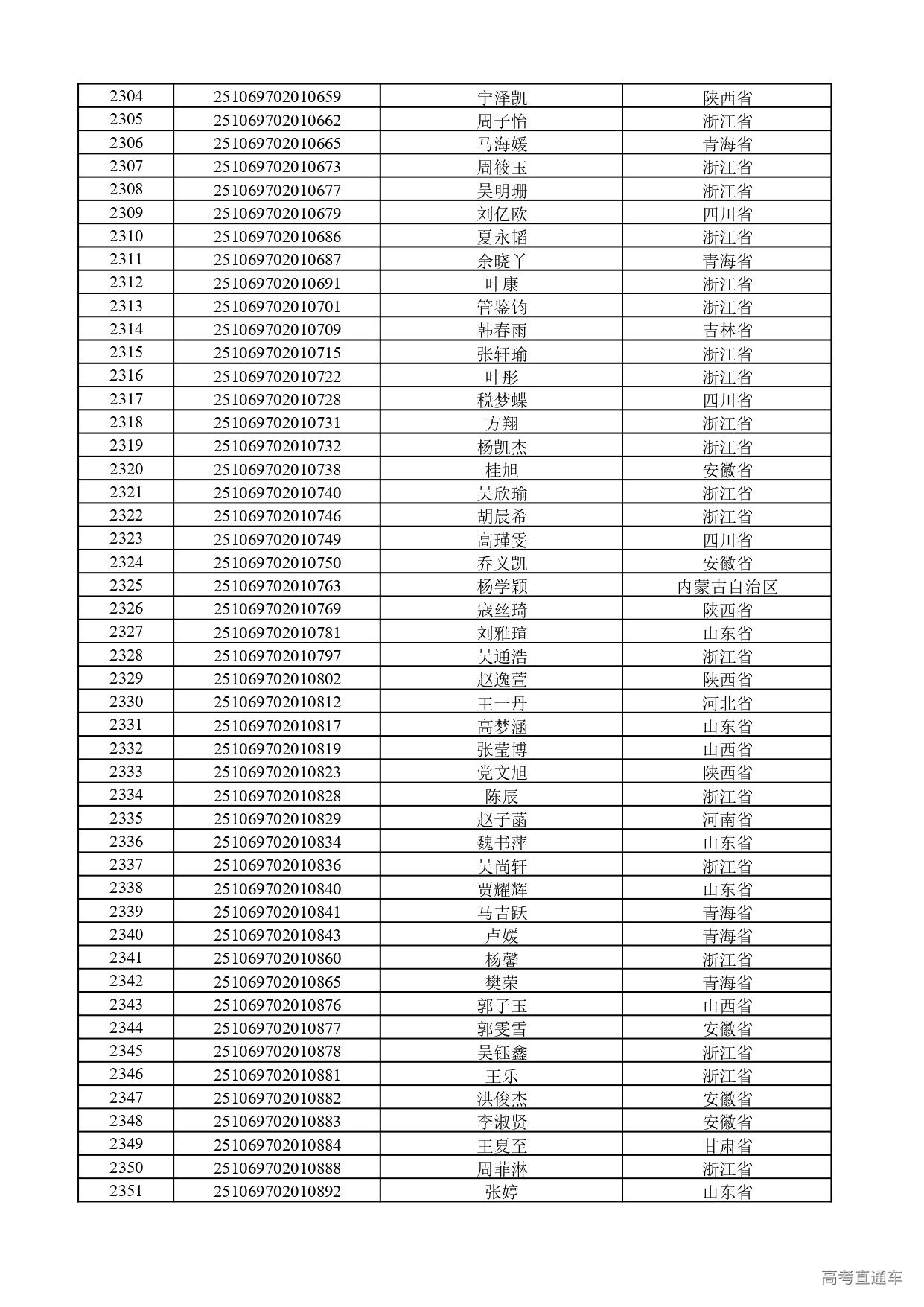
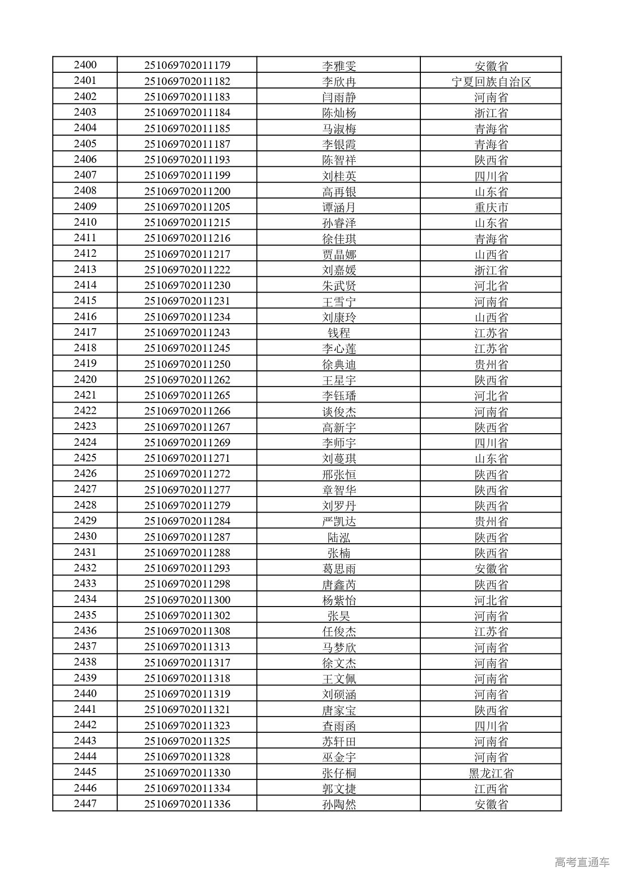
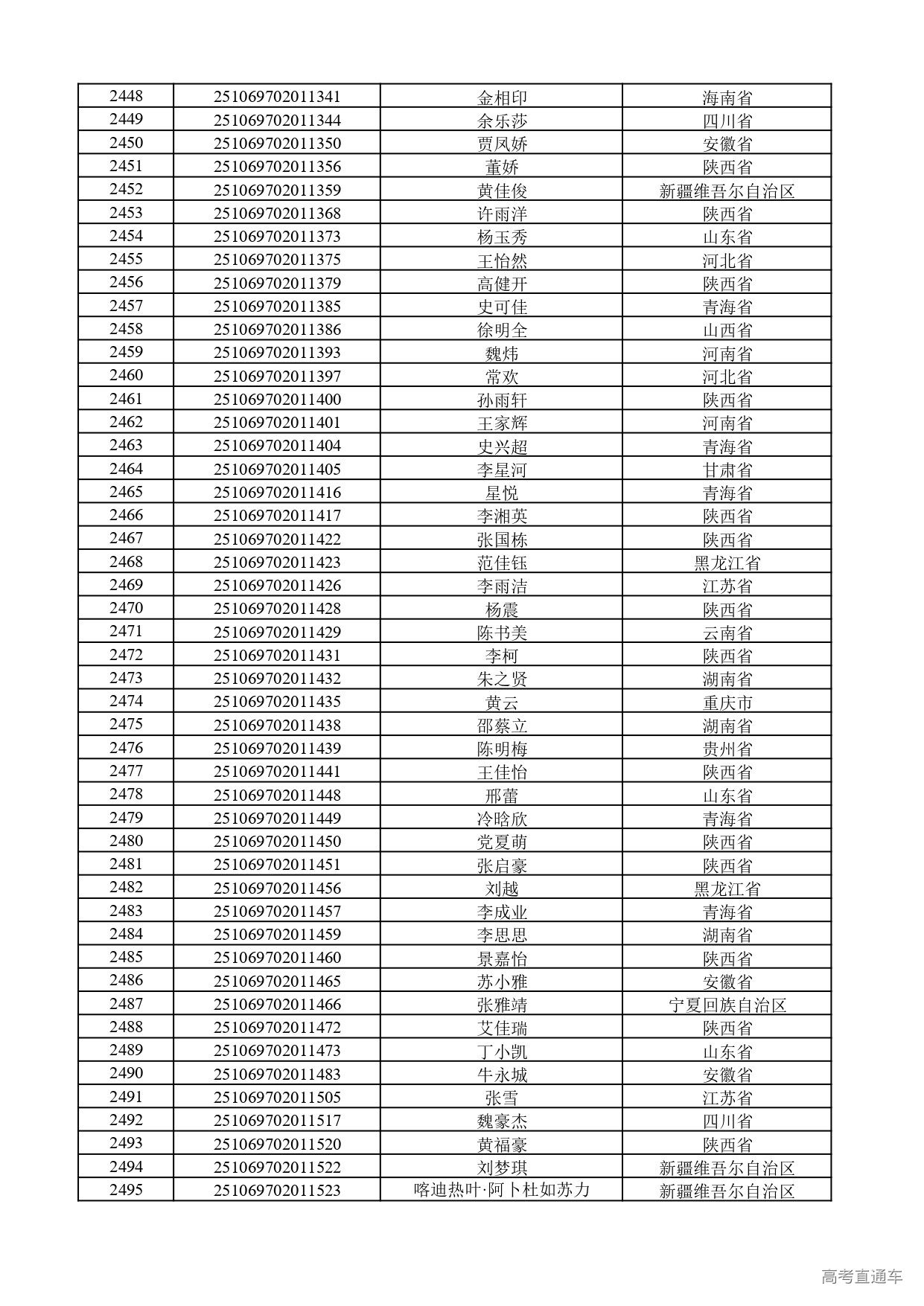
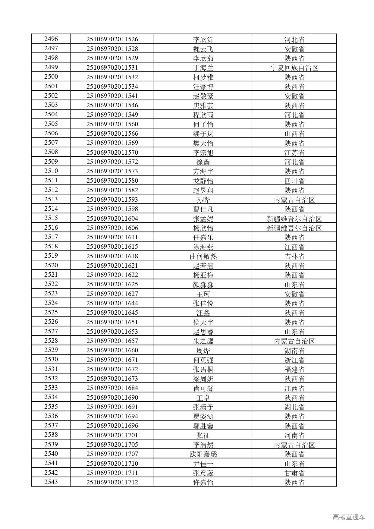
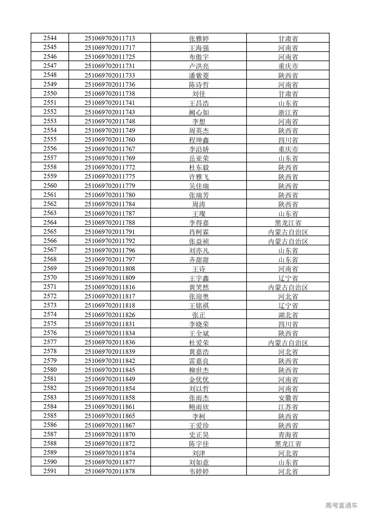
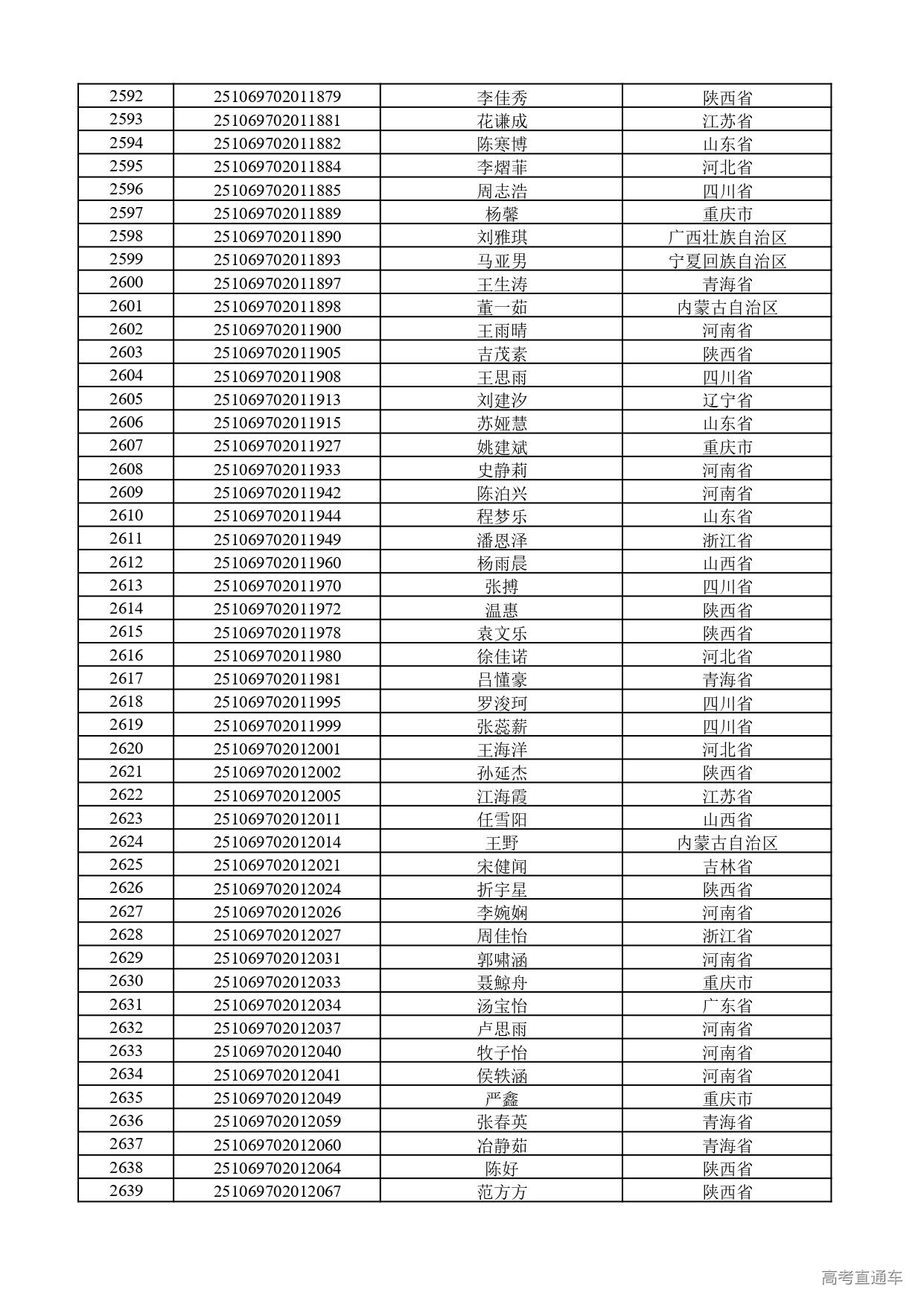
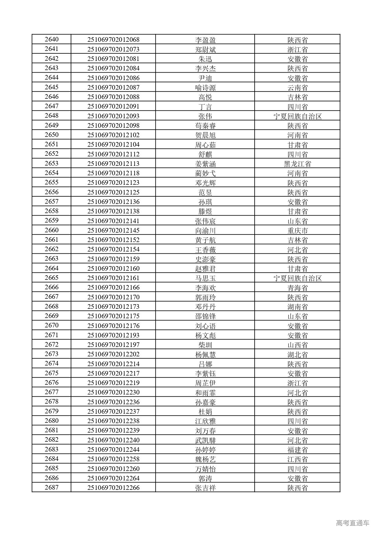
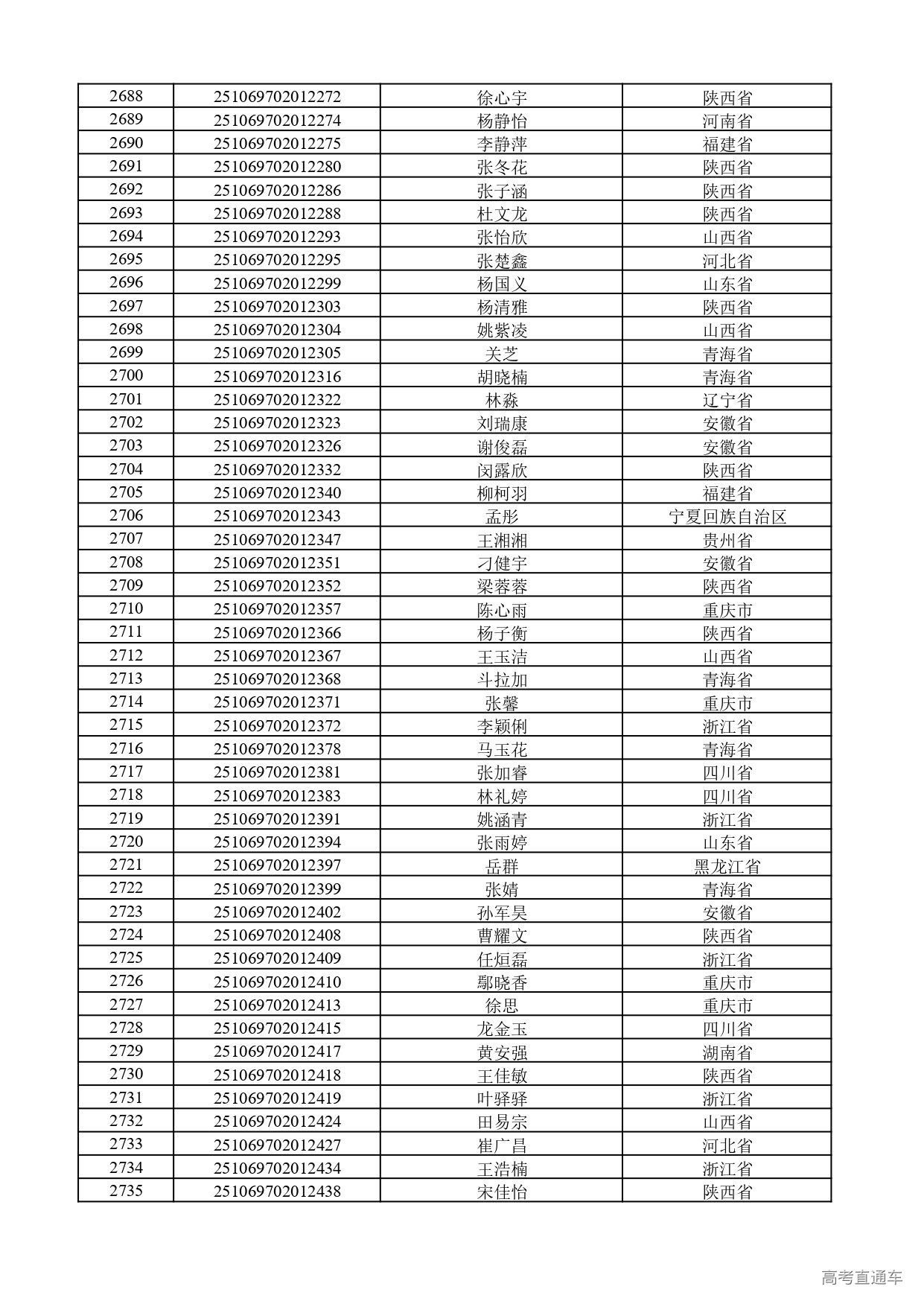
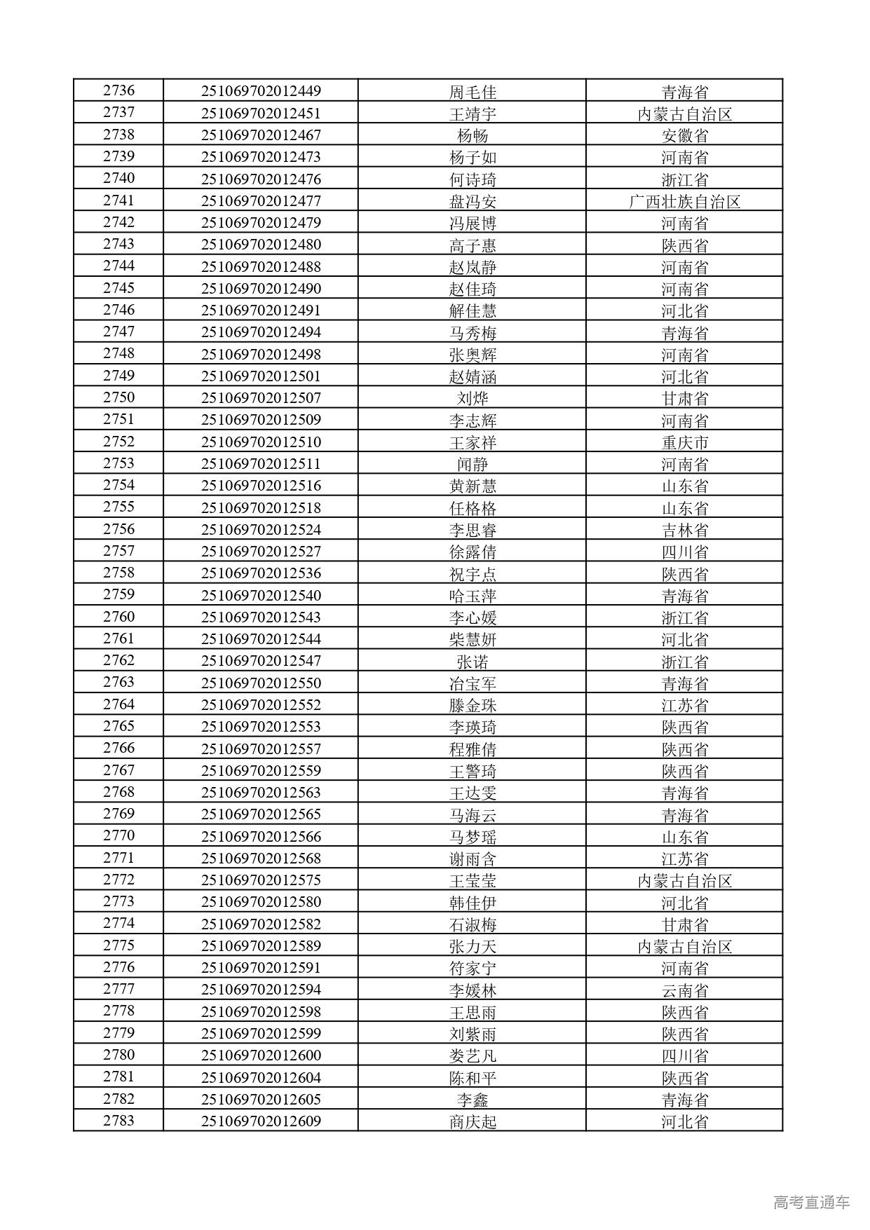
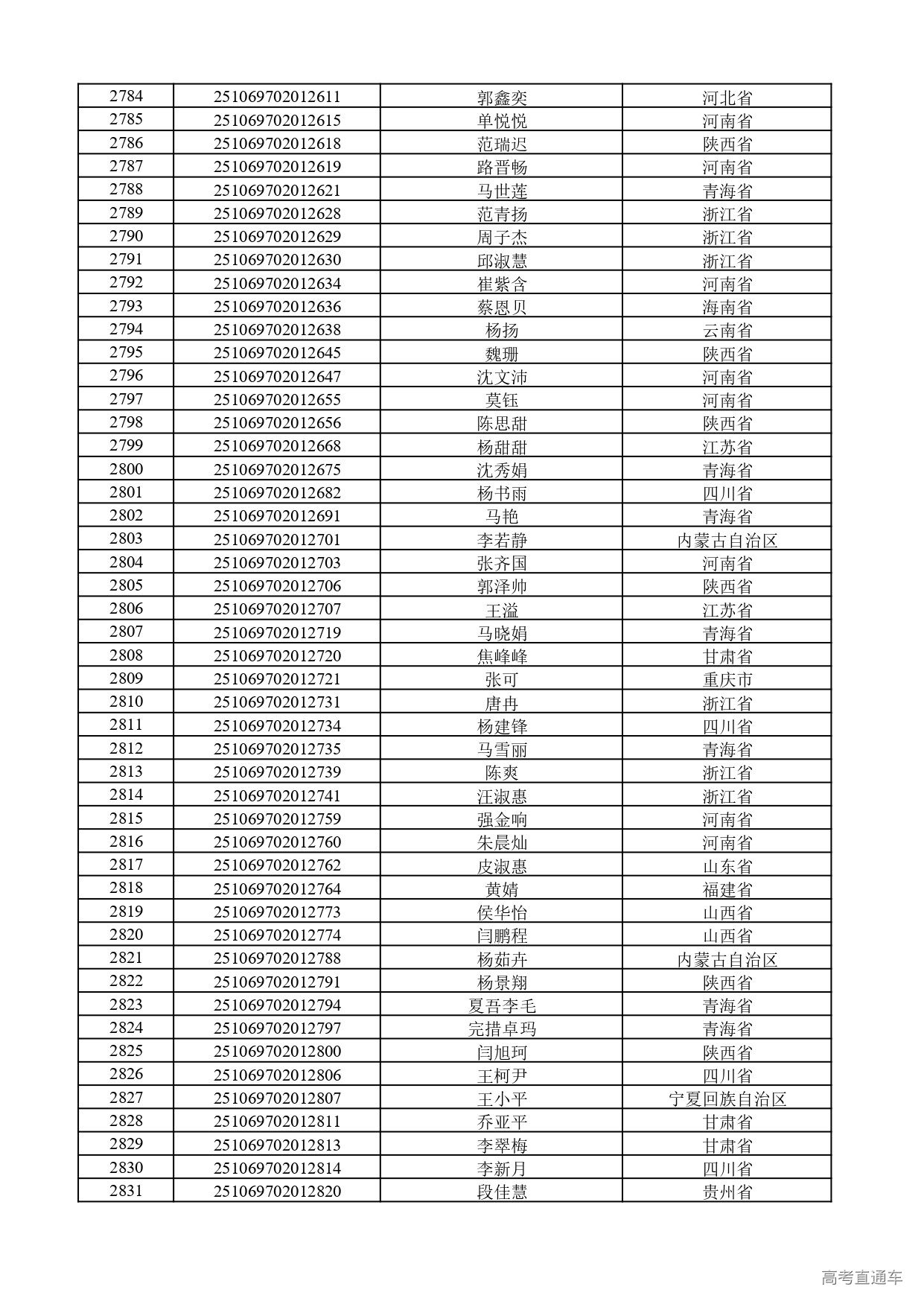
