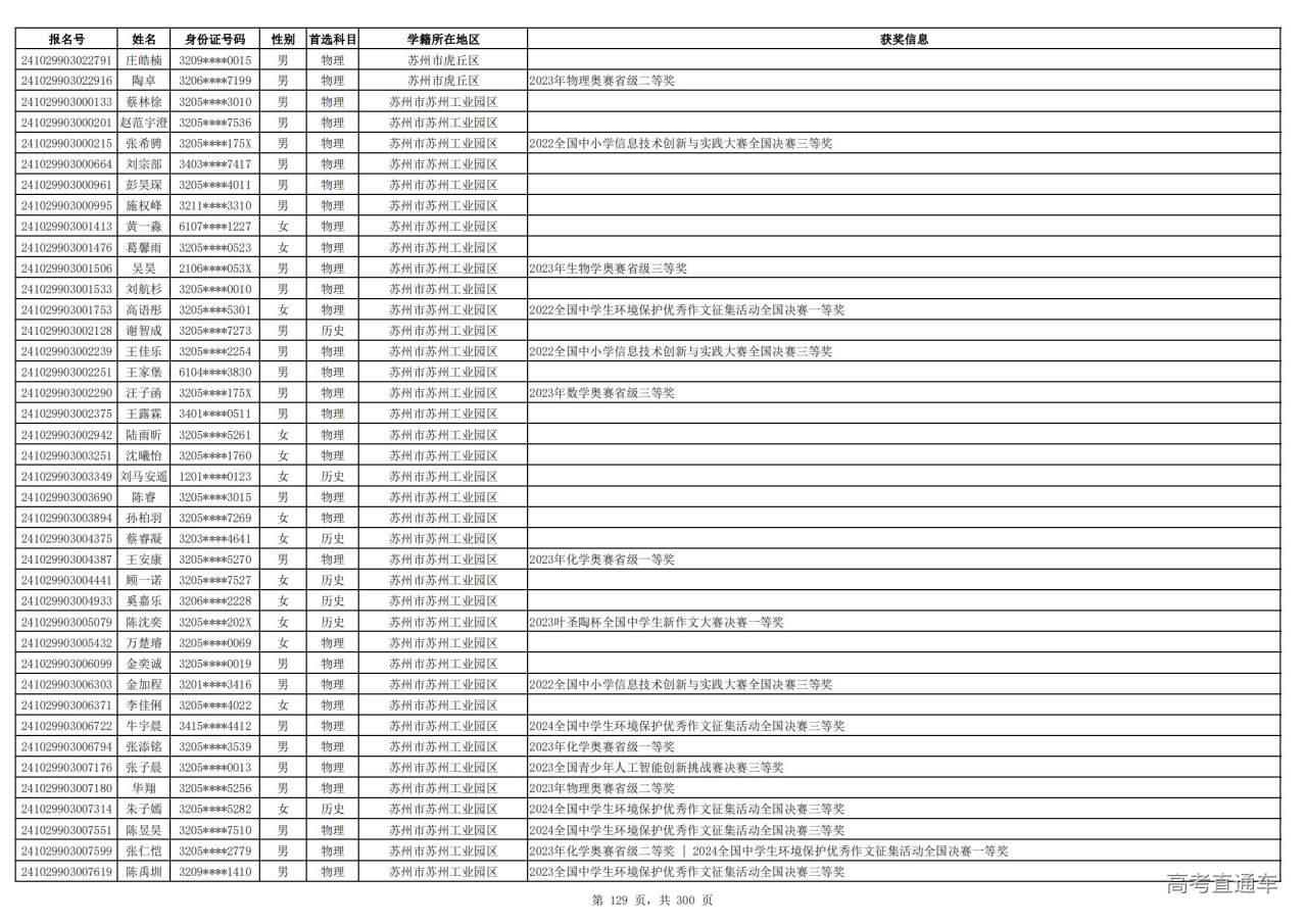
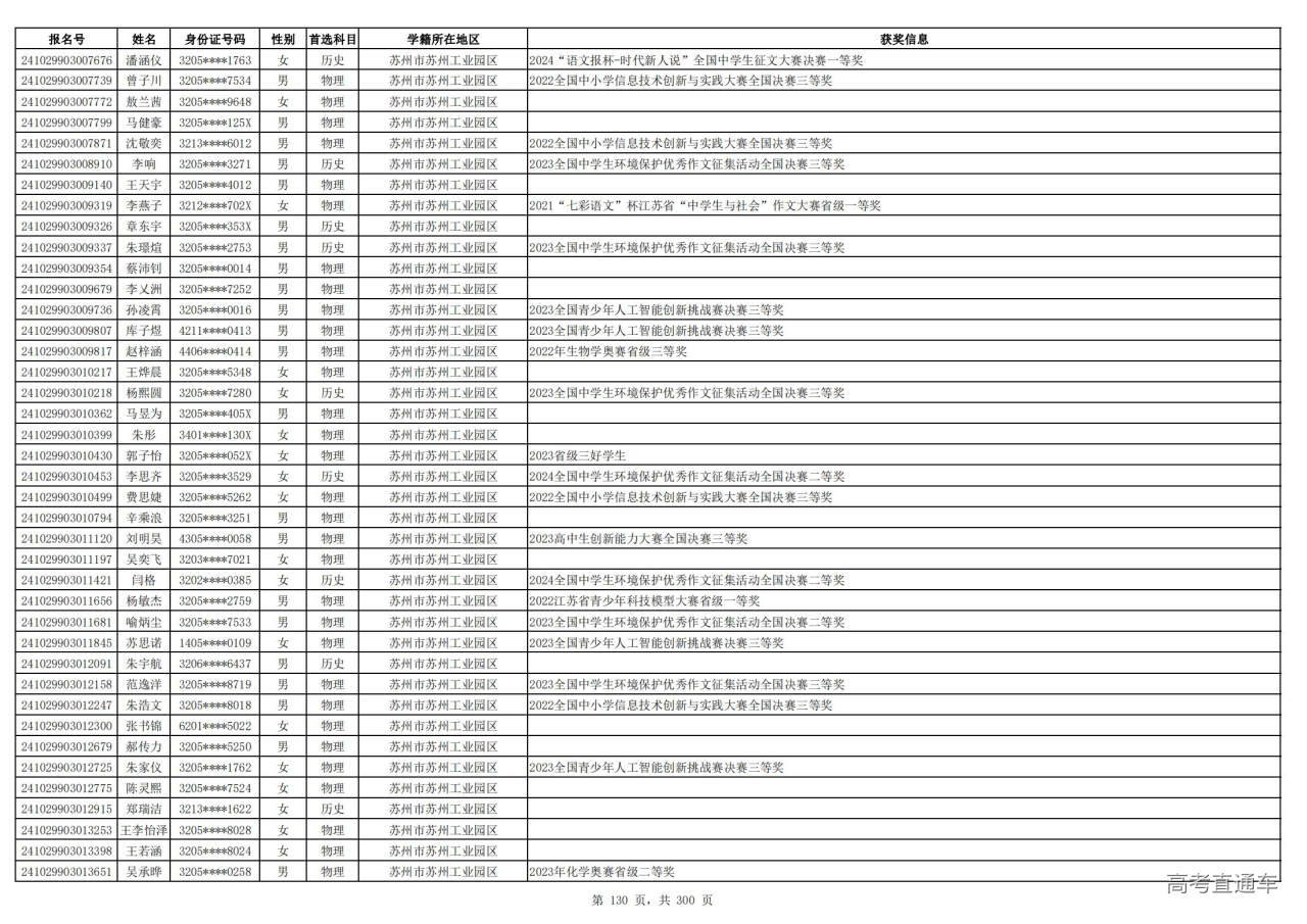
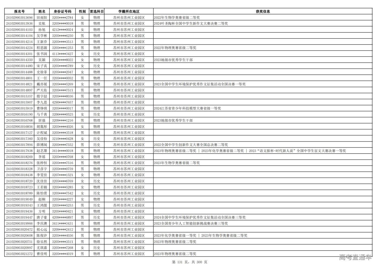
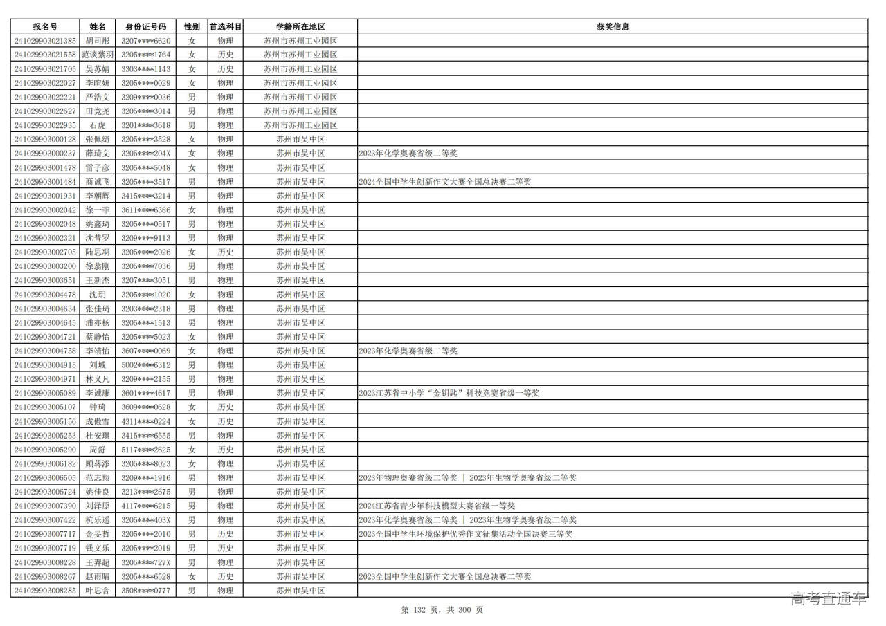
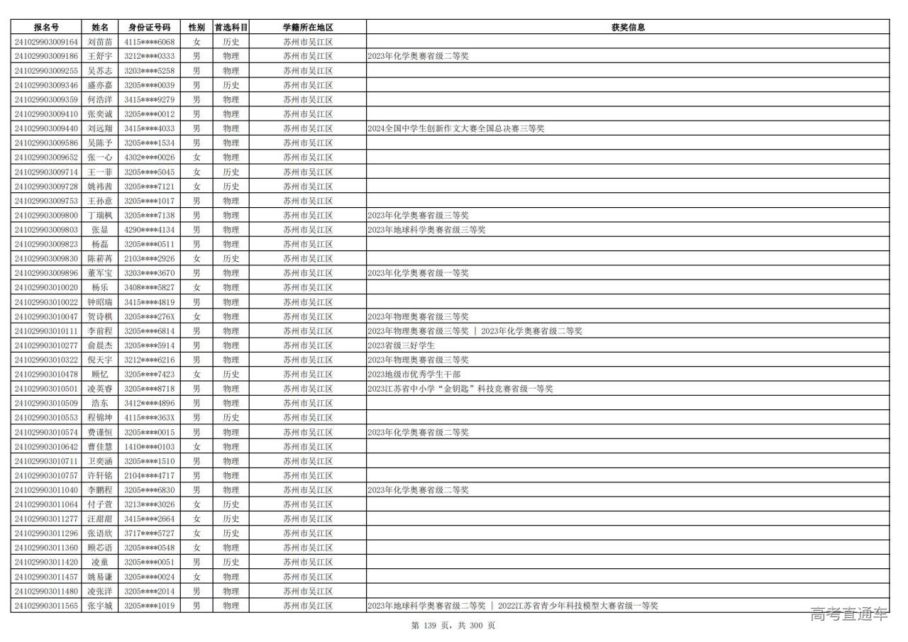
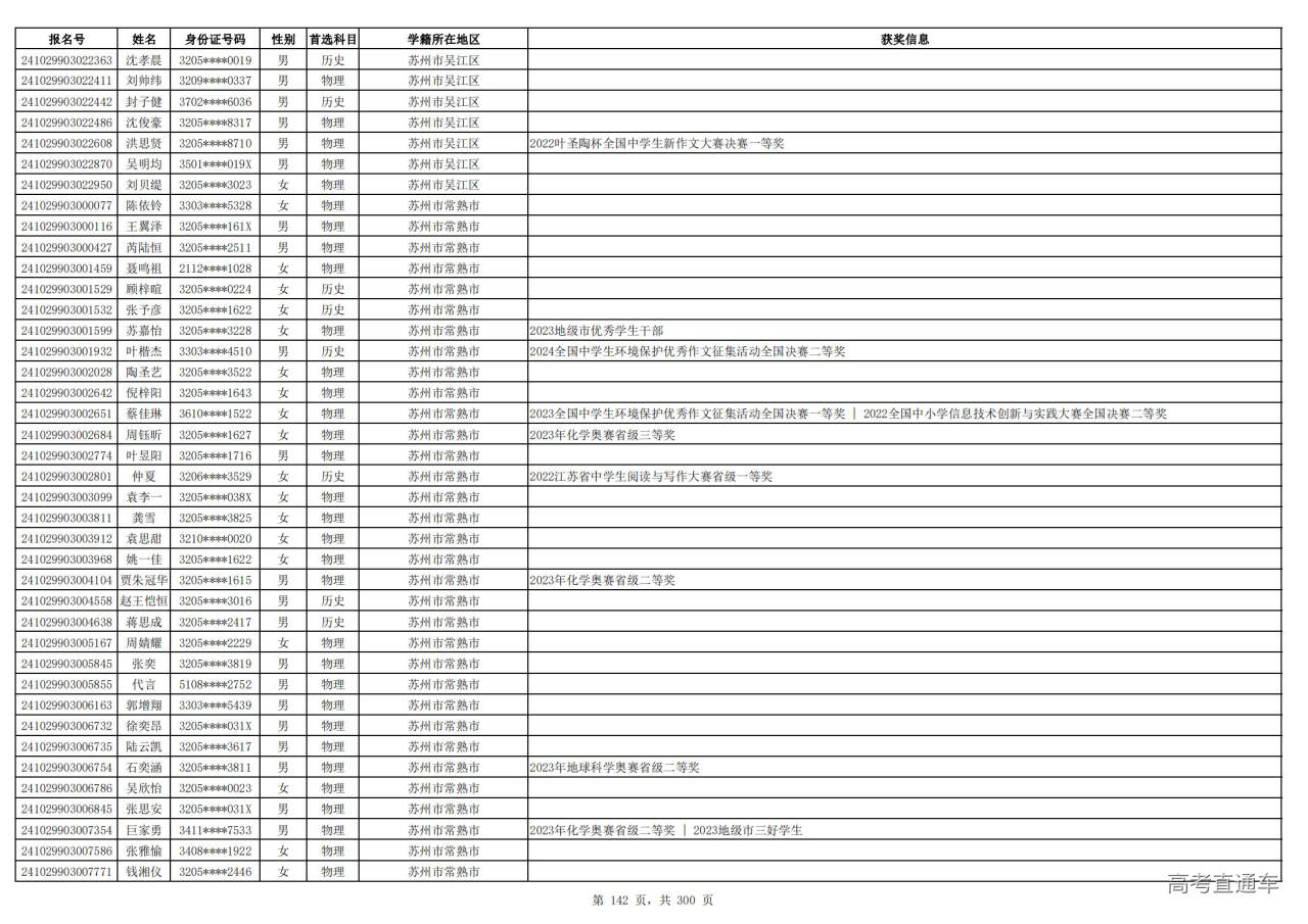
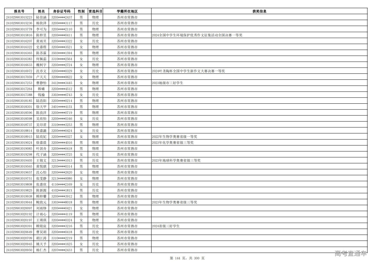
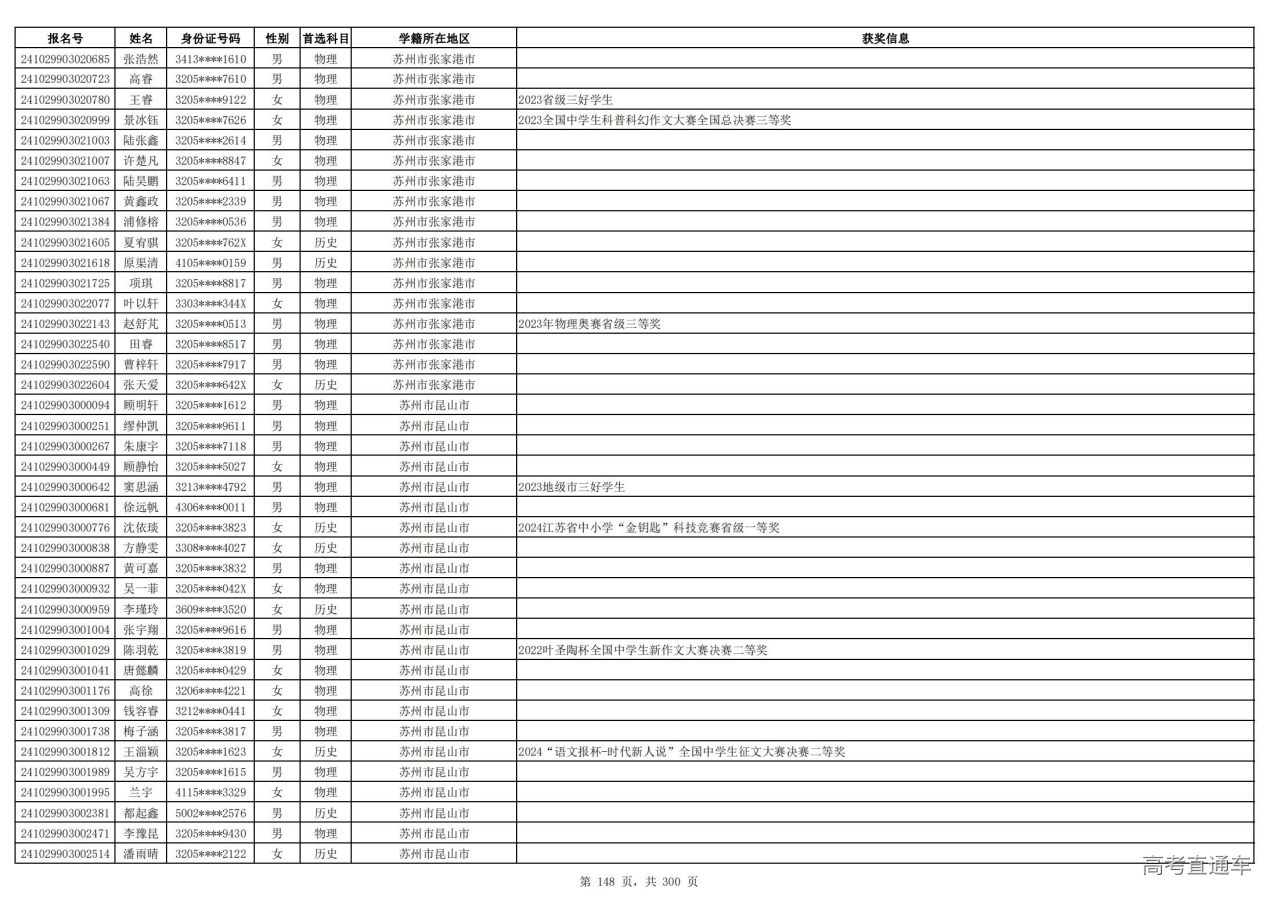
