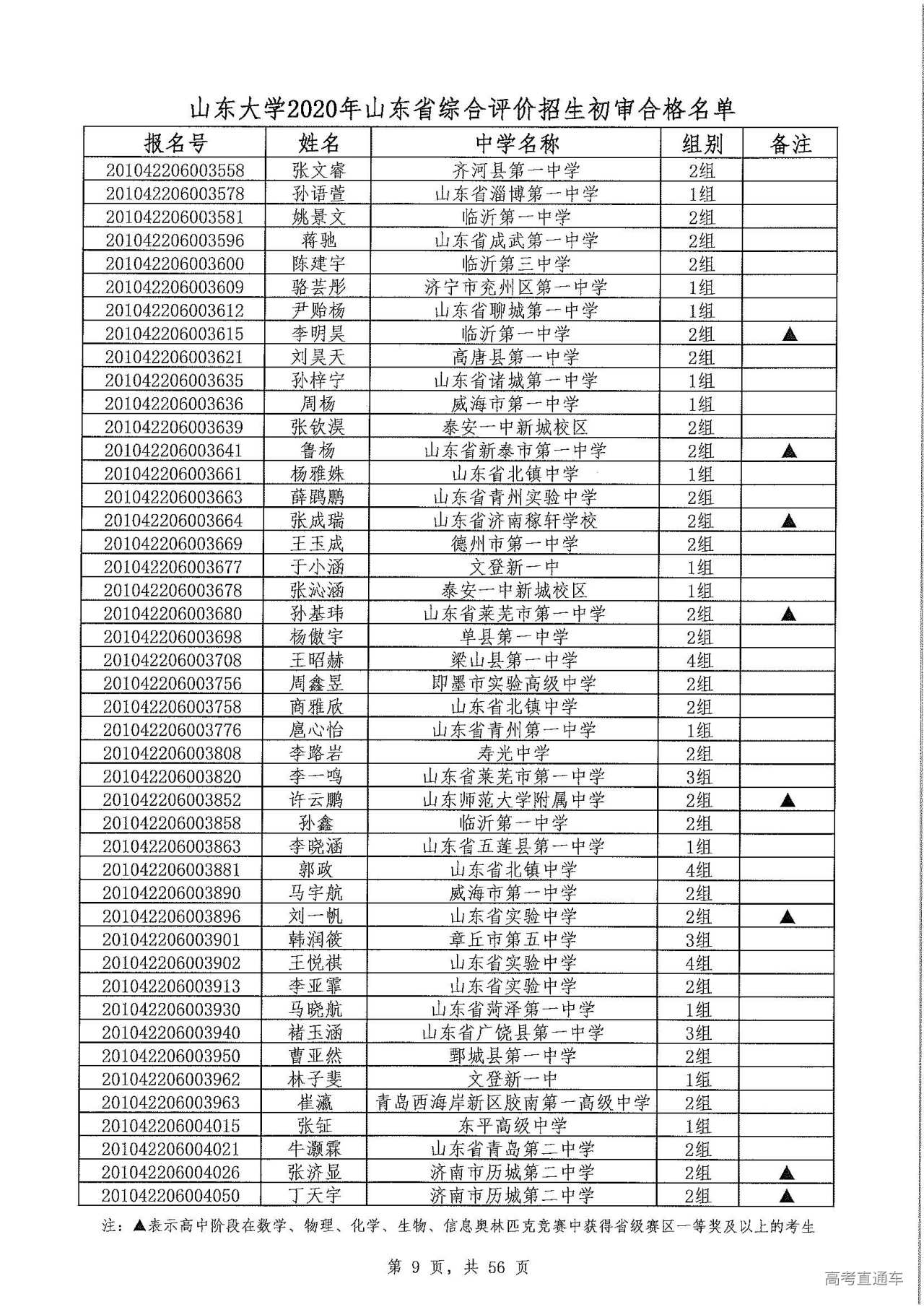
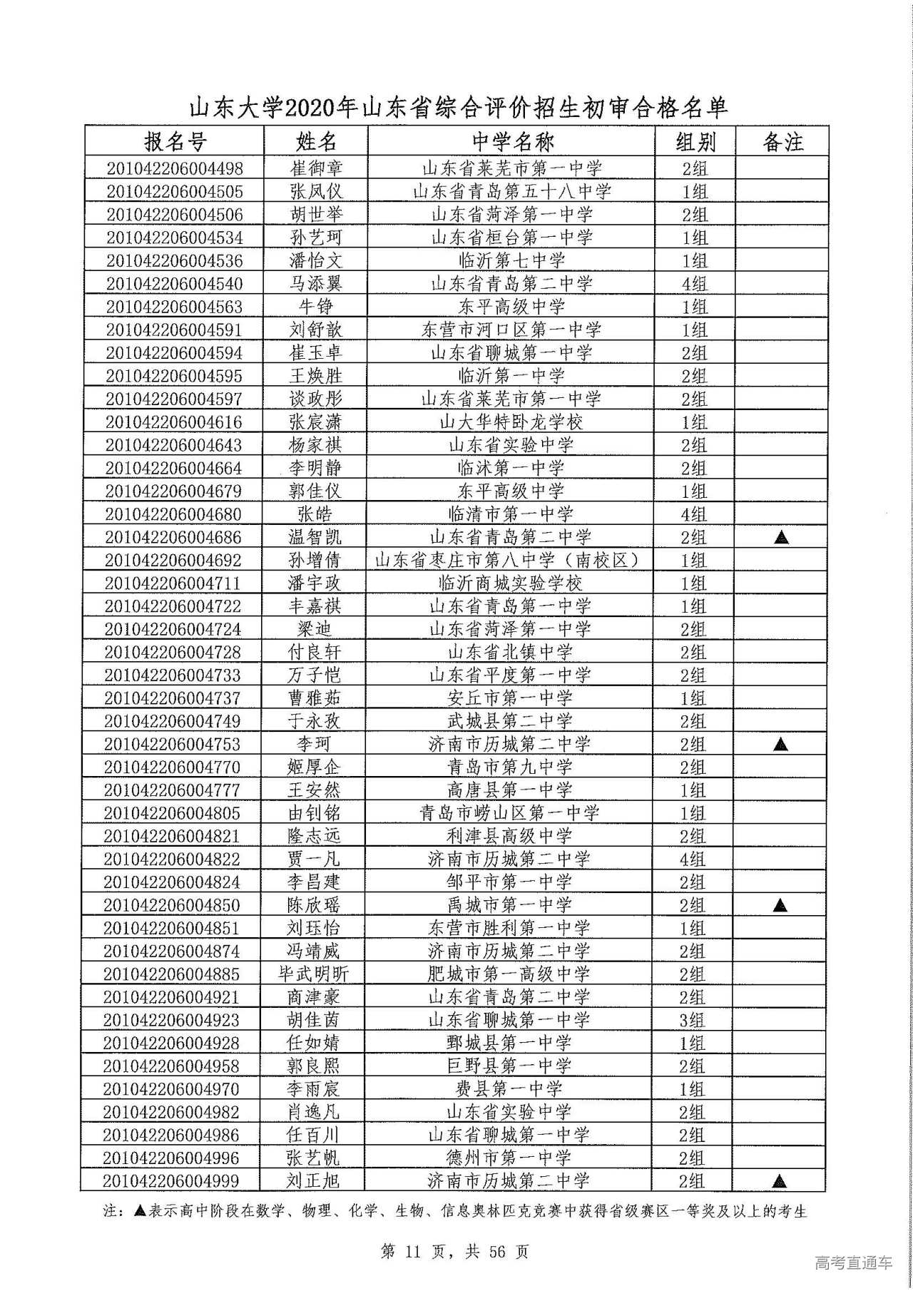
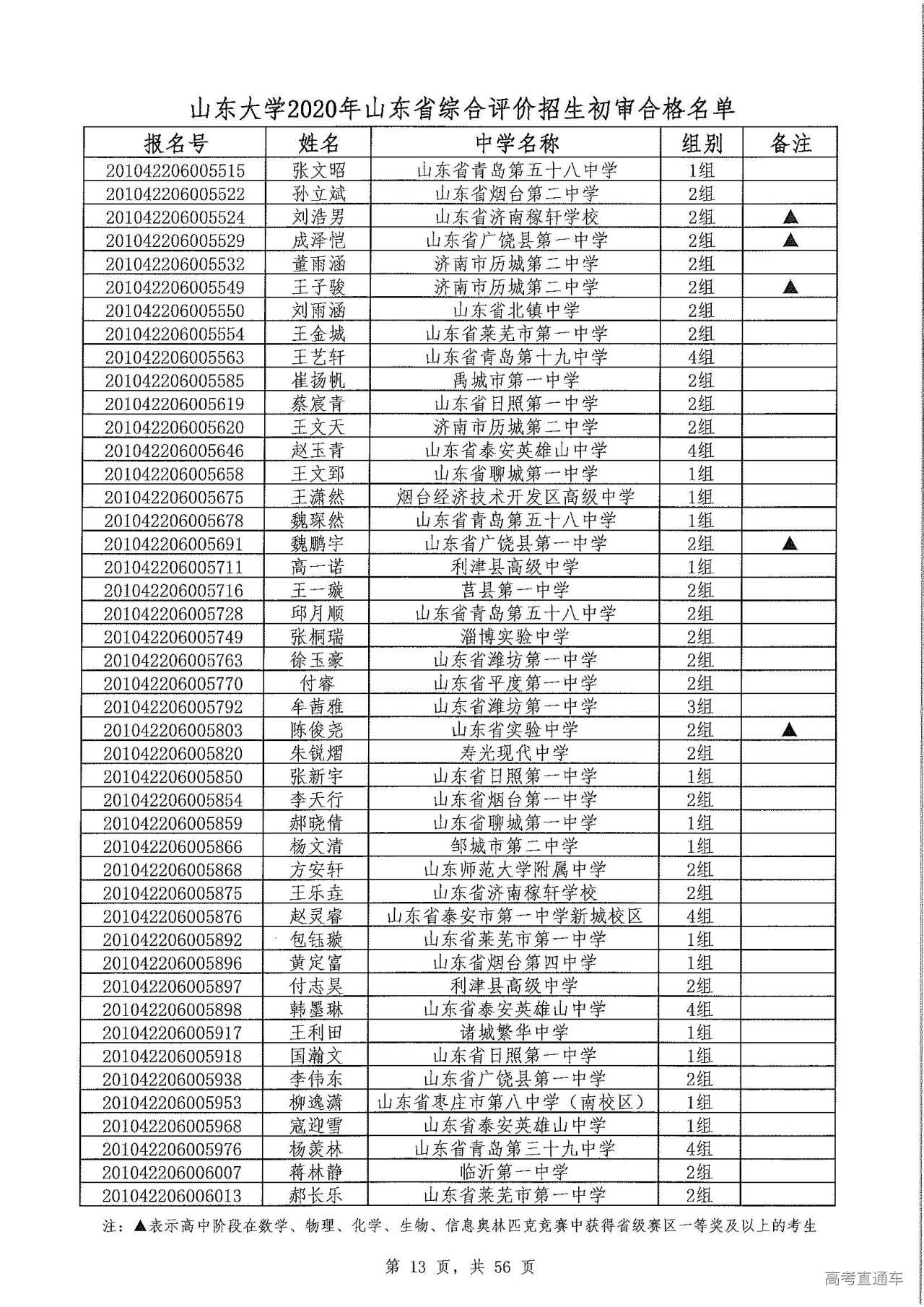
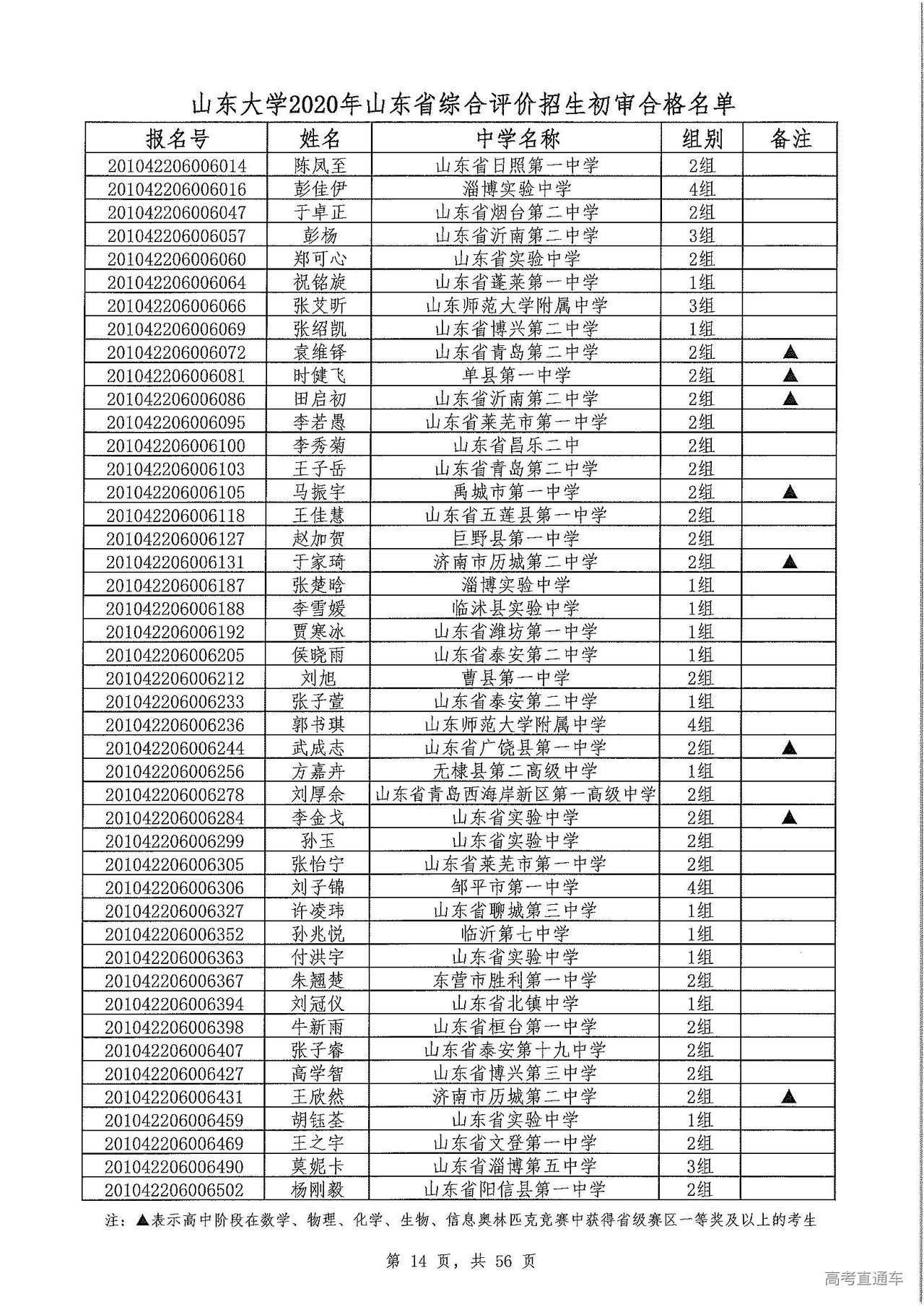
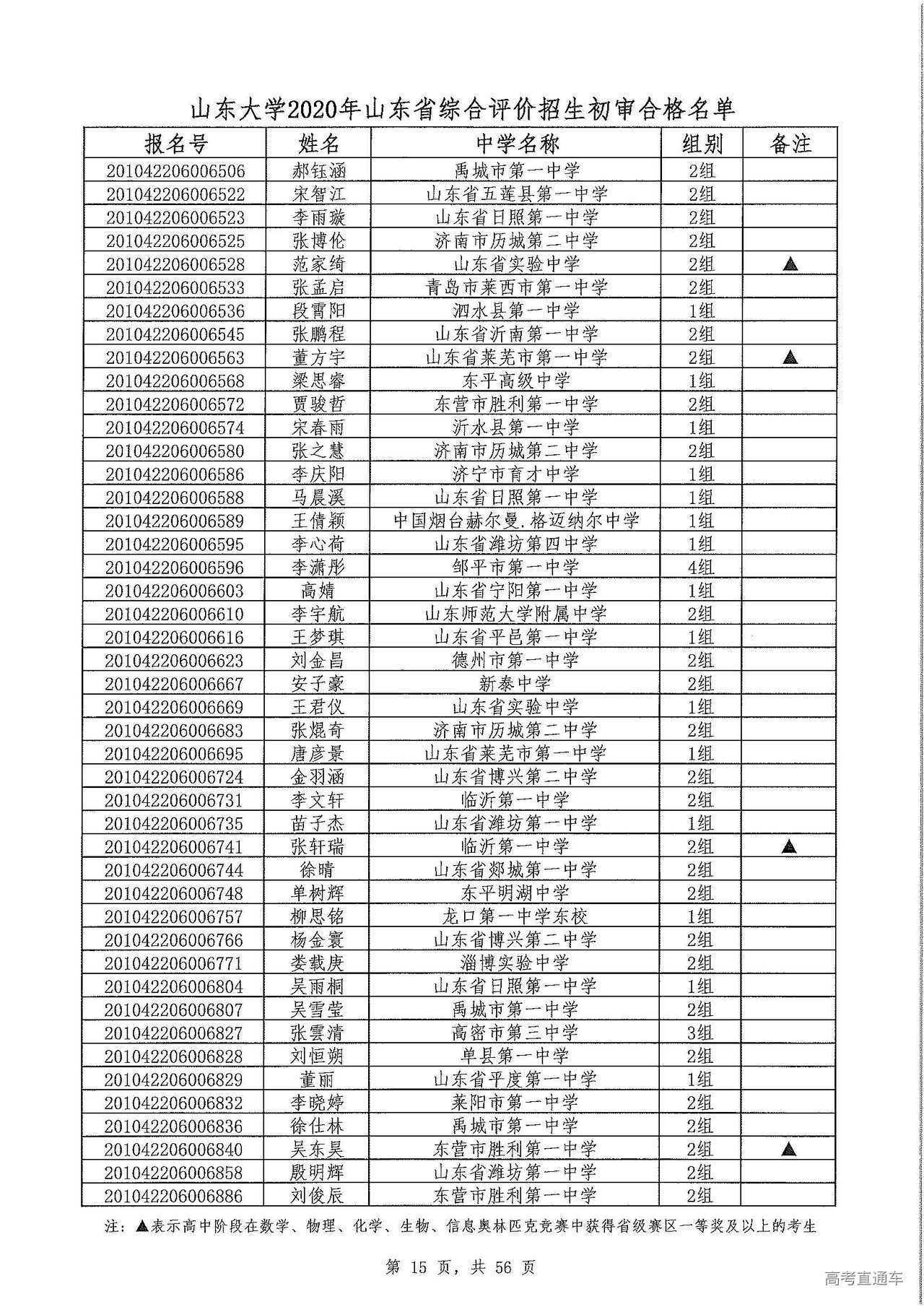
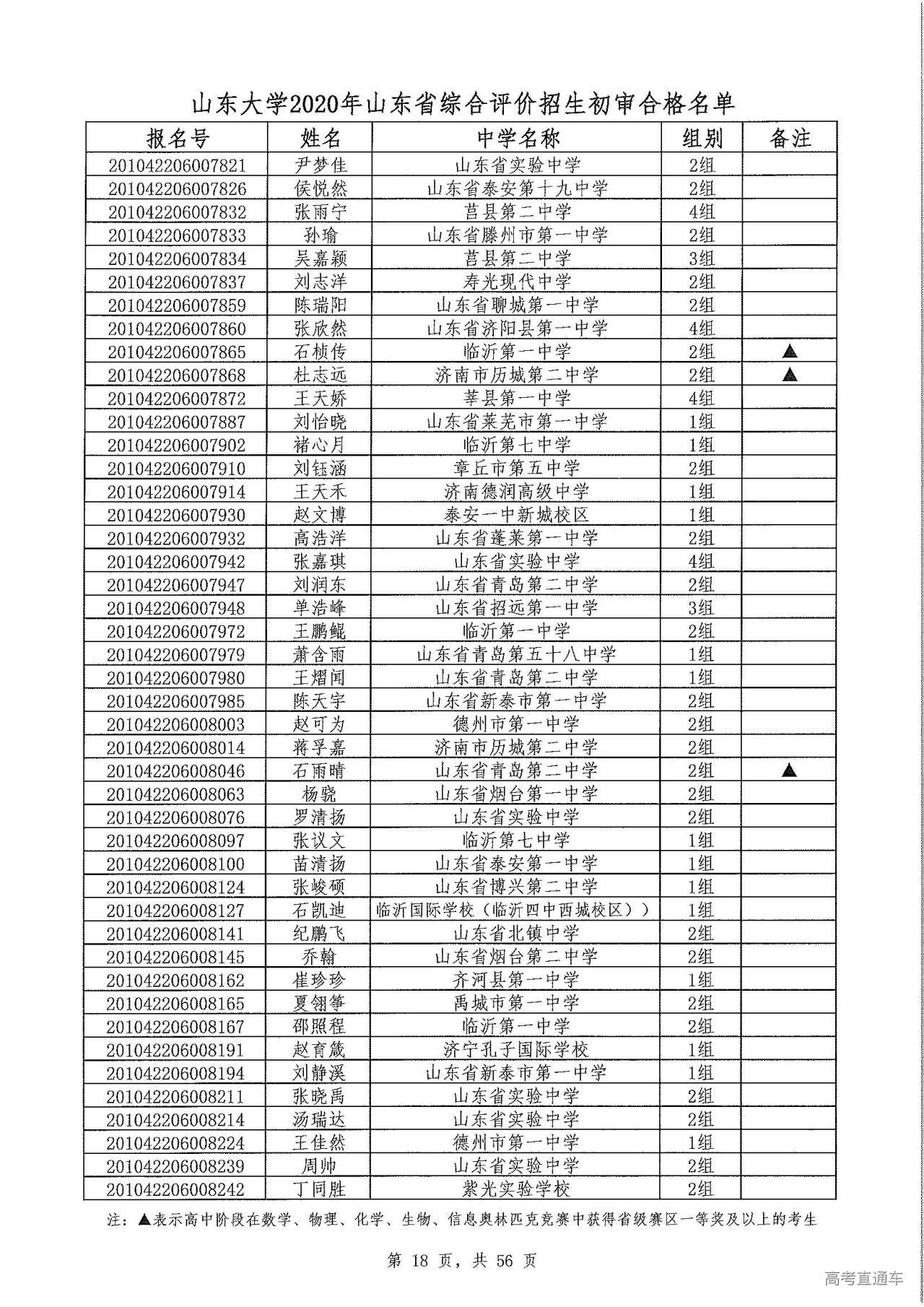
