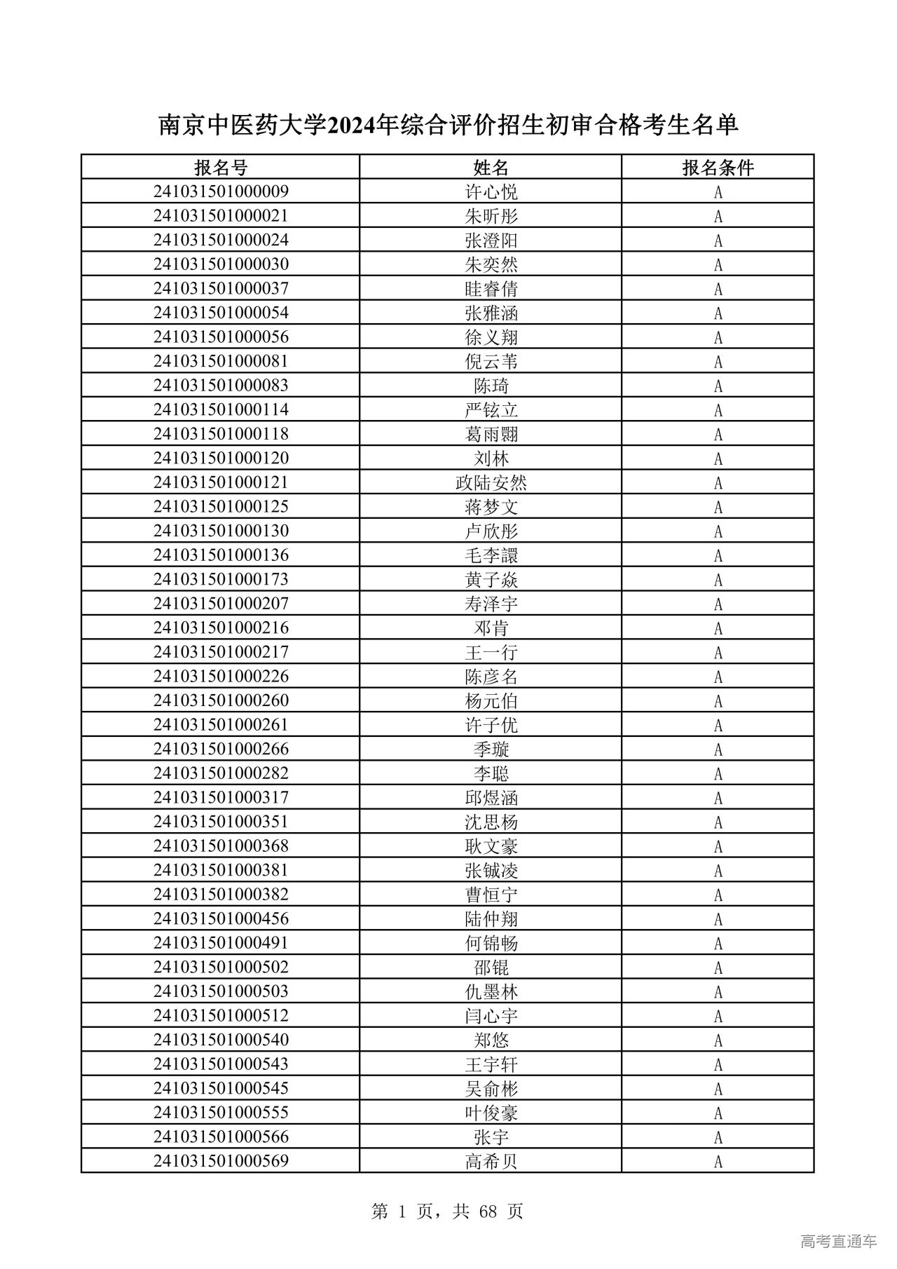
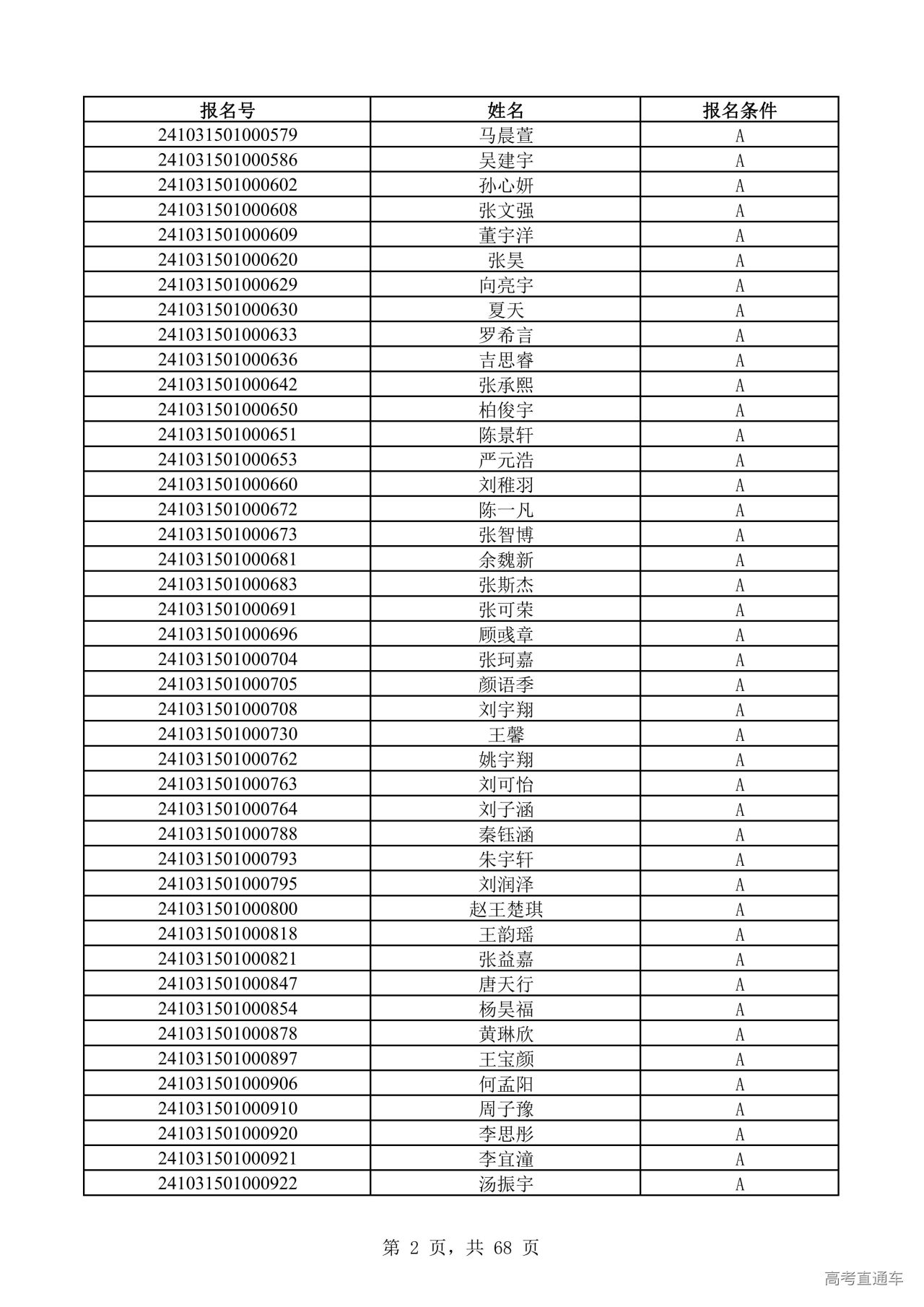
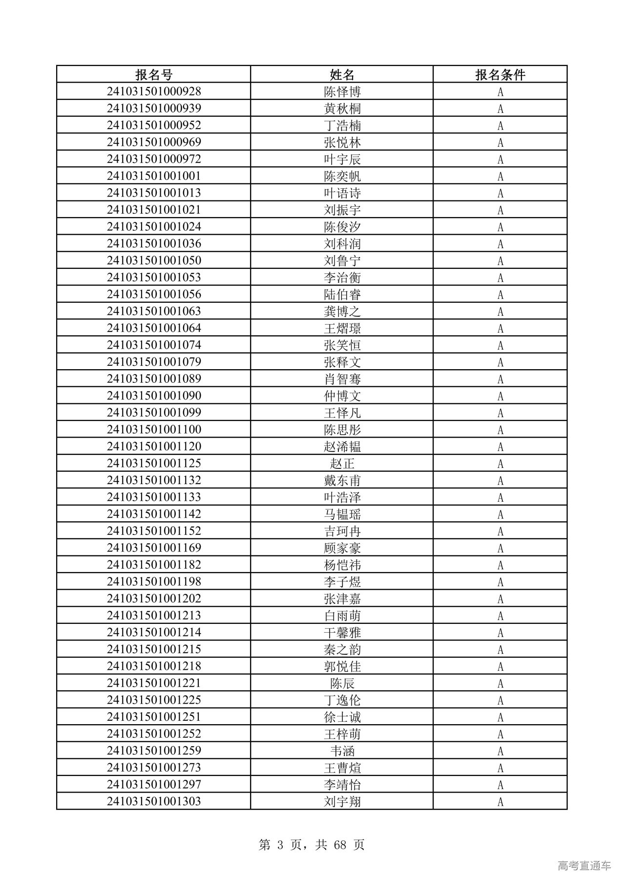
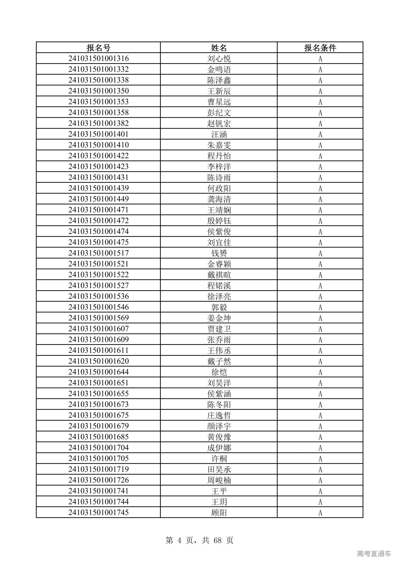
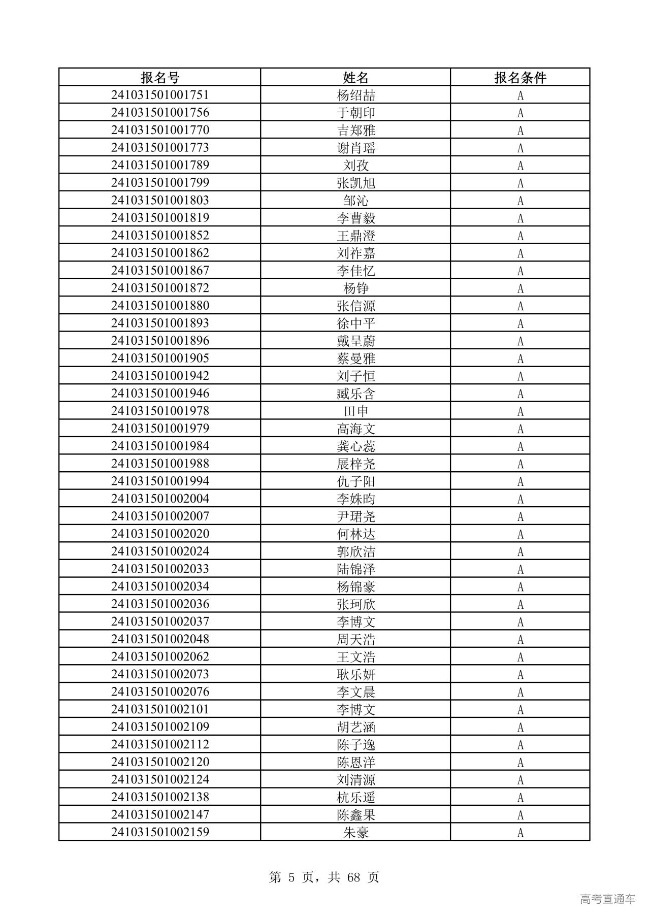
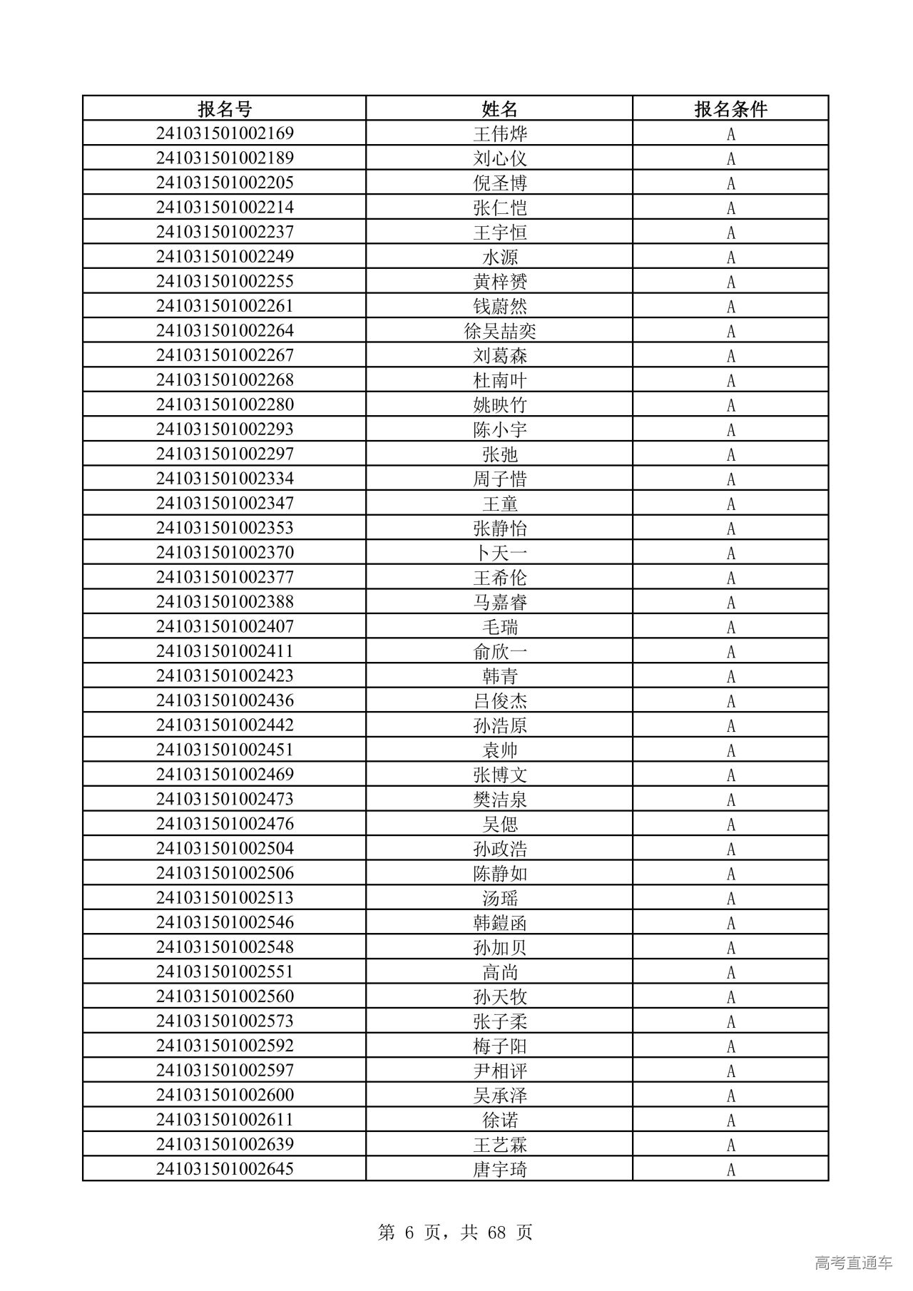
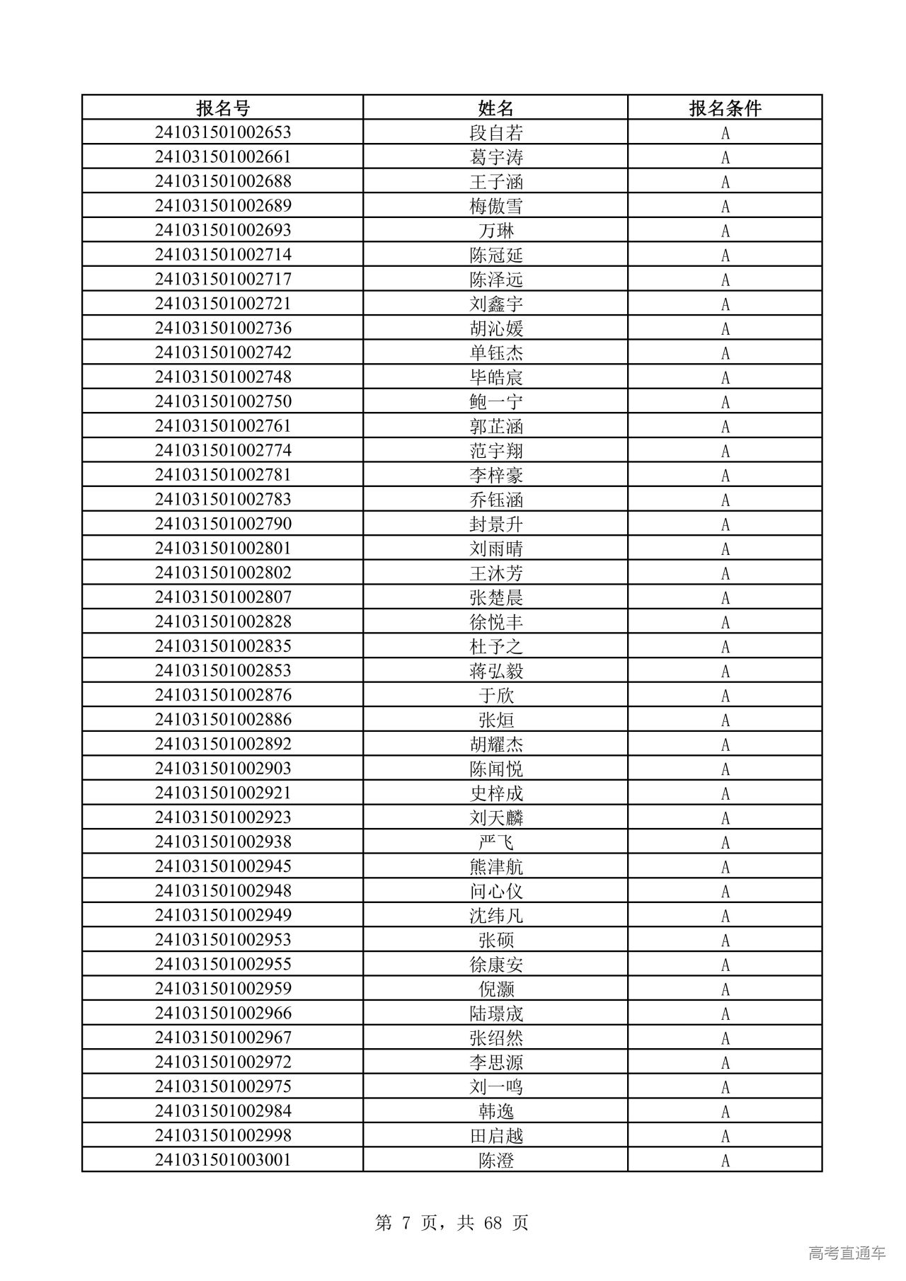