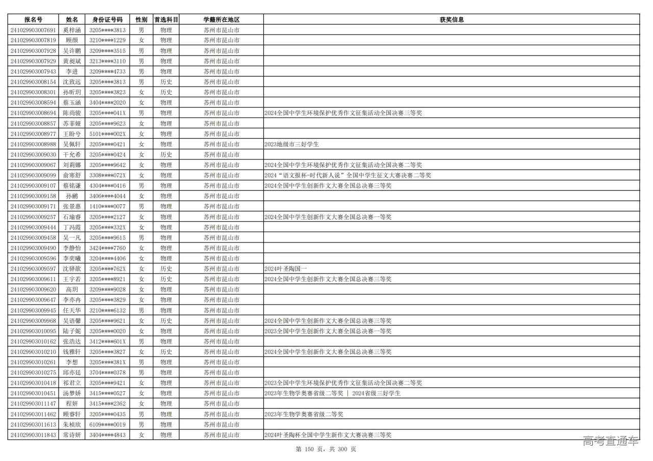
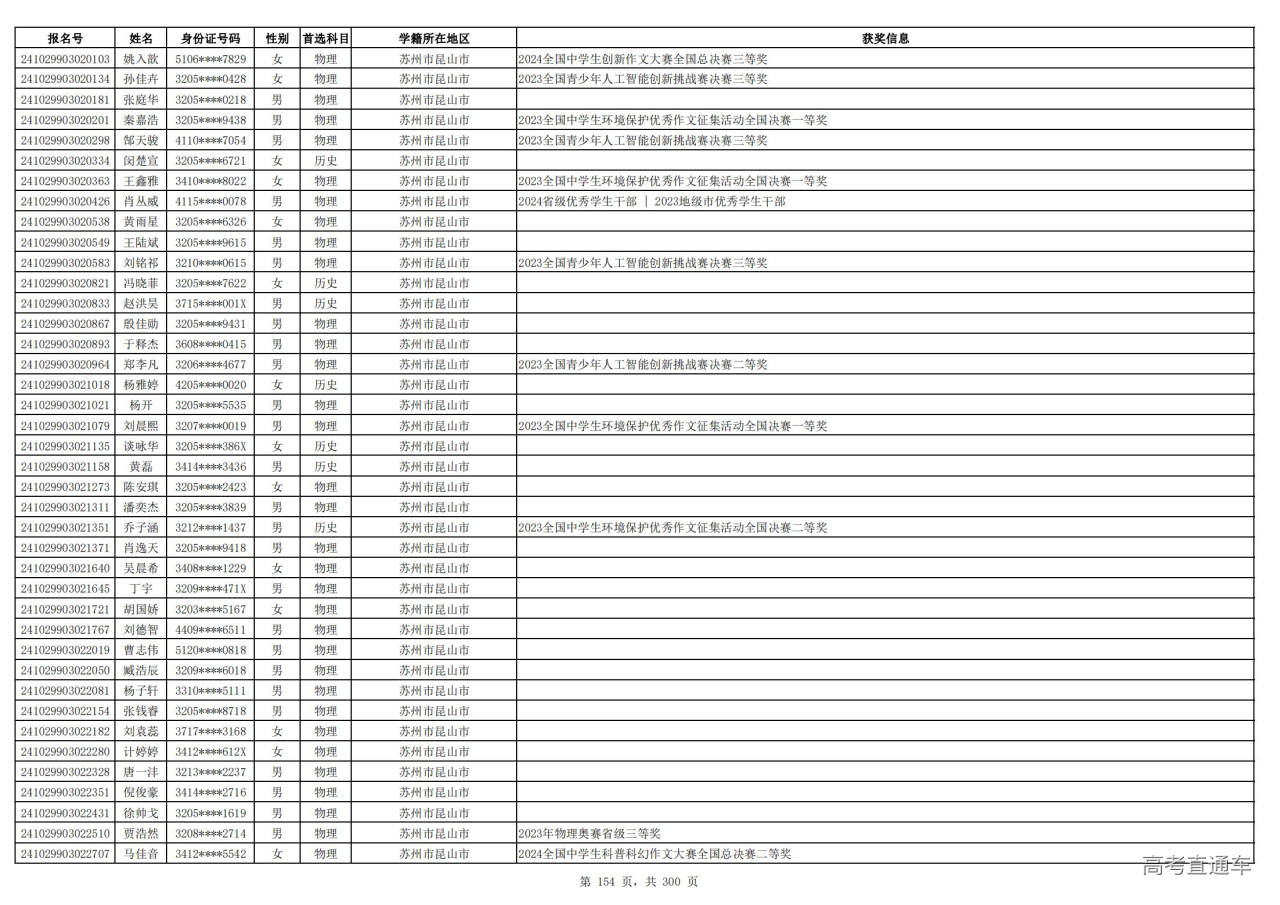
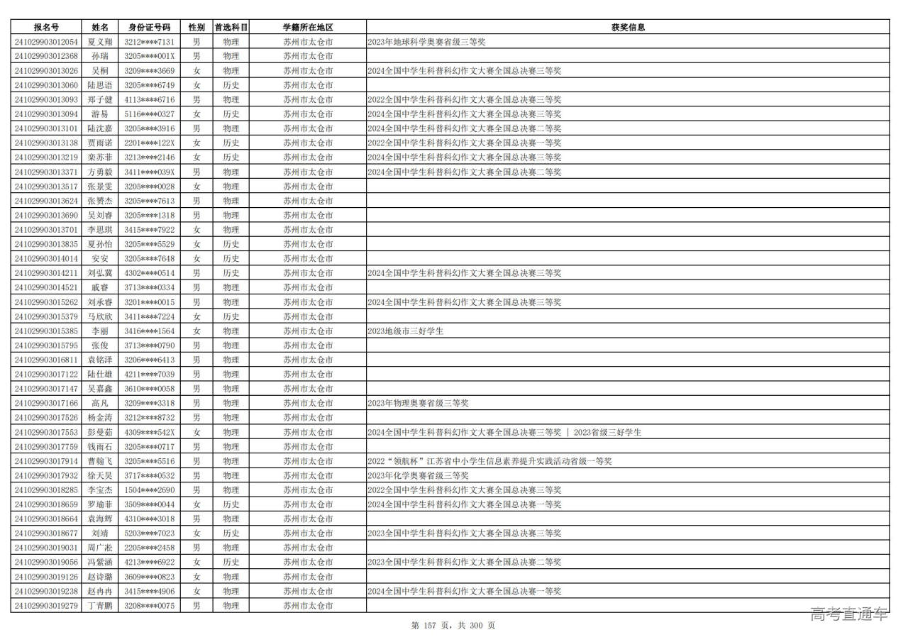
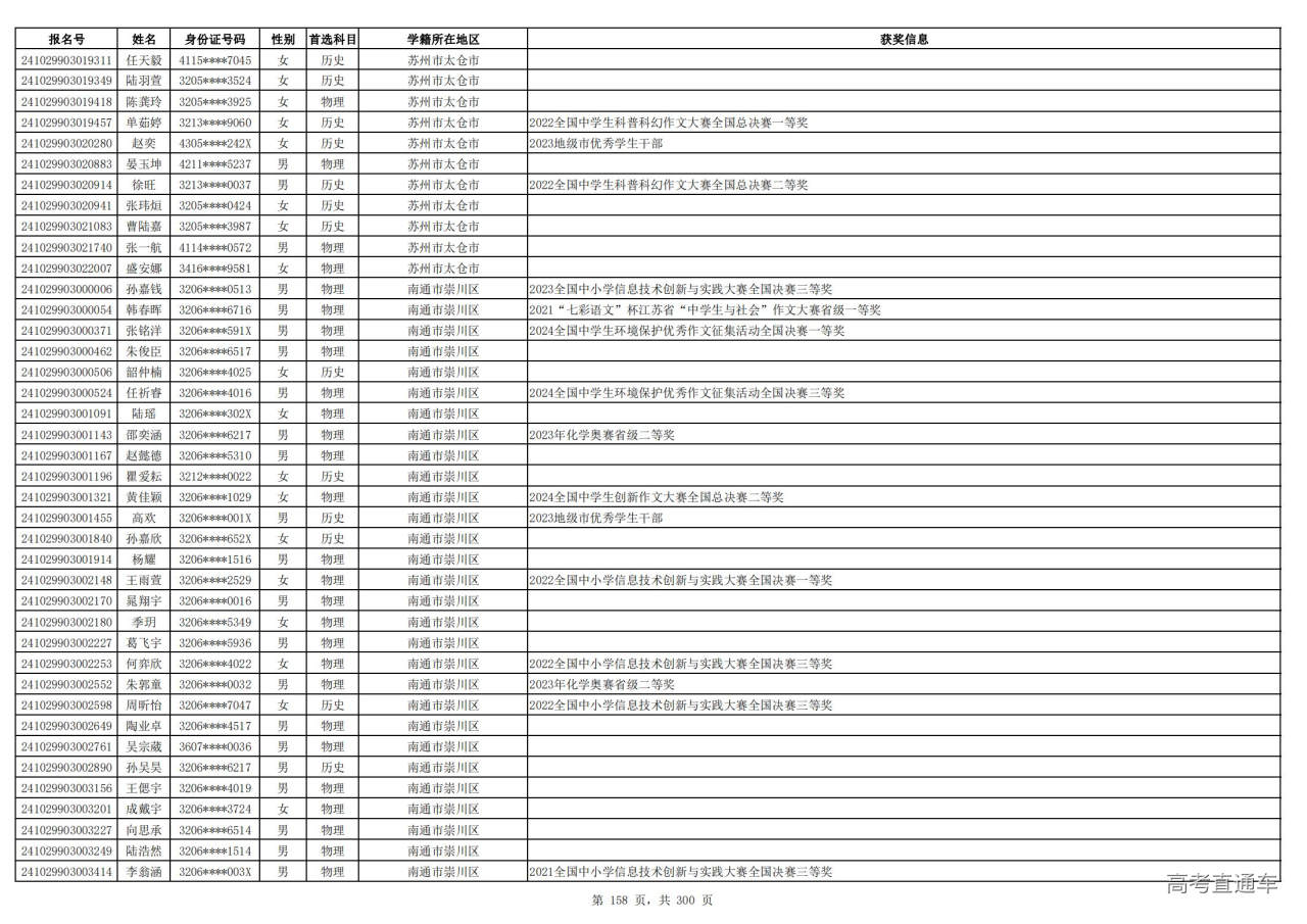
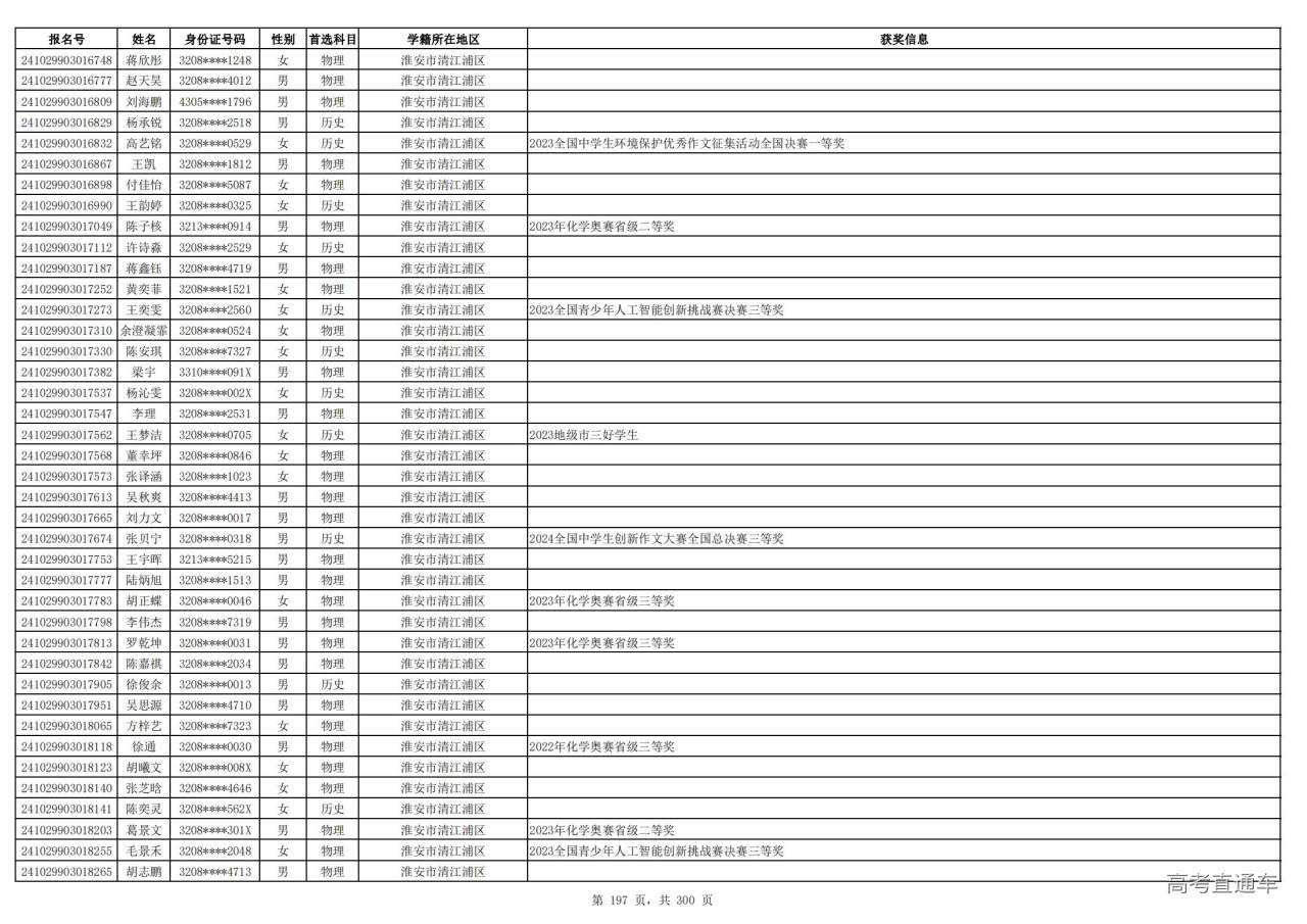
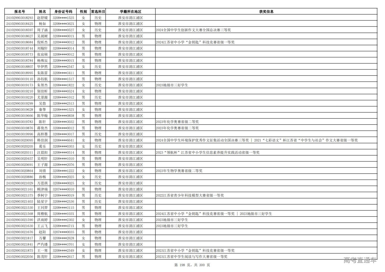
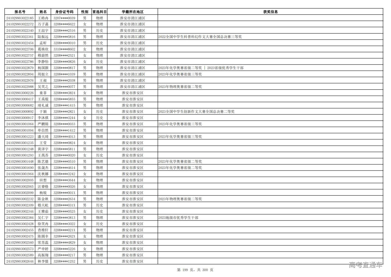
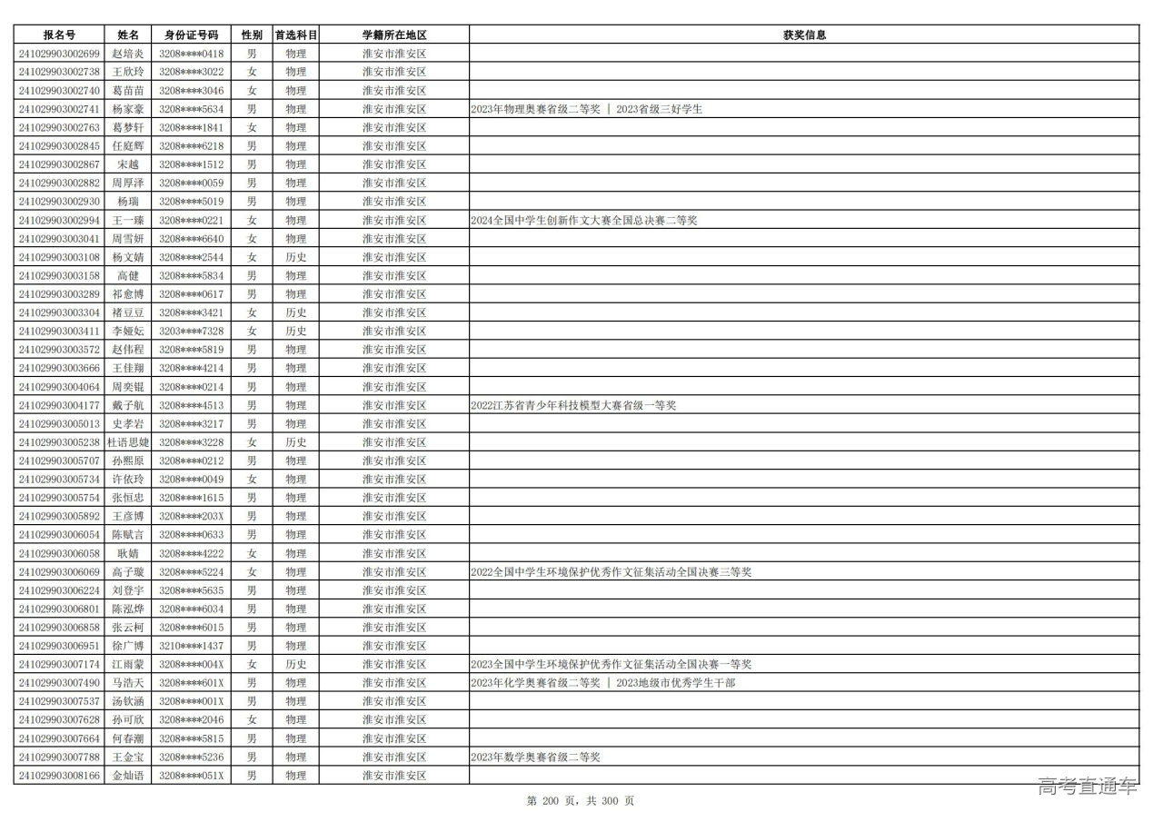