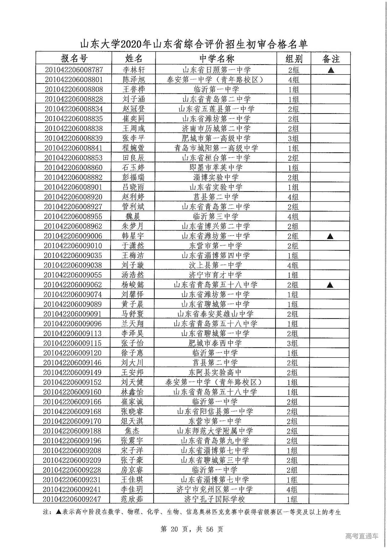
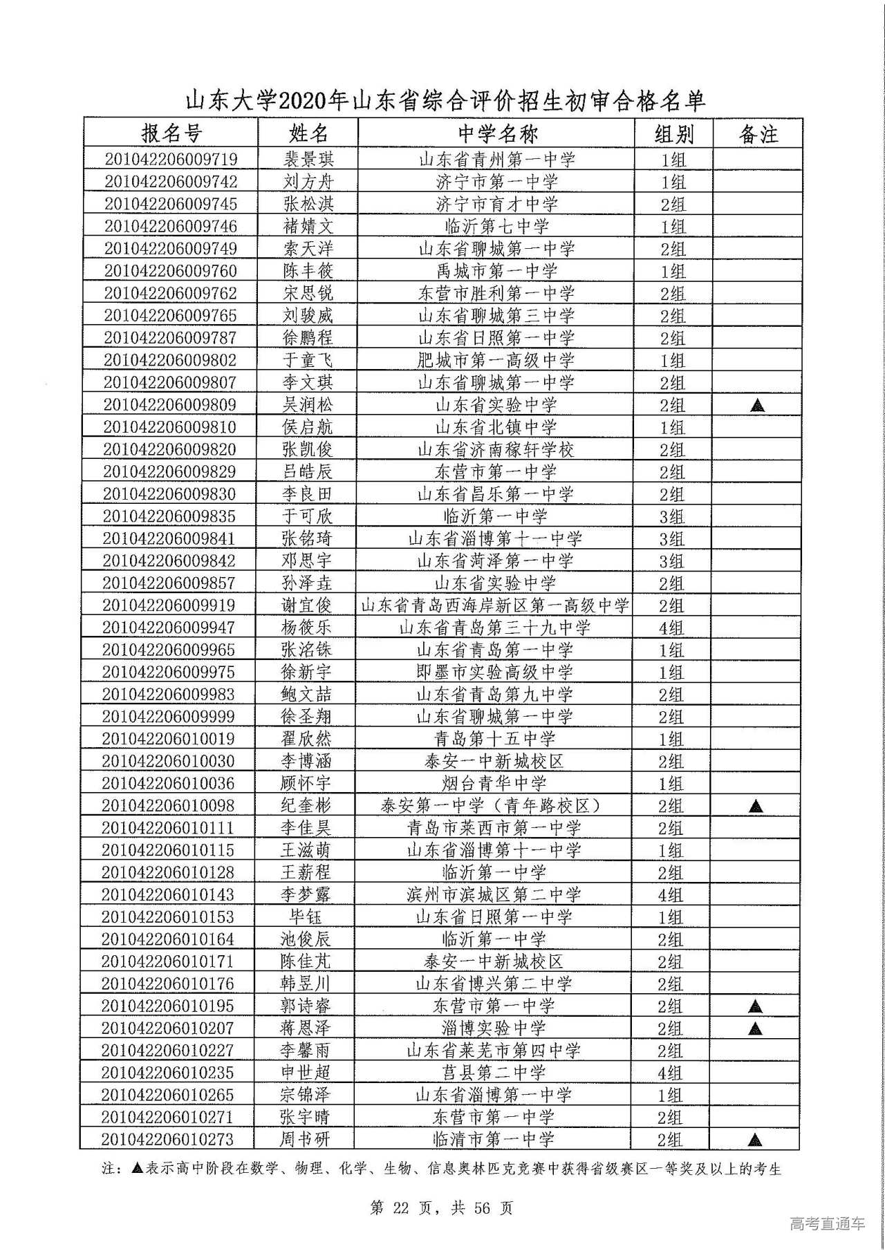
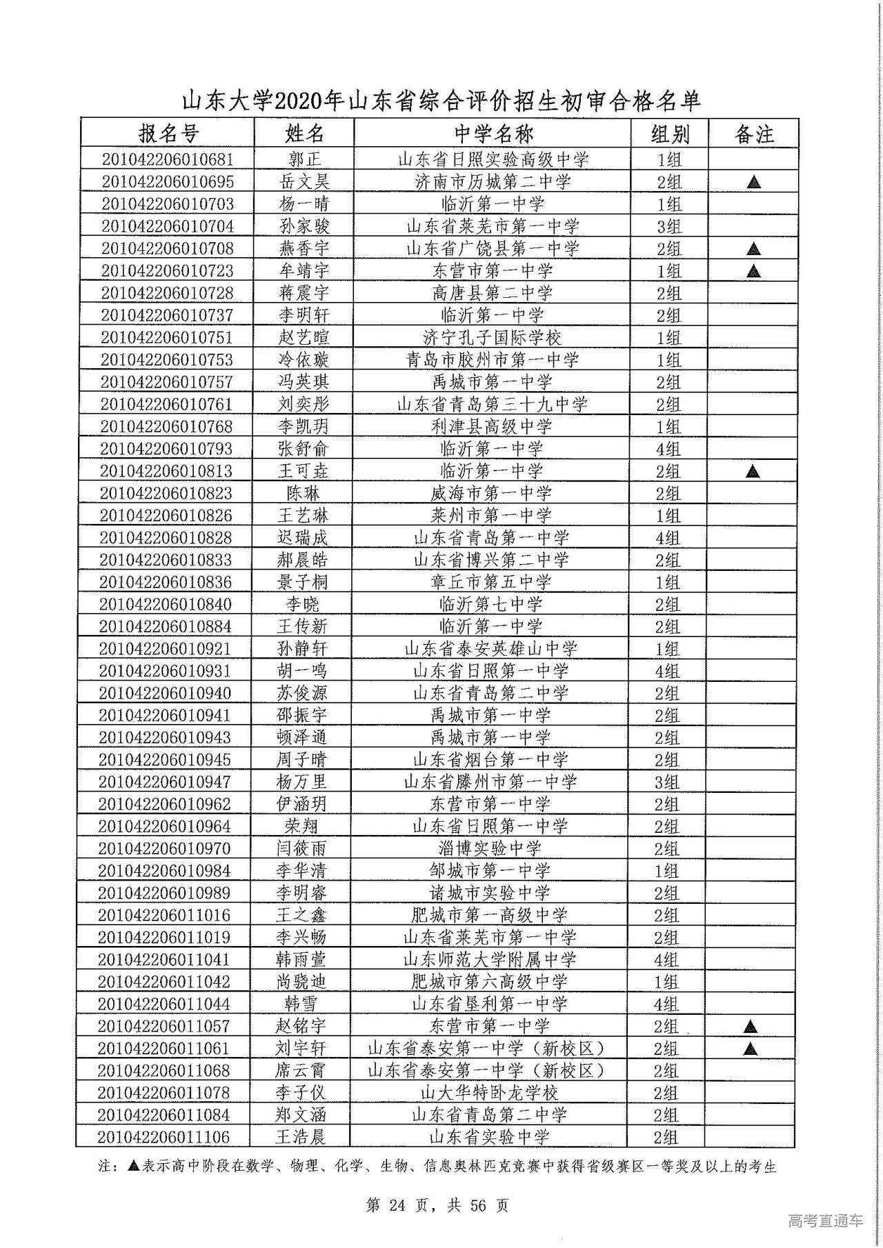
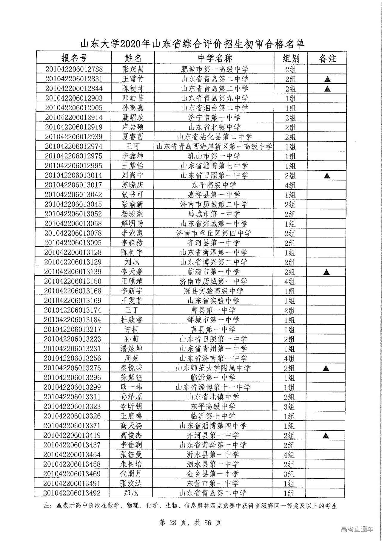
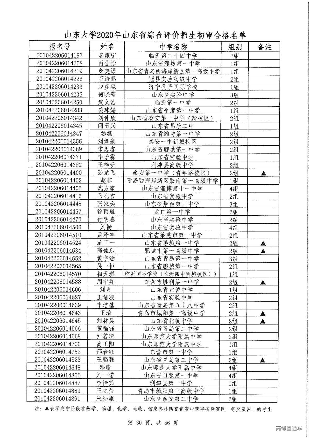
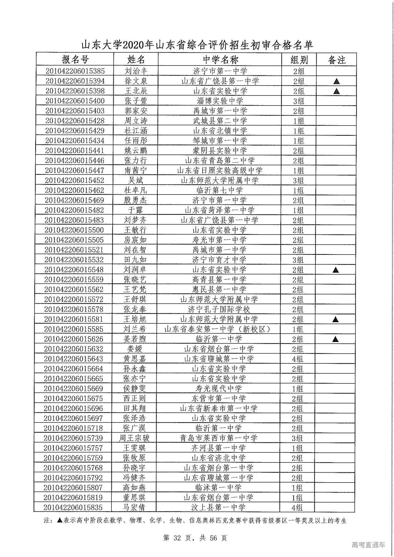