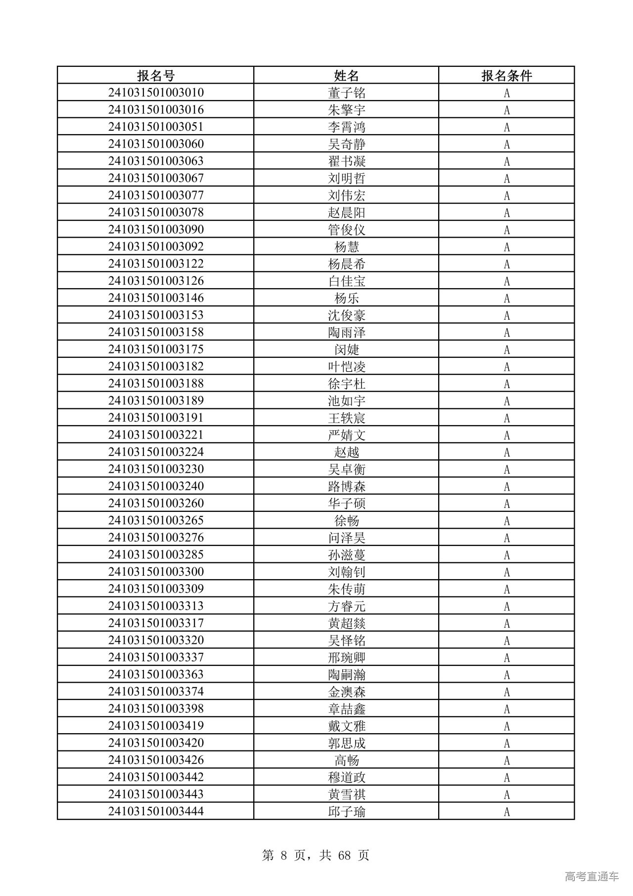
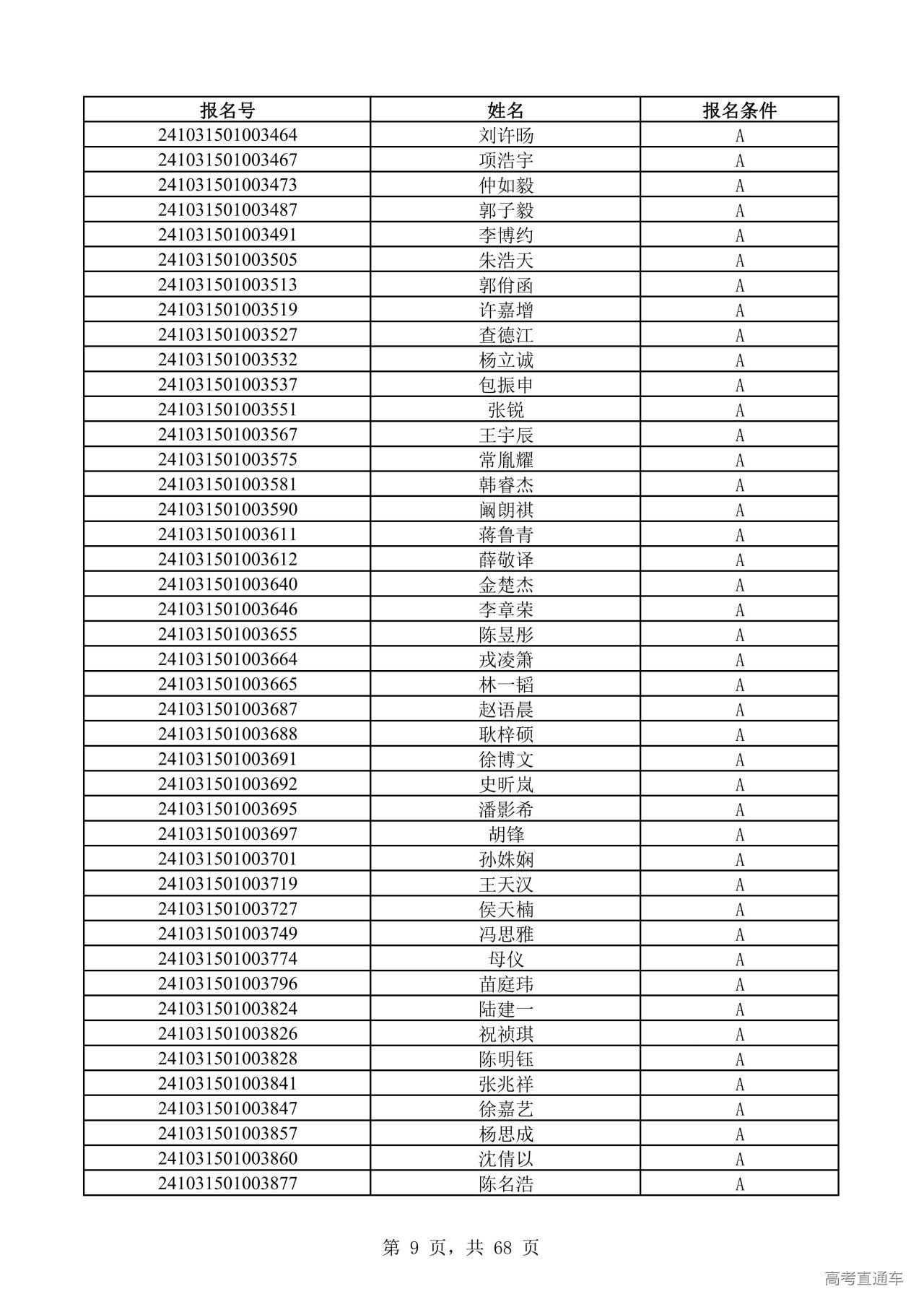
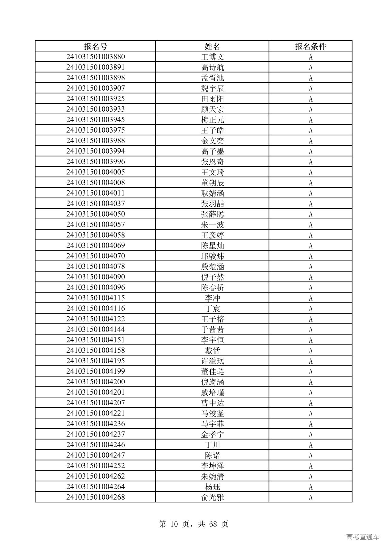
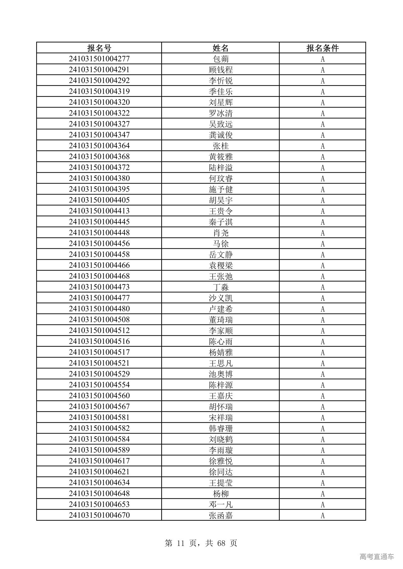
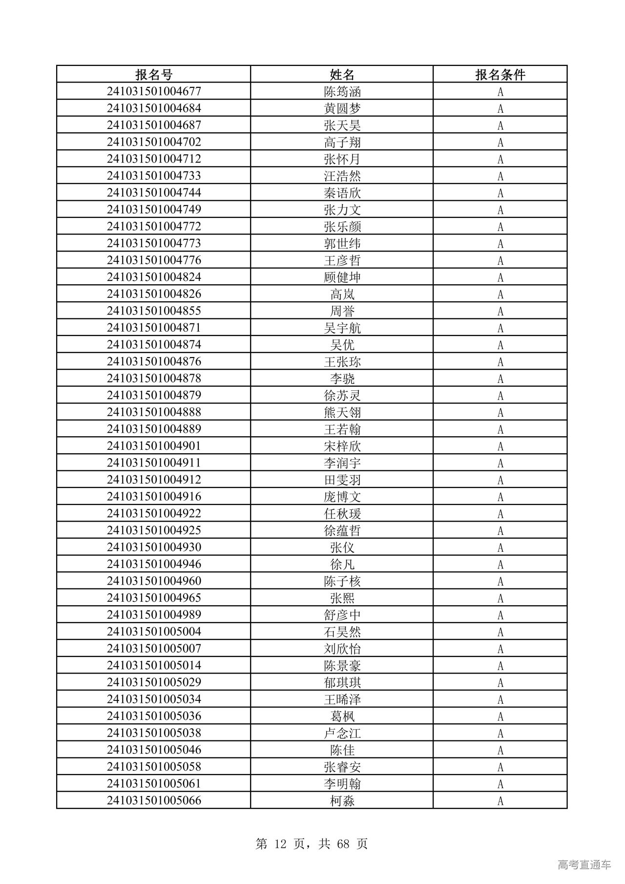
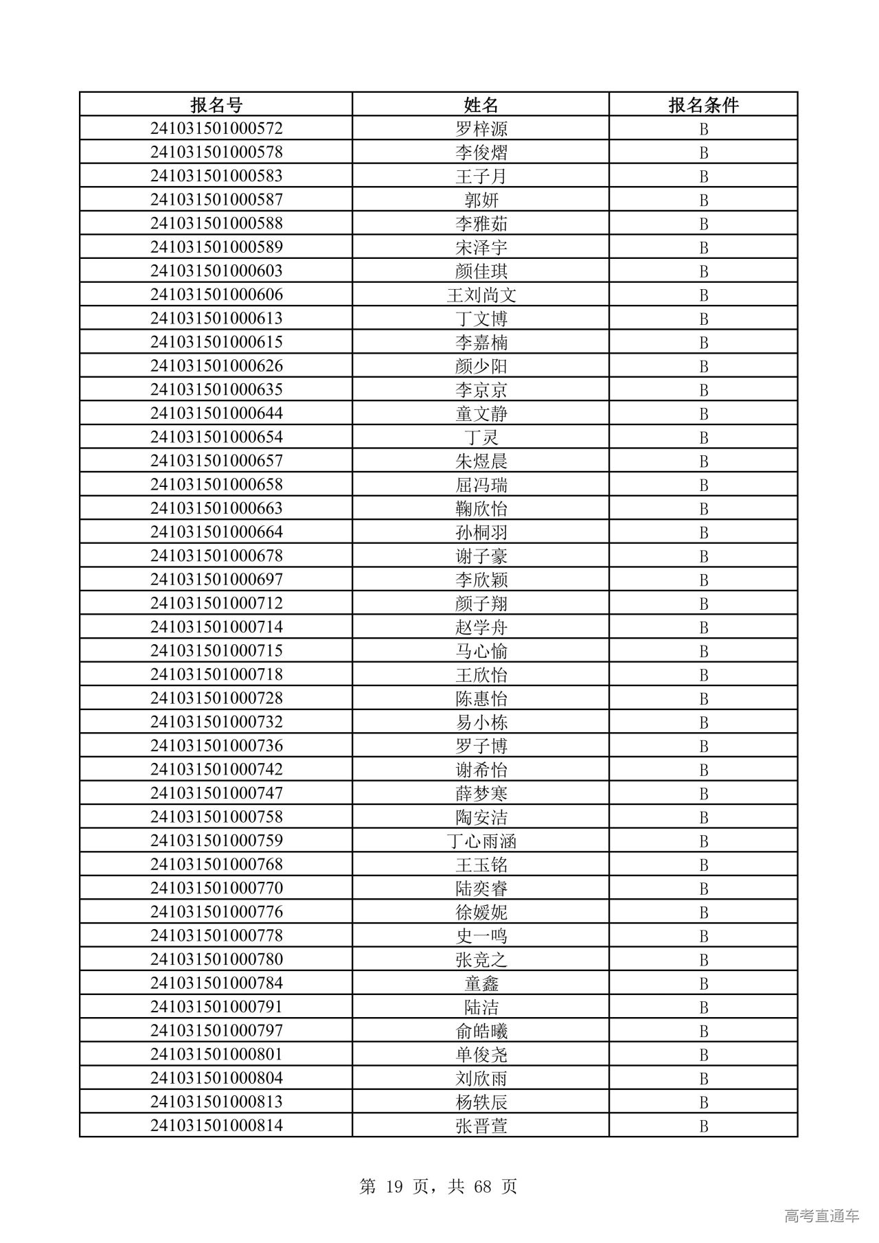