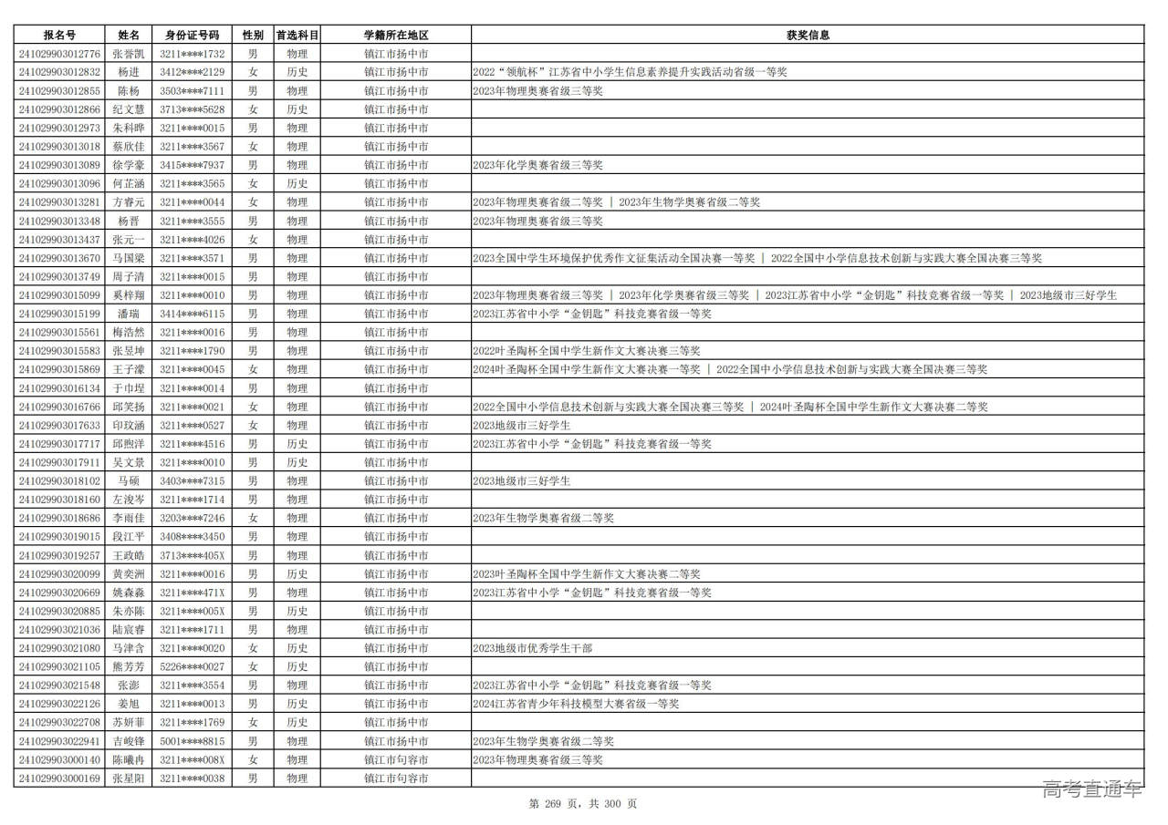
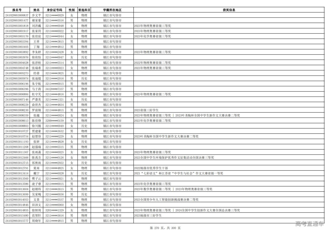
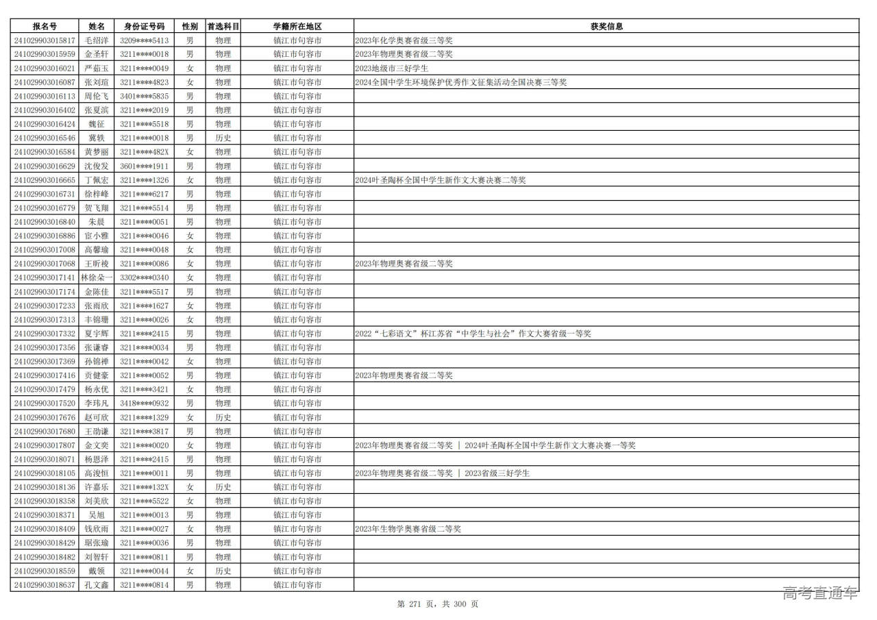
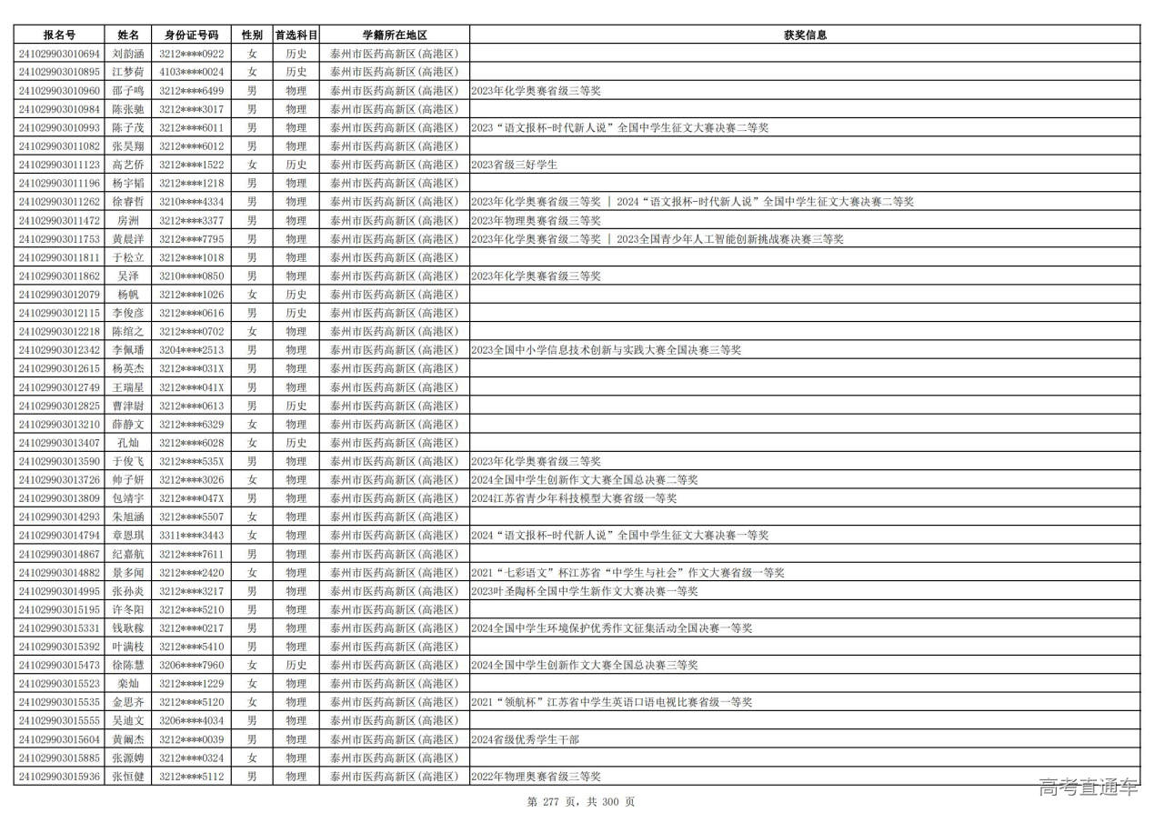
根据《省教育厅关于做好2024年普通高校综合评价招生改革试点工作的通知》(苏教考〔2024〕11号)文件精神和我校2024年综合评价招生简章中相关要求,学校组织专家对考生报名材料进行审核,现对资格审核合格名单予以公示(见附件),相关说明如下:
一、公示时间:5月22日-5月29日。对公示考生如有异议,可在5月29日前以书面形式向我校反映。