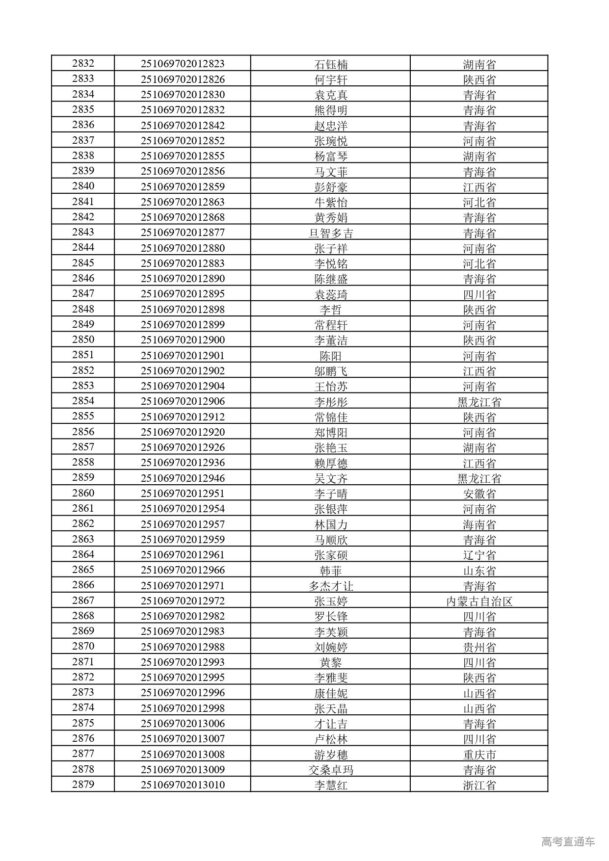
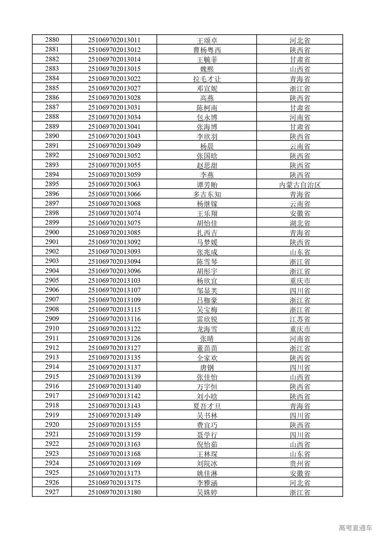
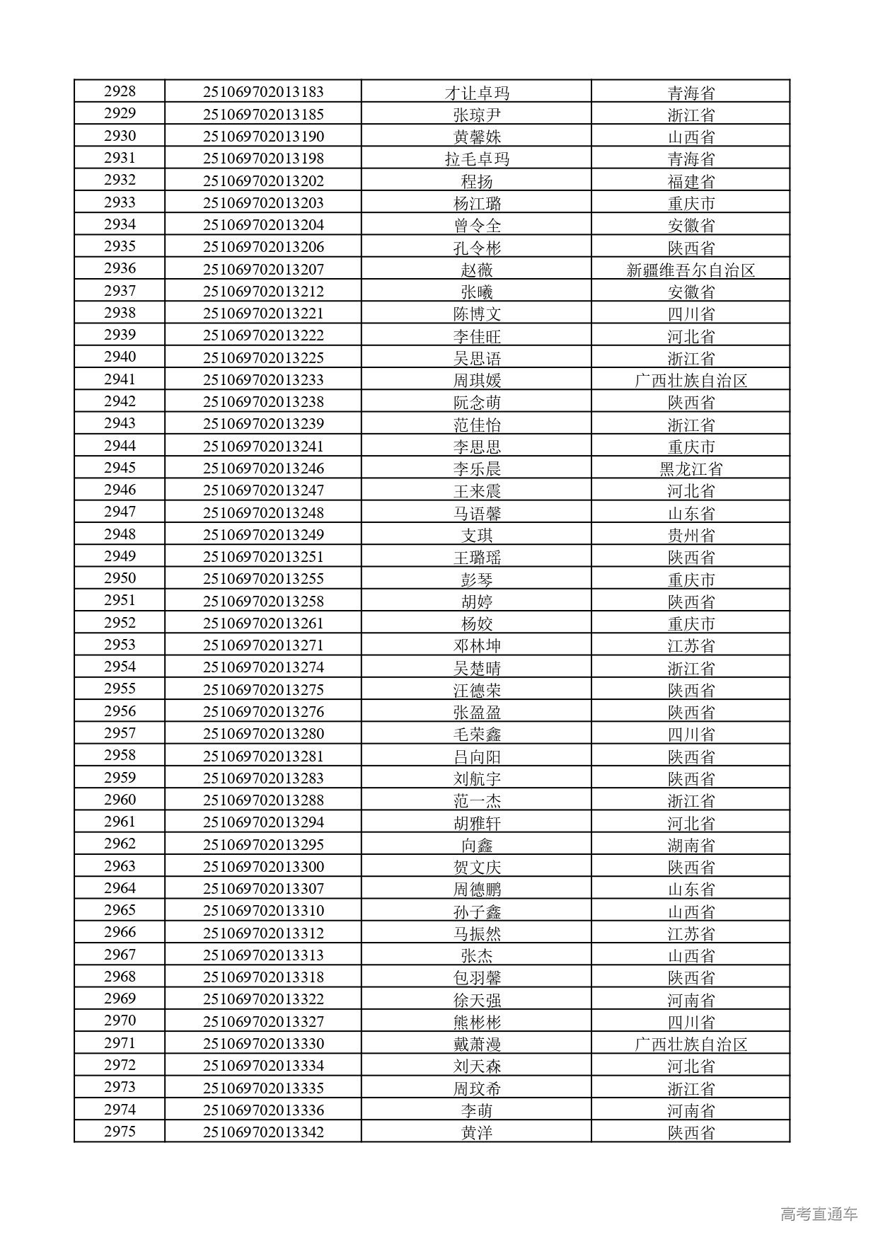
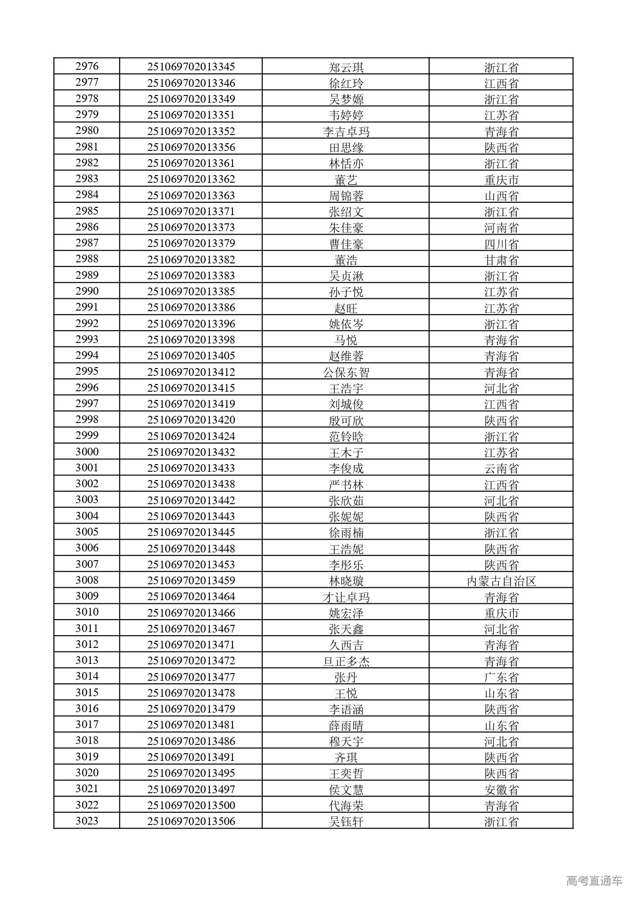
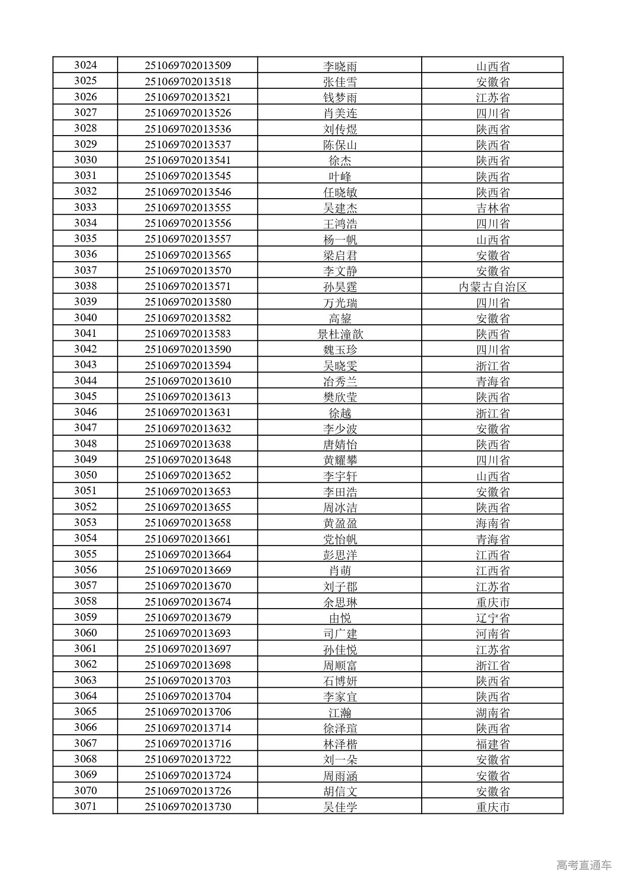
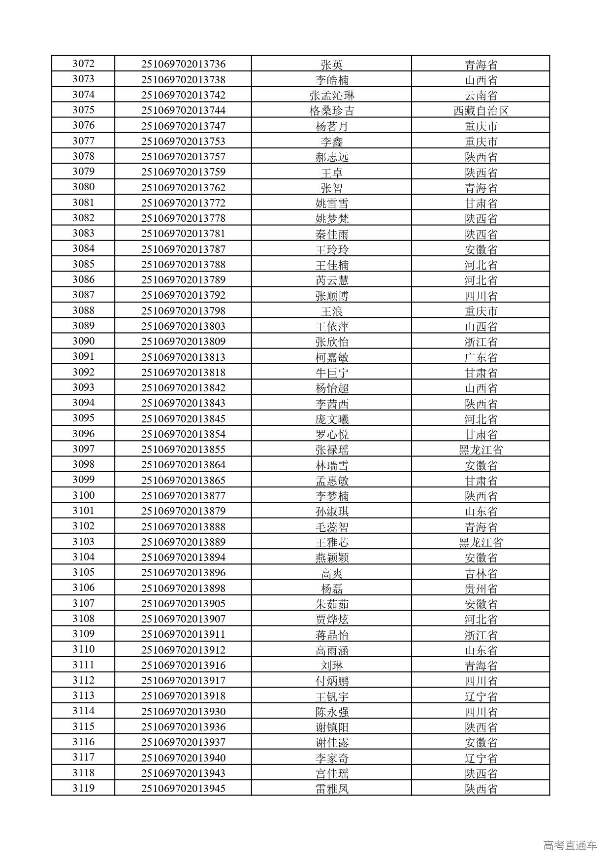
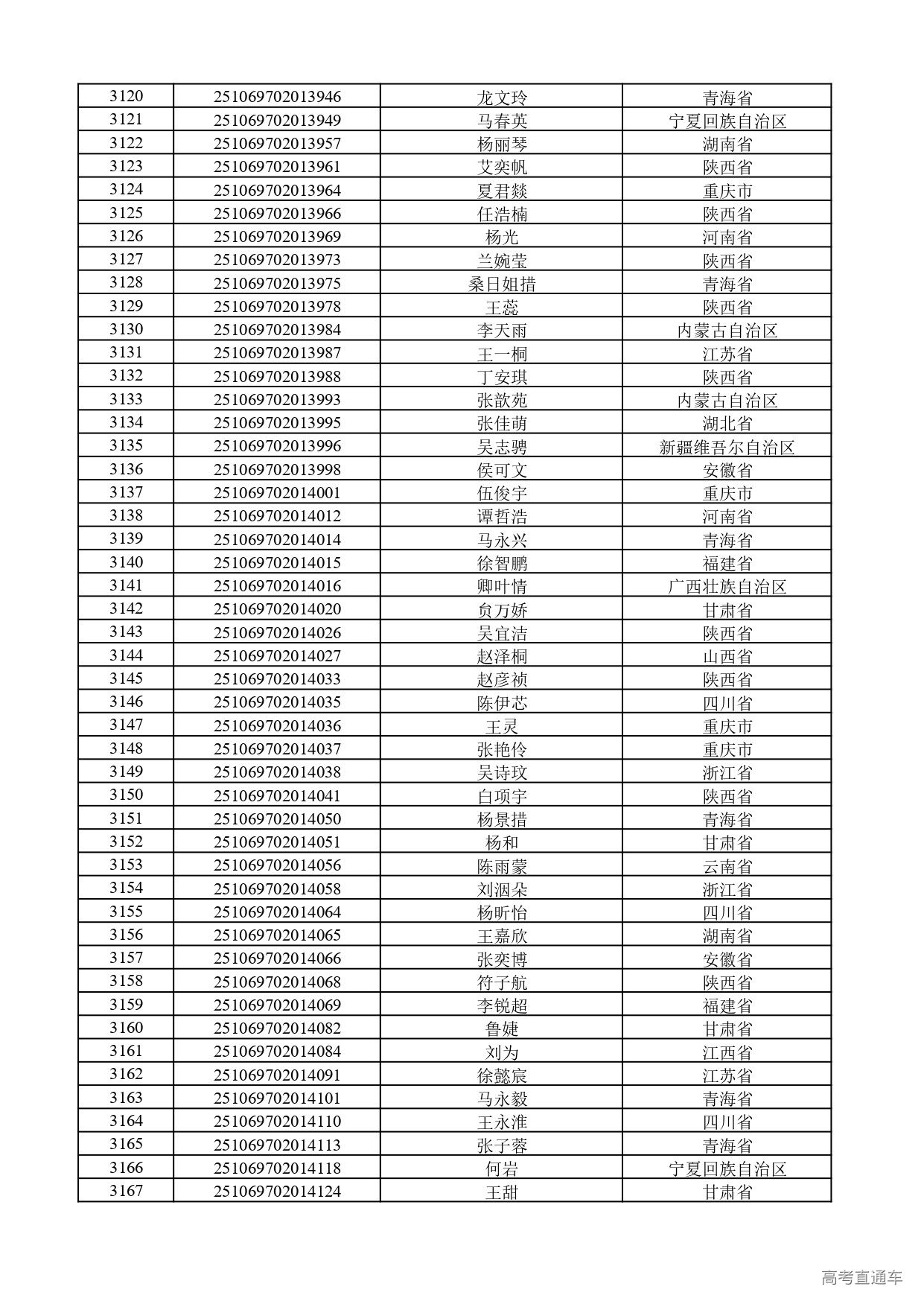
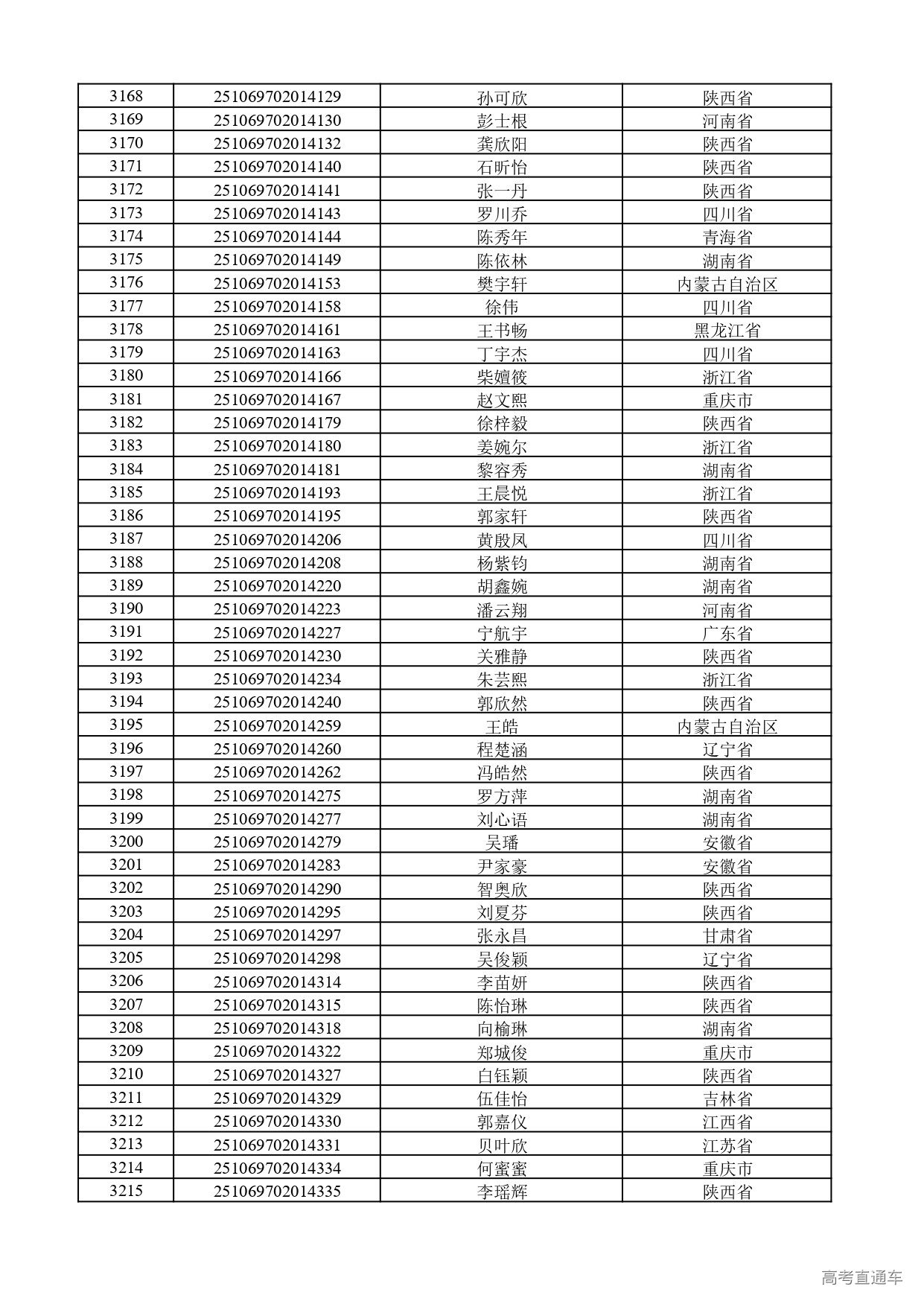
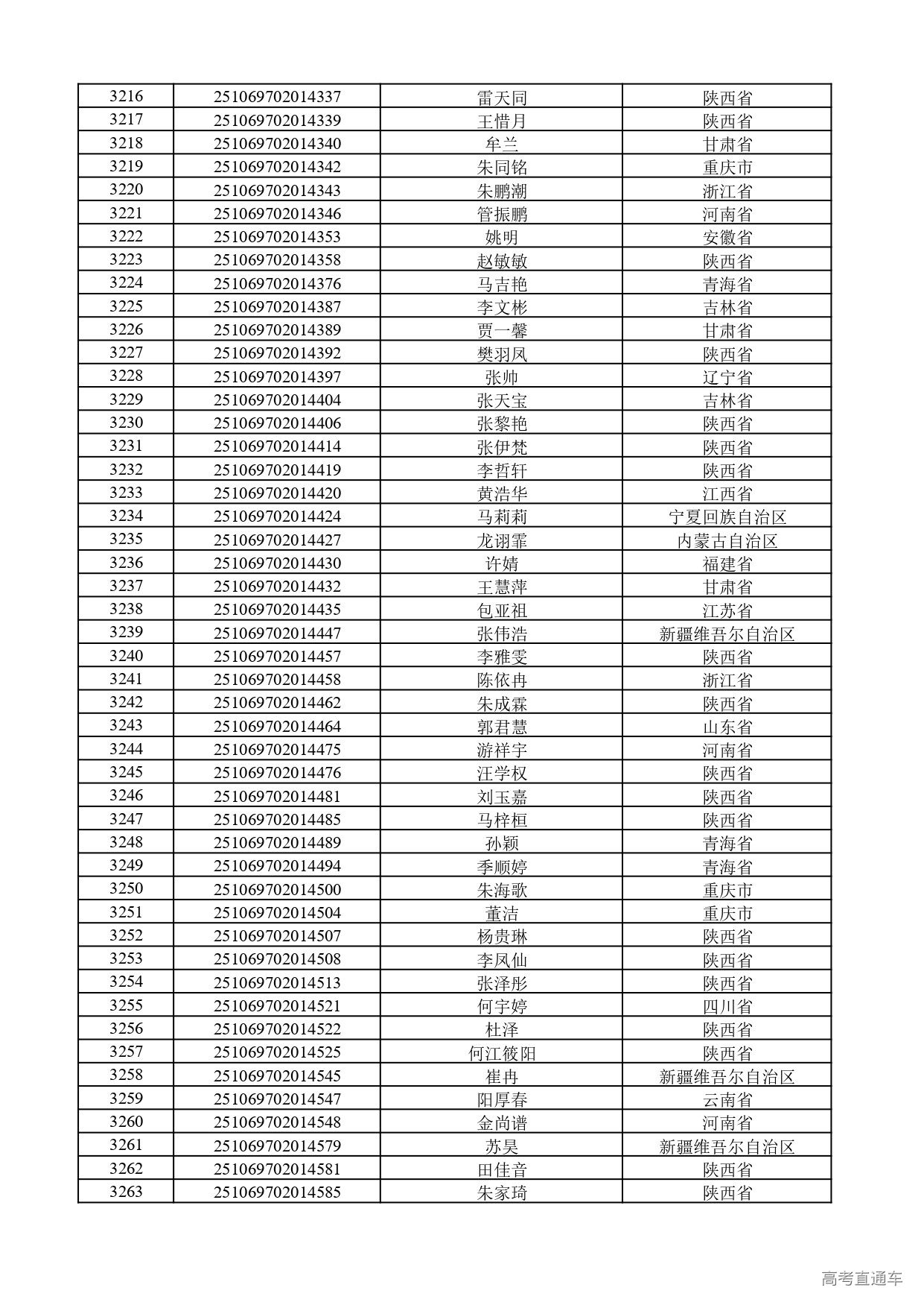
