各位考生:
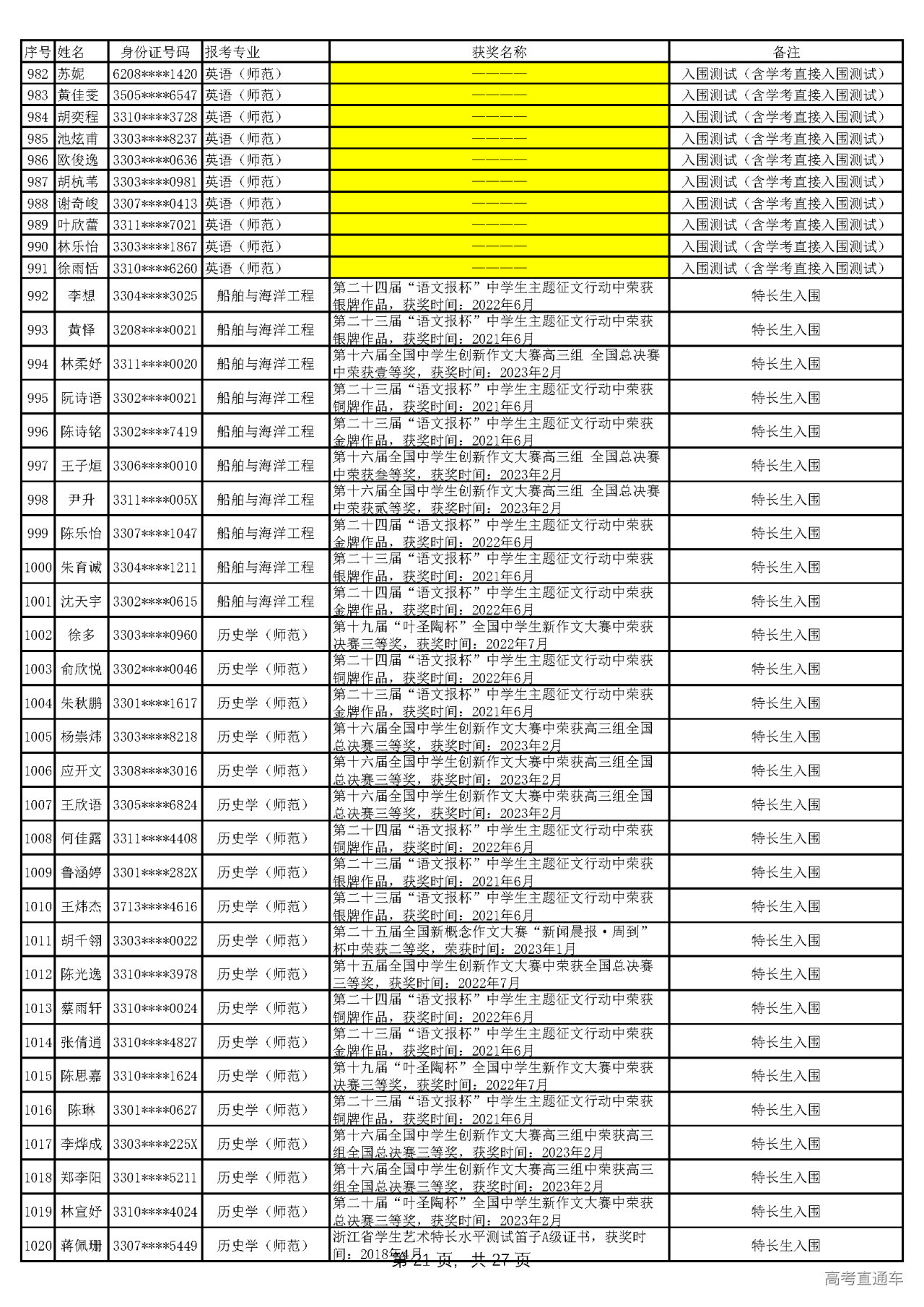
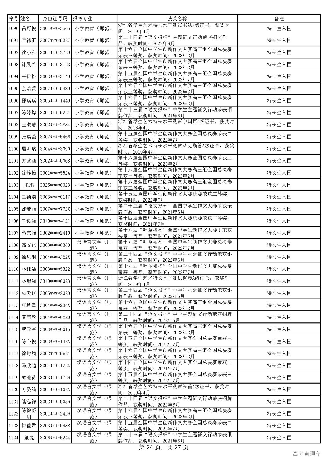
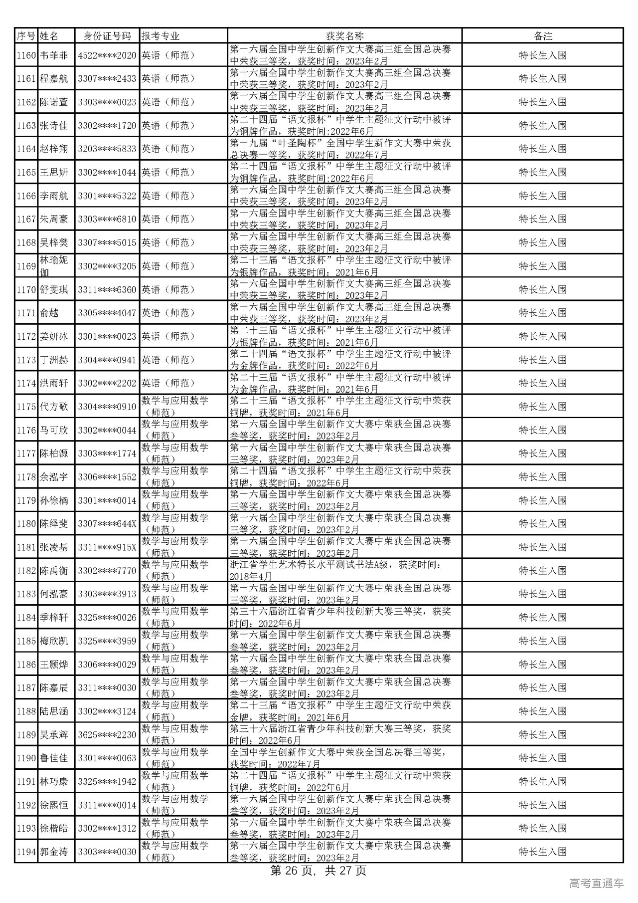
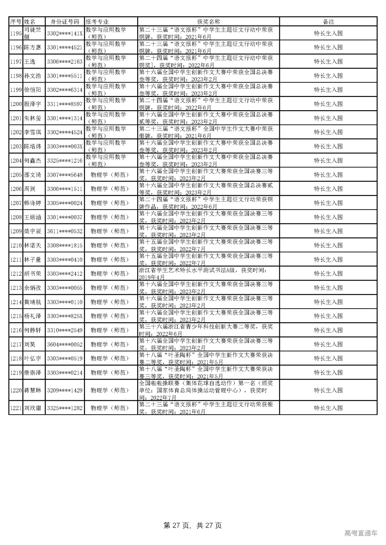
浙江海洋大学2023年“三位一体”综合评价招生网上报名9197人,根据浙江省教育考试院相关规定和《浙江海洋大学2023年“三位一体”综合评价招生章程》(以下简称“《章程》”),经审定,共有1221人通过书面评审,获得入围综合素质测试(以下简称“入围测试”)资格,具体分三类:
第一类(学考直接入围测试):根据《章程》第十四条规定,学业水平测试折算成绩(折算标准:A等计15分,B等计10分,C等计6分,D等计1分,E等不计分)在130分及以上的考生直接获得我校“三位一体”综合素质测试资格,不占通过书面评审的名额。经审核,共有108名考生符合直接入围测试资格。
第二类(其他非特长生入围测试):根据《章程》第十四条规定,非特长生入围测试名单根据考生的学业水平测试折算成绩从高分到低分分专业确定,入围测试人数原则上不超过分专业招生计划数的6倍,最后一名同分考生一并入围。经审核,共有883名考生符合非特长生入围测试资格。
第三类(特长生入围测试):根据《章程》第十四条规定,符合章程规定的特长生按照不超过分专业计划数2倍的比例获得入围测试资格,不占通过书面评审的名额。若考生学业水平测试折算成绩符合非特长生入围标准的,则优先按非特长生入围处理;若分专业认定的特长生人数超过专业计划数的2倍,则根据特长生的学业水平测试折算成绩从高分到低分分专业确定名单(最后一名同分考生一并入围)。经审核,共有230名考生符合特长生入围测试资格。