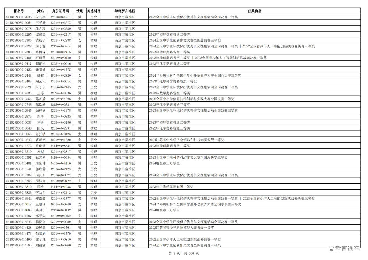
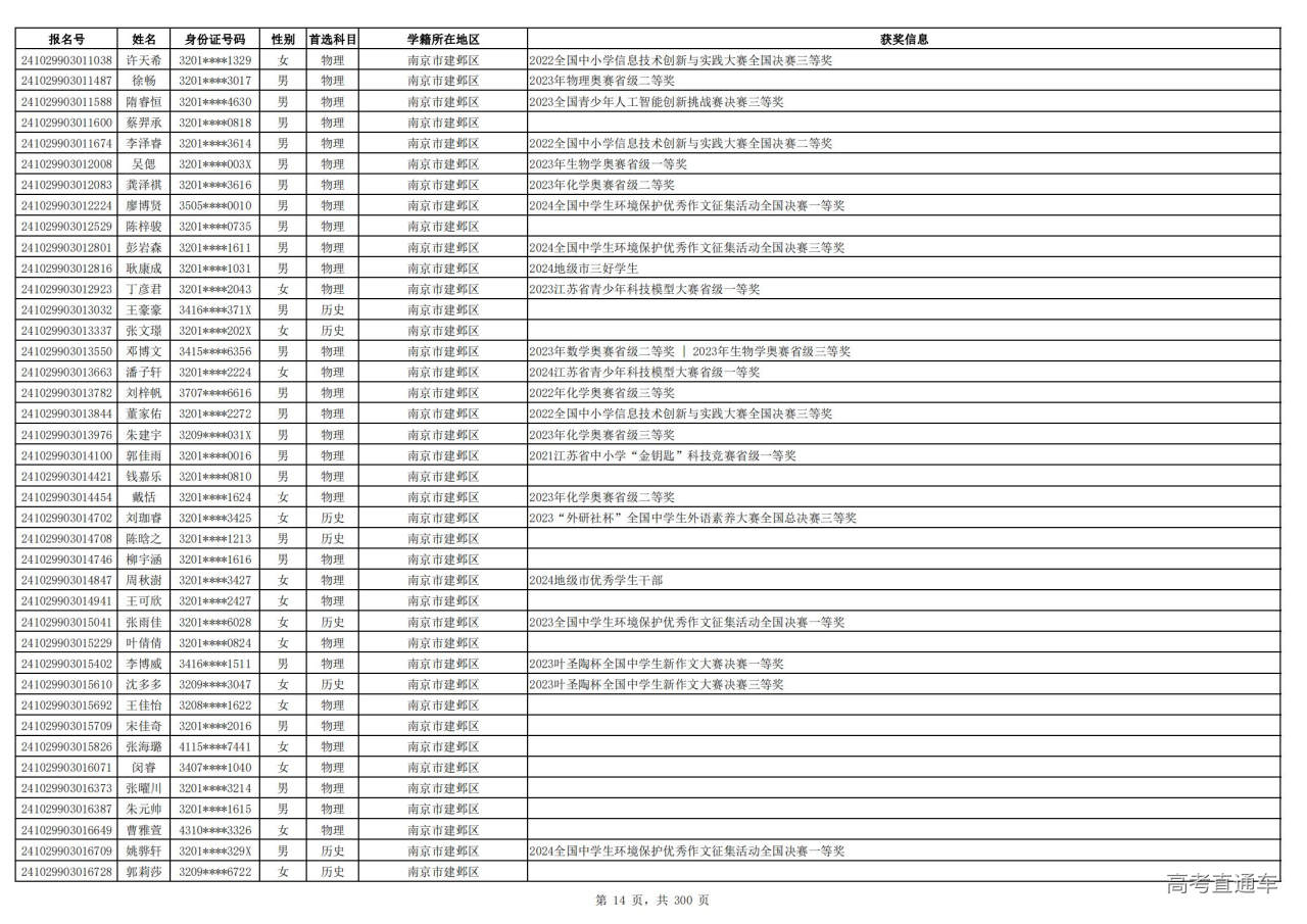
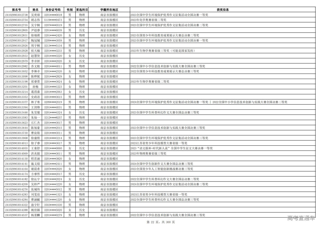
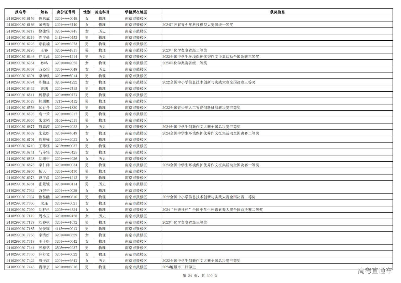
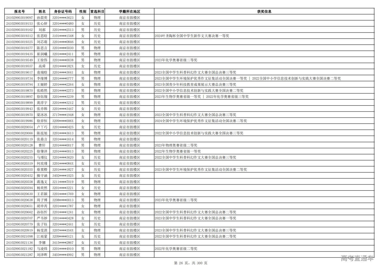
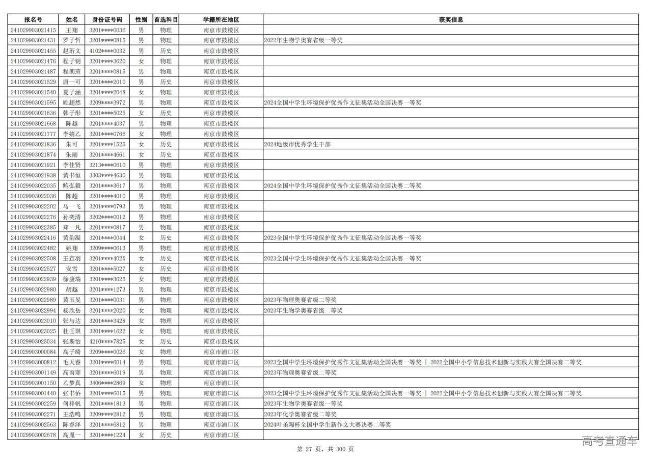
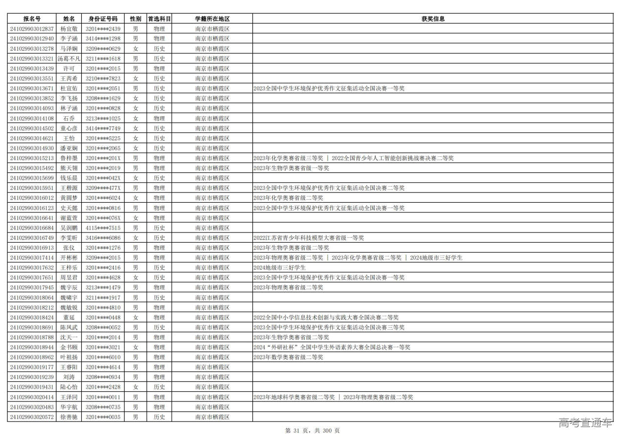