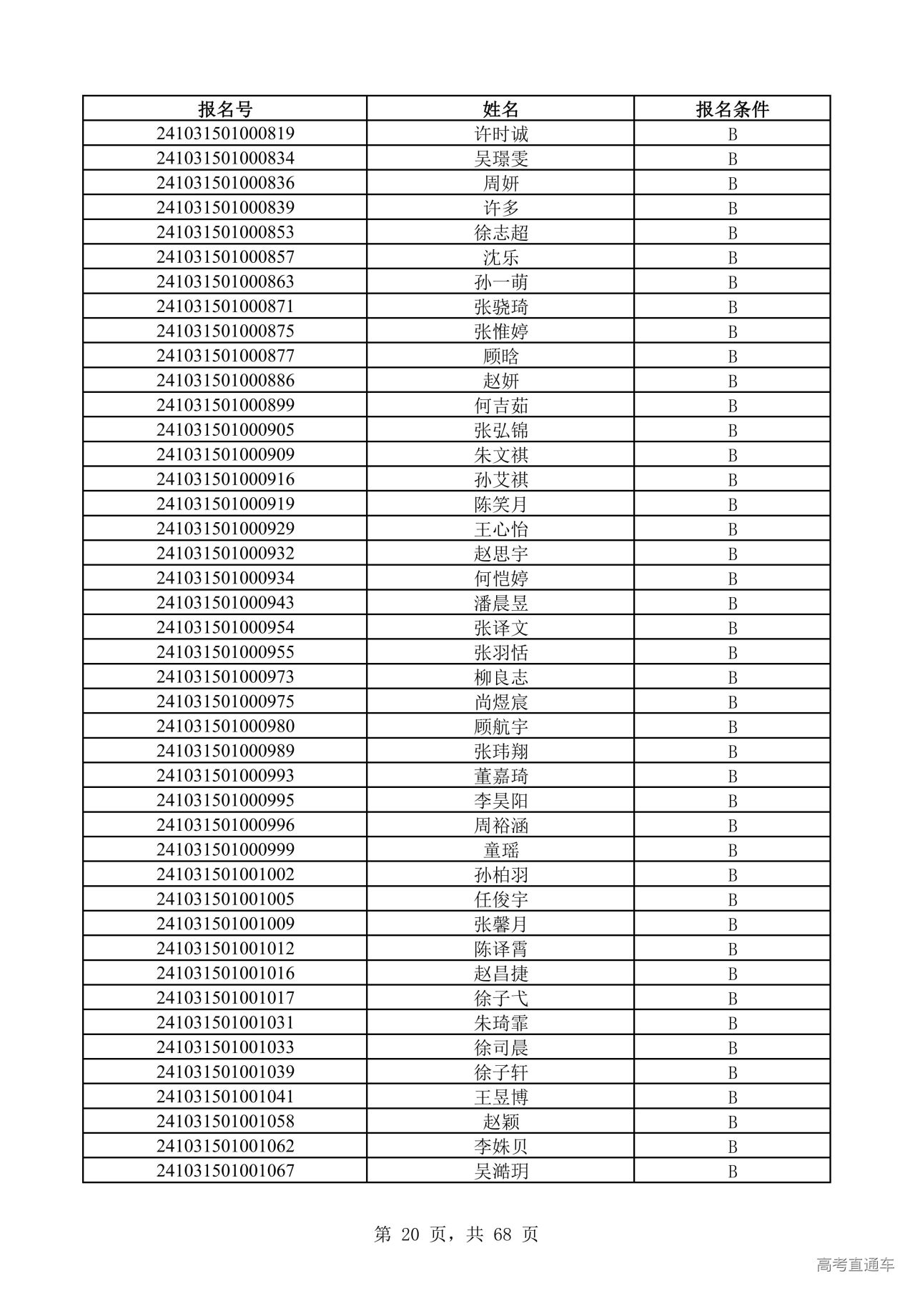
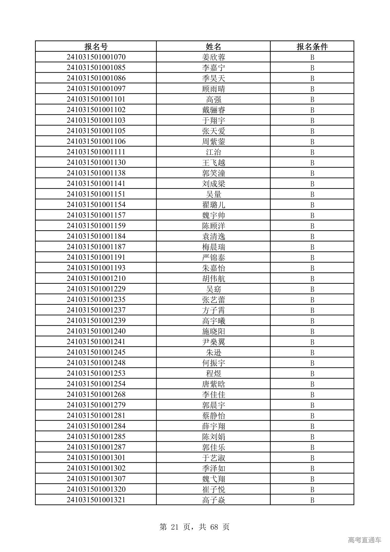
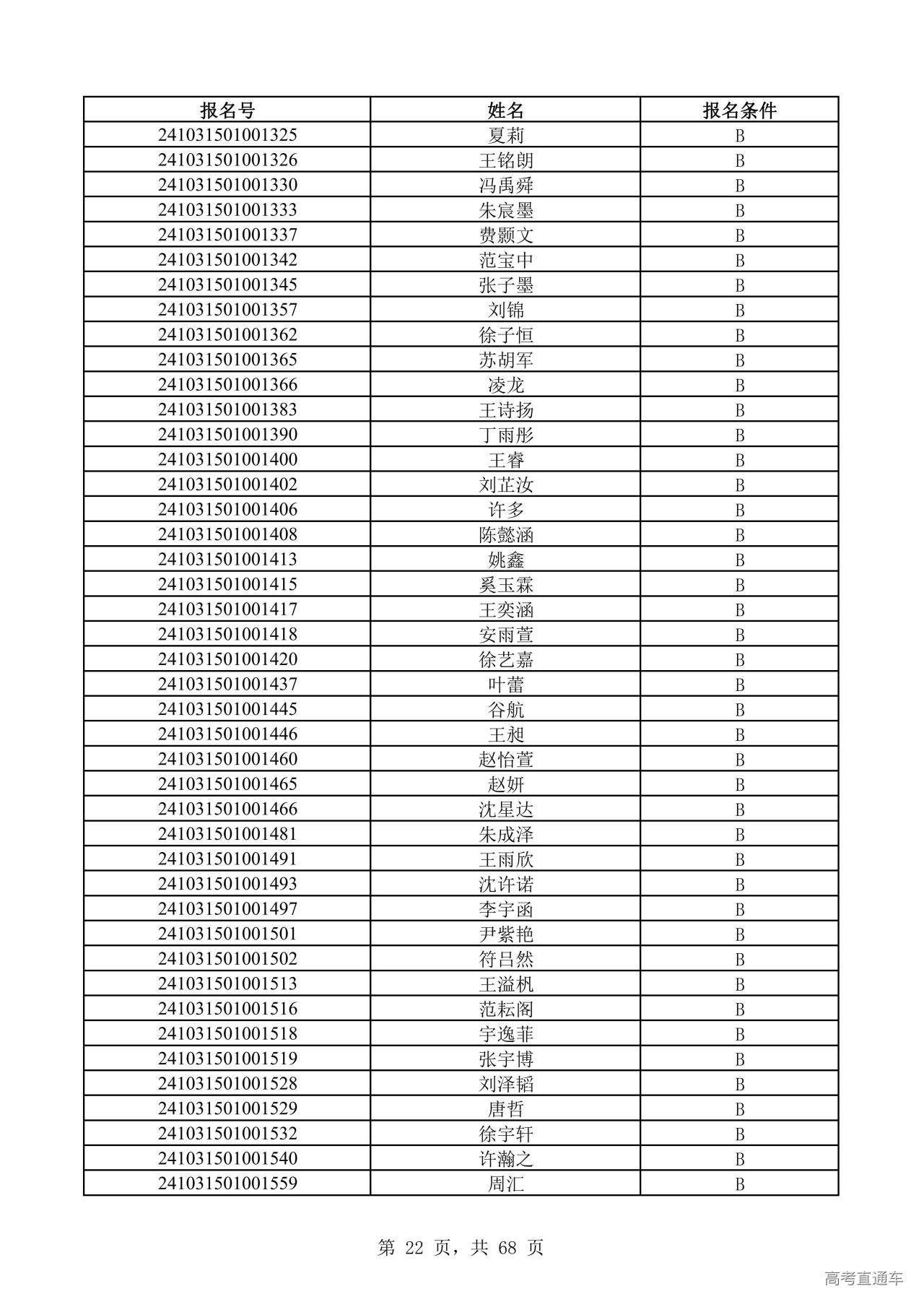
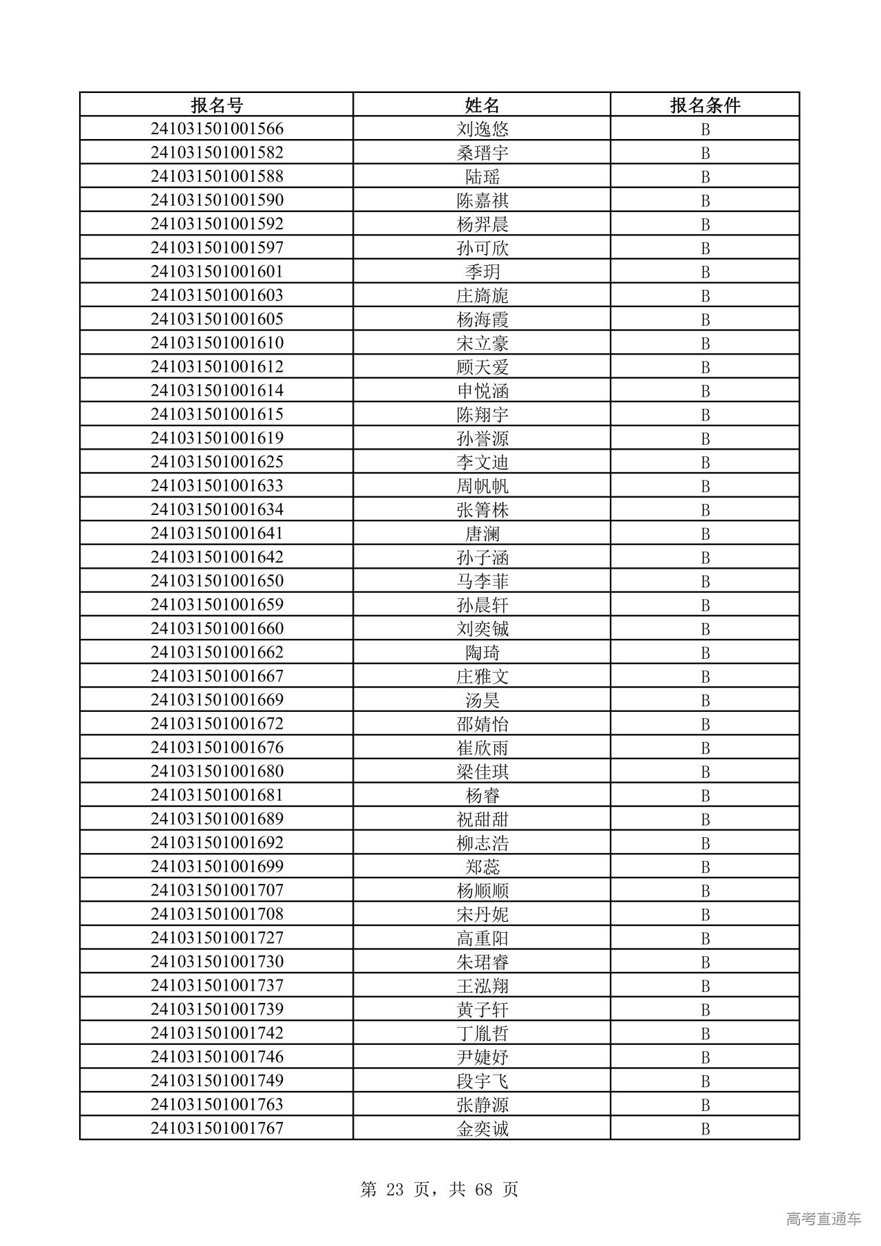
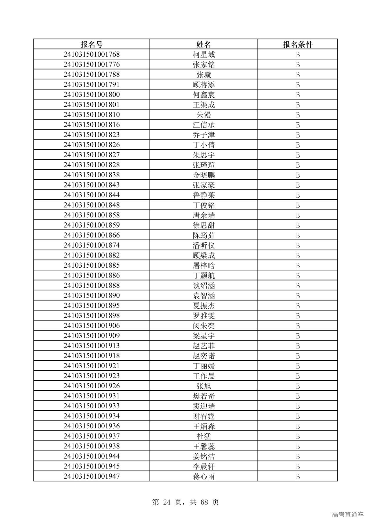
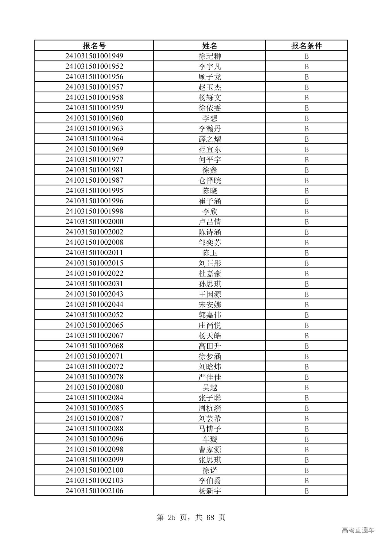
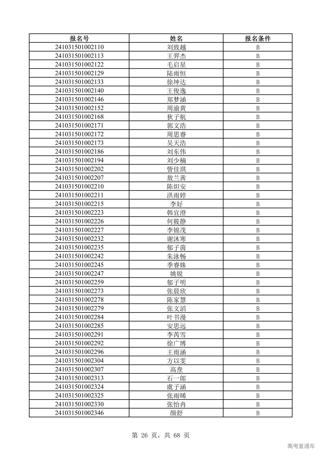