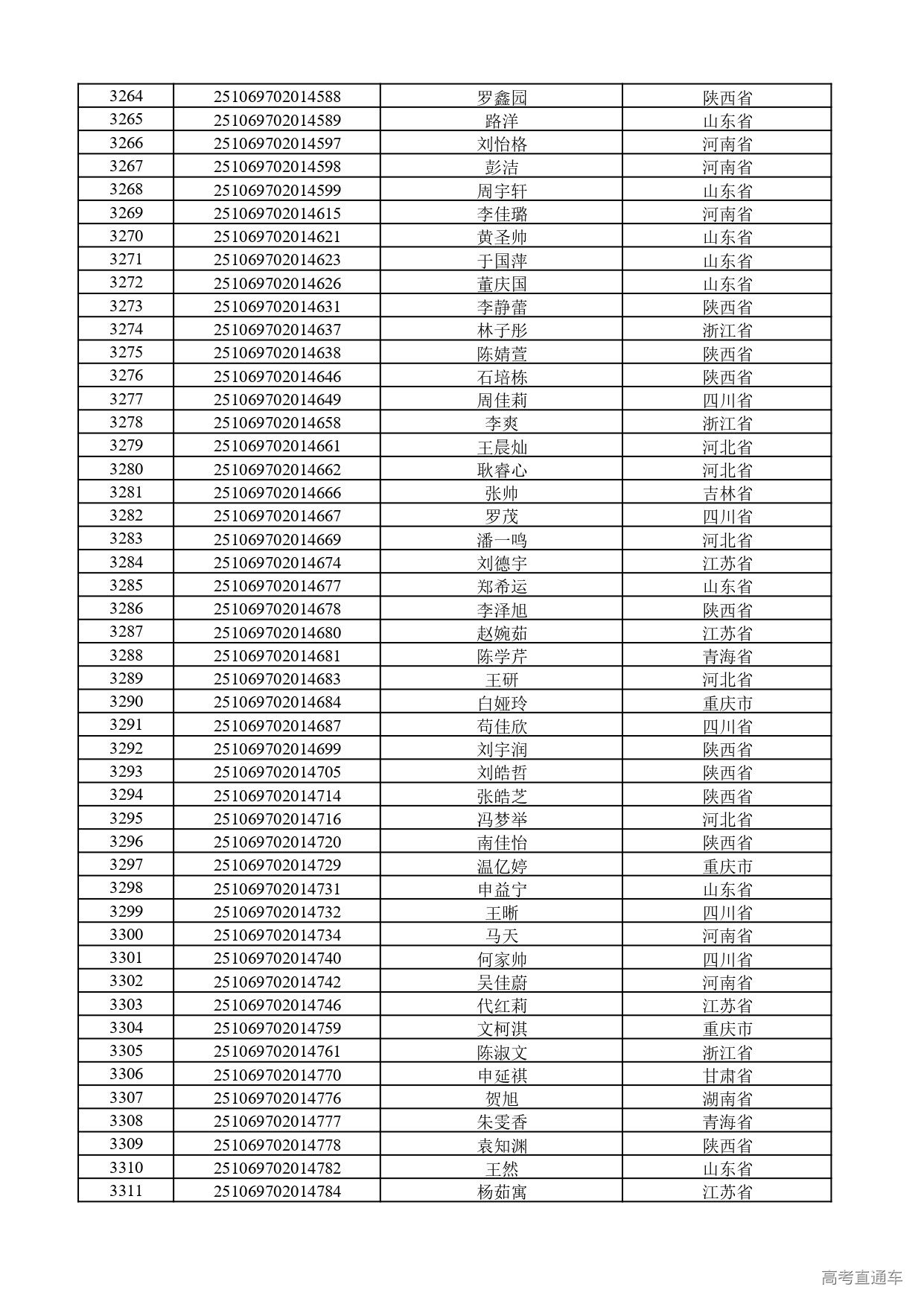
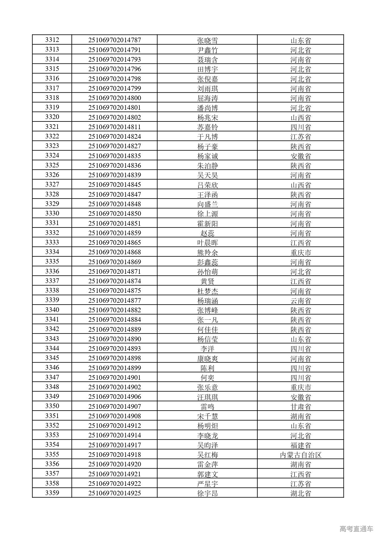
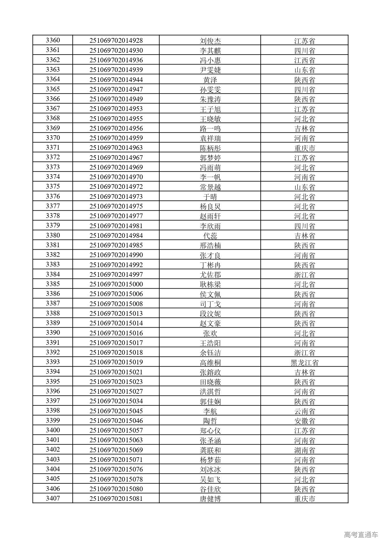
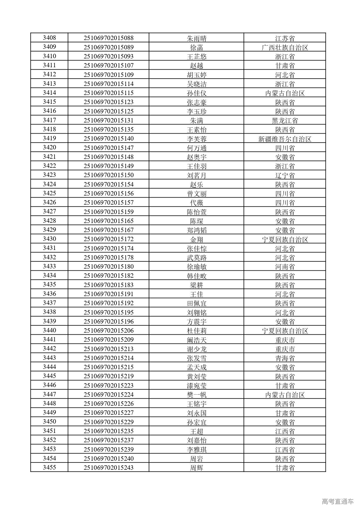
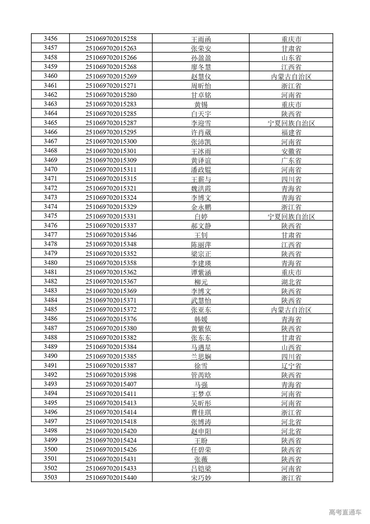
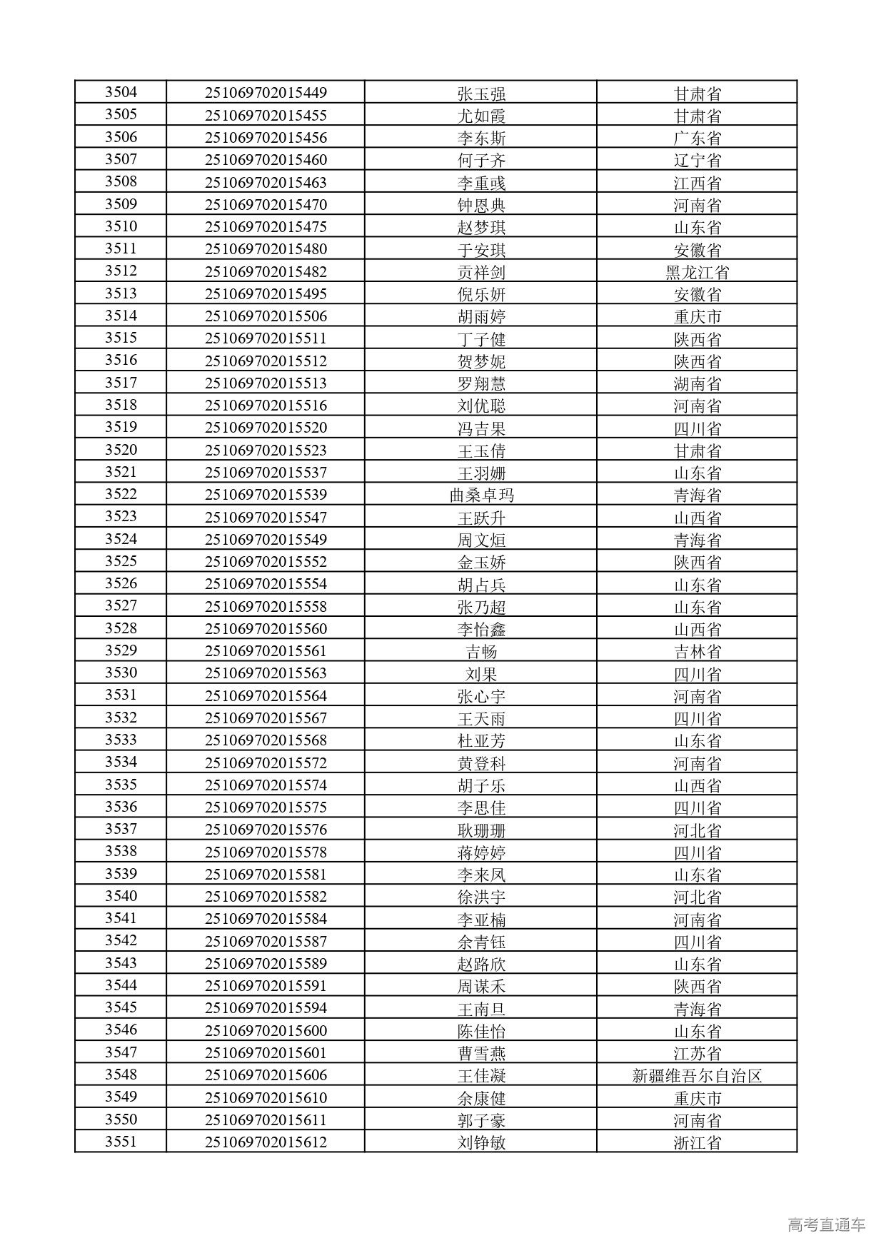
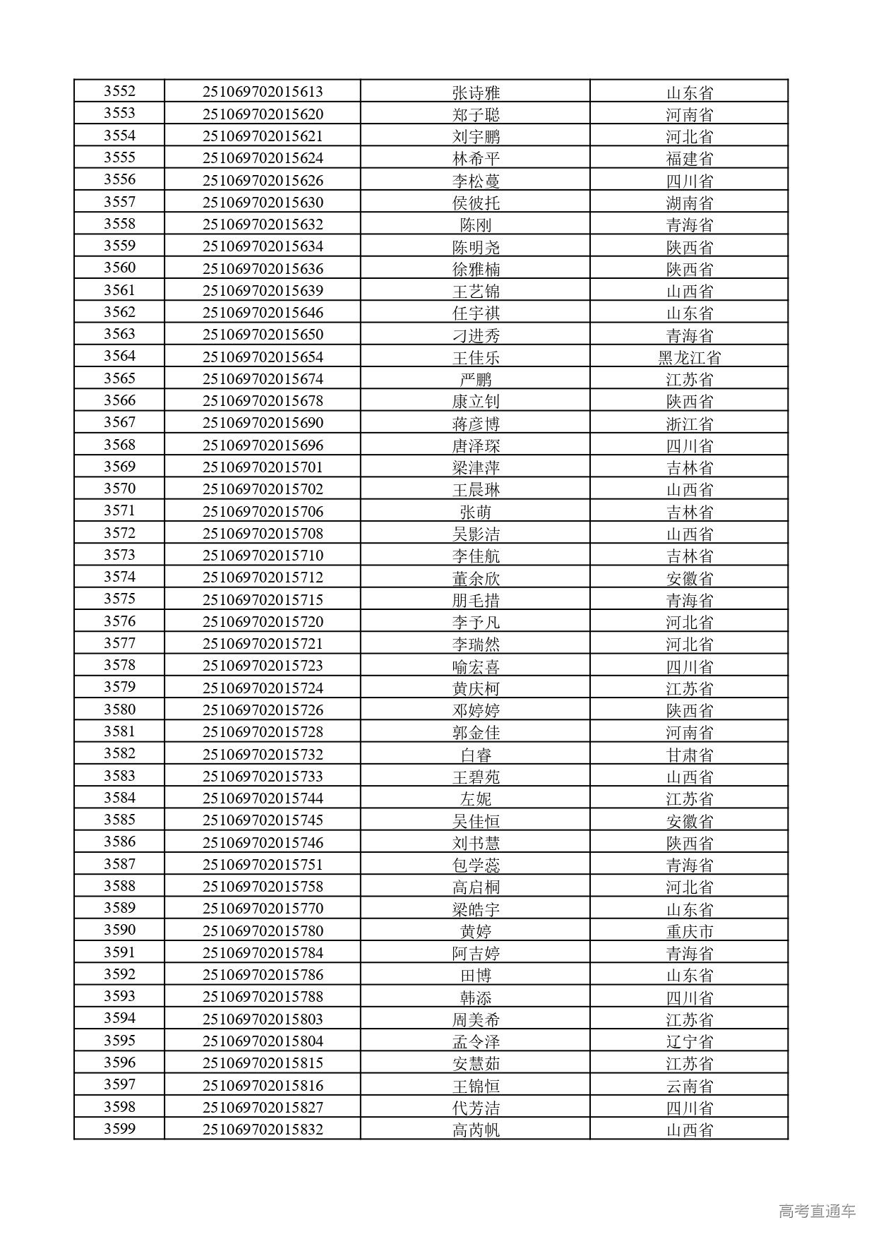
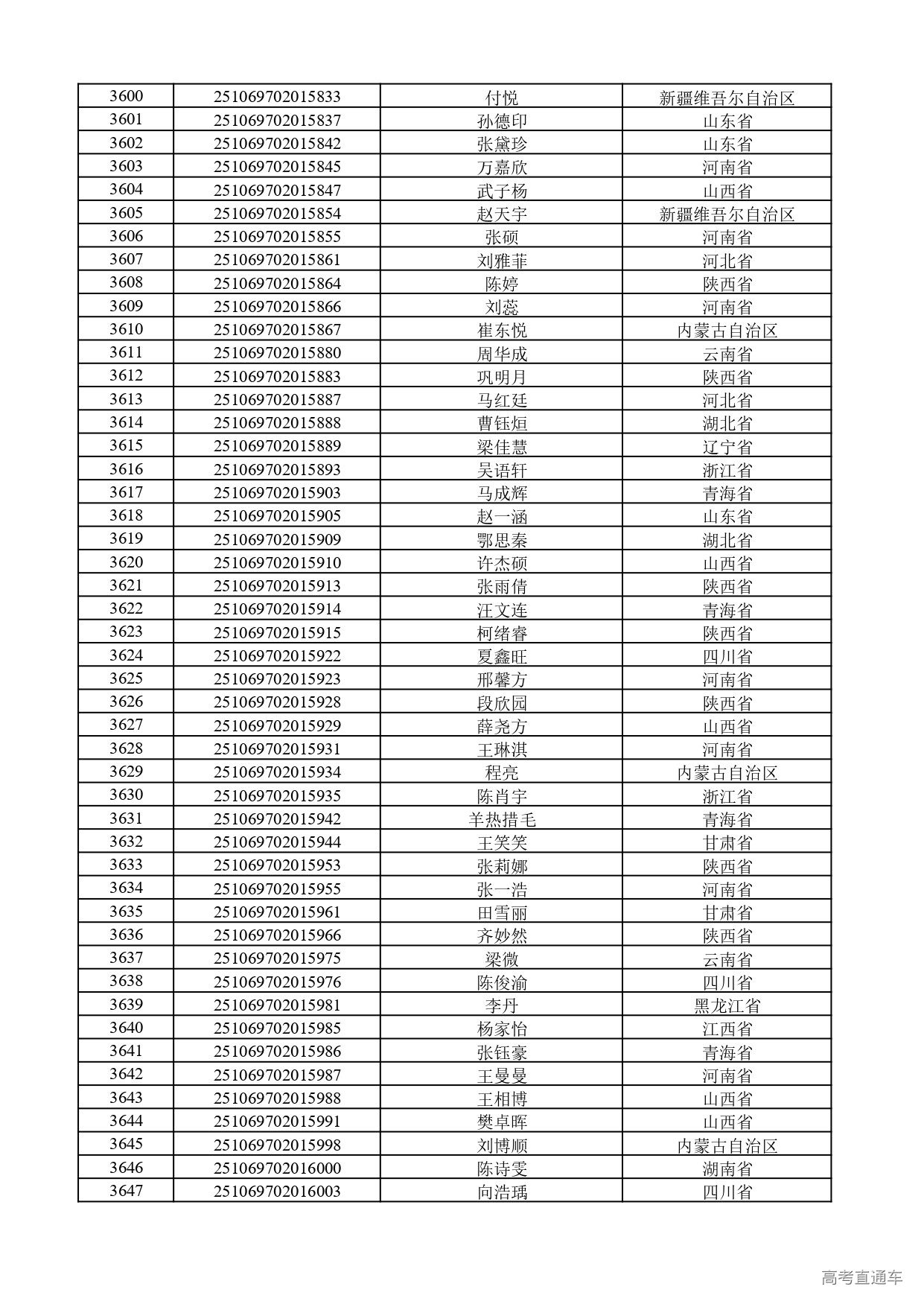
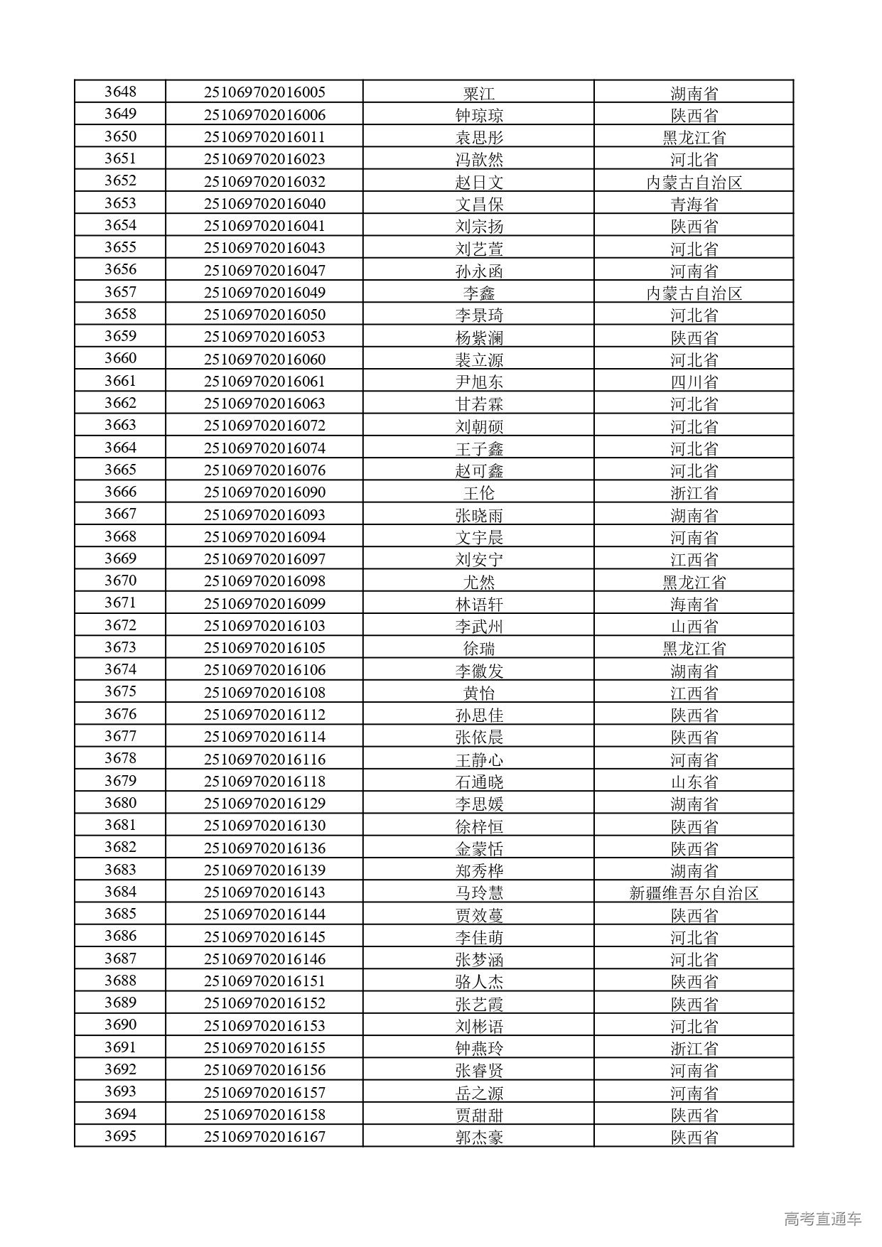
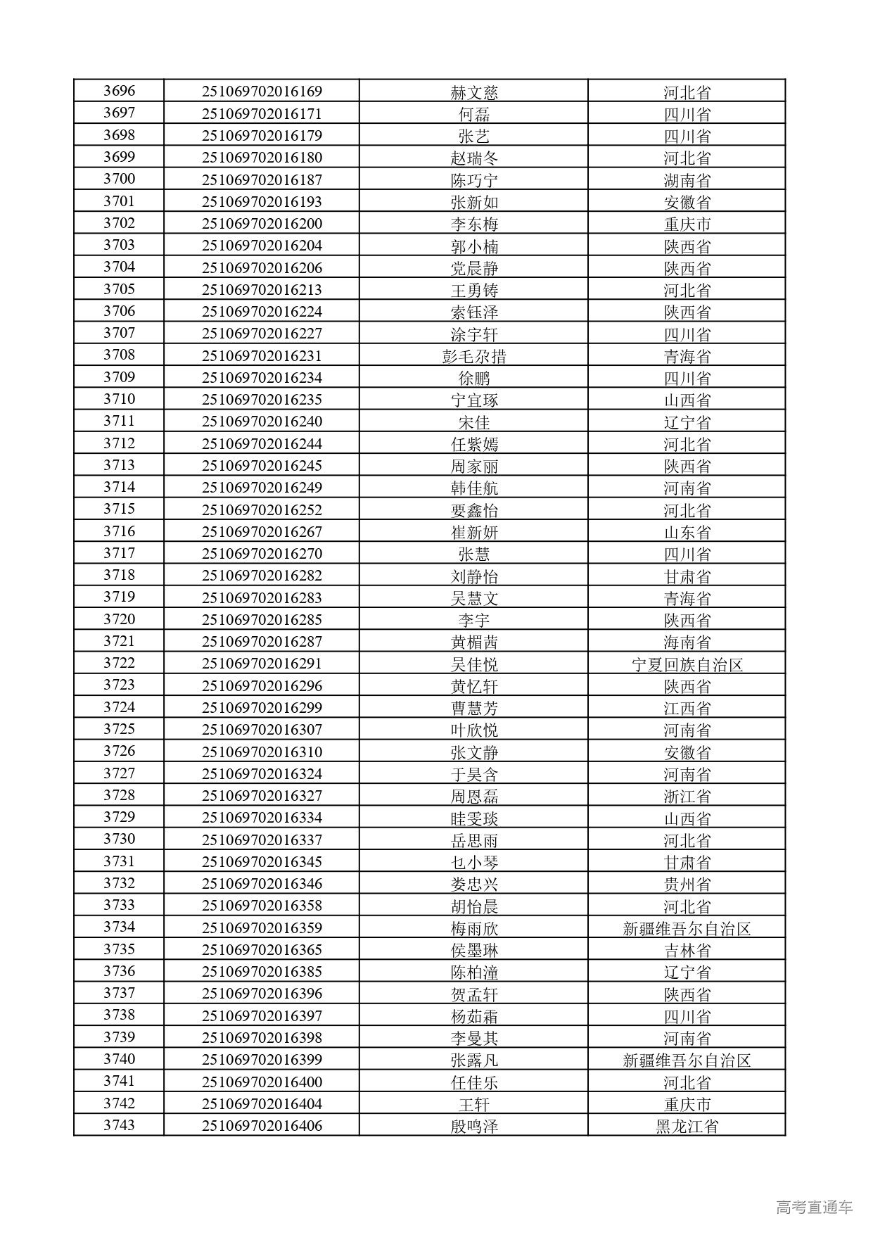