分专业入围最低学考折合分和入围人数见下表:
注:1.学考折算成绩在130分及以上的考生直接获得综合素质测试资格,不占通过书面评审的名额(简称“学考直接入围”)。
2.非特长生入围人数超出6倍招生计划的,系因同分一并入围;
3.特长生入围人数超出2倍招生计划的,系因同分一并入围;
4.“——”表示相应专业符合章程规定的特长生人数不足招生计划数的2倍,所有符合报考条件且符合章程规定的特长生均可入围测试。
通过书面评审获得入围测试资格的考生名单见附件(排序不分先后)。考生可登陆报名系统后台查询审核结果,通过书面评审获得入围测试资格的考生系统显示“初审通过”(报名系统网址:http://swyt.zjou.edu.cn/)。如对结果有异议的,请第一时间联系我校招生办。
咨询电话:0580-2550022
纪委监督电话:0580-2627855
未能通过书面评审的考生,欢迎继续关注和报考浙江海洋大学。
浙江海洋大学招生办
2023年3月23
报考费缴纳说明
1.通过书面评审的考生须缴纳报考费后才能参加综合素质测试,收费标准为140元/人,考生须于2023年3月24日—2023年3月31日下午16:00期间缴费,选择以下任意一种支付方式均可:
(1)手机支付宝(优先推荐):登录支付宝首页→搜索“公共支付”→选择“浙里办公共业务付款”(首次登录需绑定“浙里办”账号,之后退回首页,再重新打开“浙里办公共业务付款”)→选择“按身份信息”→填写应缴费学生的身份证号→“业务归属地”输入“舟山”搜索,选择“舟山市本级”,“执收单位”输入“浙江海洋大学”,选择“浙江海洋大学”→核对缴款单信息,点击“下一步”→选择付款方式(绑定储蓄卡、信用卡或花呗),点击立即付款,完成缴费。
(2)浙江海洋大学学生网上缴费系统:登录浙江海洋大学学生网上缴费系统http://sf.zjou.edu.cn:88,输入用户名、密码和验证码(用户名为身份证号,初始密码为身份证号后8位,首次登录需先修改密码才能登录)→核对个人信息,点击“缴费”→点击“下一步”→勾选收费项目,点击“下一步”→“非税支付”→点击“确定交费”→网页跳转到公共支付,核对缴款单信息,可填写缴款信息接收手机号码,→点击“确认缴款”→选择支付方式(银联、支付宝、工行、农行、建行中其中一种)→根据选择的支付方式进行付款,完成缴费。完成缴费后,可点击“交易记录查询”,查询有关缴费记录。
2.三位一体网上报名系统和财务缴费系统没有实现数据实时对接,三位一体网上报名系统会推迟1-2天完成缴费更新,请已完成缴费的考生或家长耐心等待,不要重复缴费。
3.缴费系统于3月31日下午16:00准时关闭,请考生务必在该时段内完成缴费,逾期未缴费的考生视为自动放弃测试资格,不能参加综合素质测试。缴费成功后因个人原因未参加综合素质测试,报考费不予退还。
附件1:浙江海洋大学2023年“三位一体”综合评价招生书面评审结果公布(入围测试).pdf



