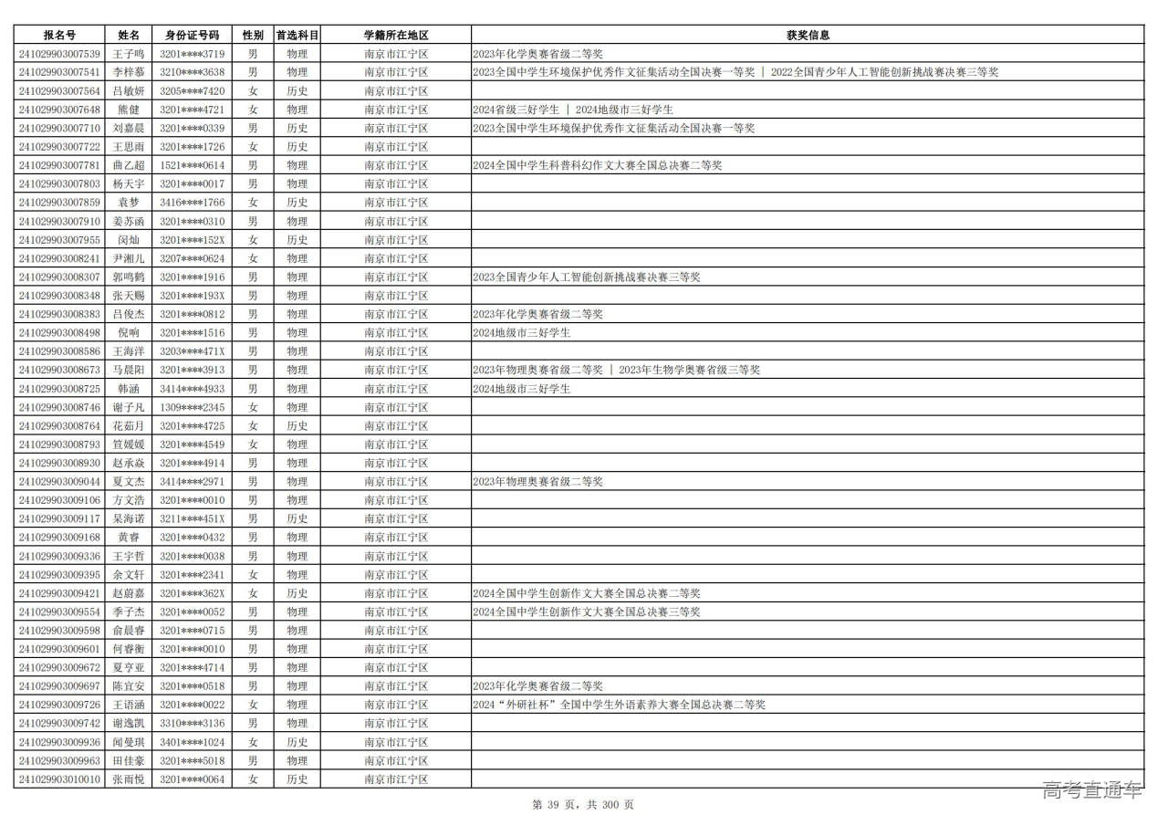
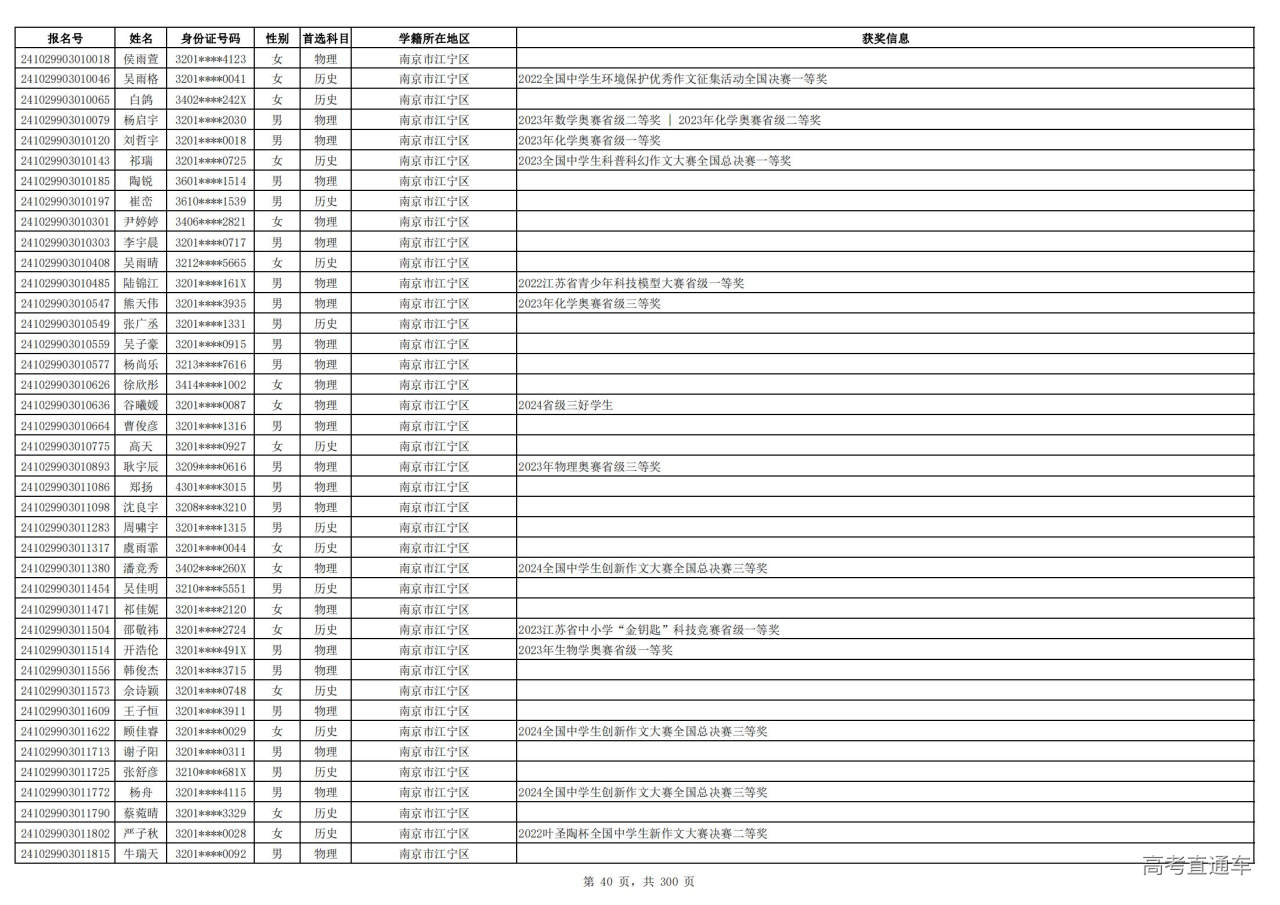
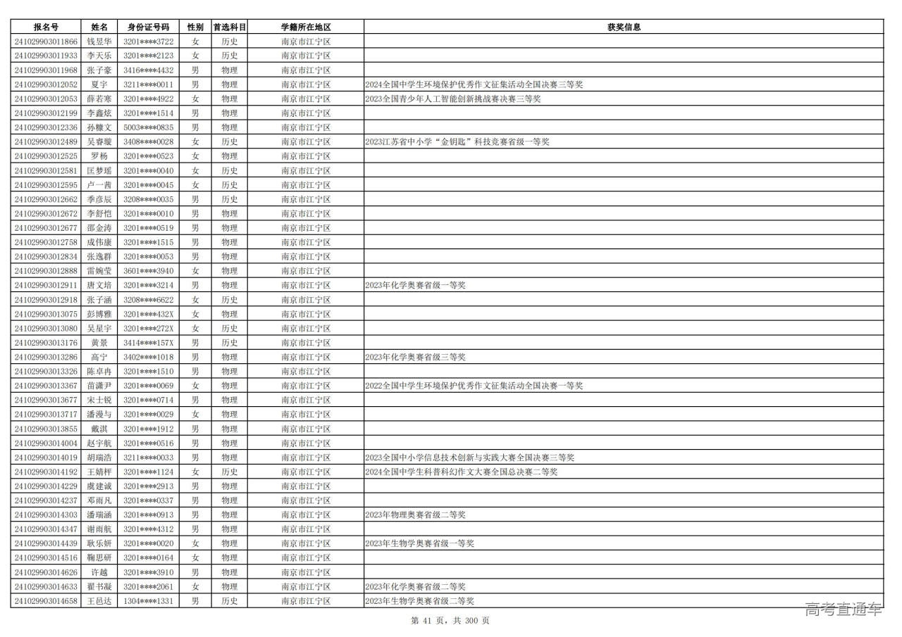
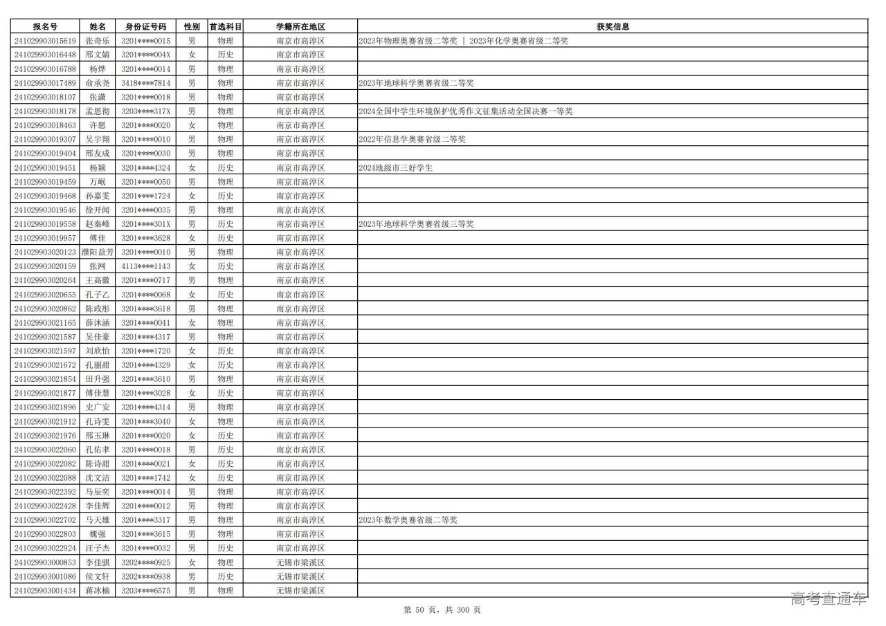
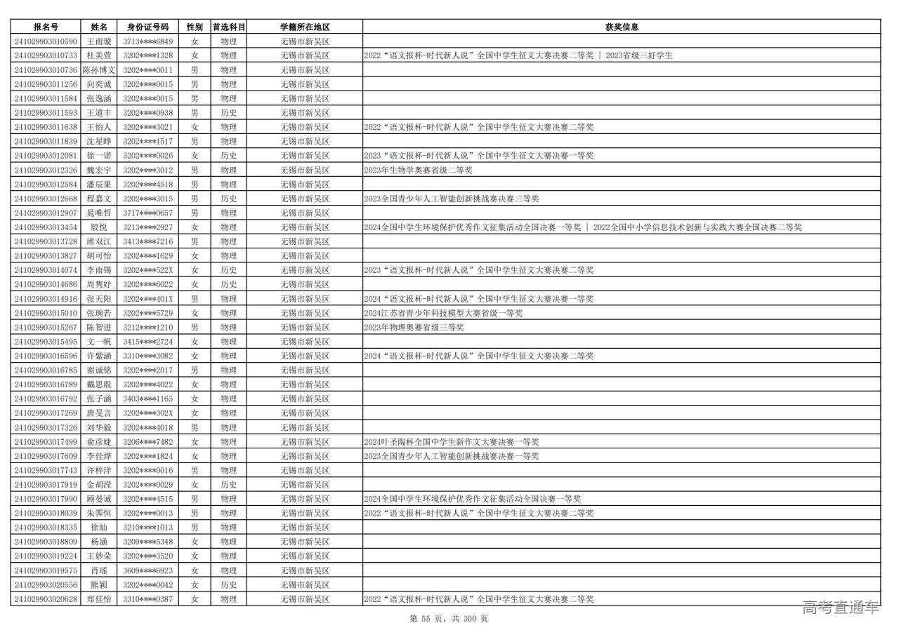
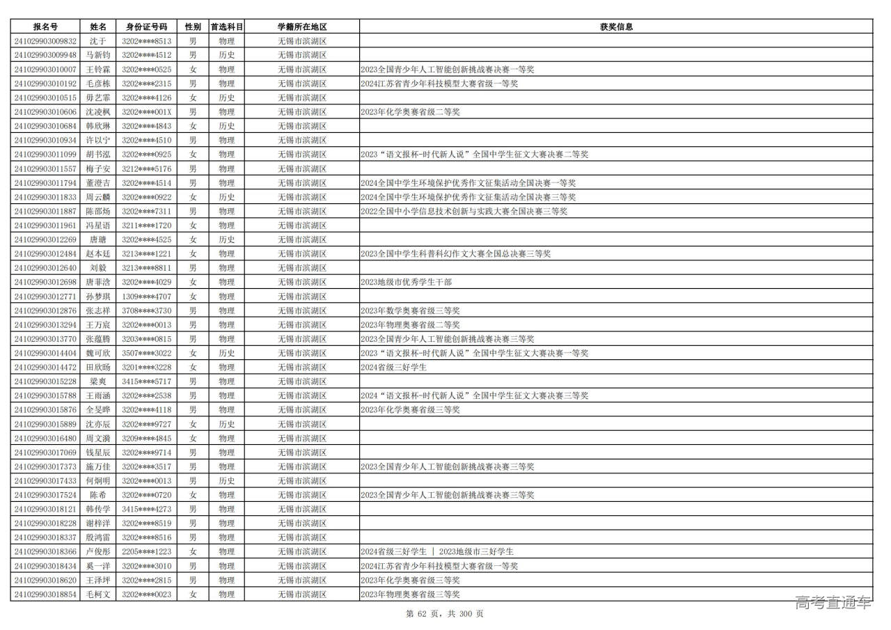
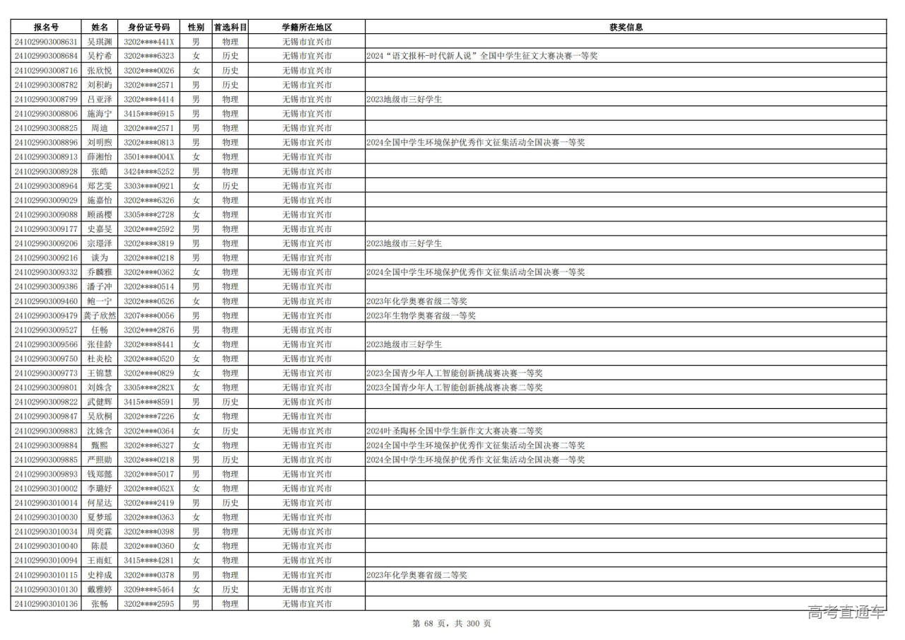
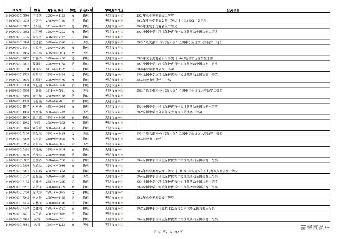