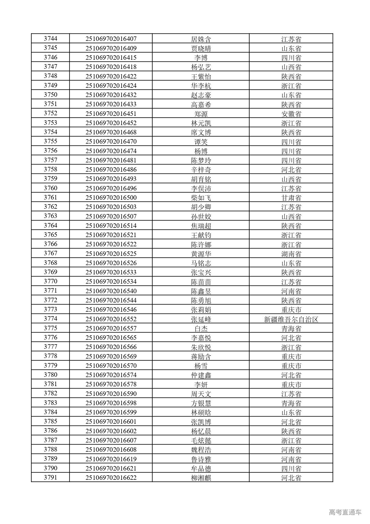
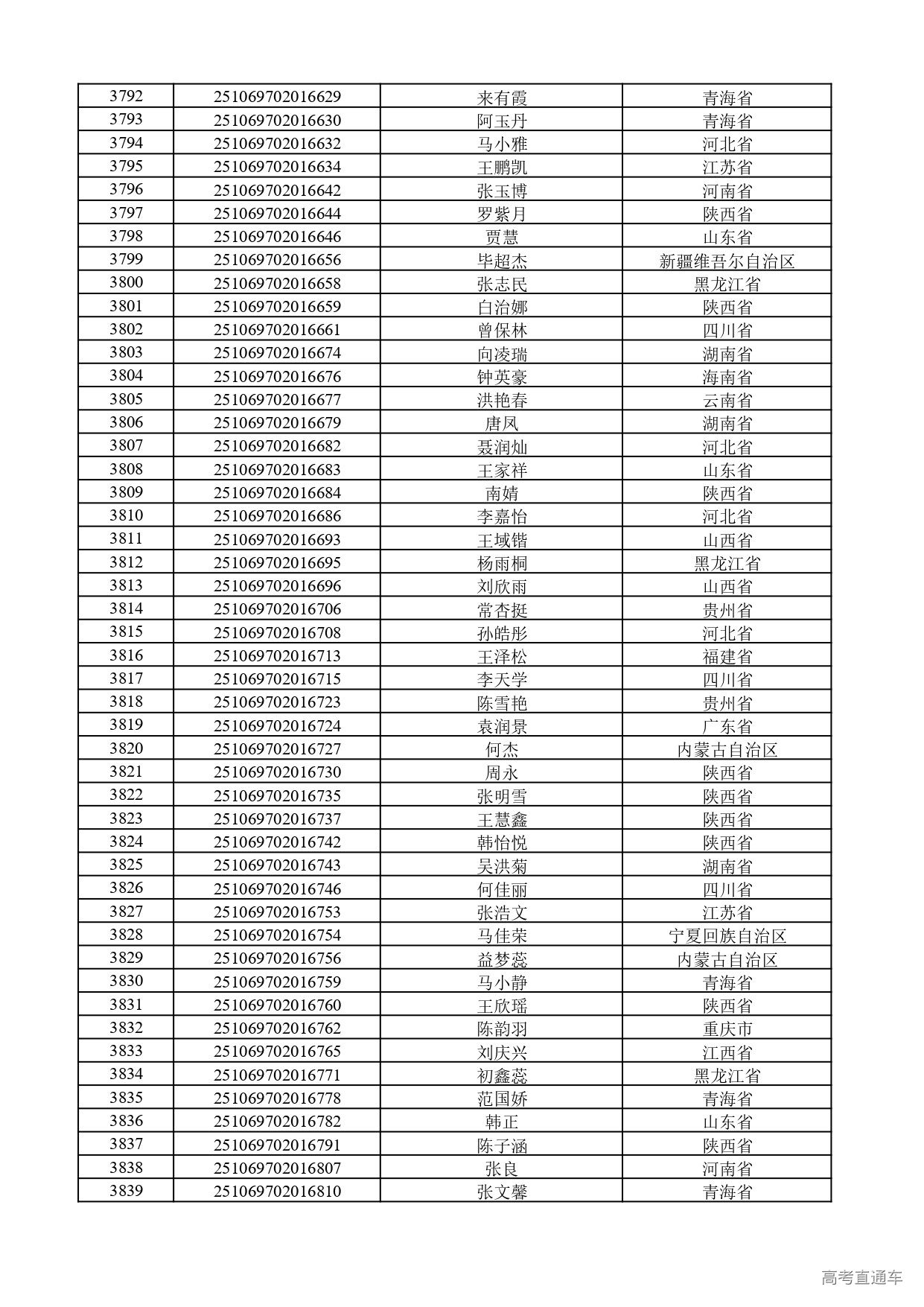
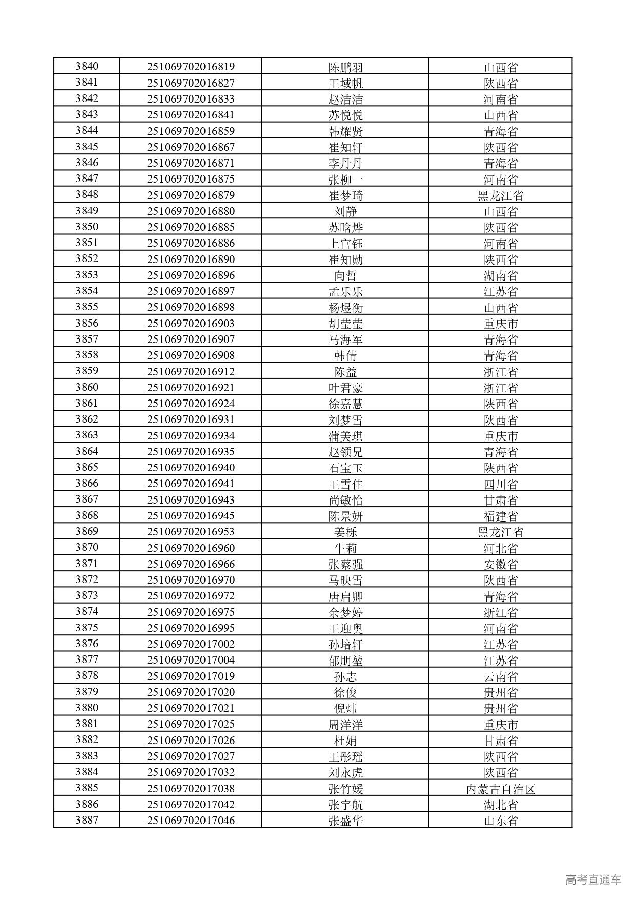
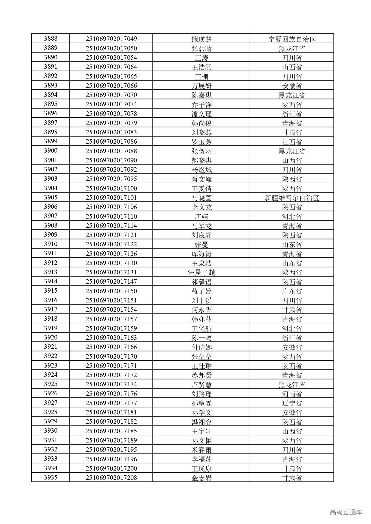
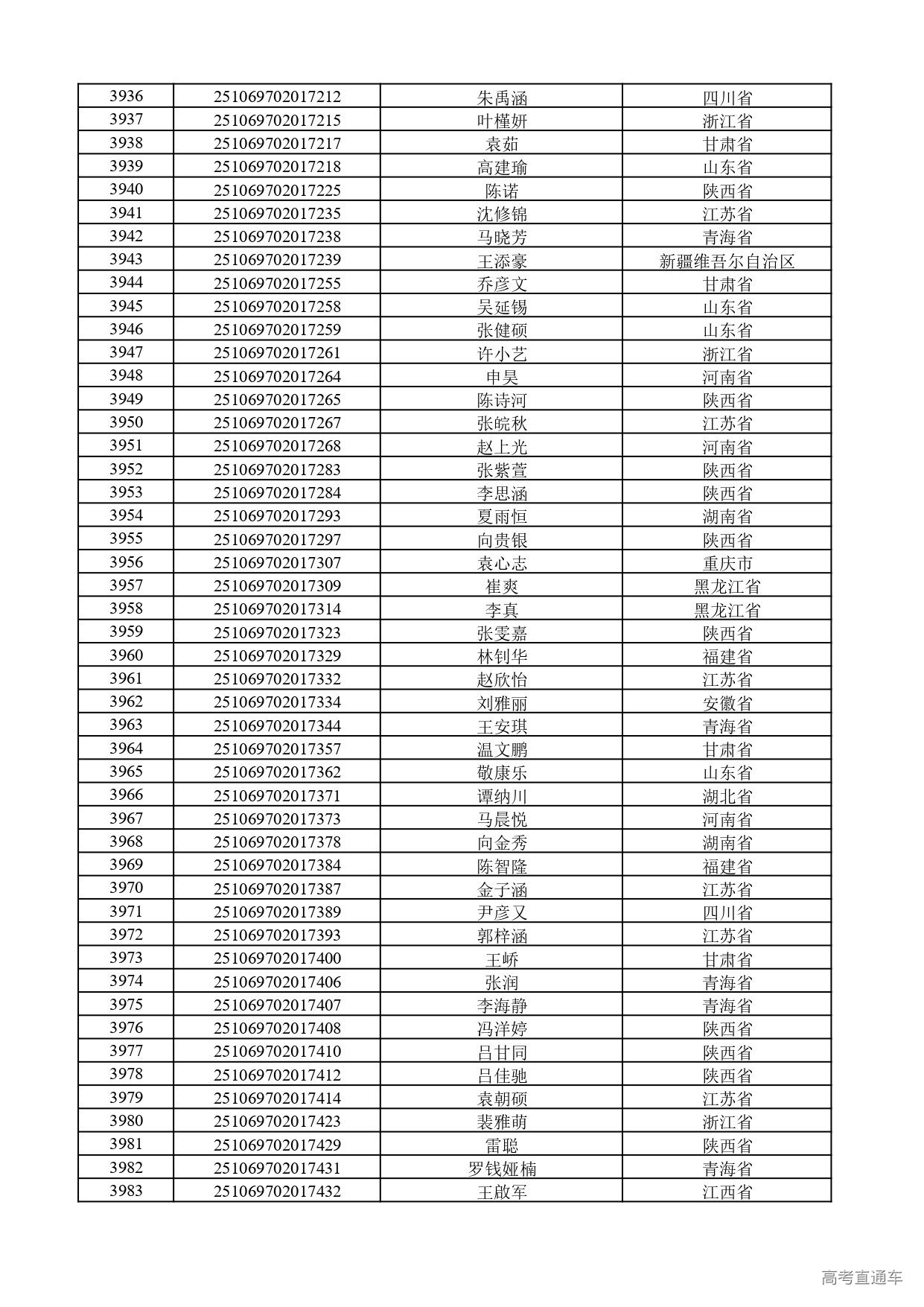
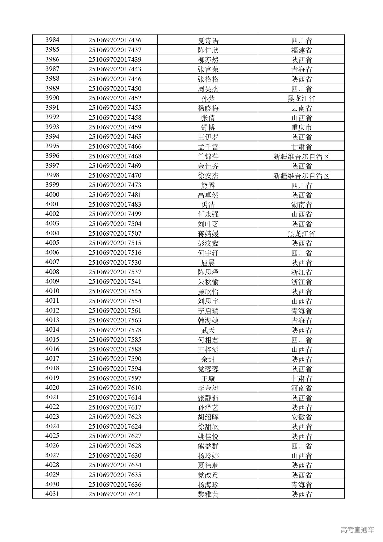
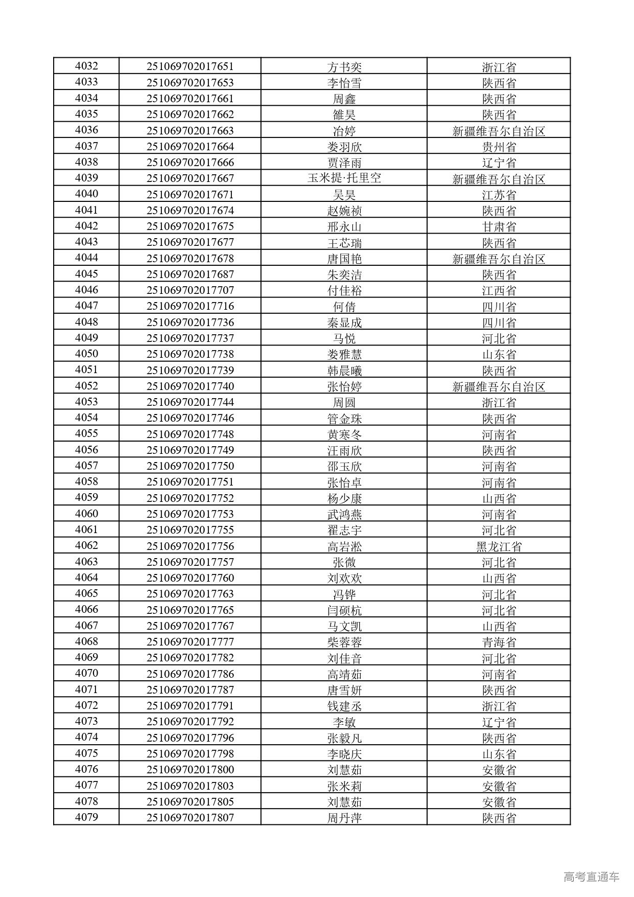
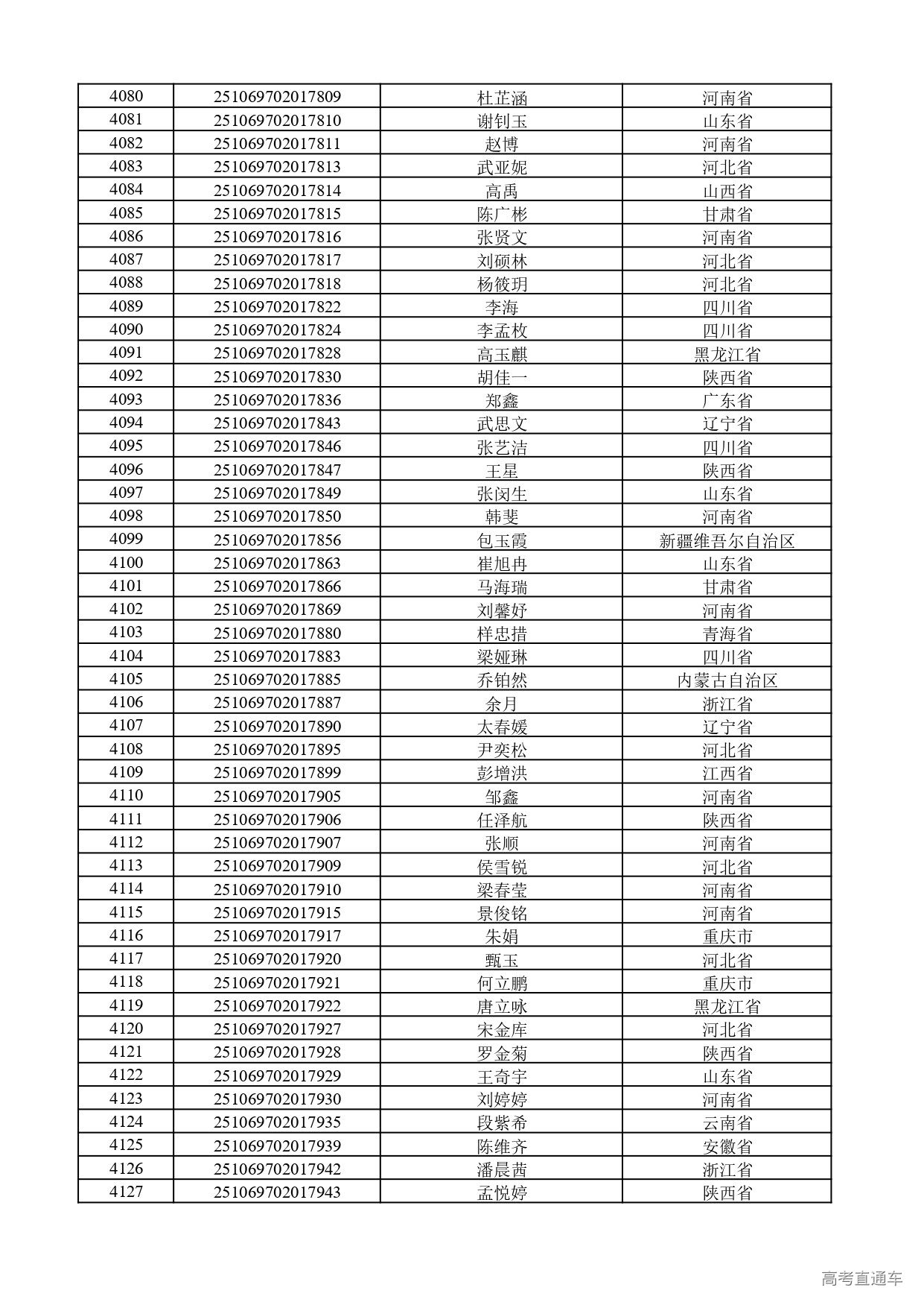
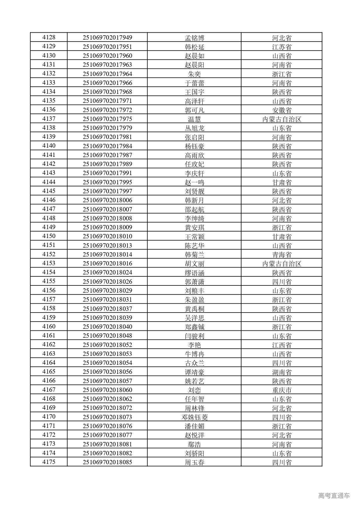