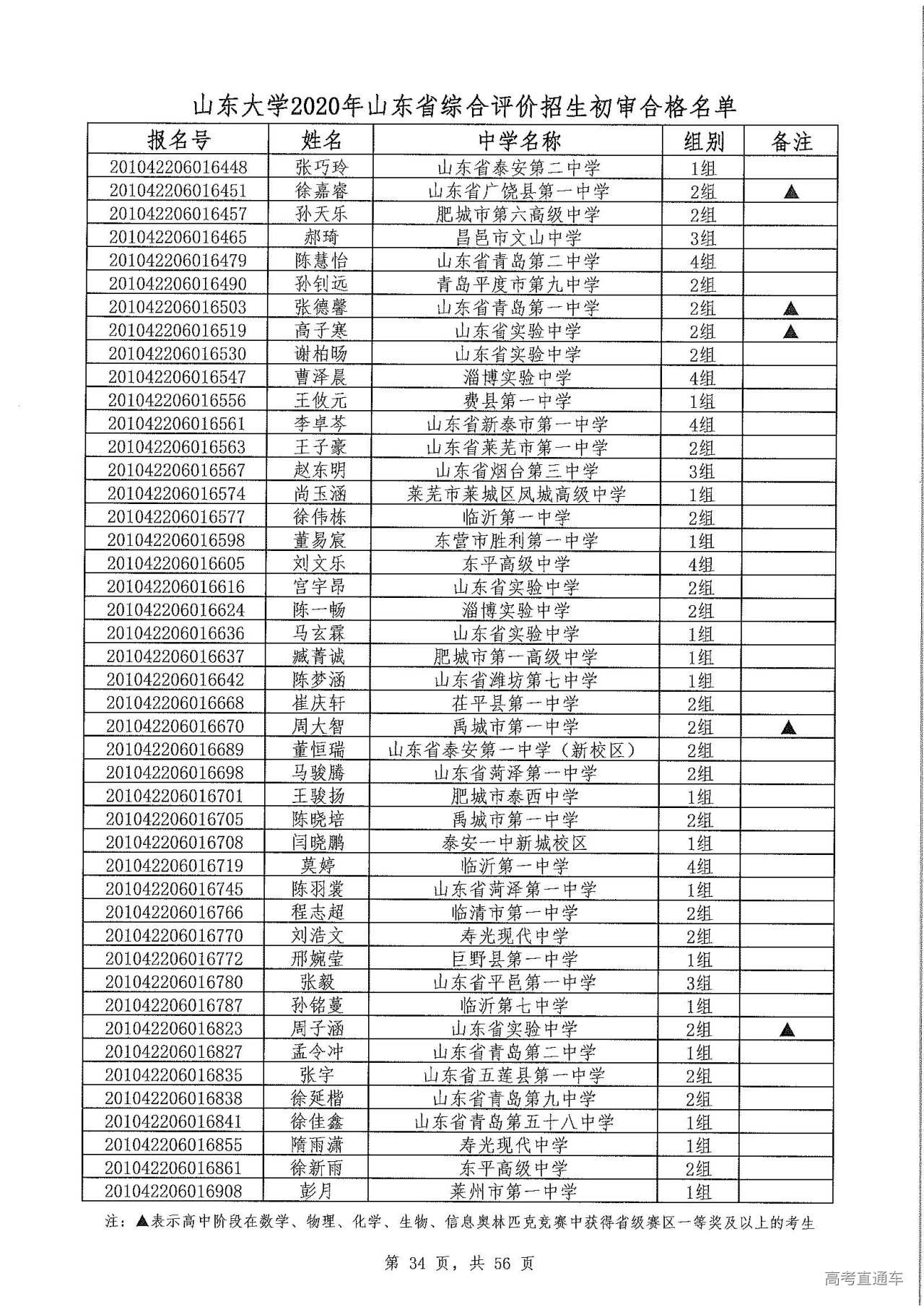
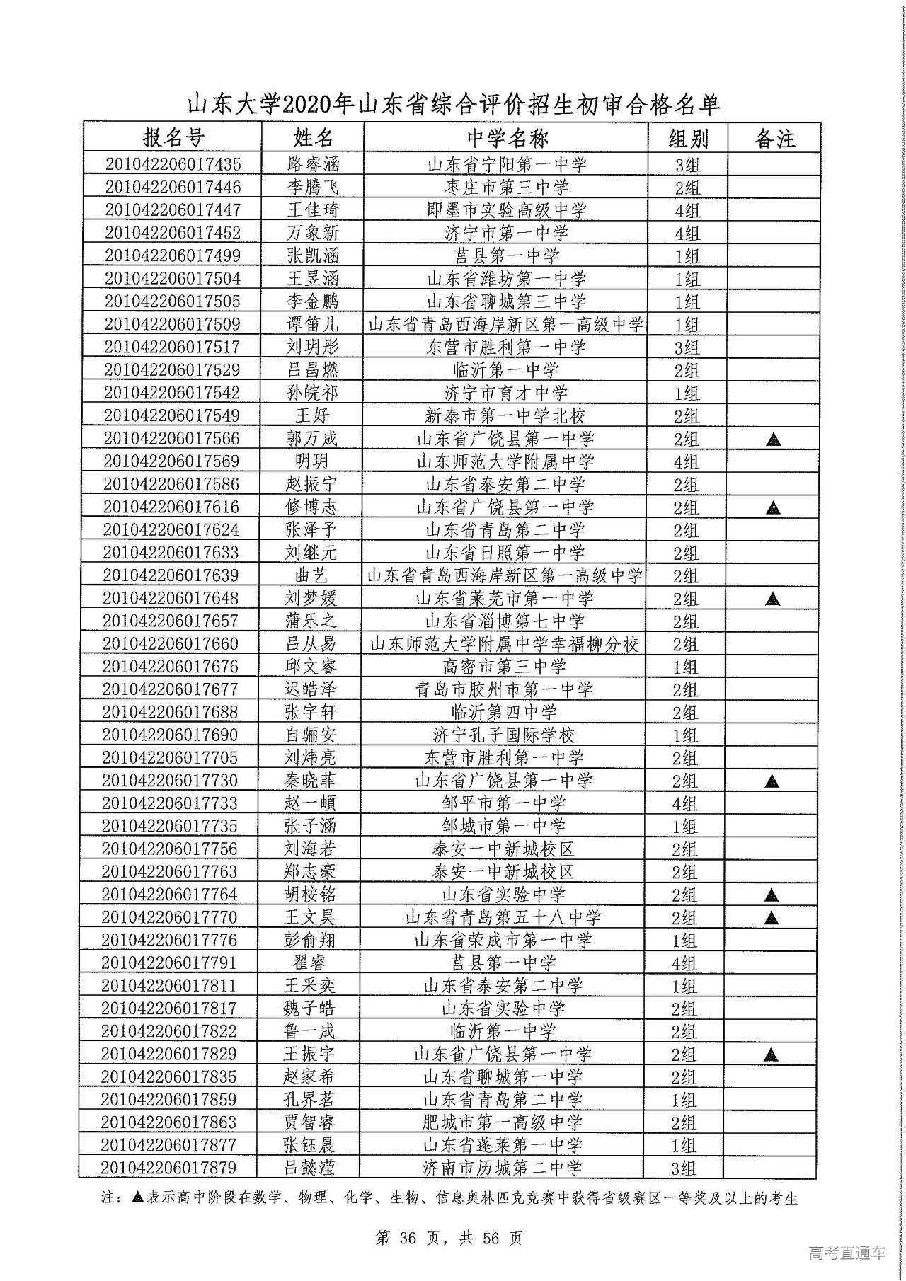
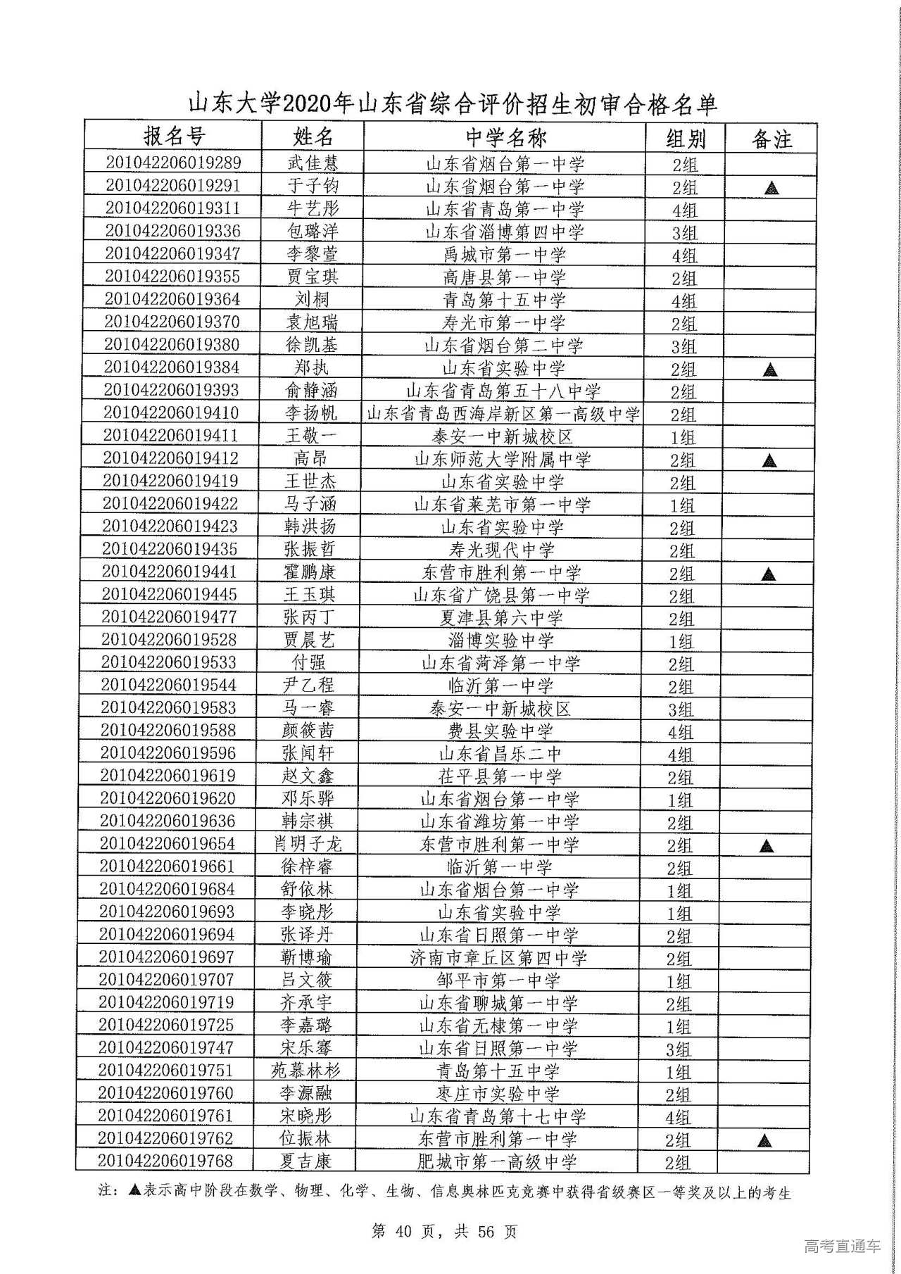
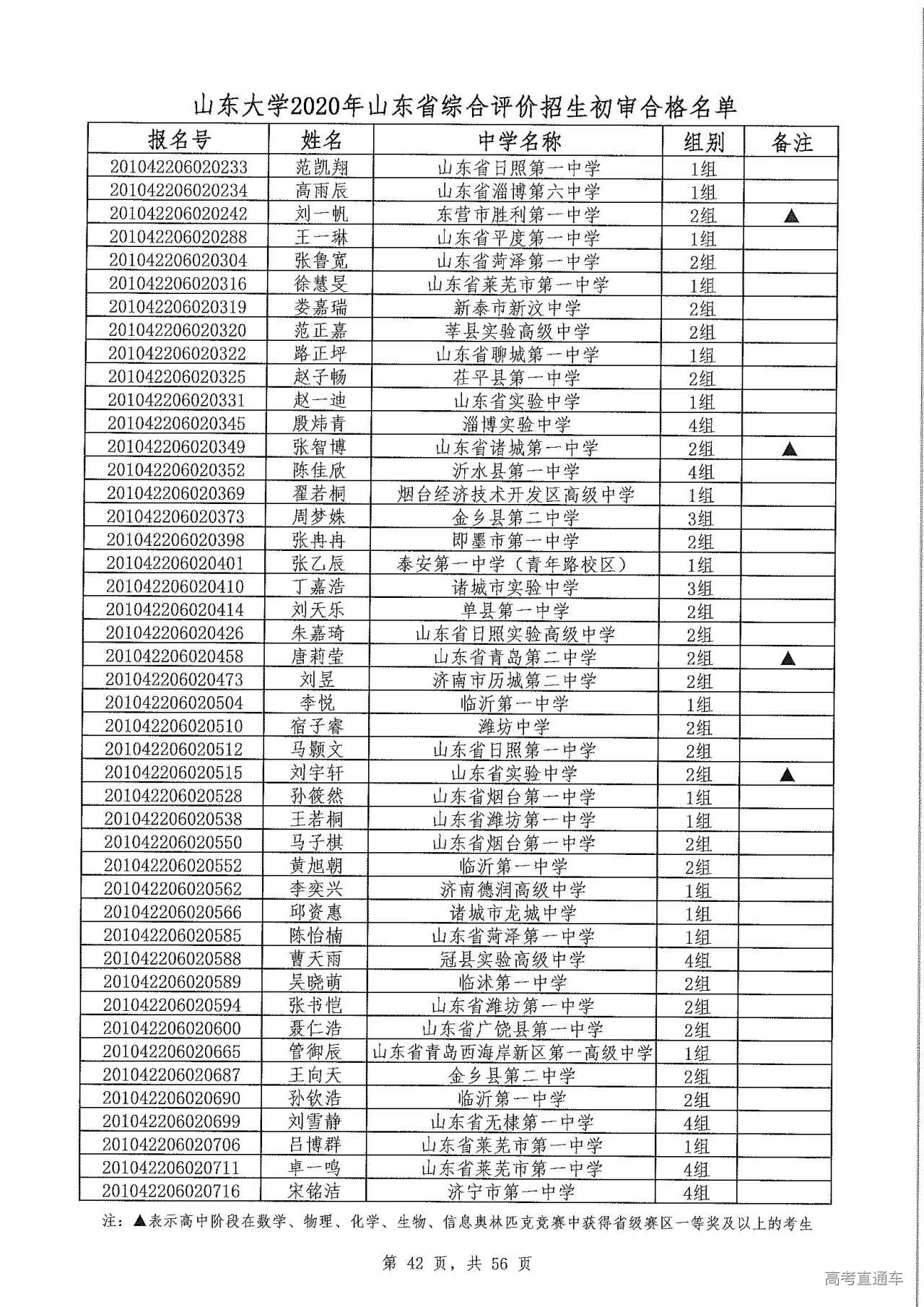
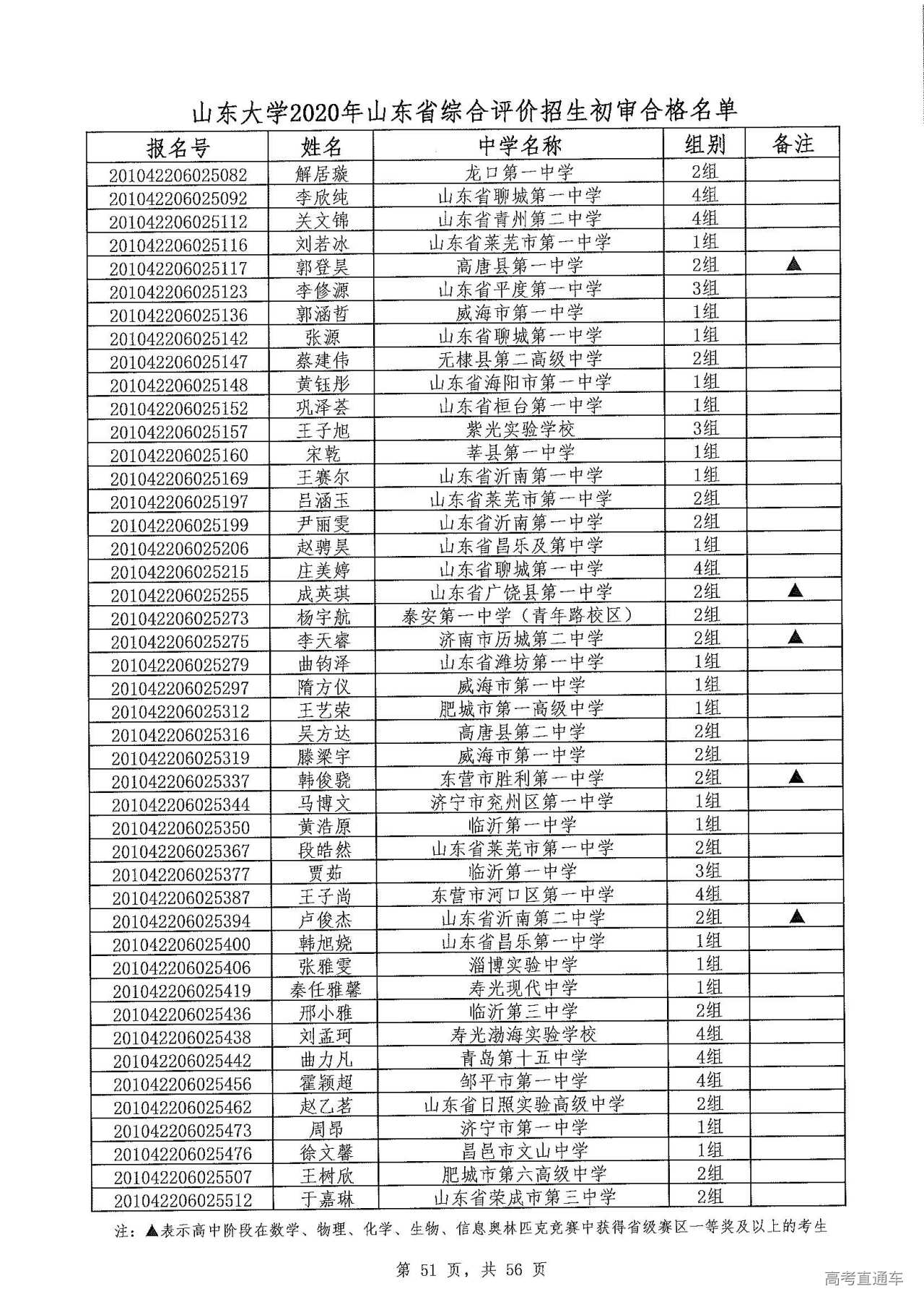
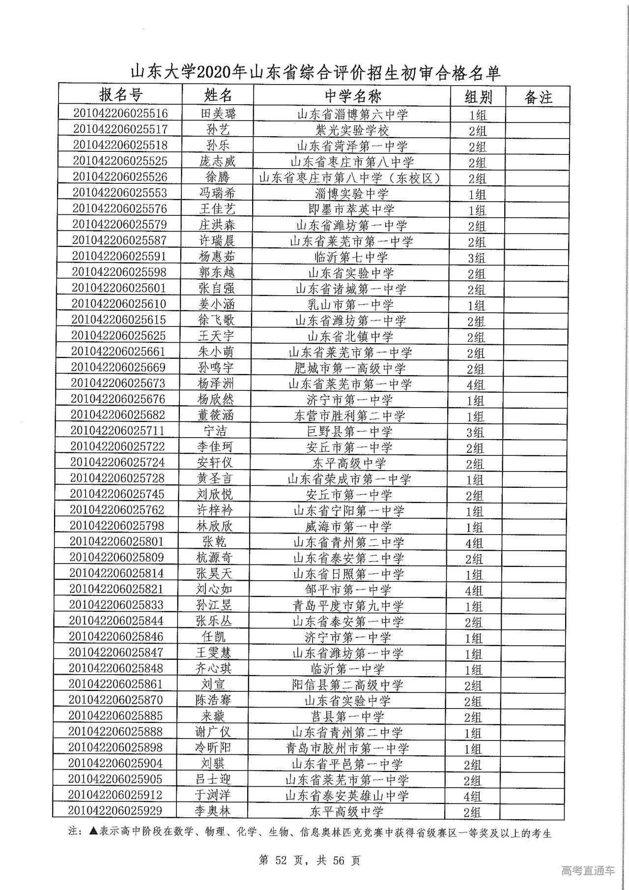