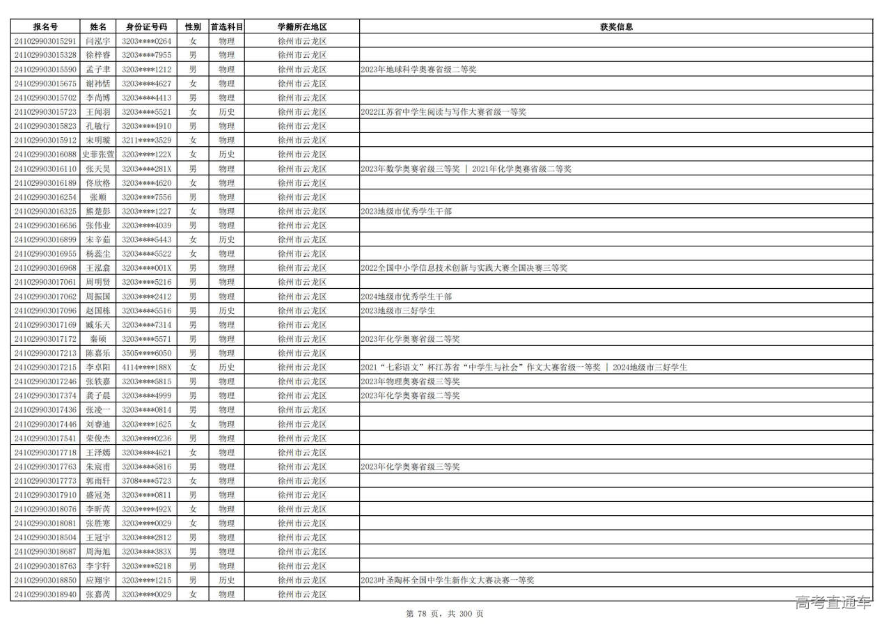
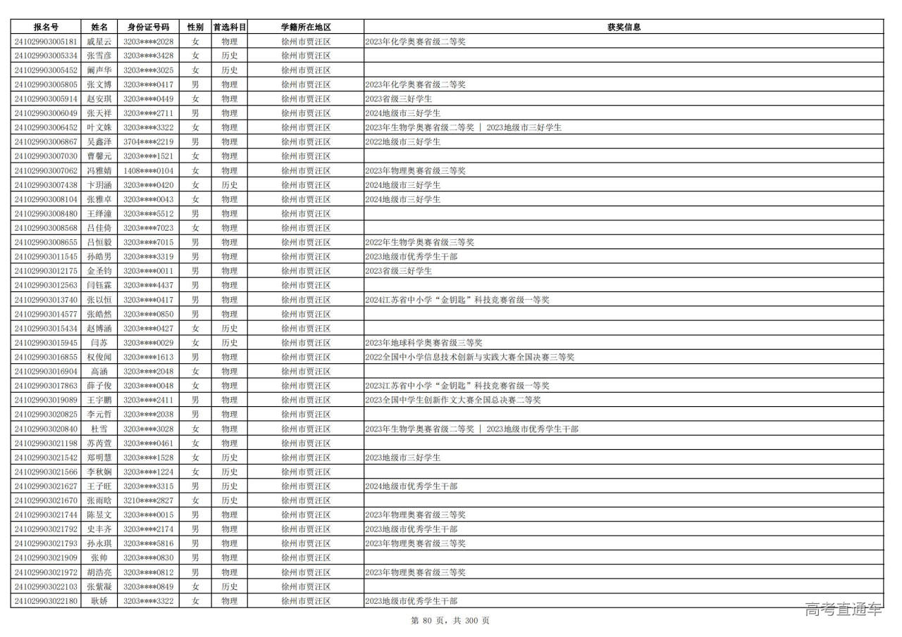
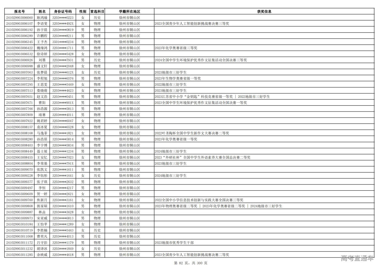
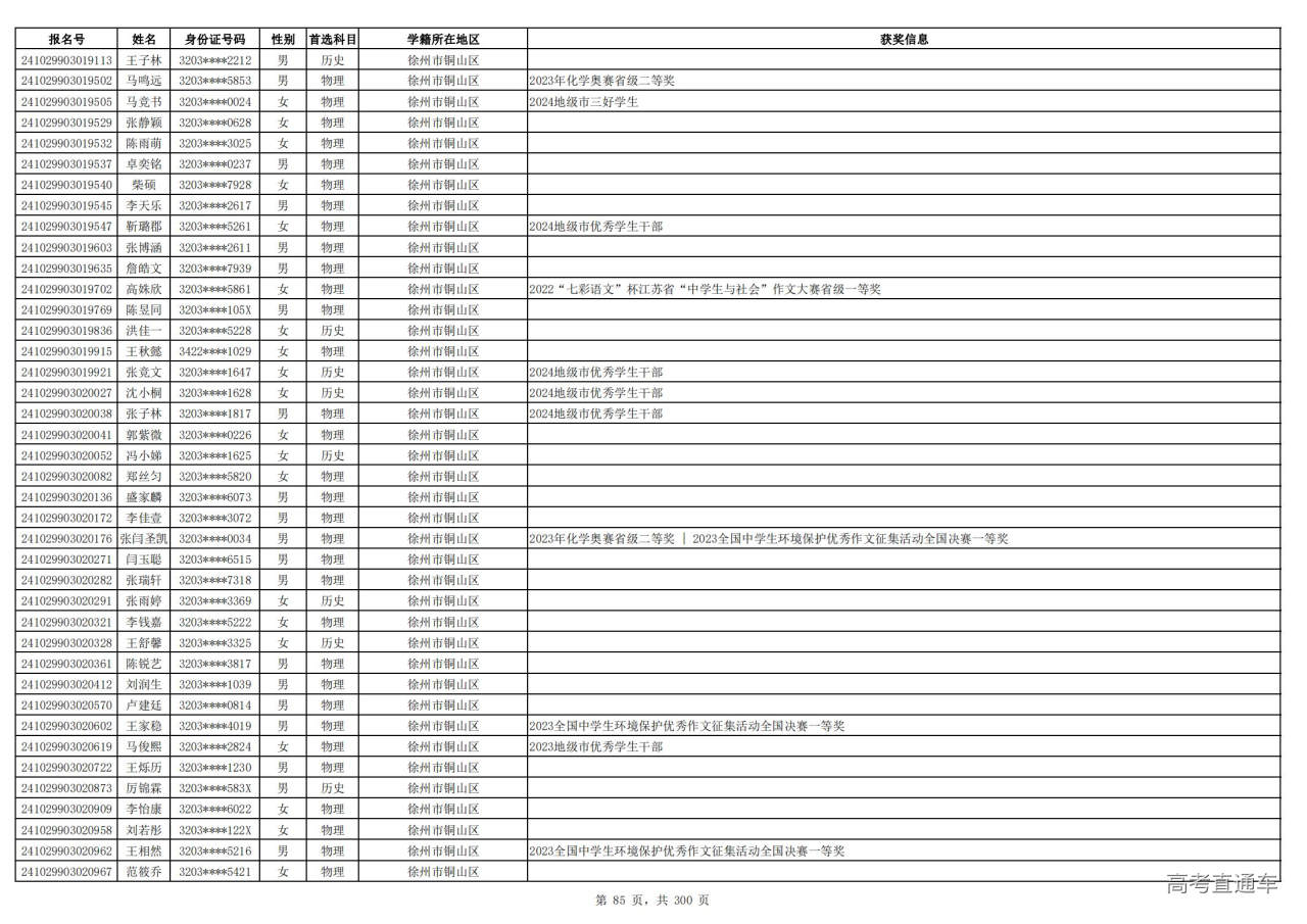
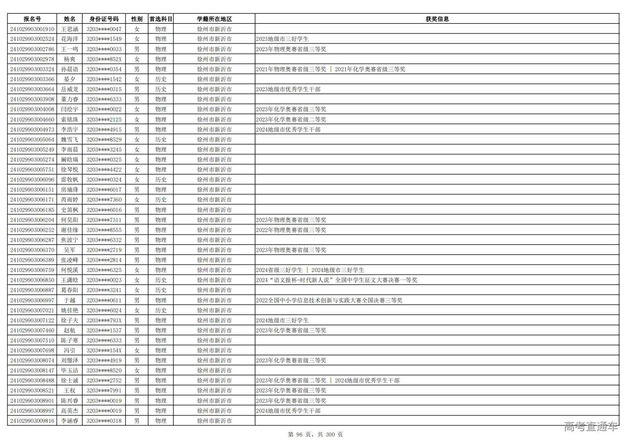
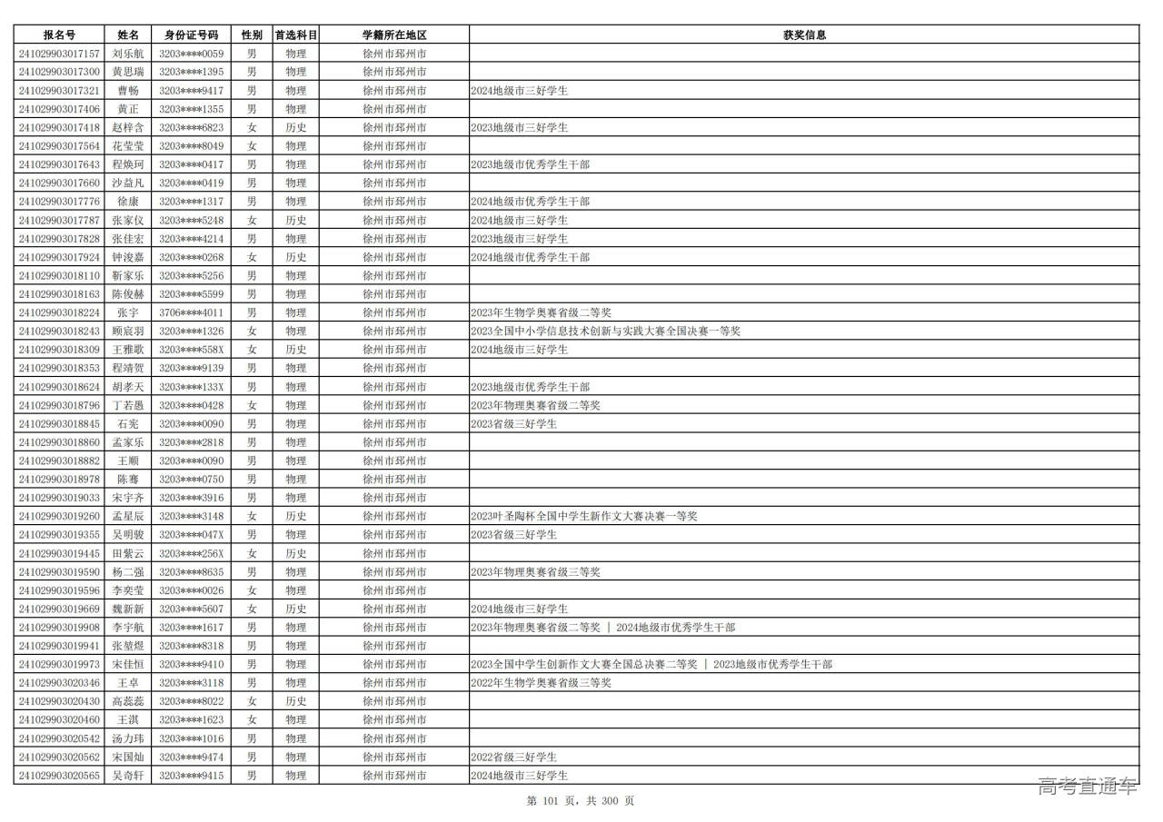
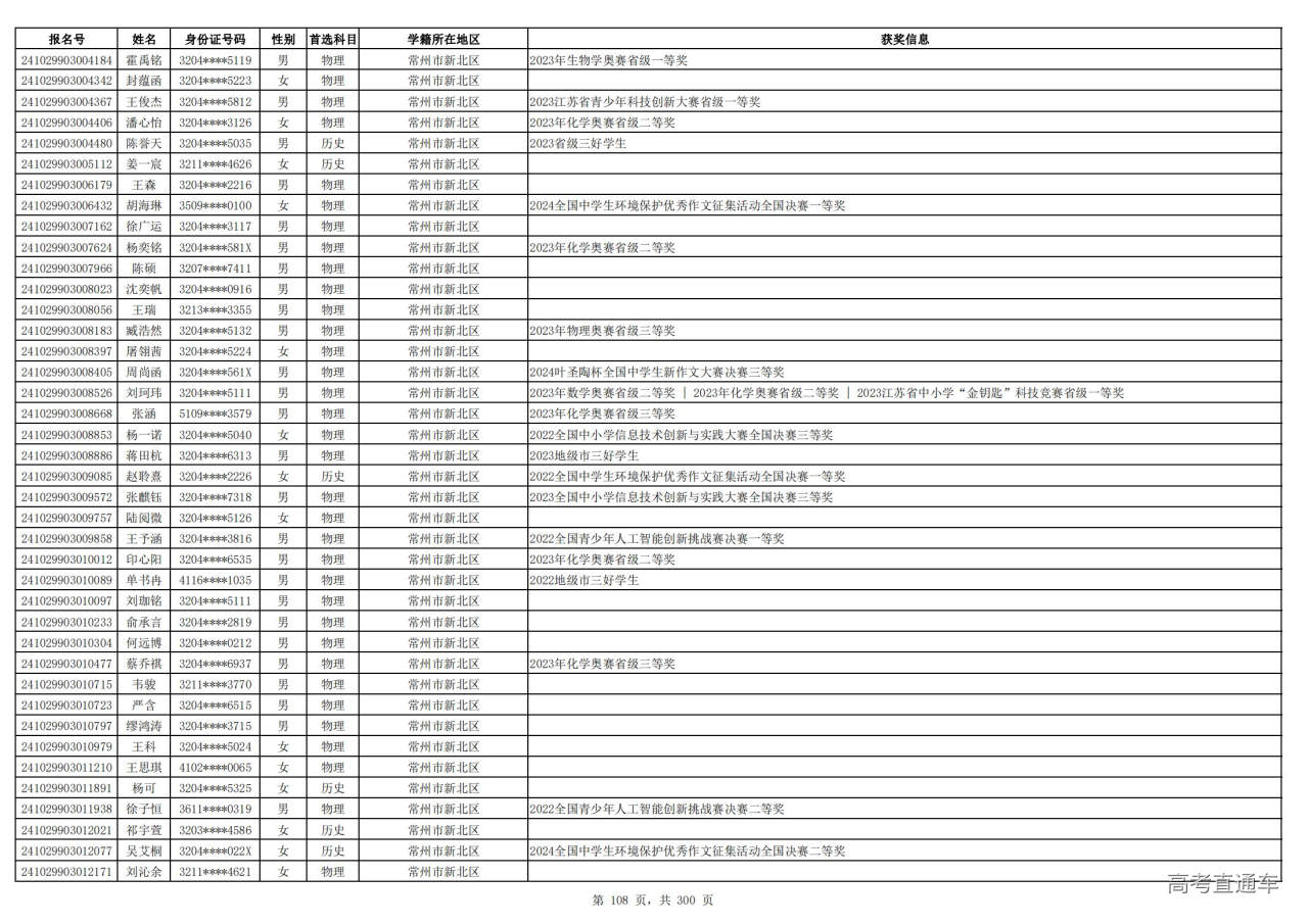
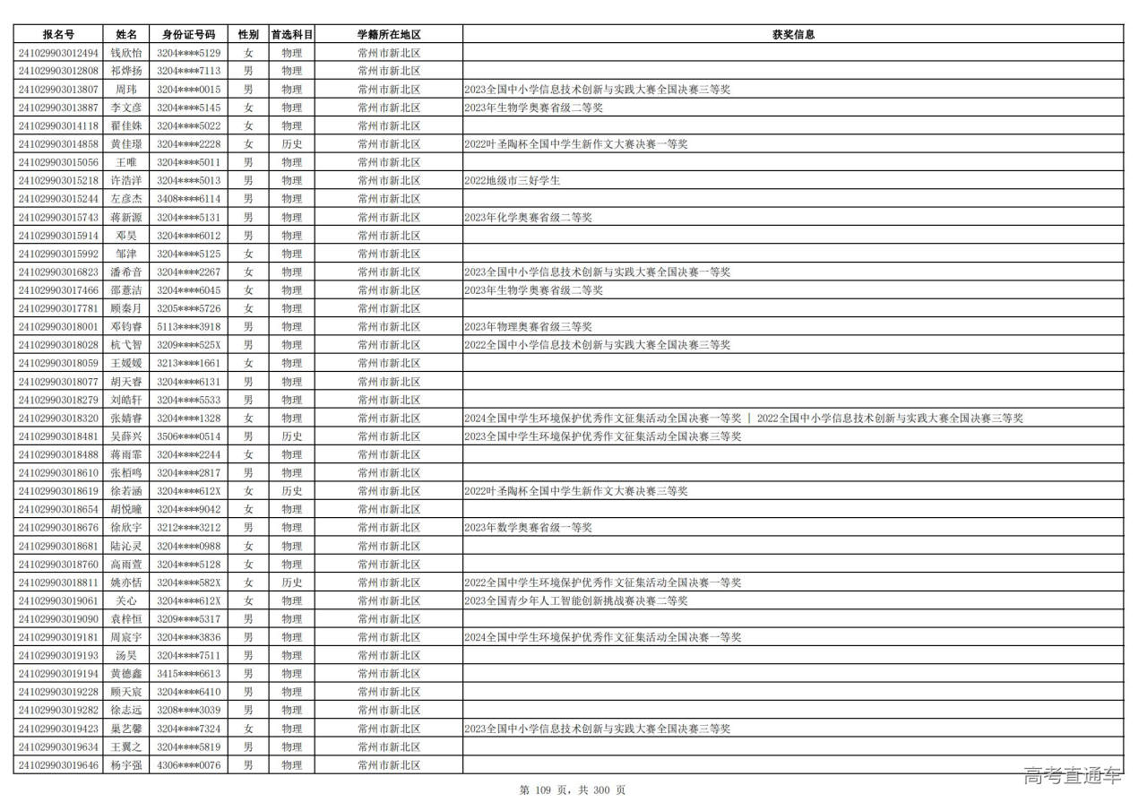