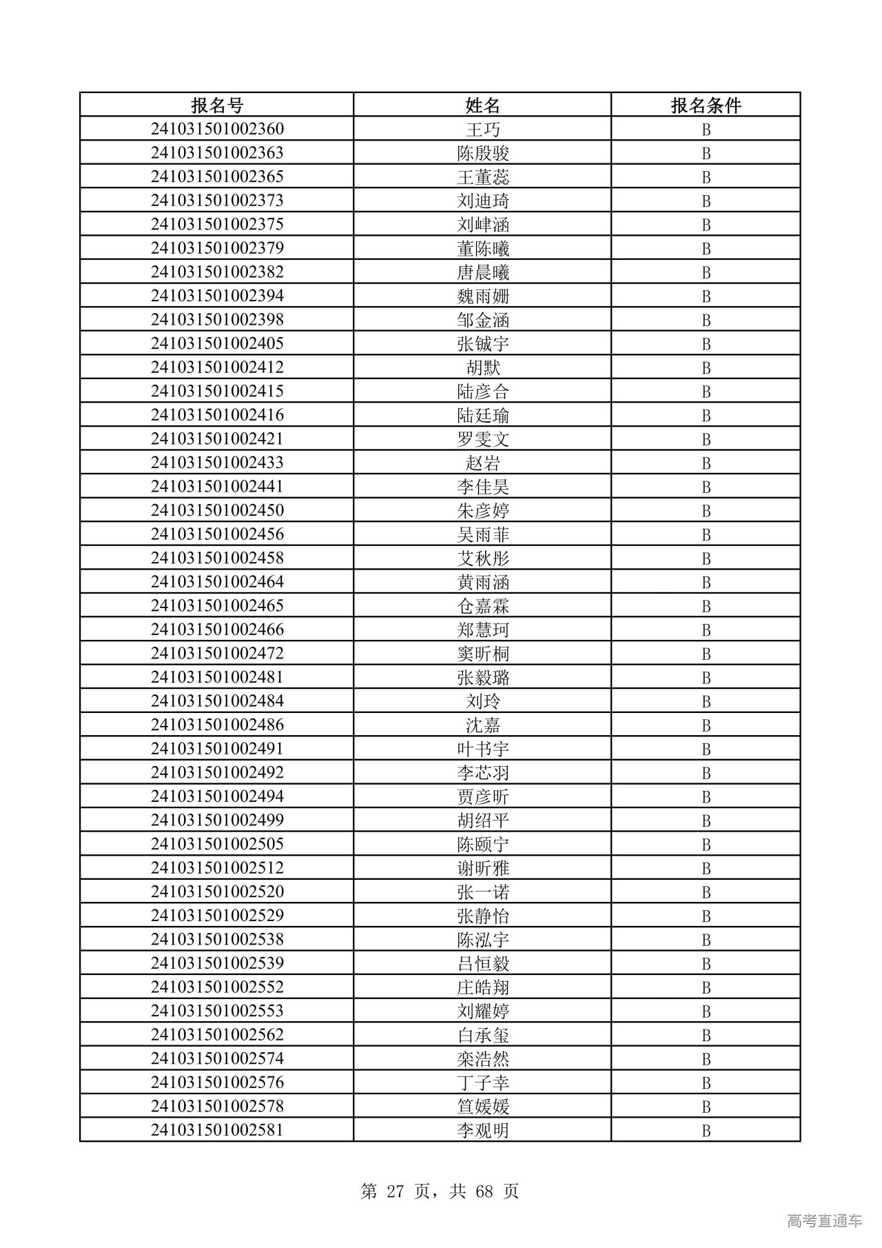
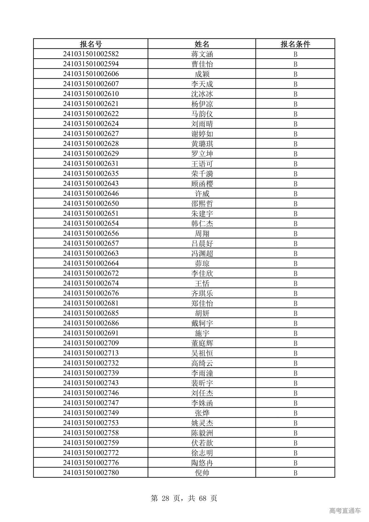
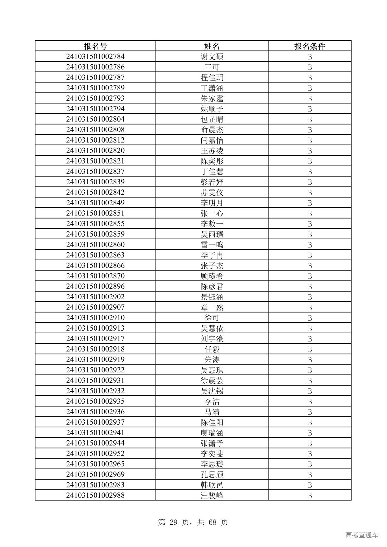
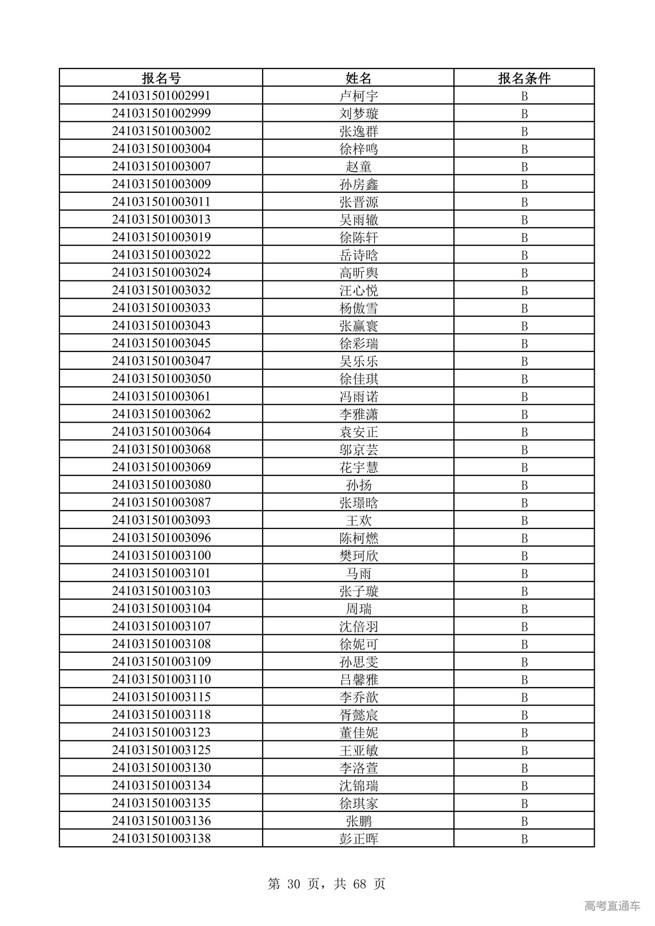
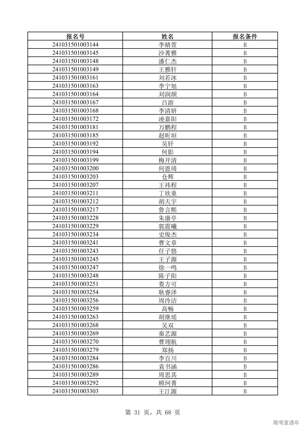
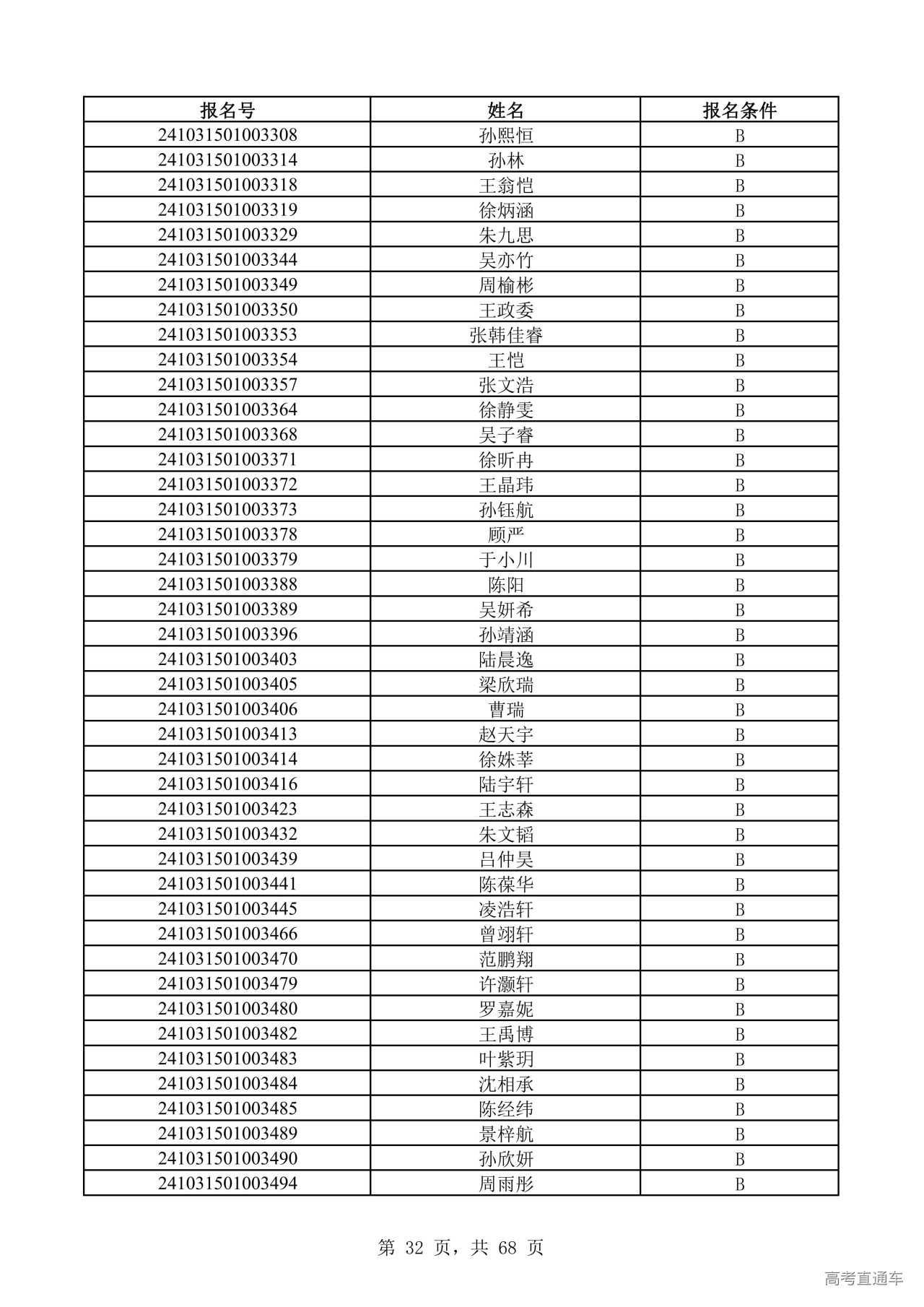
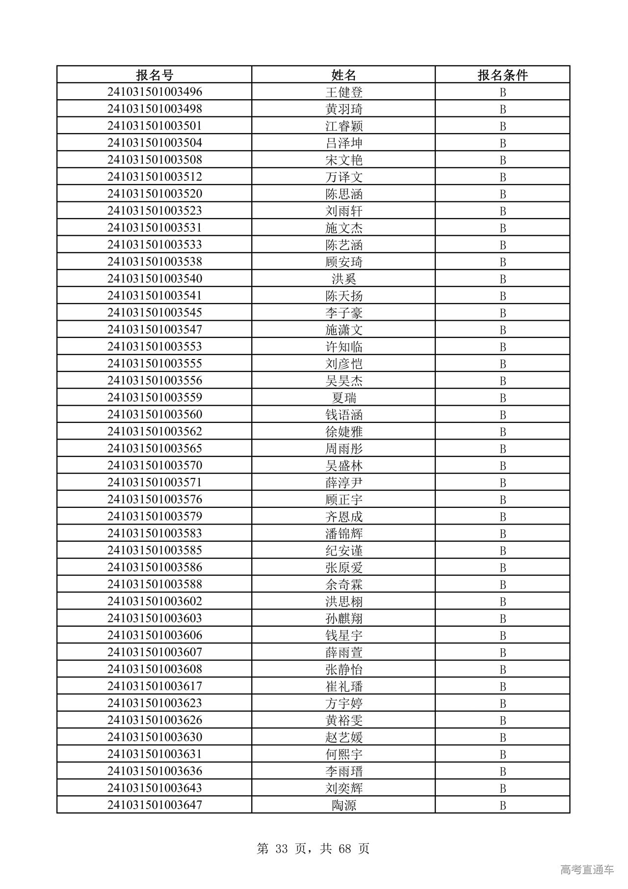