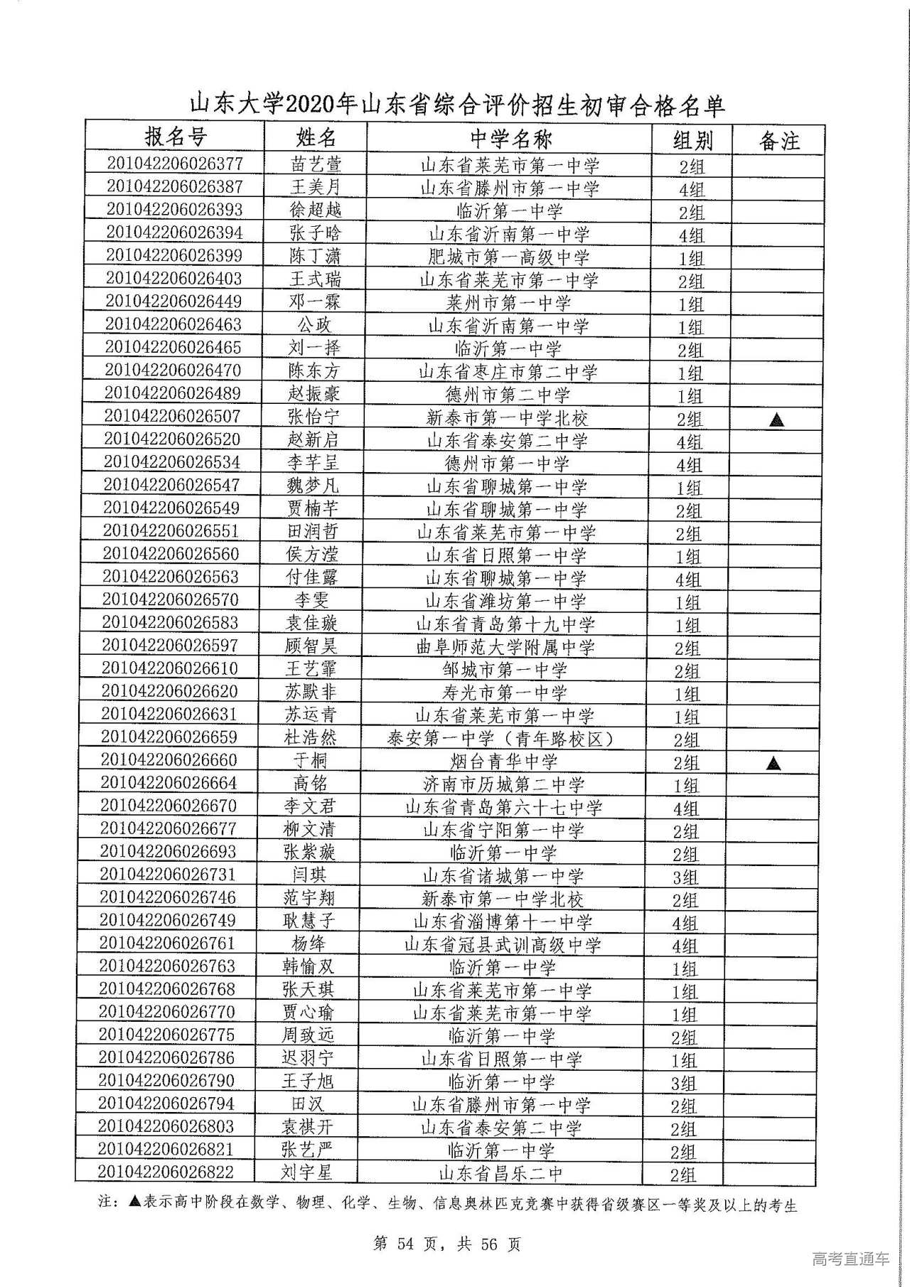
按照山东省有关政策要求及《山东大学2020年山东省综合评价招生简章》规定,经专家审核、学校研究,确定了综合评价招生初审合格考生名单,现予以公示,公示期:2020年7月6日至2020年7月10日。
公示期间咨询、举报方式如下:
(1)山东大学本科招生办公室
电话:0531-88364787,88369087/邮箱:sdbkzs sdu.edu.cn
(2)山东大学纪检监察处
电话:0531-88363636/邮箱:jjc sdu.edu.cn