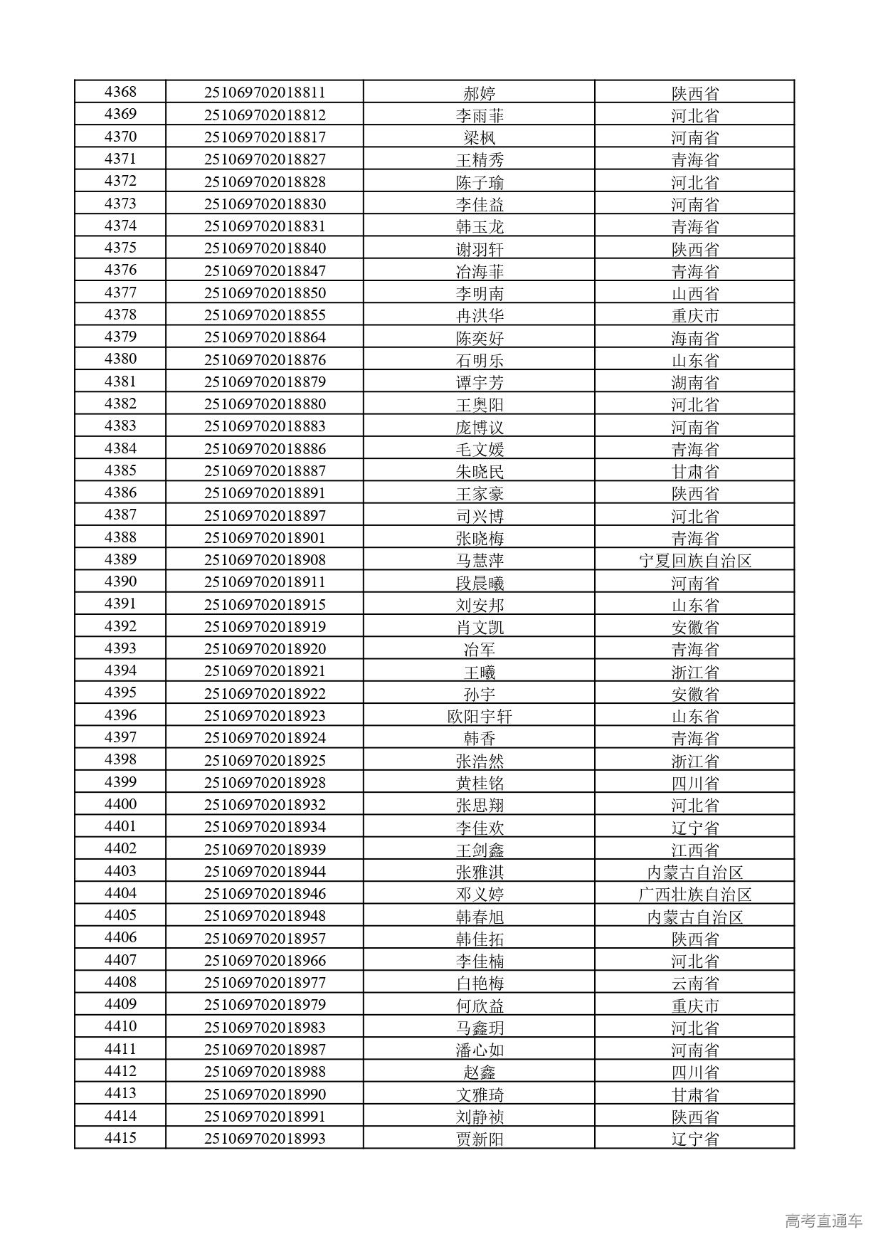
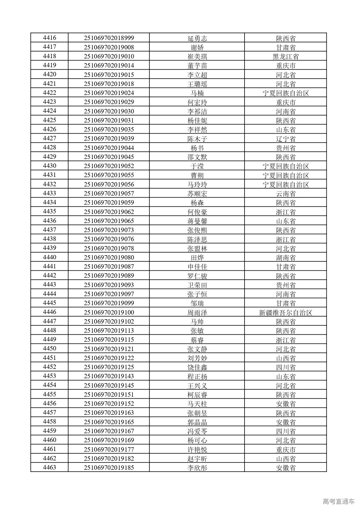
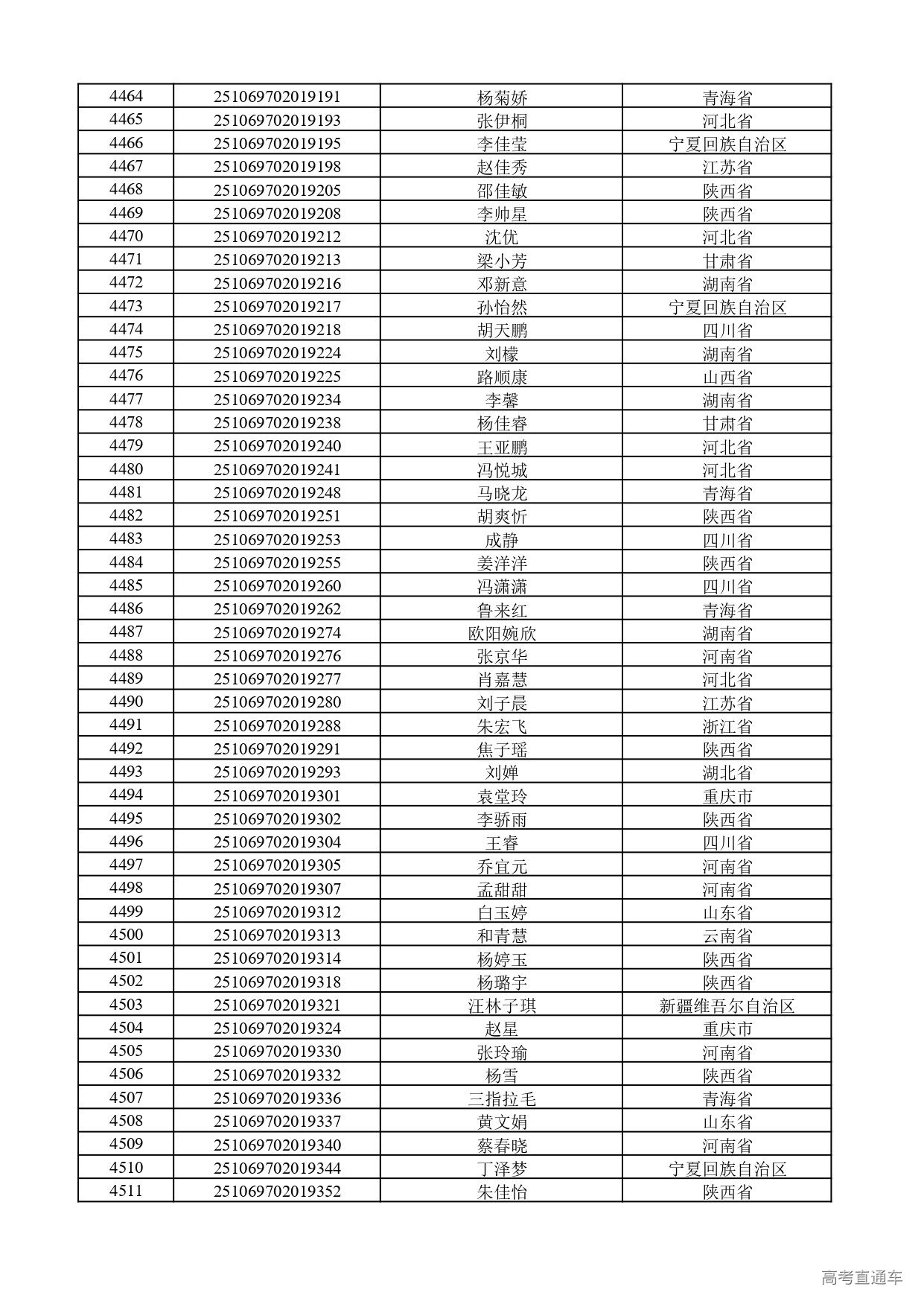
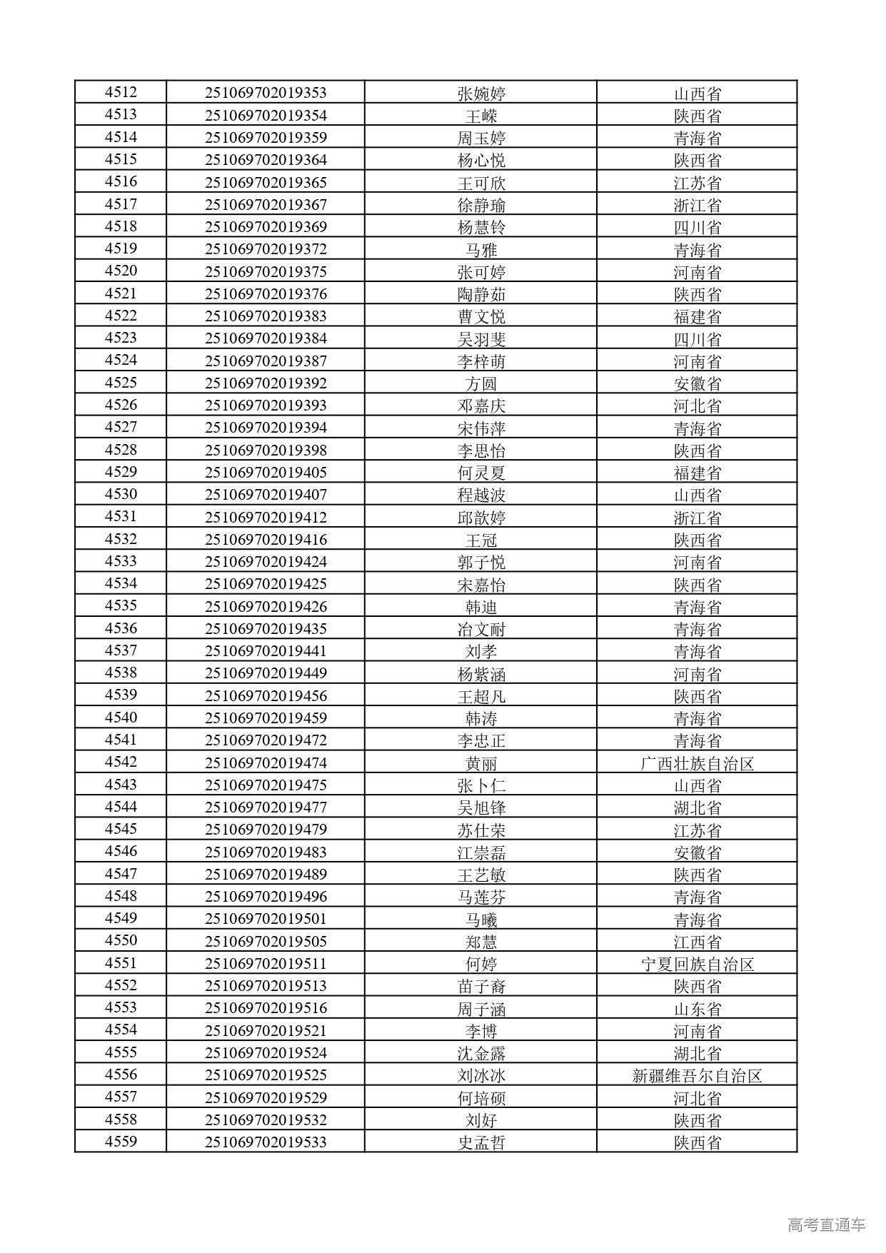
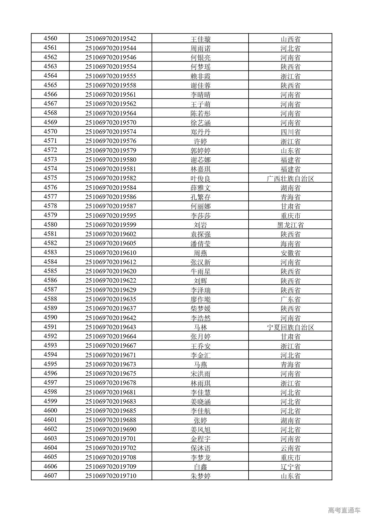
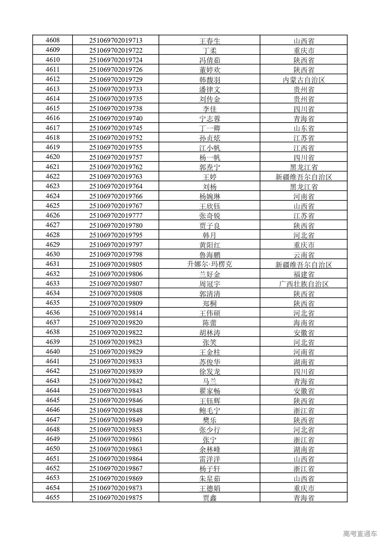
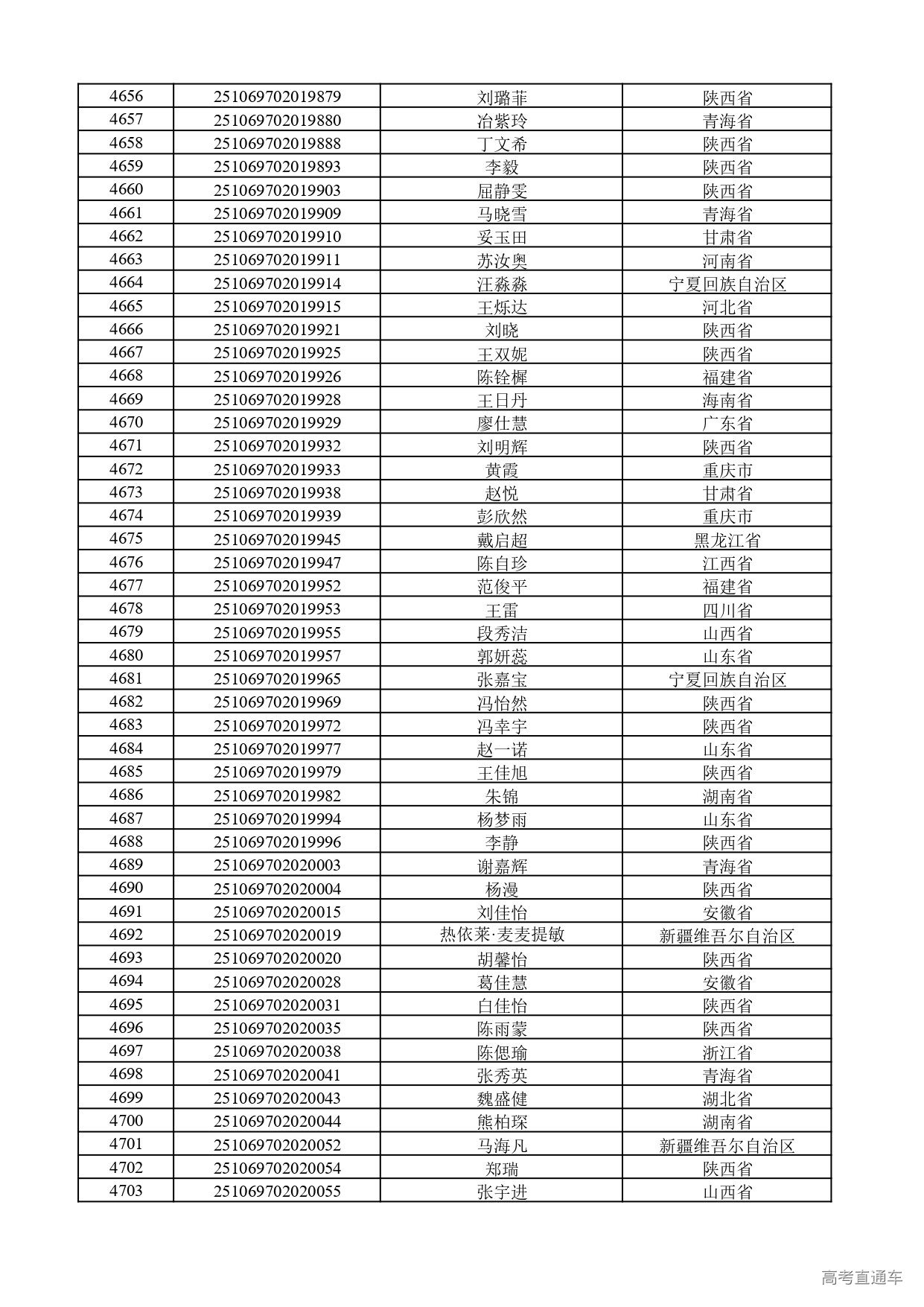
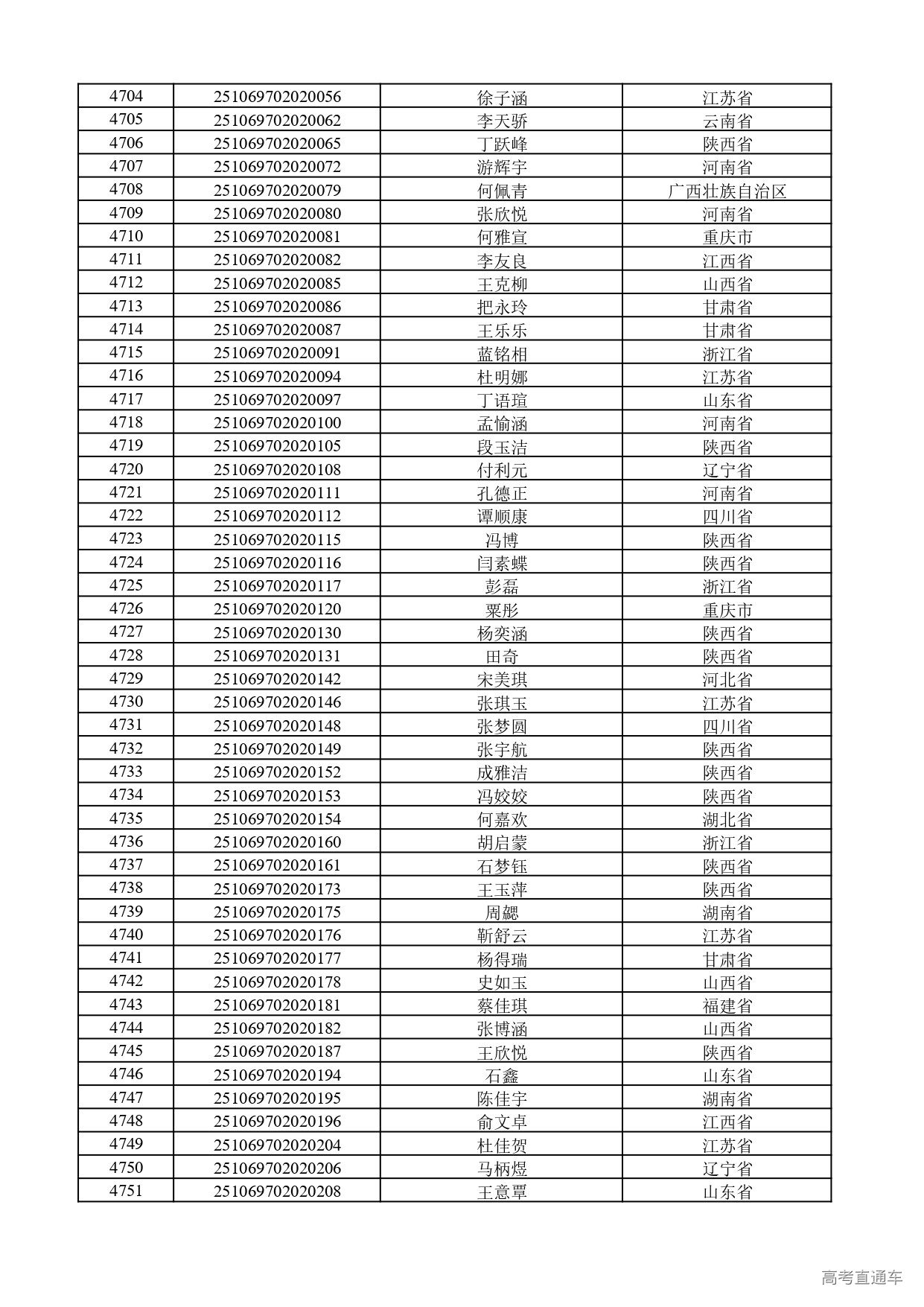
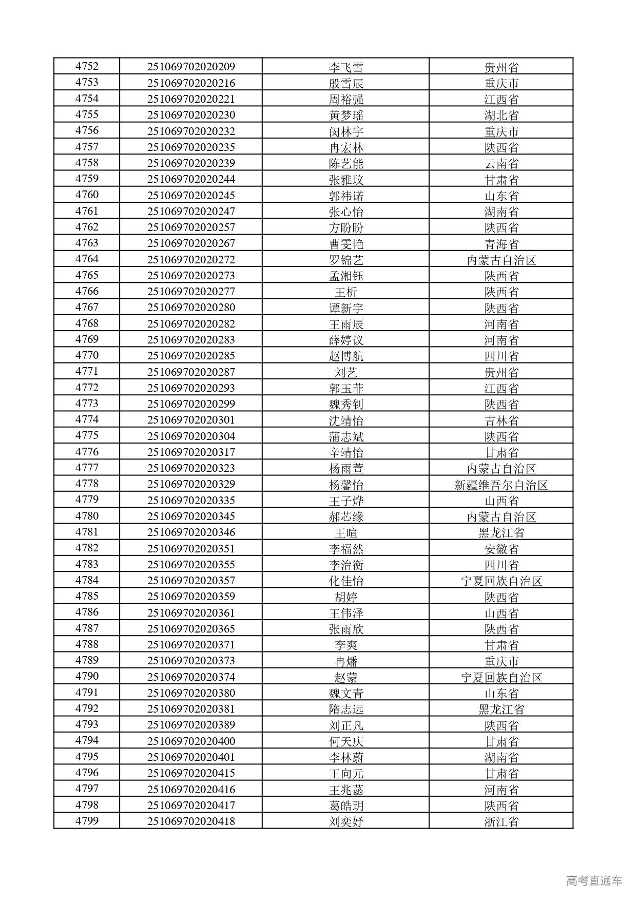
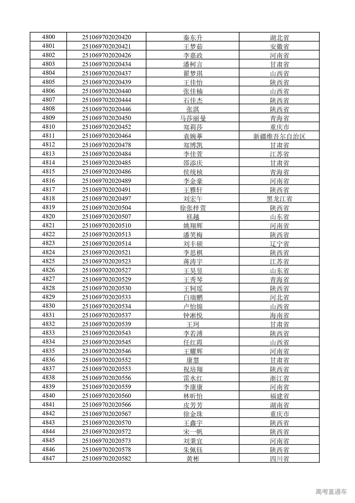