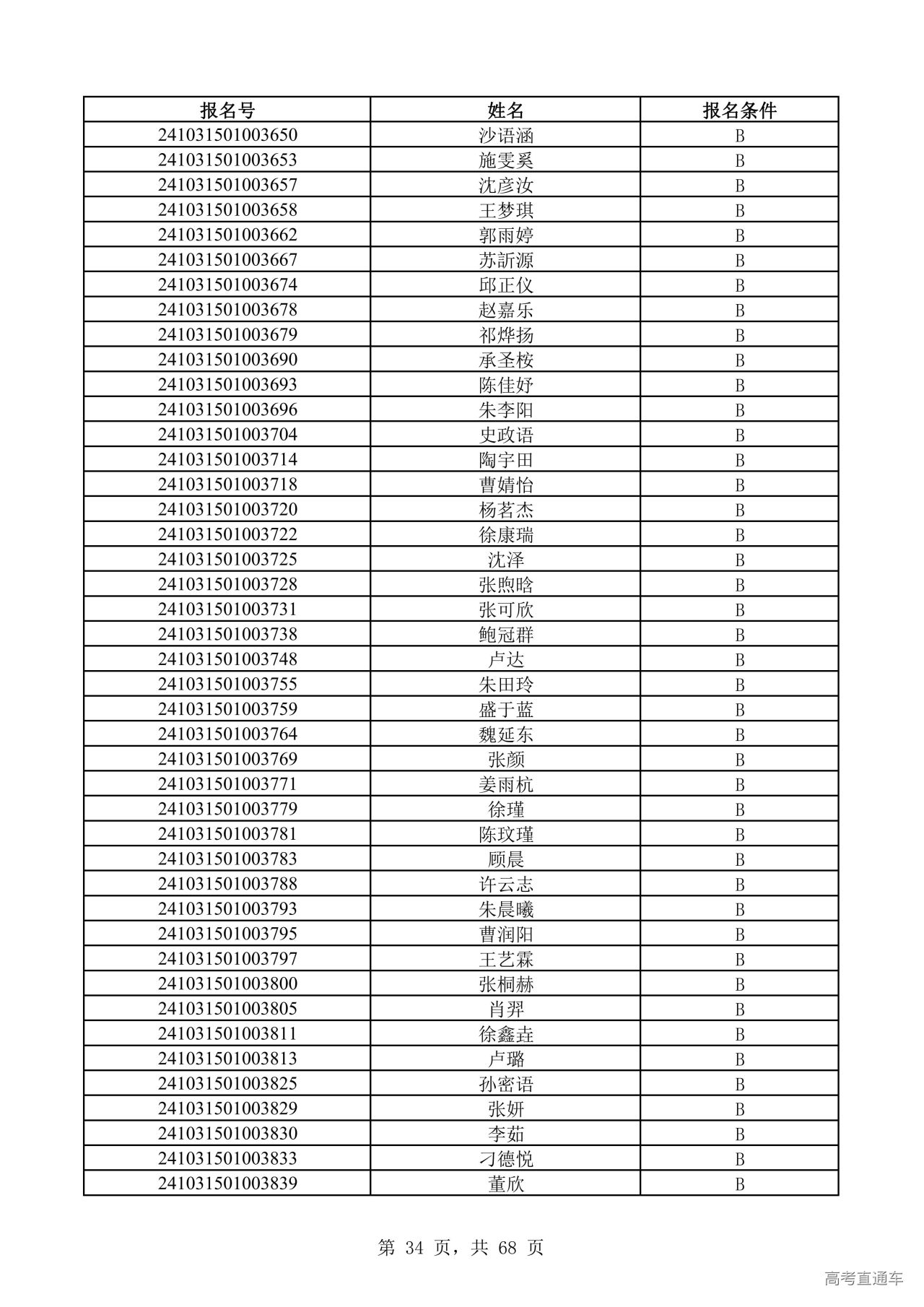
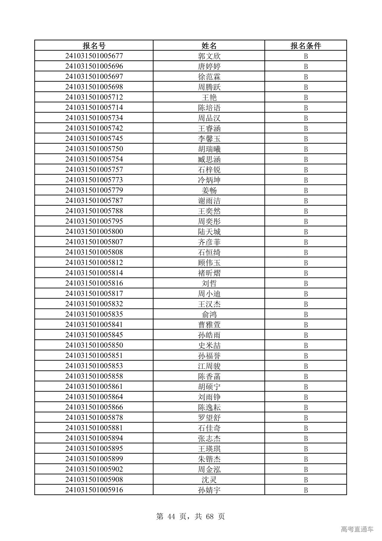
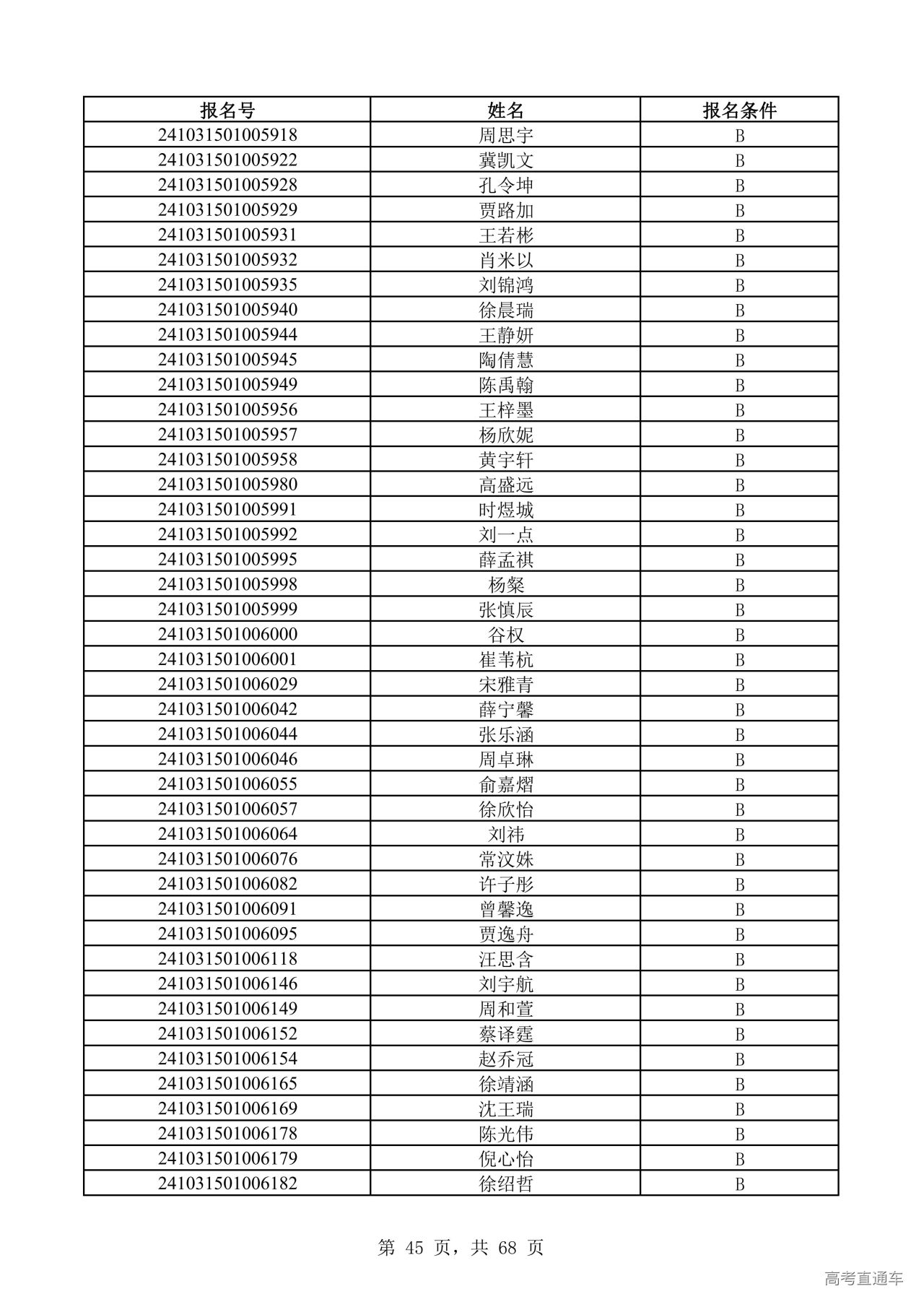
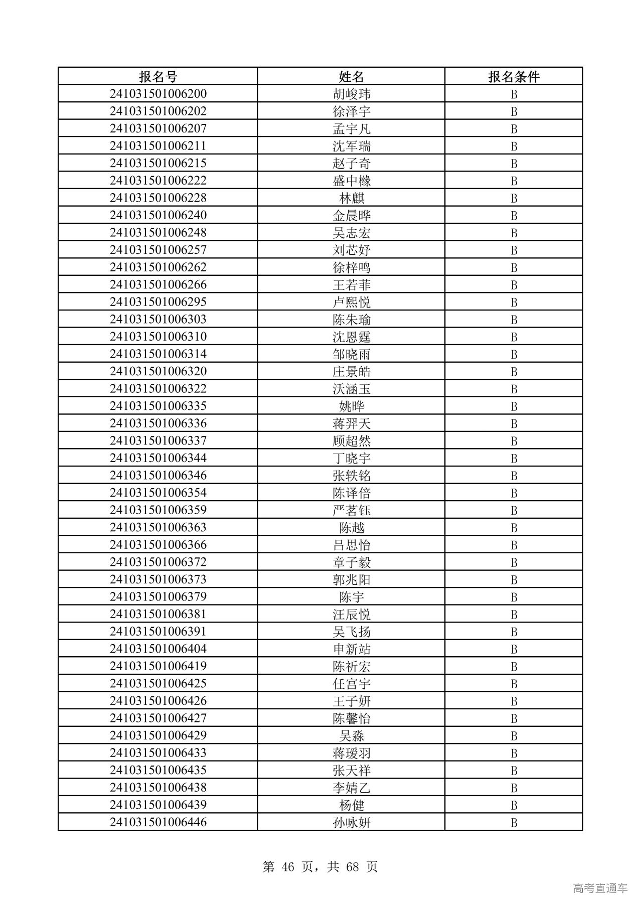
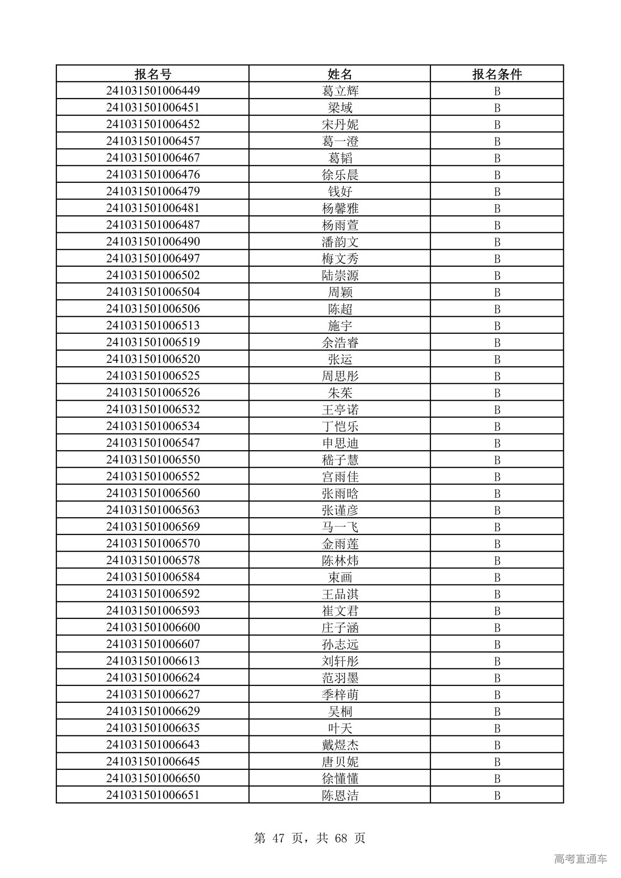
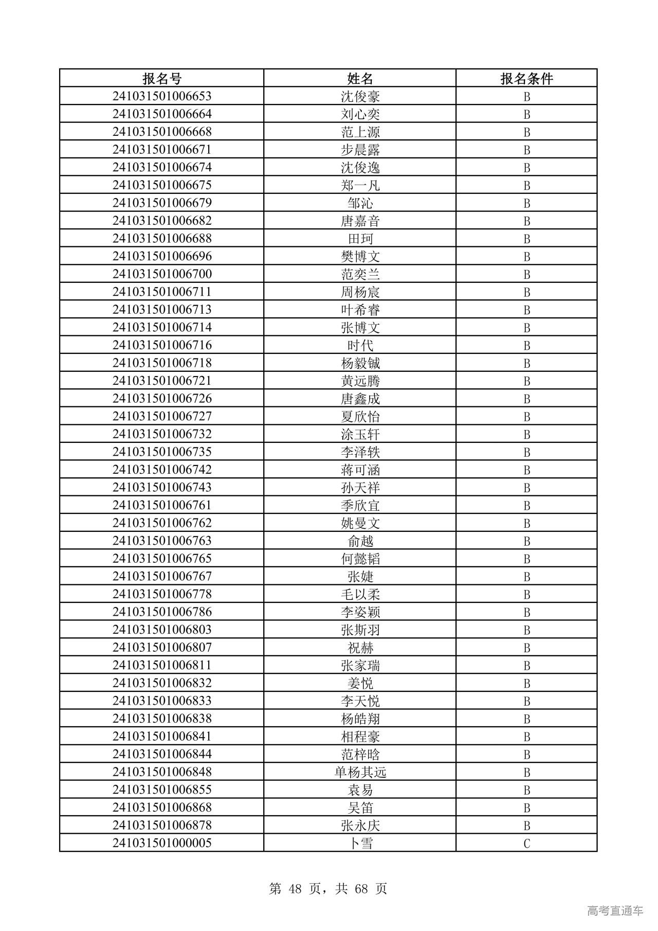