日程安排:
1.确认考试及缴费时间:请考生于7月13日-15日中午12:00前登陆报名系统进行考试确认及网上缴费。逾期未确认或未缴费者视为放弃。一旦确认考试,确认时间截止后将无法取消,请考生慎重选择。
2.打印准考证时间:2020年7月17日至2020年7月18日
3.测试时间及地点:2020年7月18日,济南奥林匹克体育中心(济南市历下区经十东路)
4.测试方式:面试
其他考生须知详见准考证。
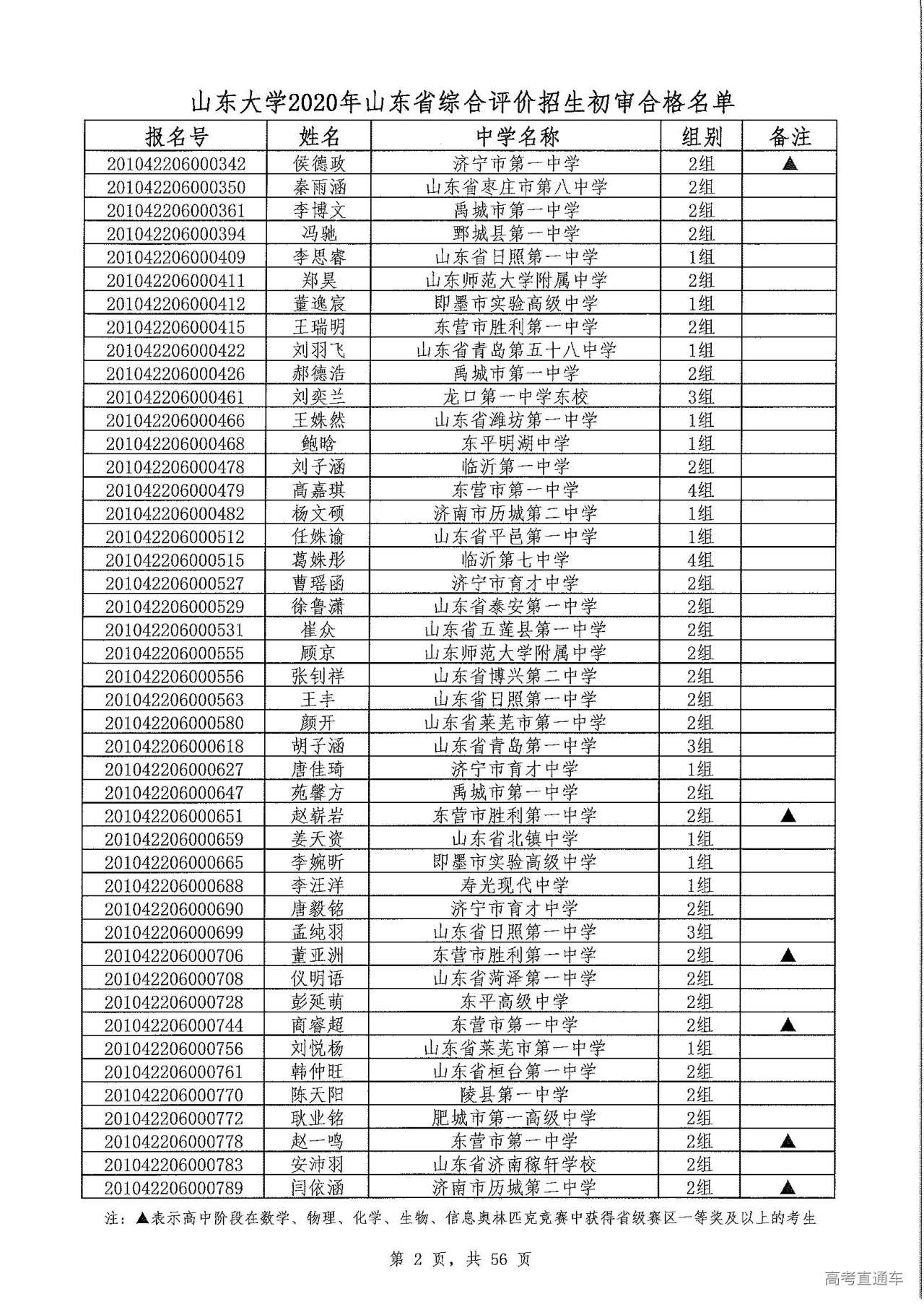
