根据浙江省教育考试院《浙江省普通高校三位一体综合评价招生试点管理暂行办法》文件精神和《宁波工程学院2021年三位一体综合评价招生章程》规定,招就办对考生上传的书面材料进行了初审,同时对考生的学考等第、选考科目和综合素质评价进行了复核,现将符合我校2021年三位一体招生报名条件的考生名单进行公示,详见附件。
公示时间为:2021年3月23日-3月25日。如对公示结果有异议,请联系我校招就办,电话:0574-87616666; 纪委监督电话:0574-87610980。公示期后,学校将组织专家对书面材料进行评审。
附件:
建筑学专业符合报名条件的考生名单
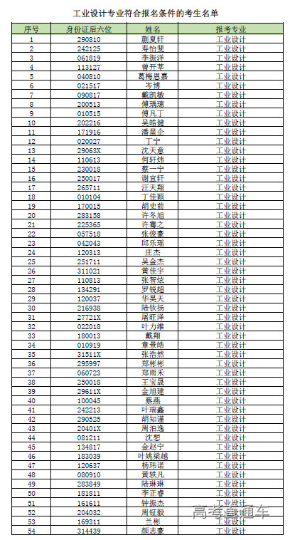
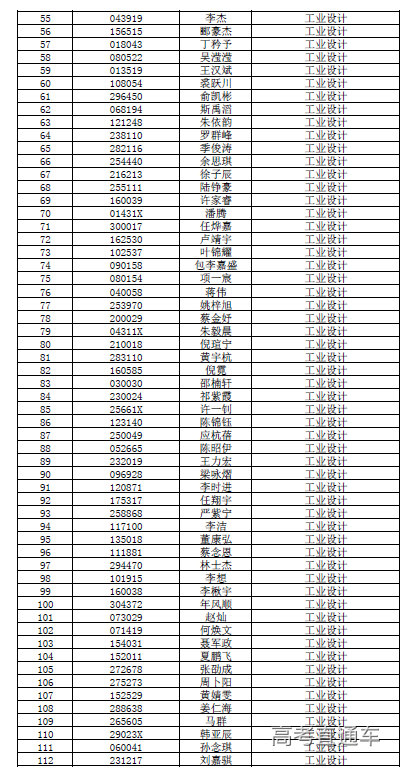
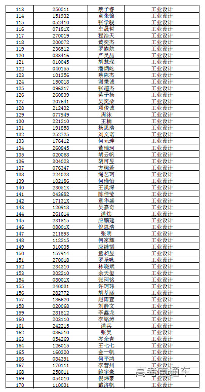
工业设计专业符合报名条件的考生名单
宁波工程学院招生与就业办公室
2021年3月23日


