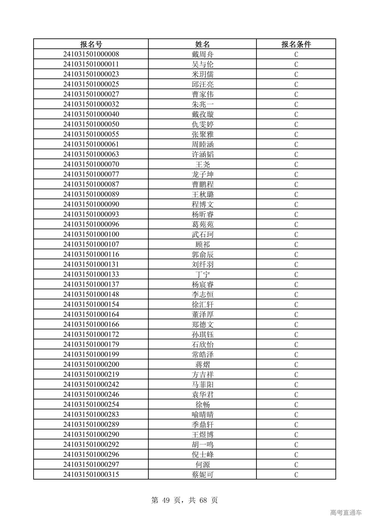
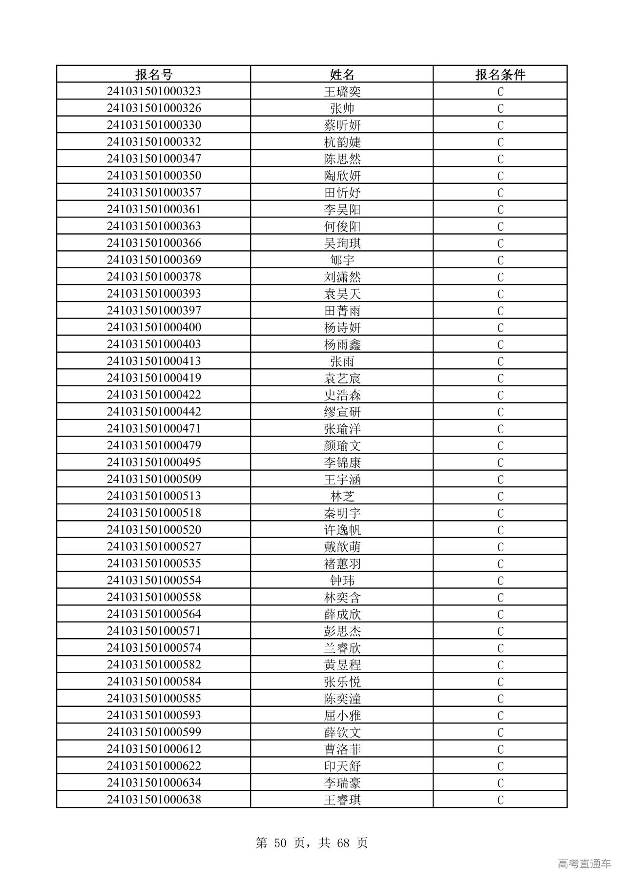
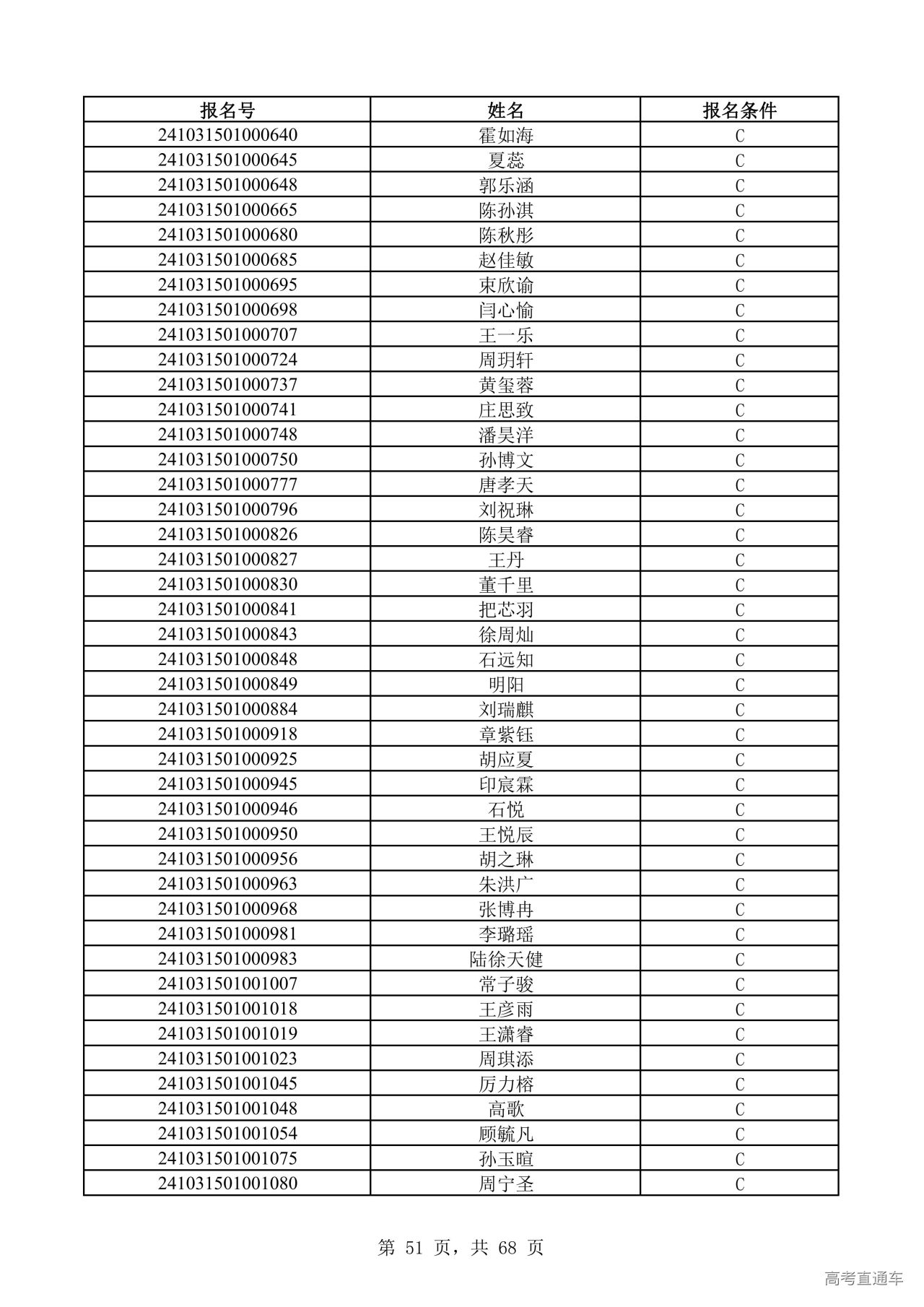
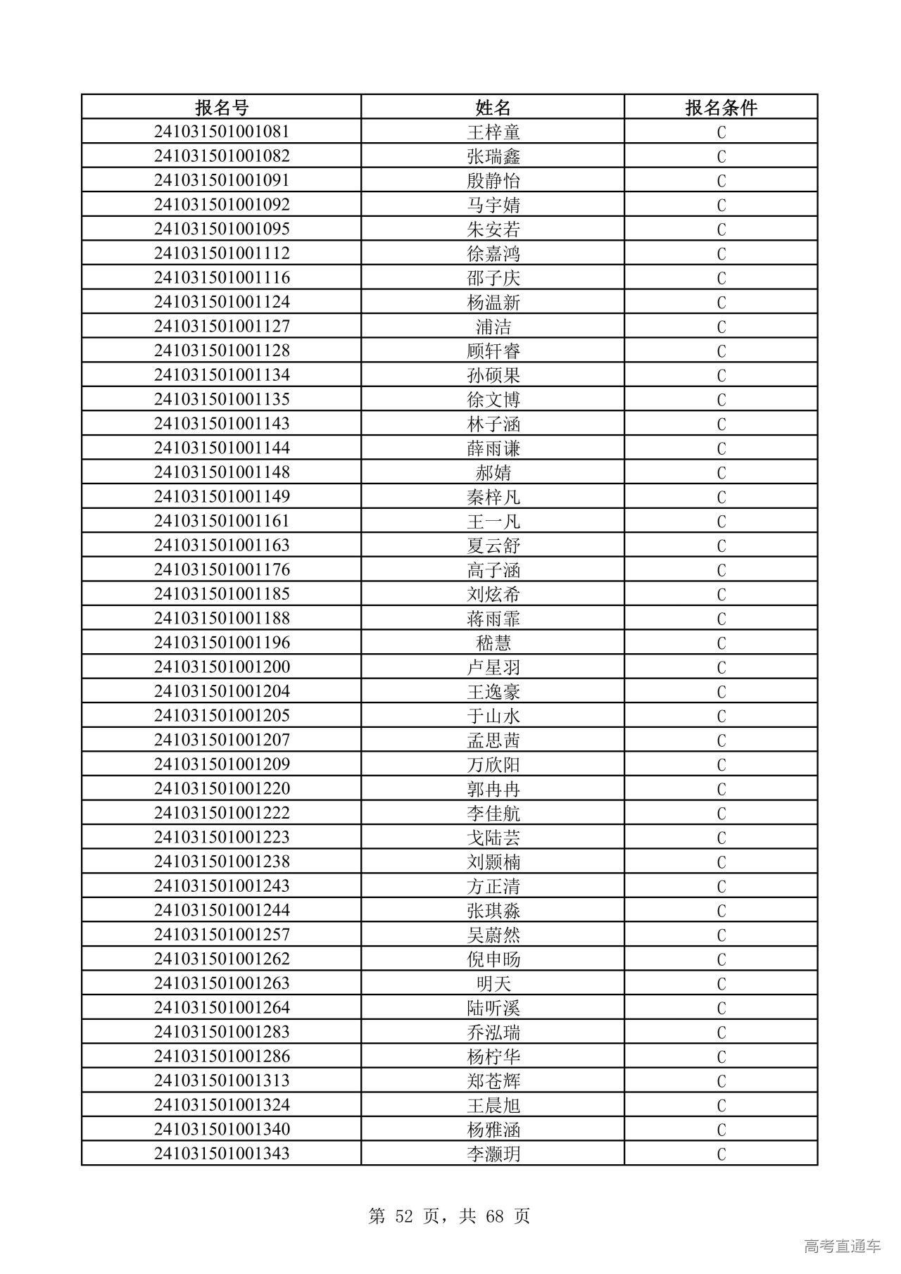
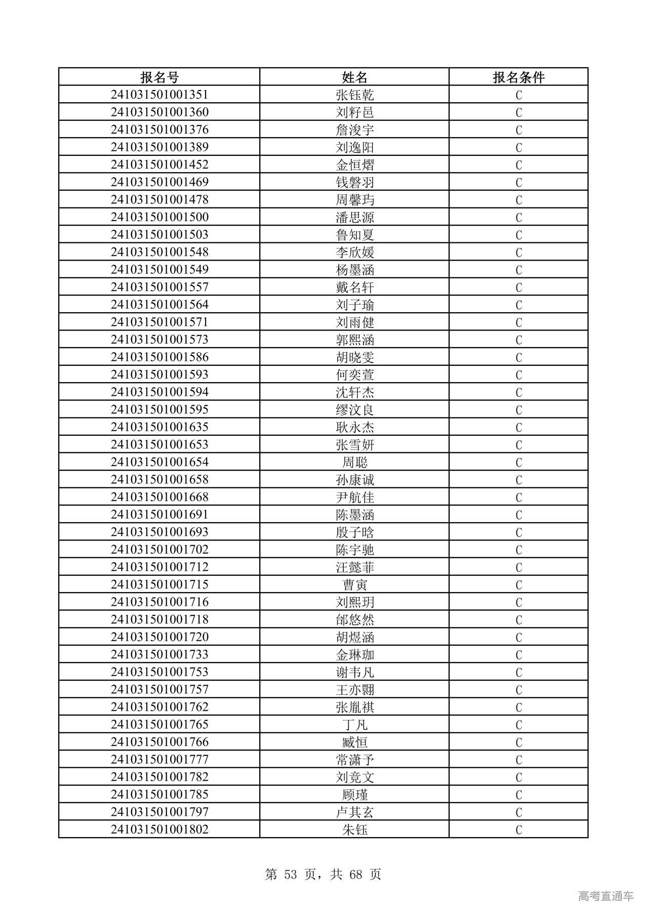
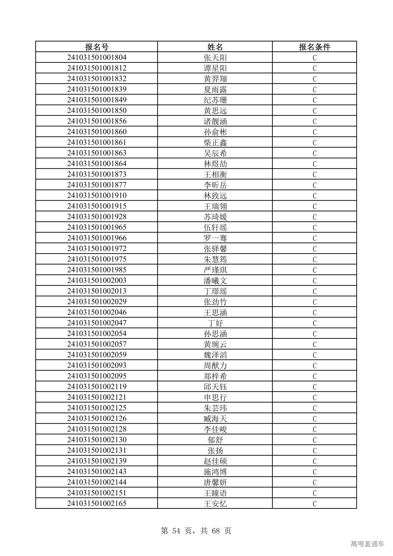
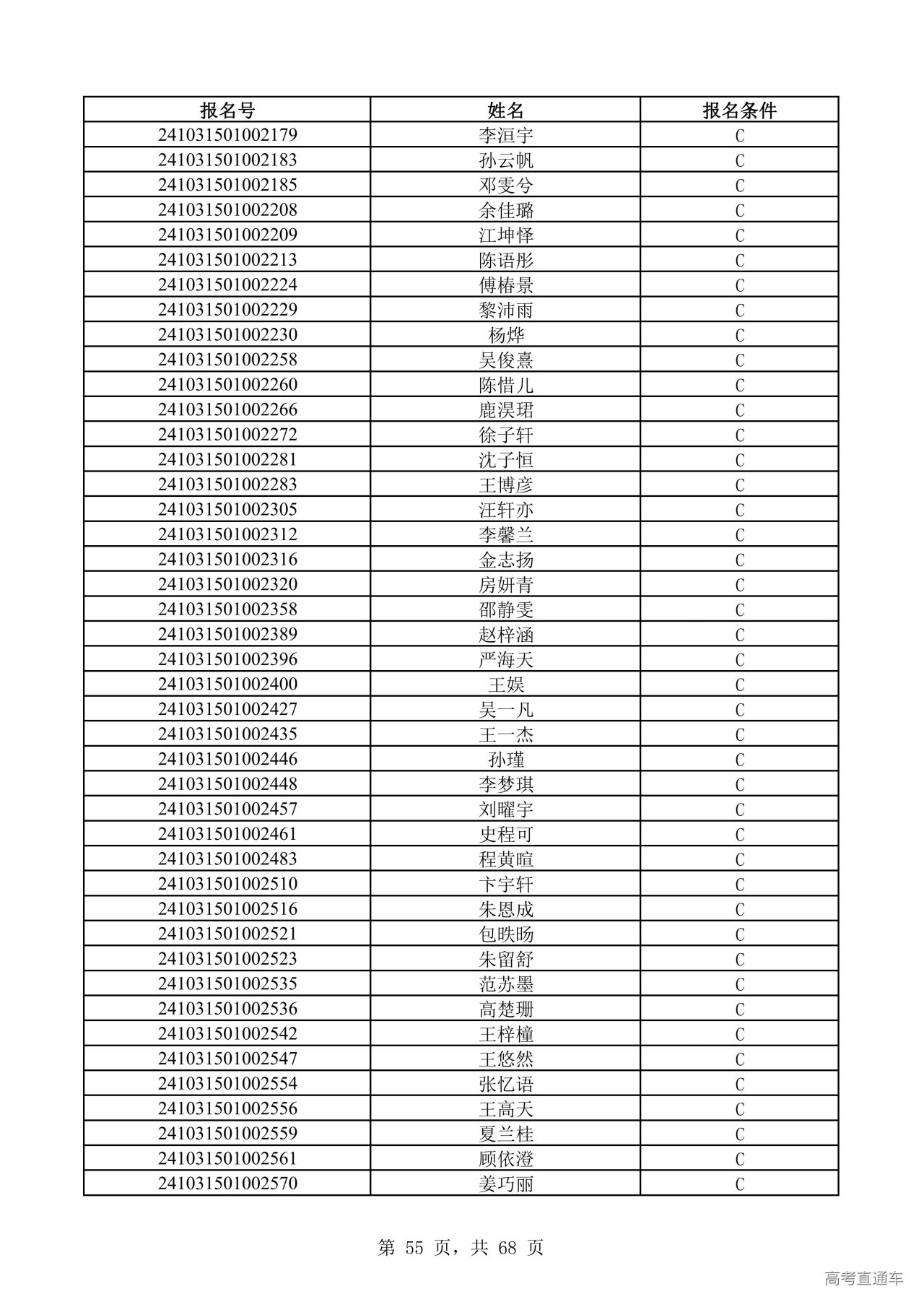
根据南京中医药大学2024年综合评价招生工作安排,现将我校2024年综合评价招生资格初审结果进行公示,有关事宜通知如下:
一、公示时间
公示期为2024年5月24日至2024年5月30日。公示期内如有异议可致电南京中医药大学本科生招生办公室,联系电话:025-85811852,过期不予受理。
二、确认面试及缴费
初审通过的考生须于6月1日前登录“综合评价报名系统”进行面试确认及缴费,逾期未缴费的视为自动放弃。当考核时间与其他学校有重合时,只允许确认1所学校。缴费成功后考生于6月11日至15日通过网上报名系统自行打印准考证。
三、考核时间
初定于6月15日至16日(15日报到,16日考核)。6月15日前将在“南京中医药大学本科招生网”发布《2024年综合评价招生考生面试报到注意事项》,届时会详细介绍报到及面试相关事宜,请各位考生和家长及时关注。
四、特别声明
南京中医药大学未委托任何单位或个人开展综合评价招生有关工作,不举办任何形式的营利性培训。若发现以南京中医药大学名义进行非法咨询、辅导、招生等活动的单位或个人,我校保留依法追究其责任的权利。



































