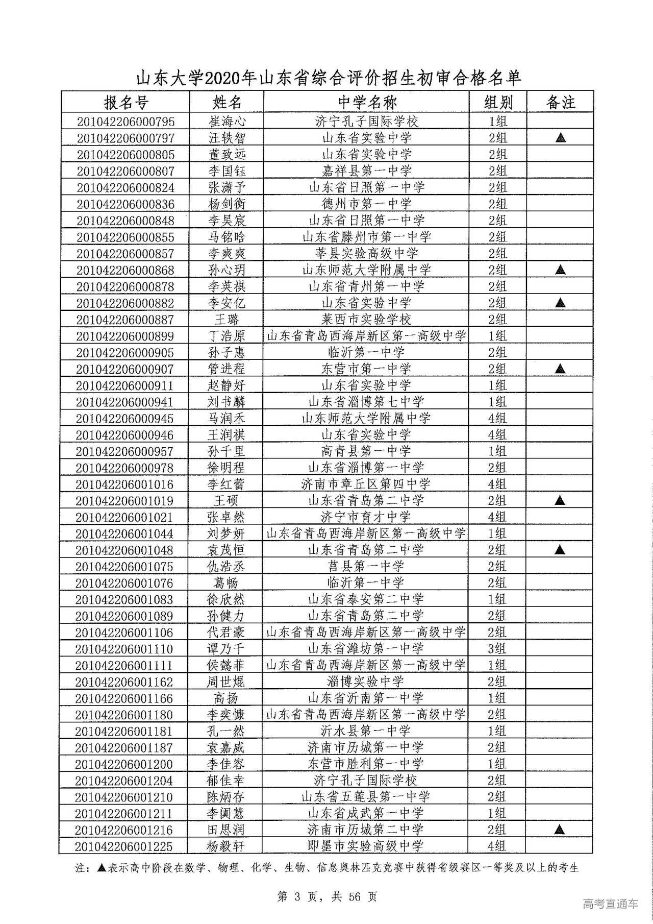
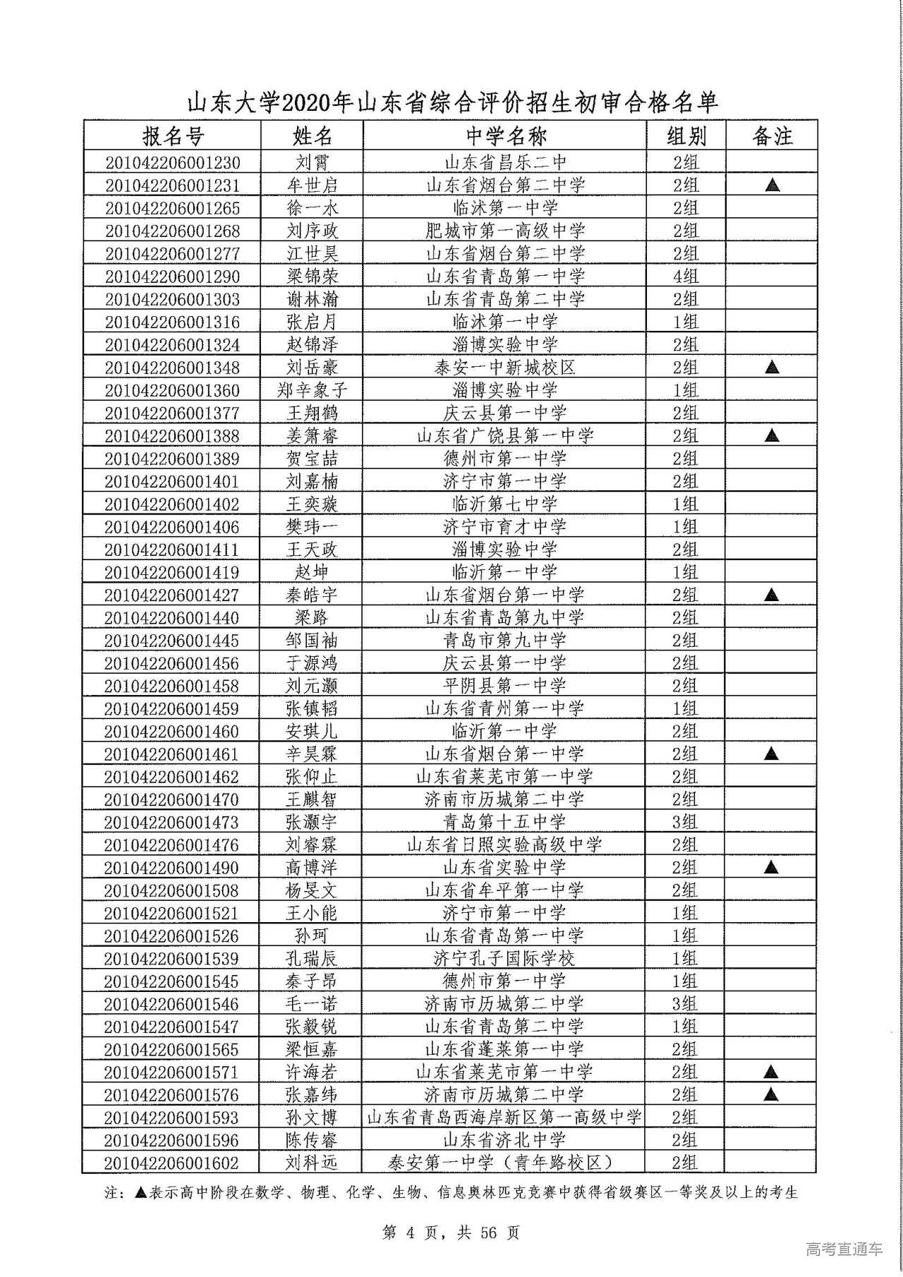
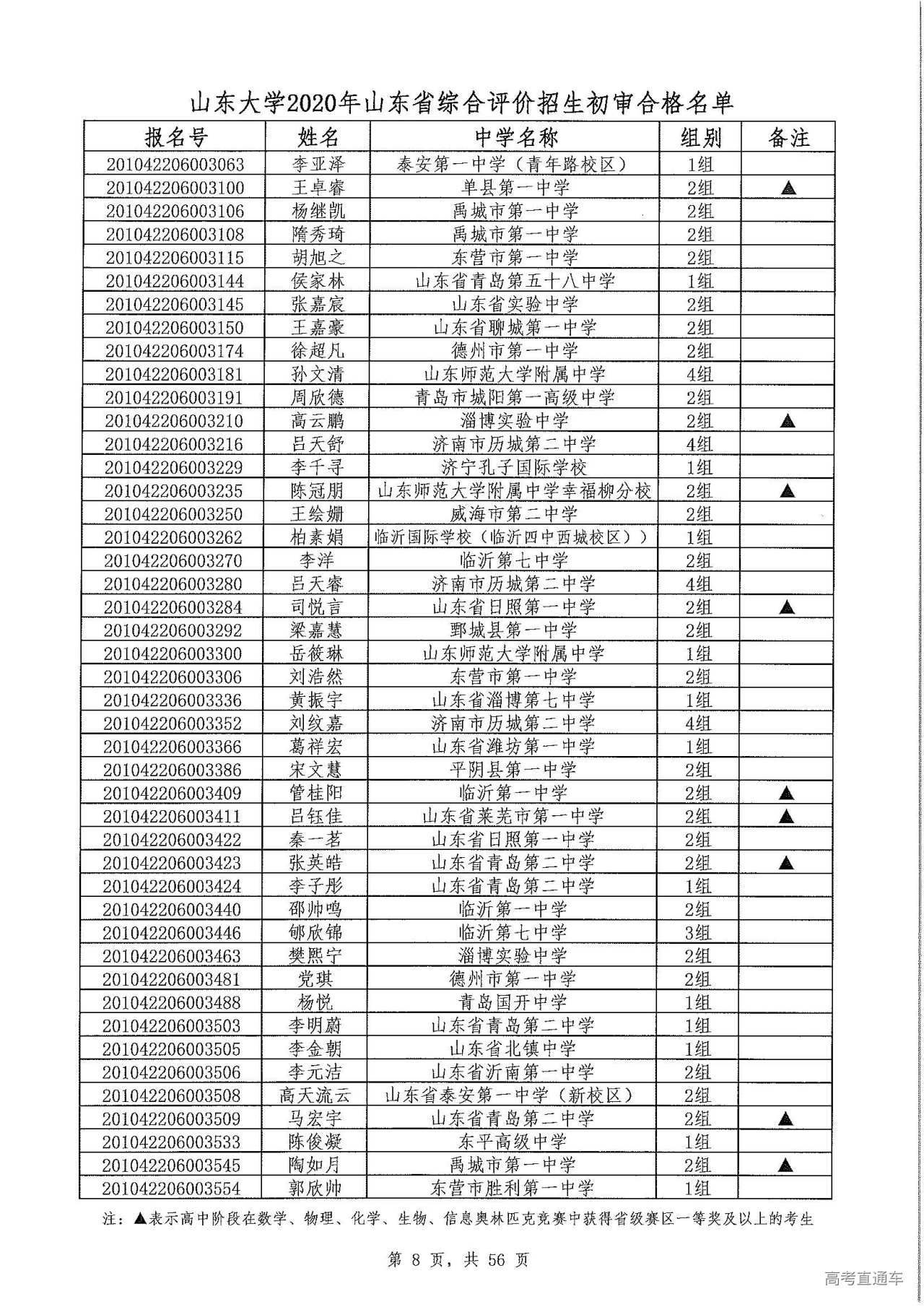
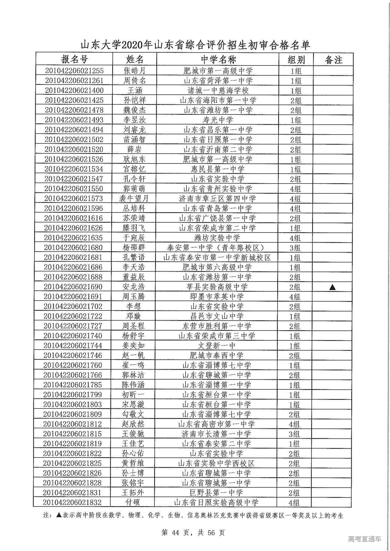
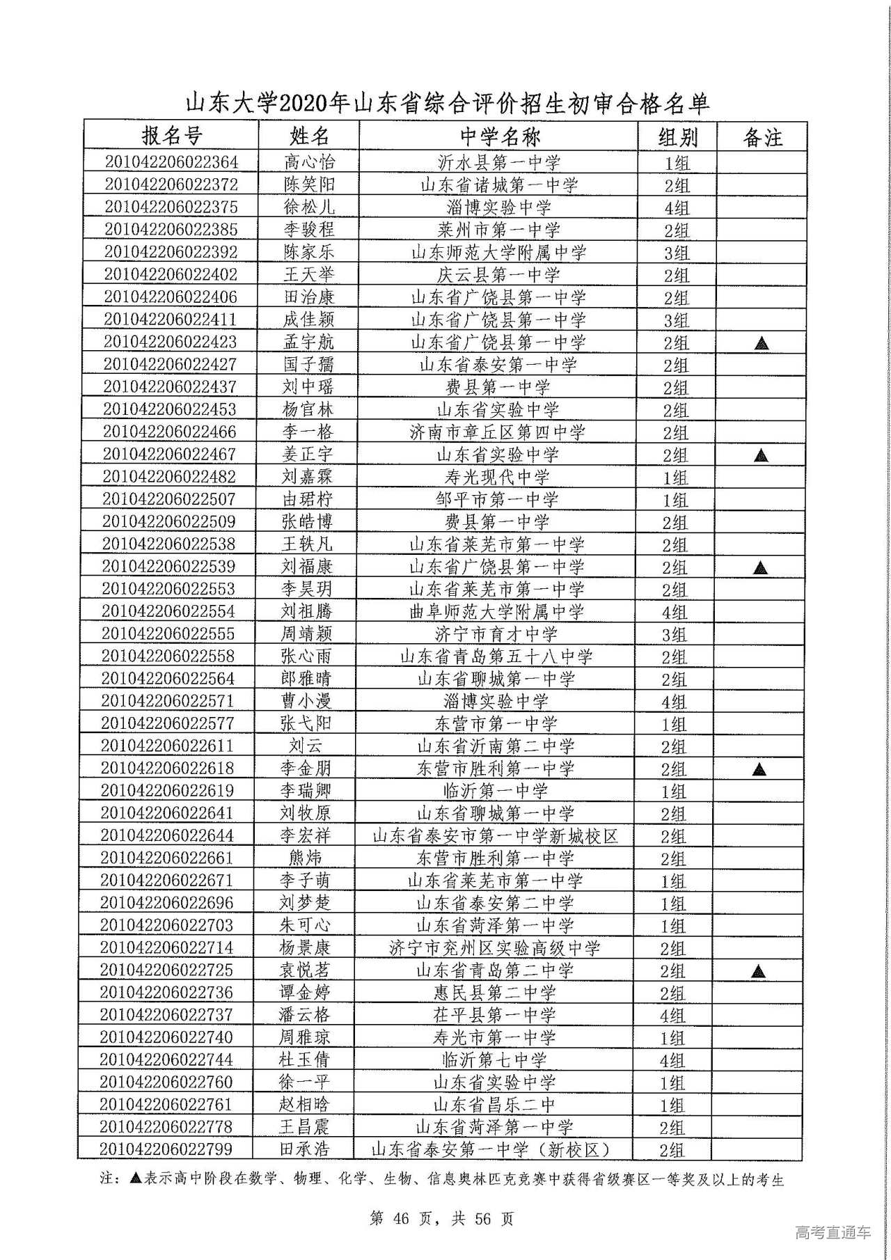
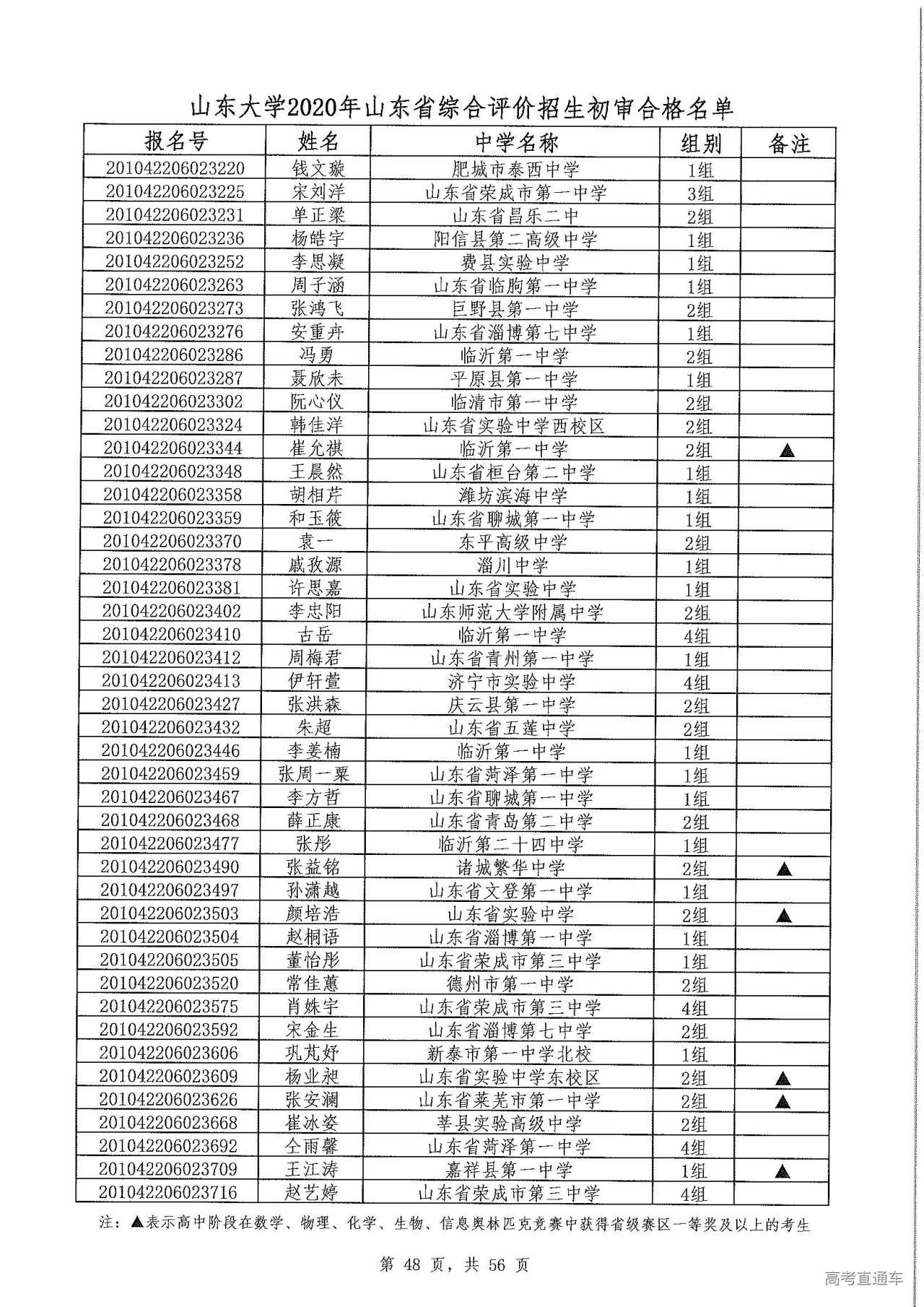