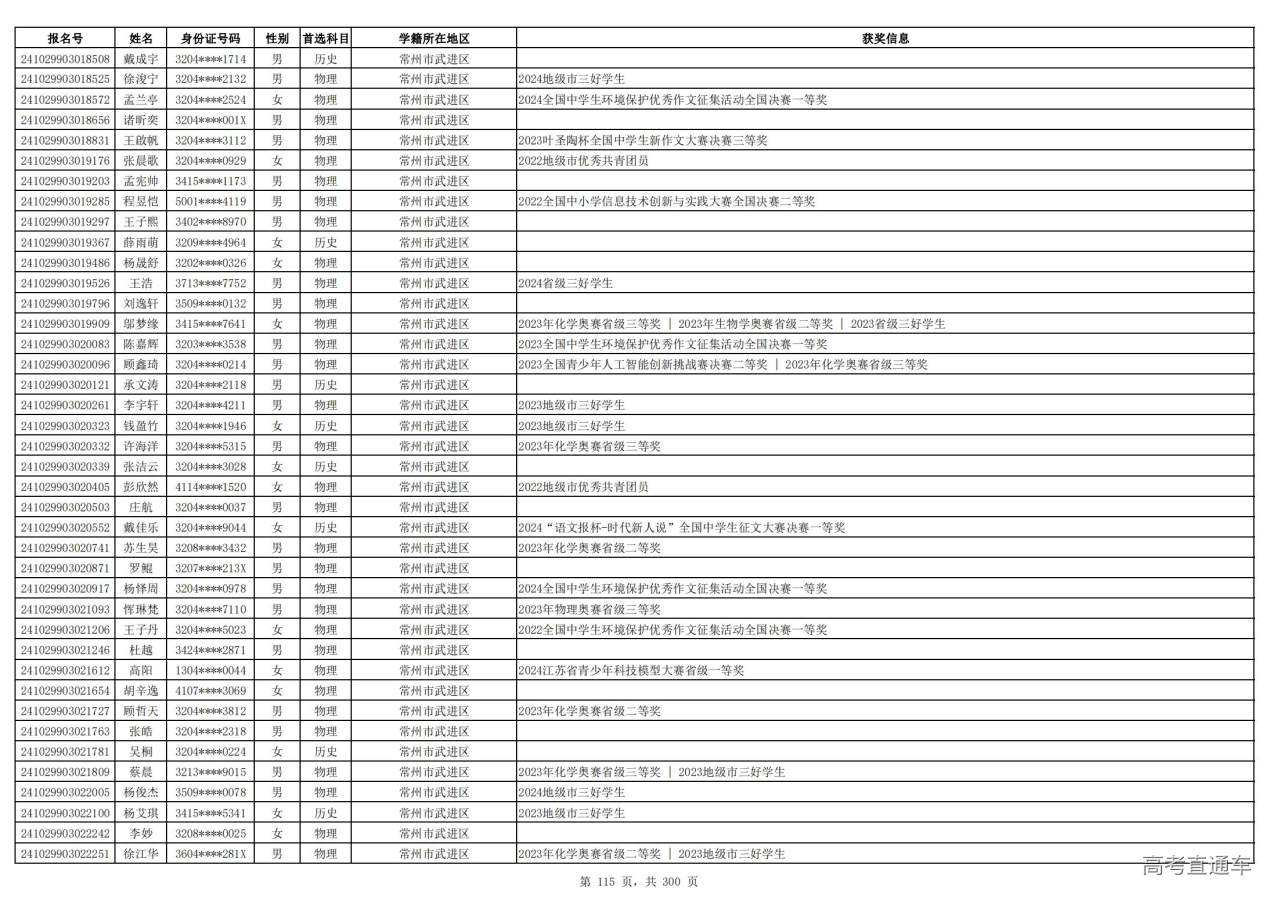
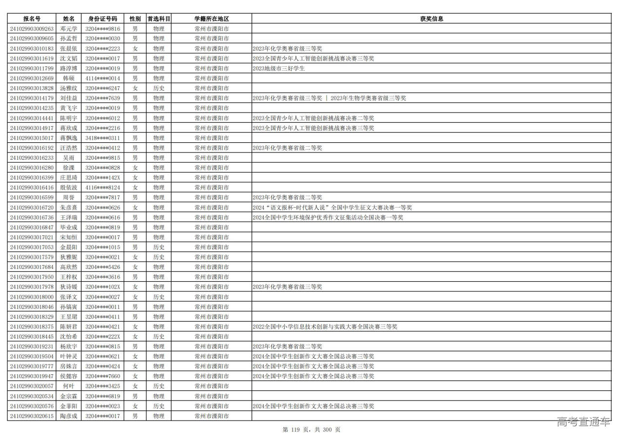
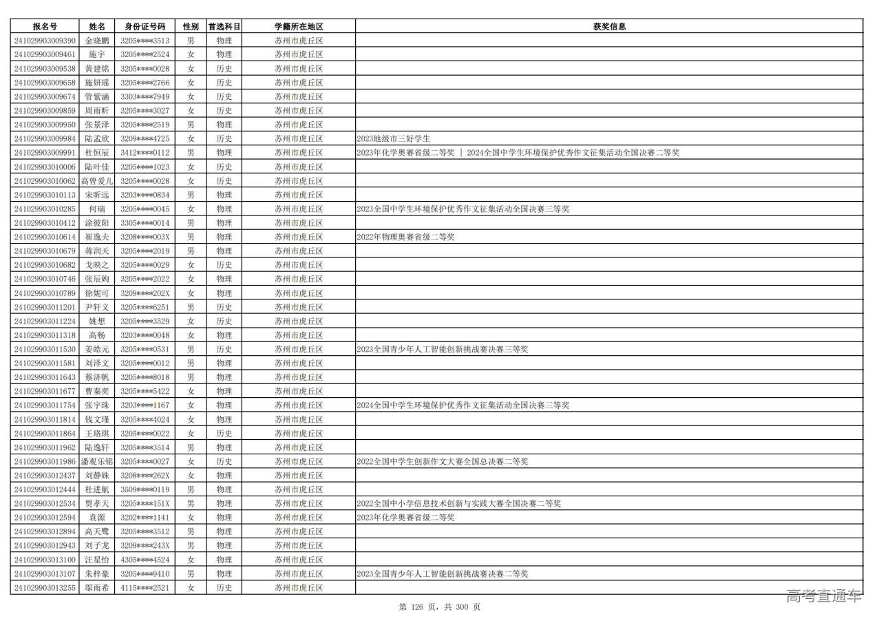
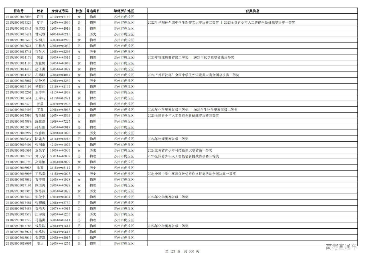
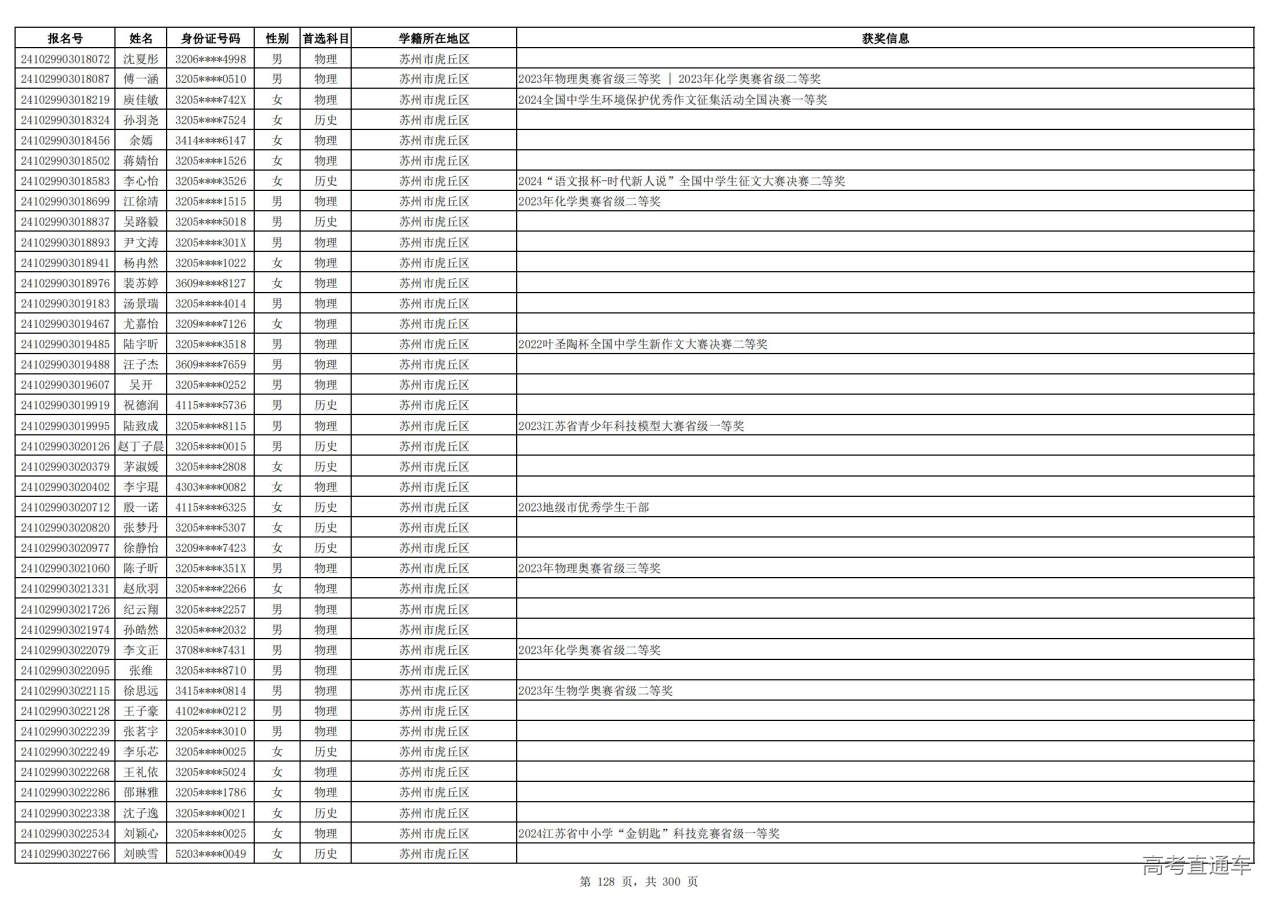
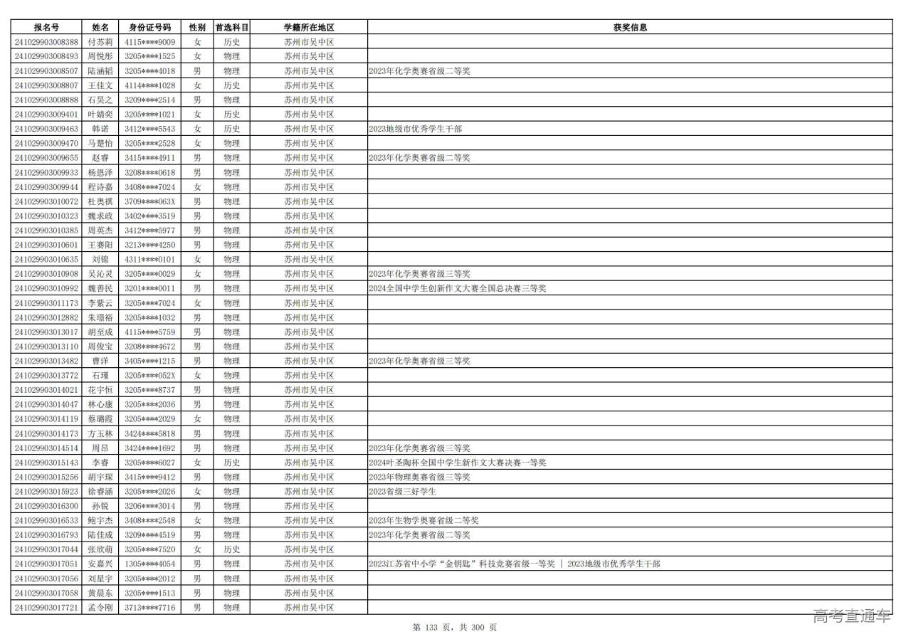
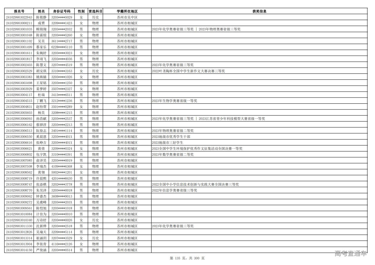
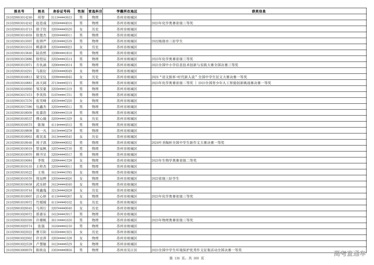