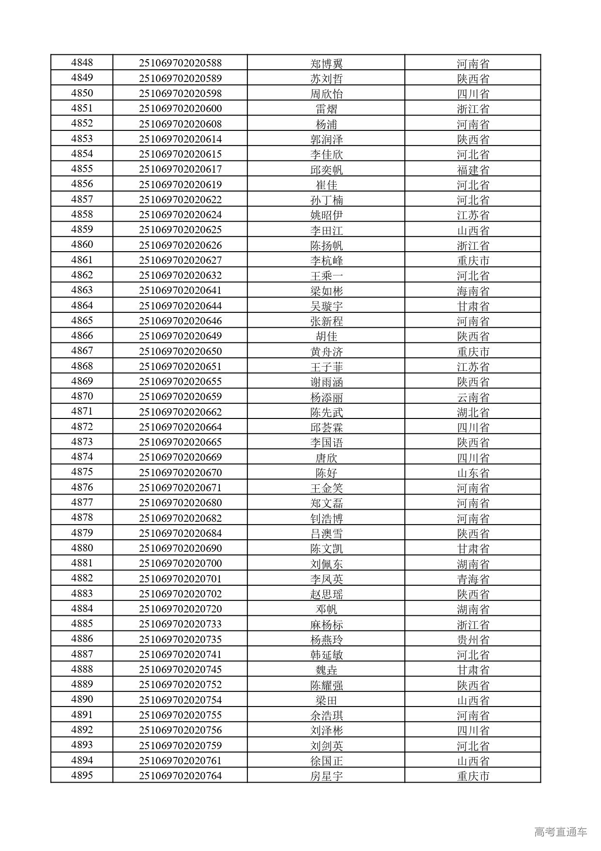
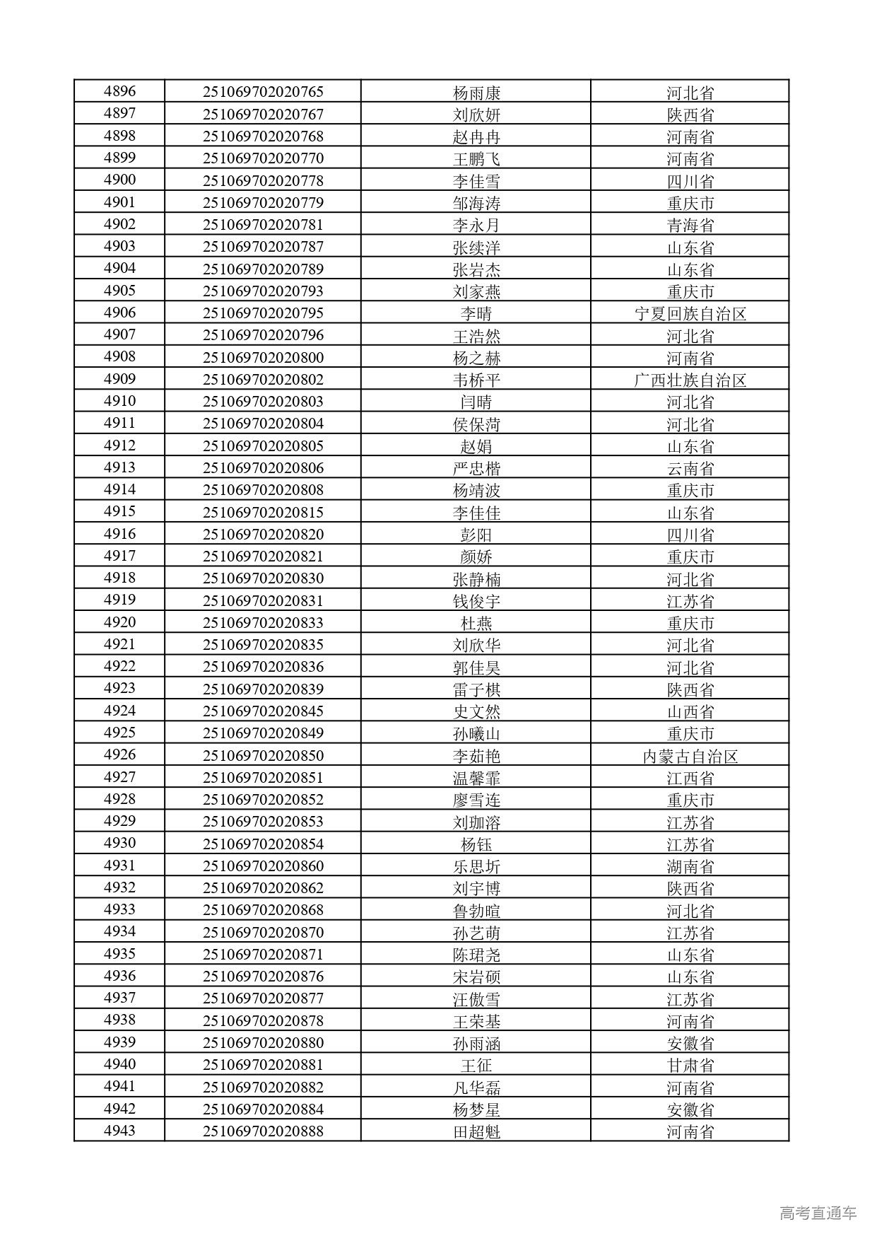
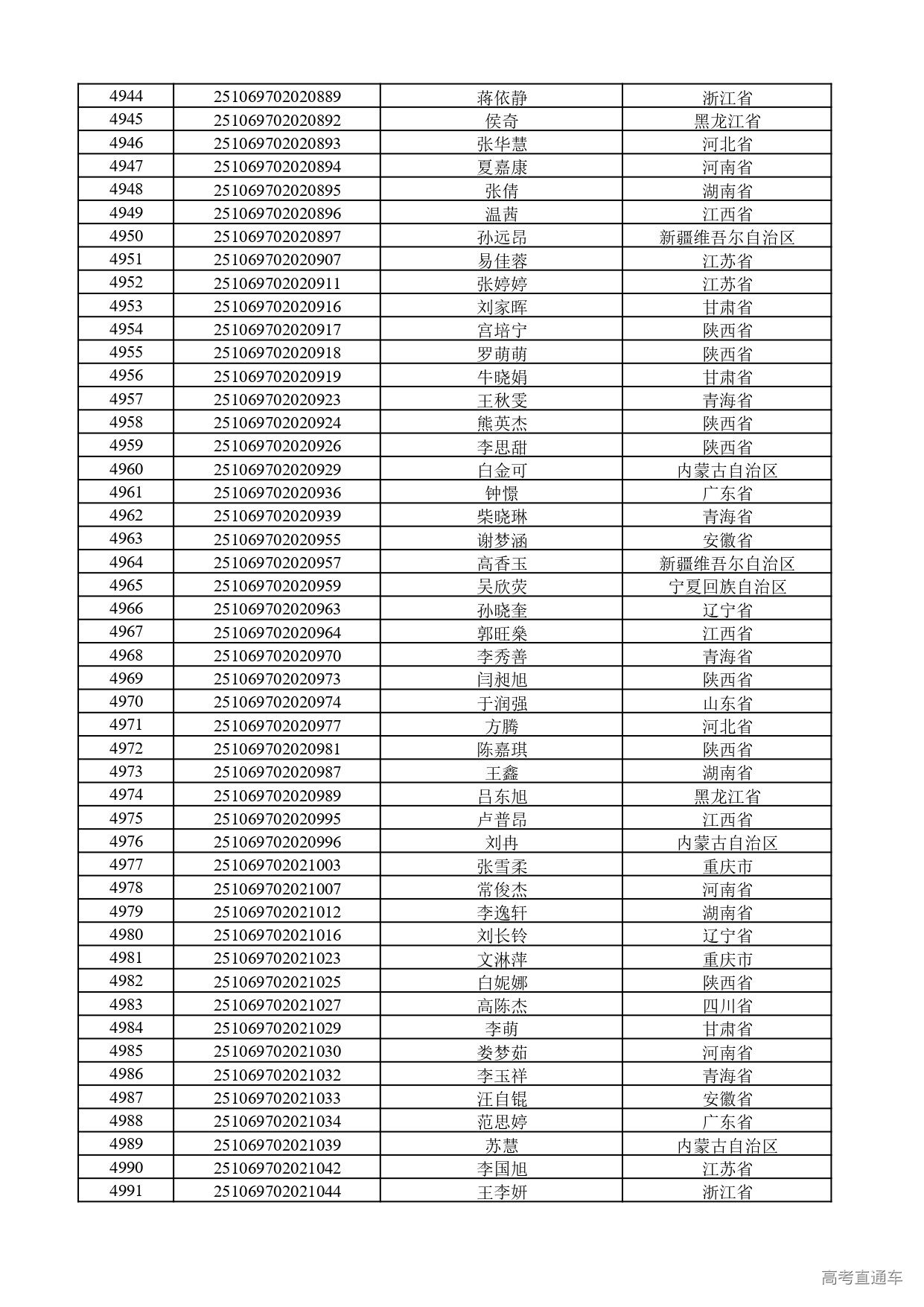
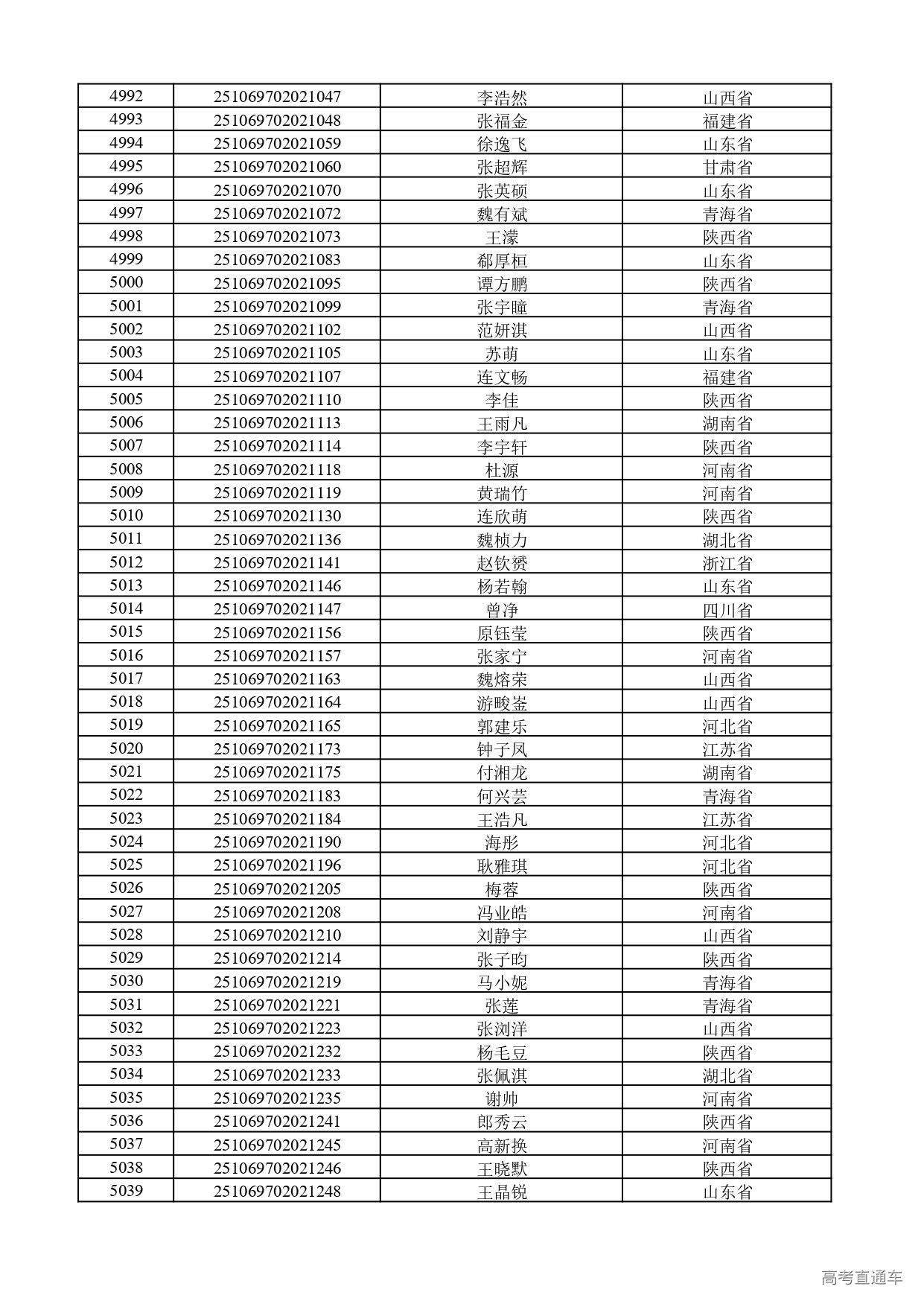
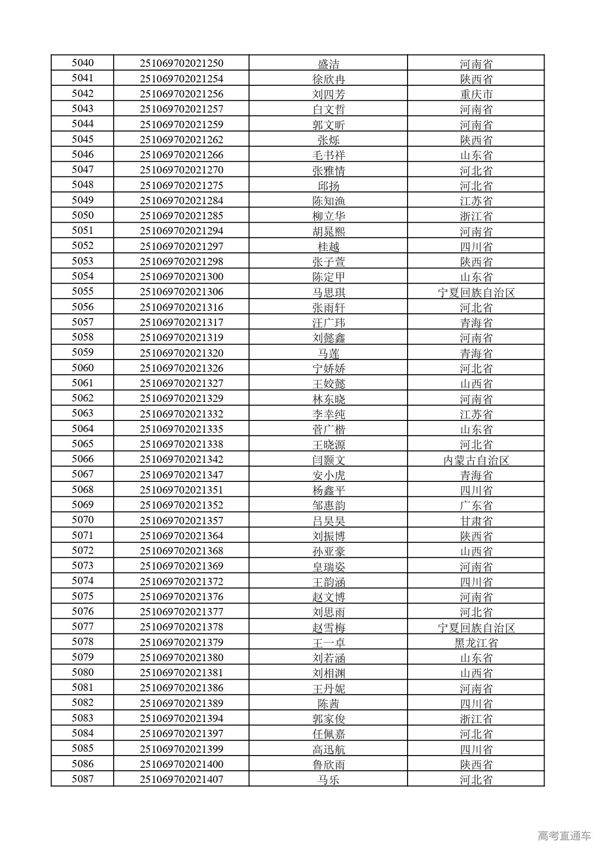
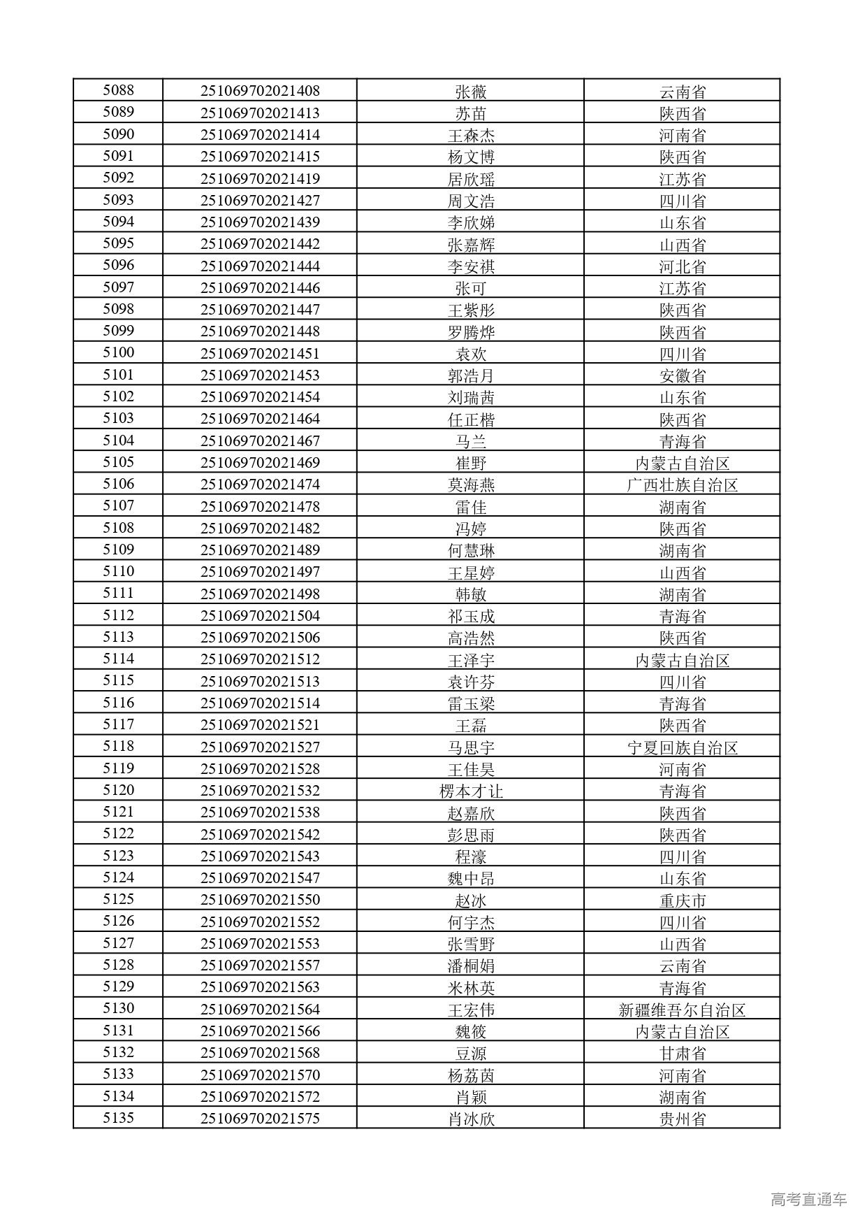
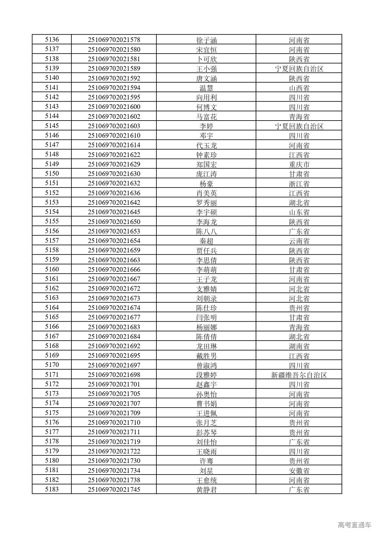
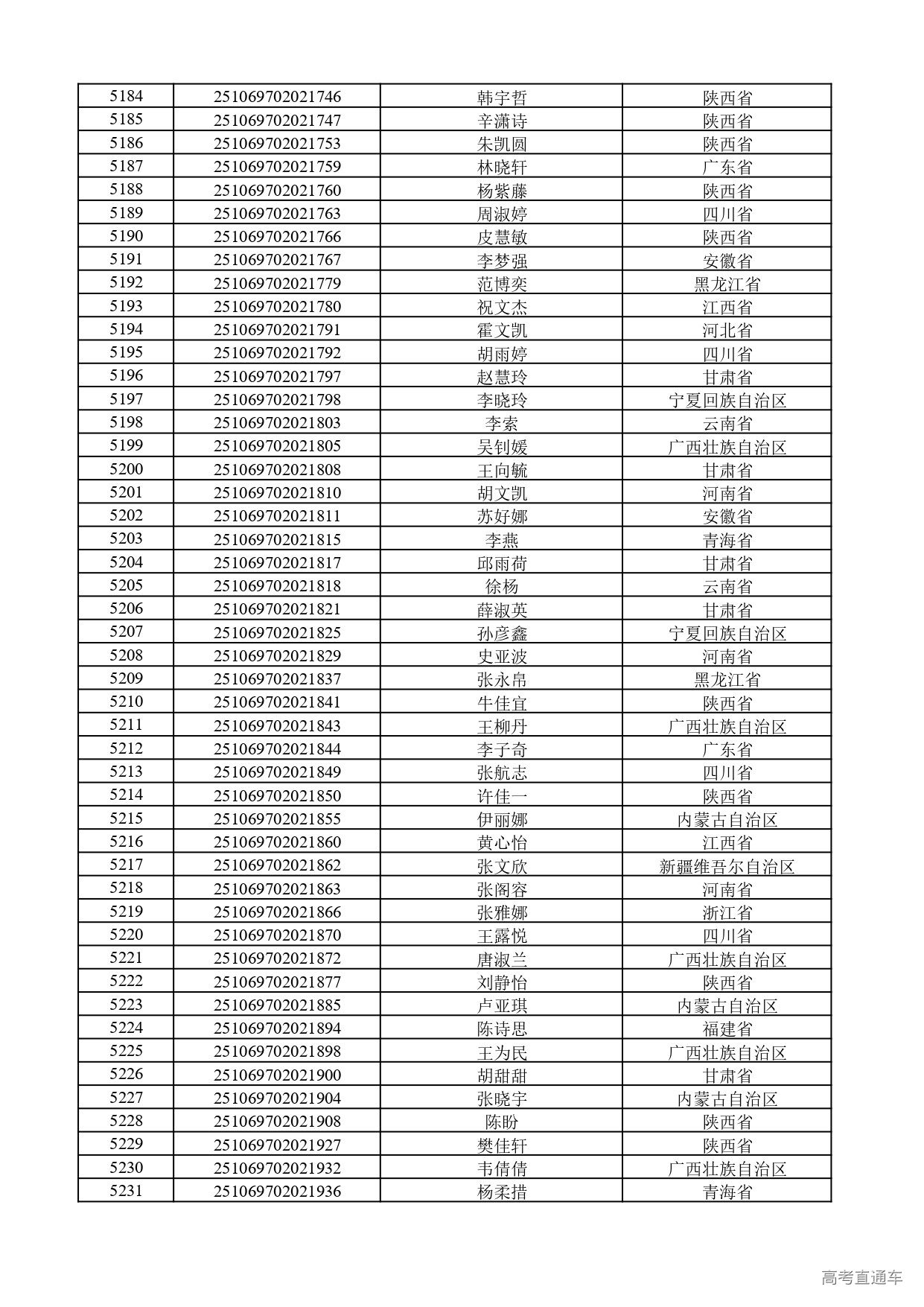
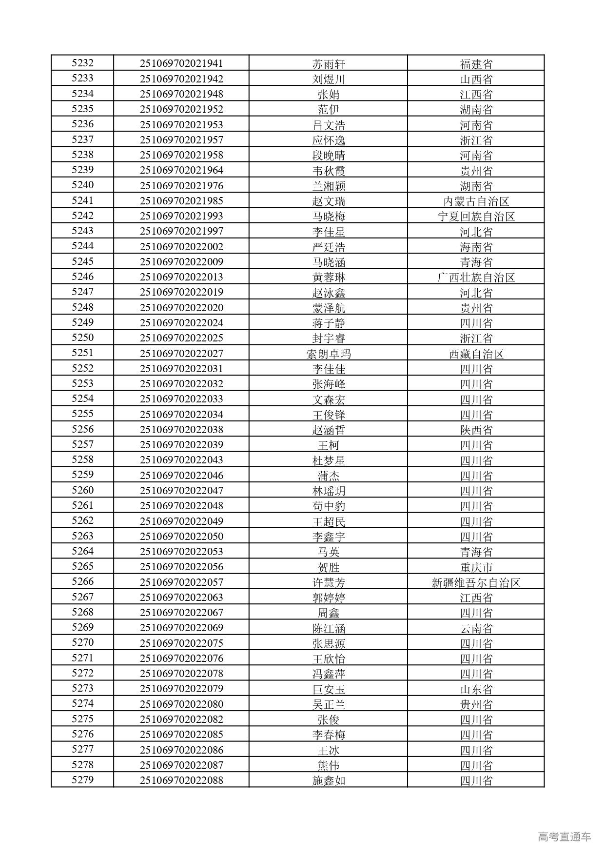