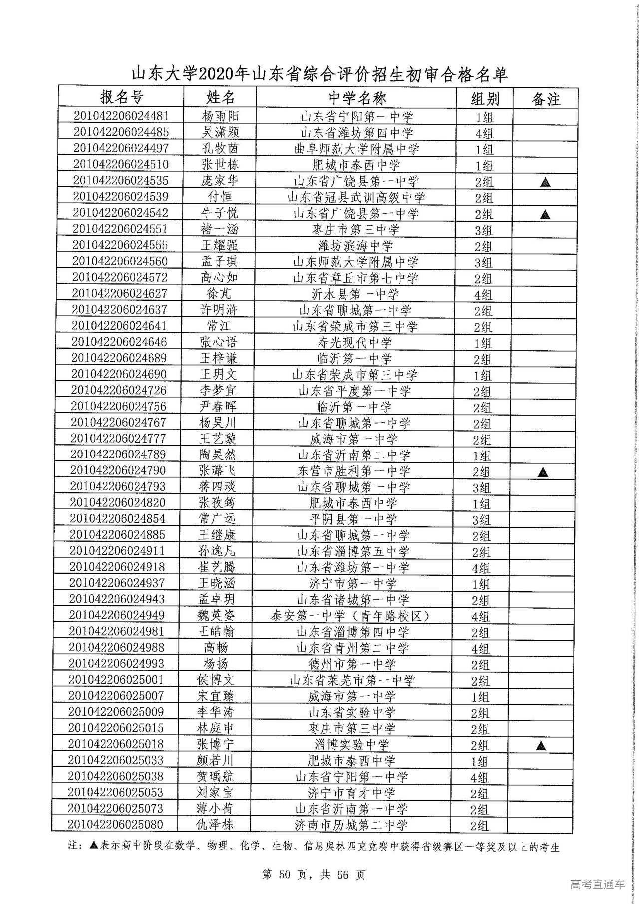
附件【山东大学2020年山东省综合评价招生初审合格名单】
查看完整试题
登录查看完整试题答案
阅读数:1.4 k
特别声明:
1. 本站注明稿件来源为其他媒体的文/图等稿件均为转载稿,本站转载出于非商业性的教育和科研之目的,并不意味着赞同其观点或证实其内容的真实性。如转载稿涉及版权等问题,请作者在两周内速来电或来函联系,本站根据实际情况会进行下架处理。
2. 任何媒体、网站或个人未经本网协议授权不得转载、链接、转贴或以其他方式复制发表,违者本站将依法追究责任。
1. 本站注明稿件来源为其他媒体的文/图等稿件均为转载稿,本站转载出于非商业性的教育和科研之目的,并不意味着赞同其观点或证实其内容的真实性。如转载稿涉及版权等问题,请作者在两周内速来电或来函联系,本站根据实际情况会进行下架处理。
2. 任何媒体、网站或个人未经本网协议授权不得转载、链接、转贴或以其他方式复制发表,违者本站将依法追究责任。























