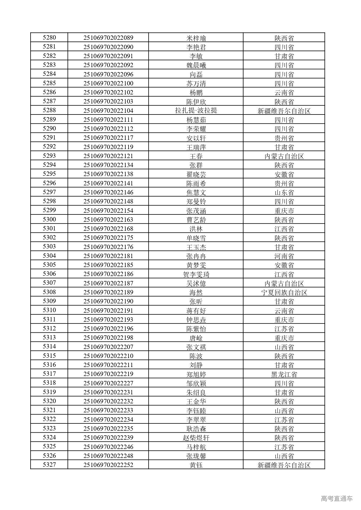
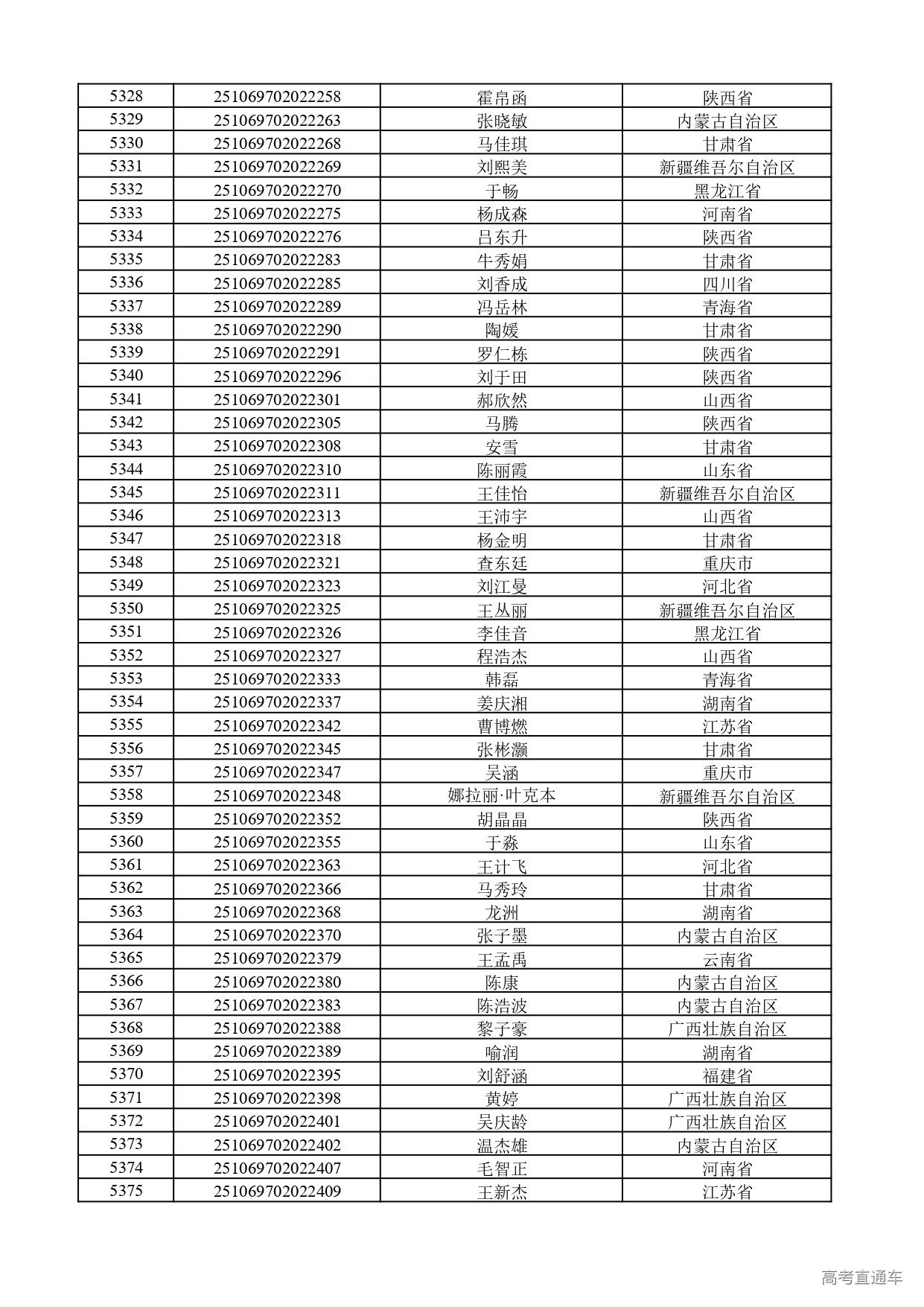
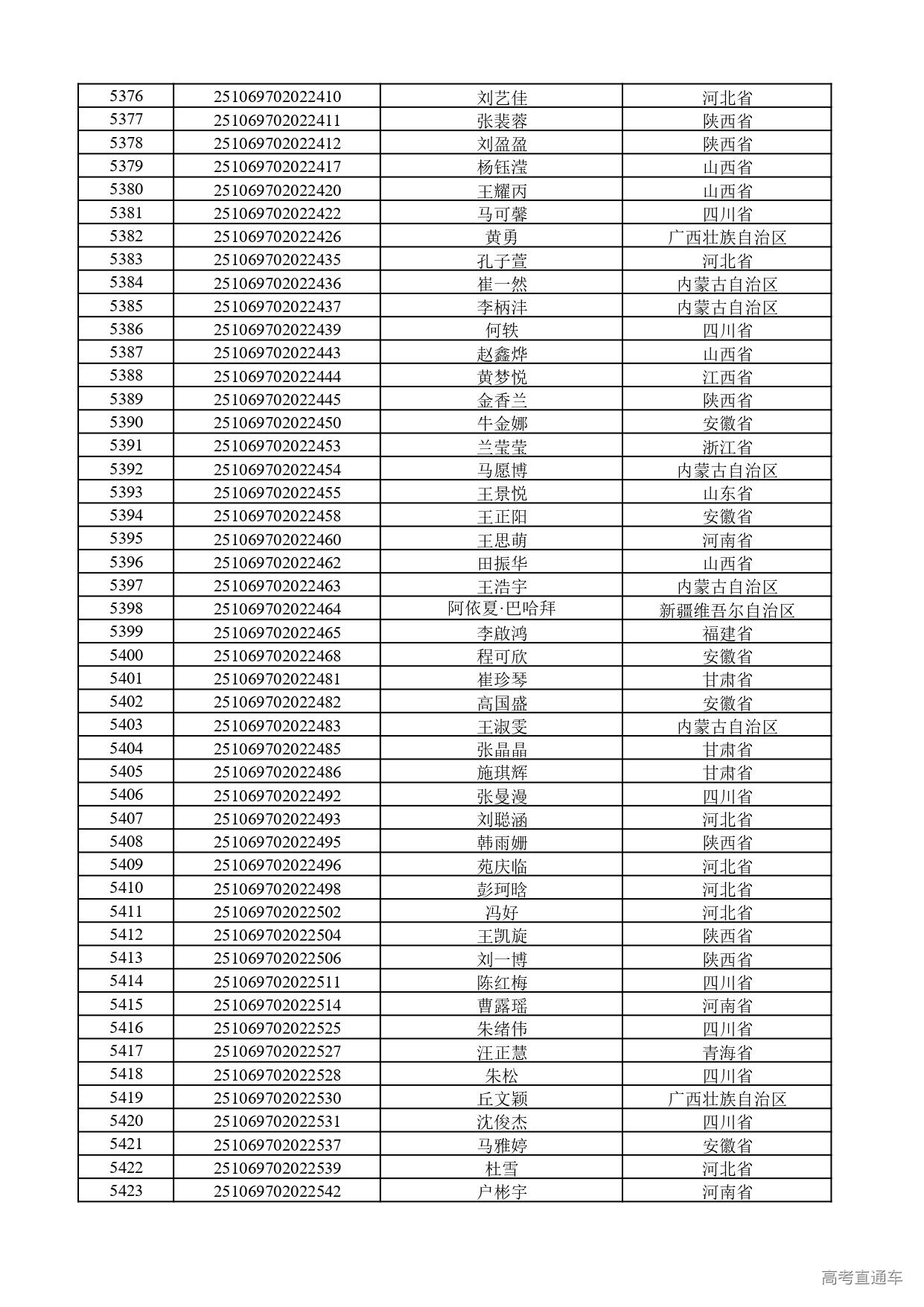
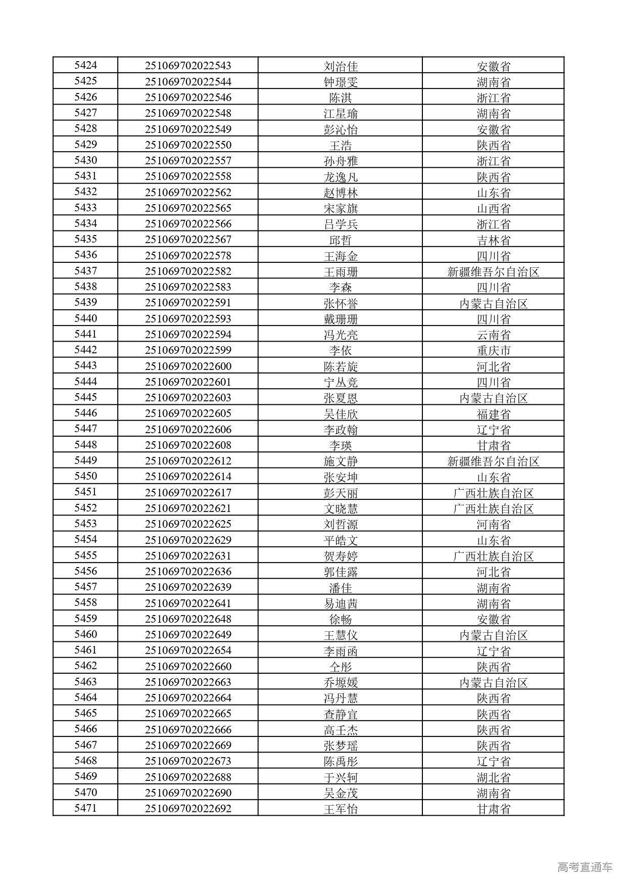
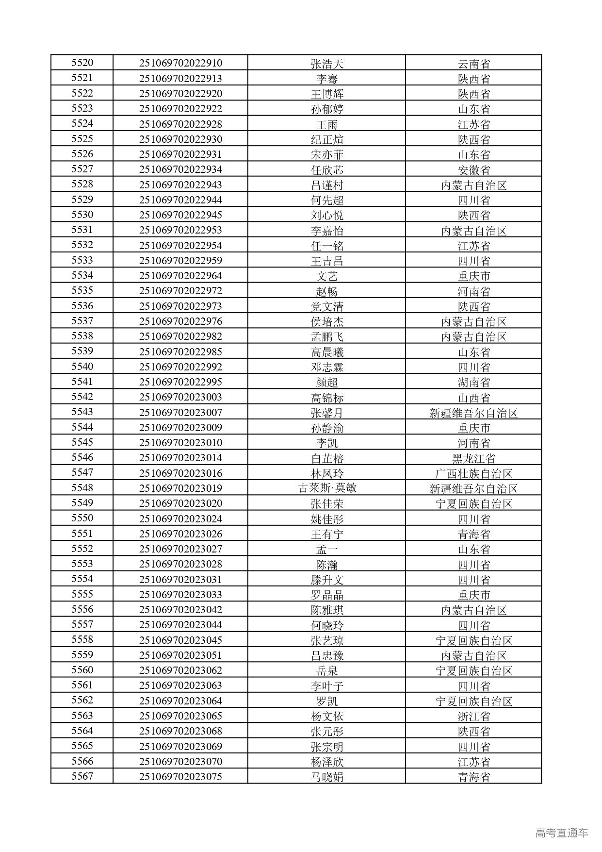
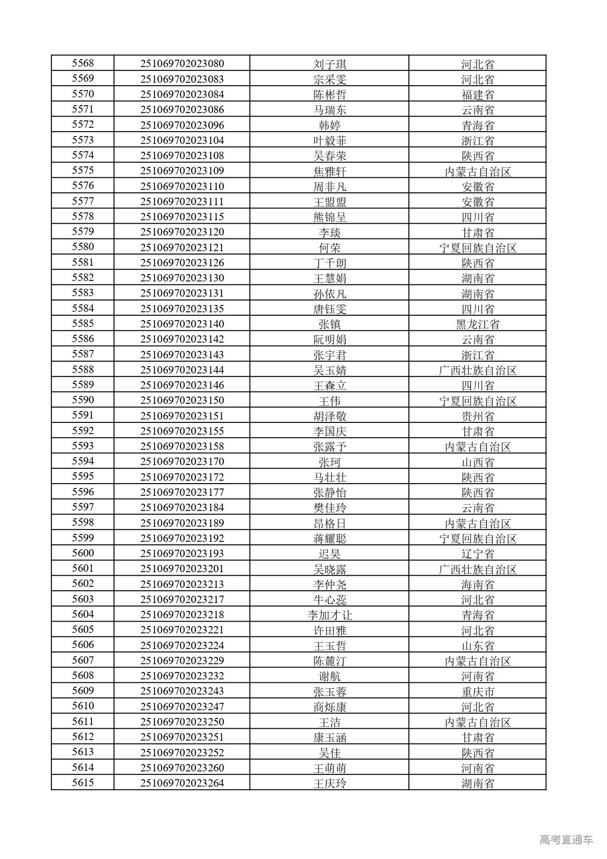
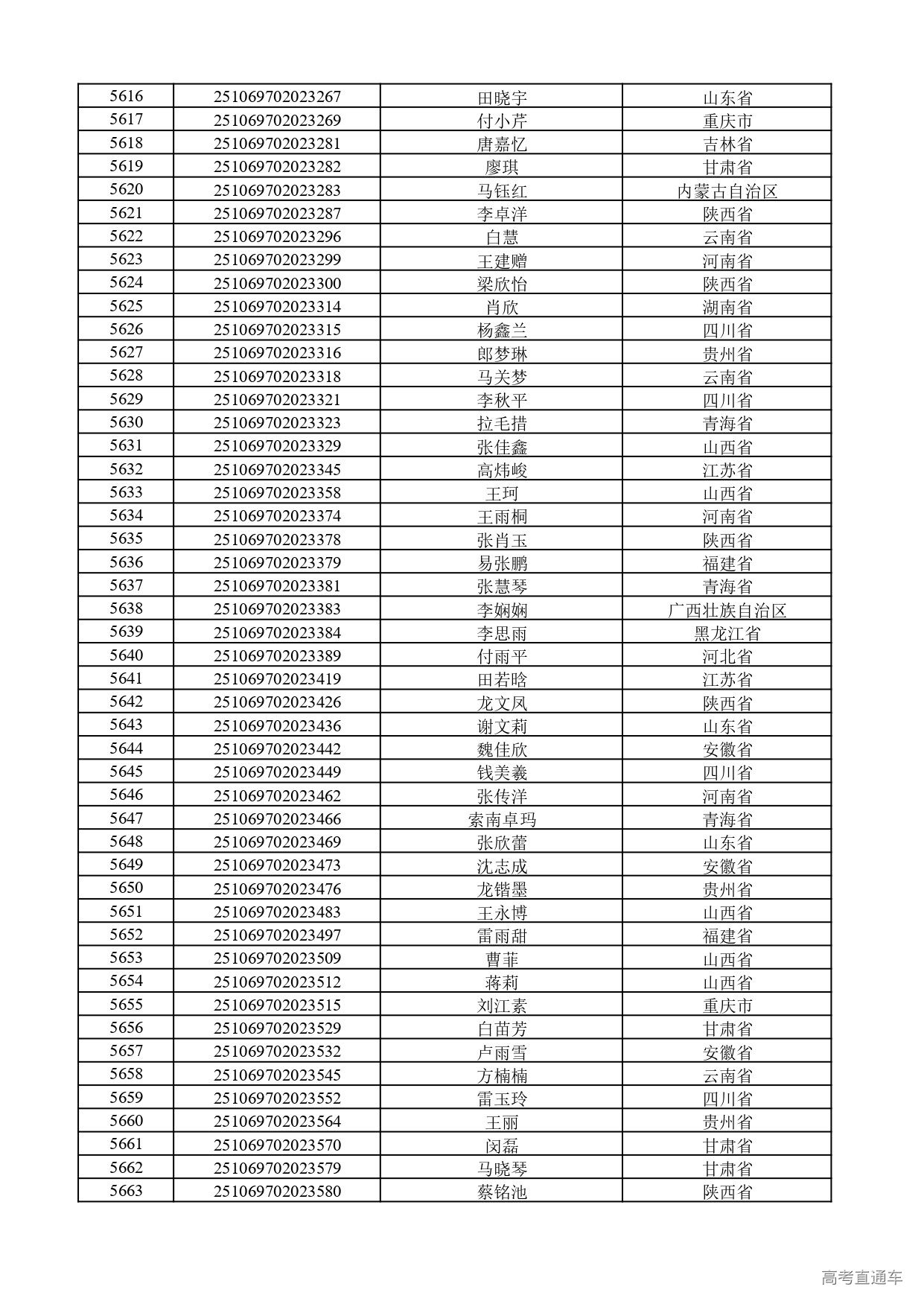
依据教育部相关文件精神以及我校简章要求,结合各省级招生考试主管部门及我校高校专项专家评审工作组对报名材料审核的结果,经学校招生工作领导小组审议,确定初审通过名单。现公示如下(见附件,按报名号排序)。公示时间为6月5日-6月9日,如有异议,请在公示期内以书面形式或电话方式实名向我校反映。公示无异议的考生将获得西北大学2025年高校专项计划合格资格。获得该合格资格的考生须参加2025年全国普通高等学校统一招生考试,按生源所在省级招生主管部门的有关规定填报我校志愿,具体招生专业及计划数以各省级招生主管部门公布为准。我校将按照《西北大学2025年高校专项计划招生简章》中公布的录取办法进行录取。
招生办公室电话:029-88302211
纪检监察机构电话:029-88308129
电子邮箱:zsb@nwu.edu.cn
西北大学招生办公室
2025年6月5日






















































































