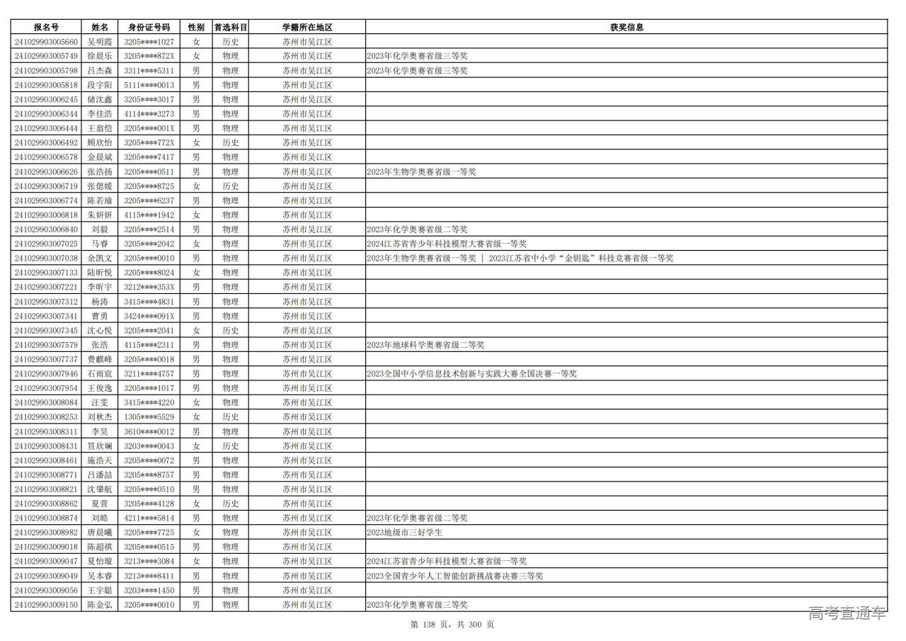
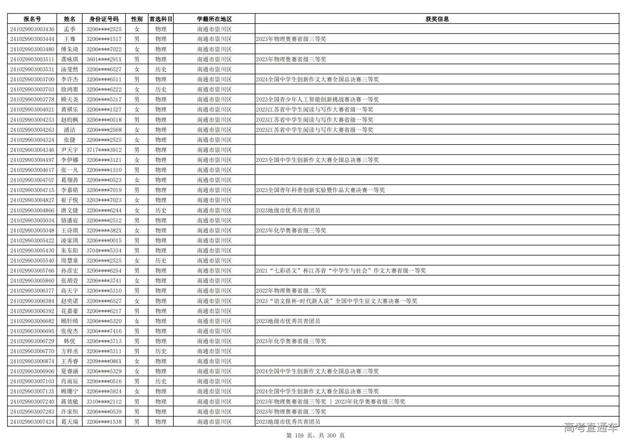
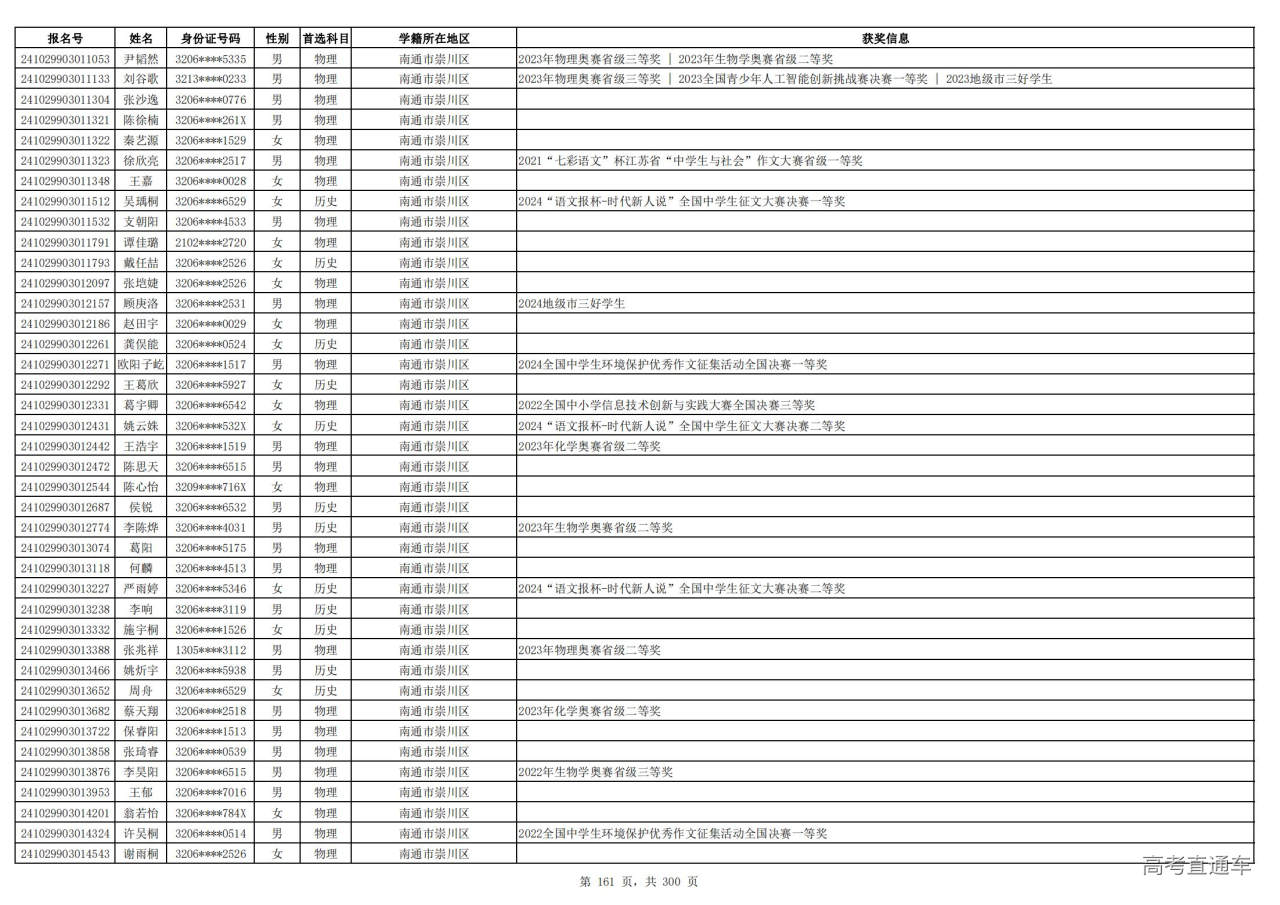
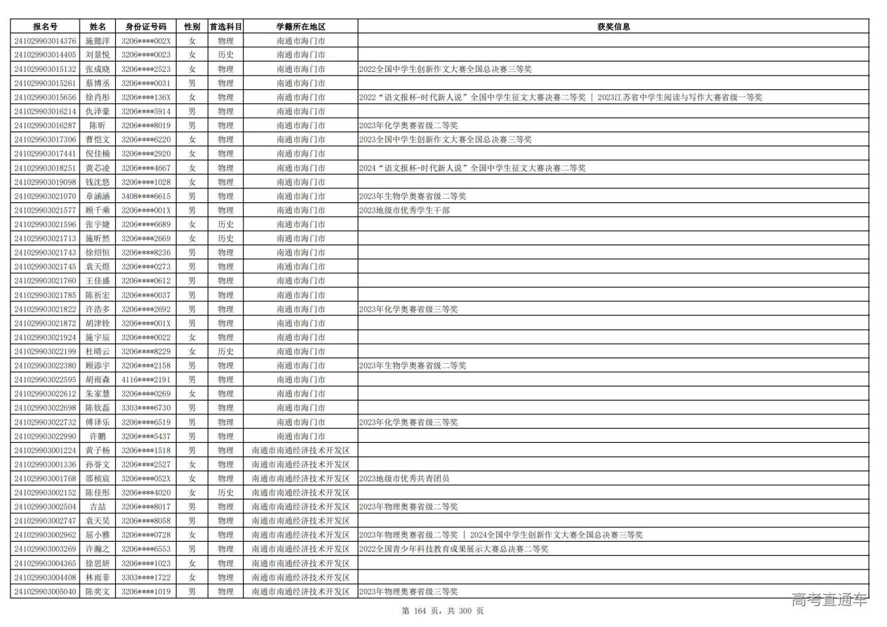
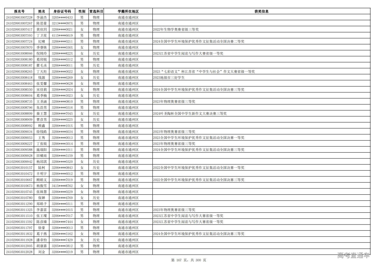
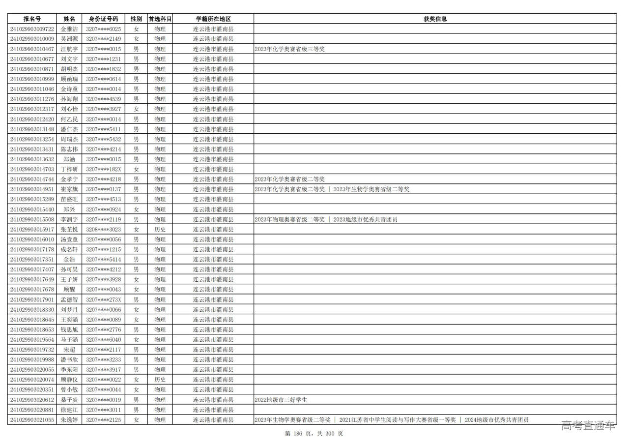
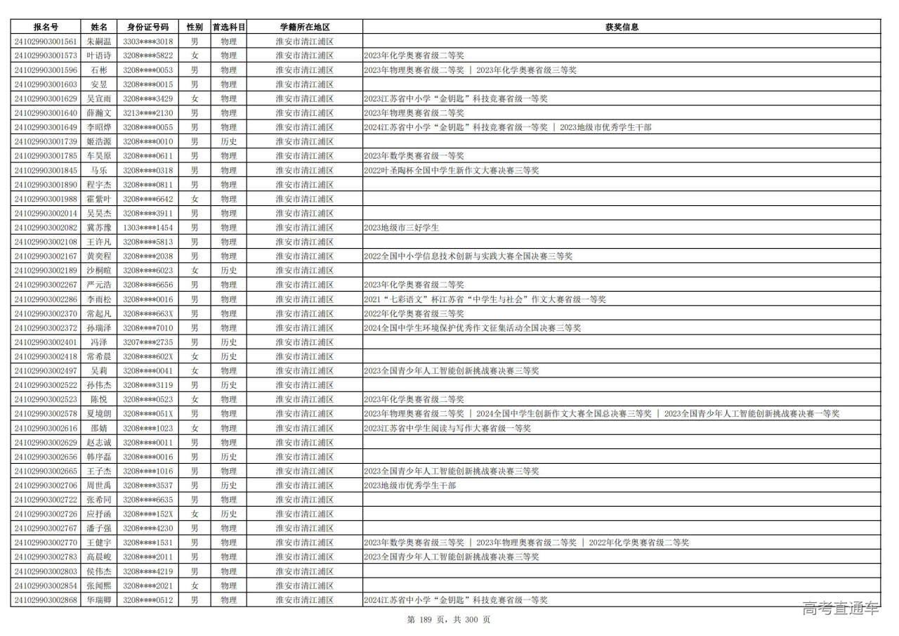
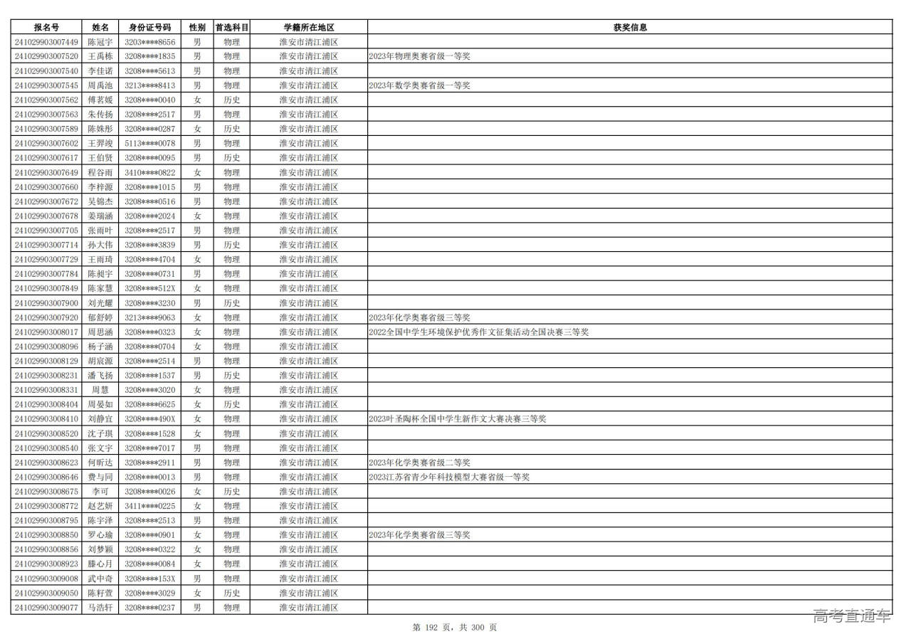
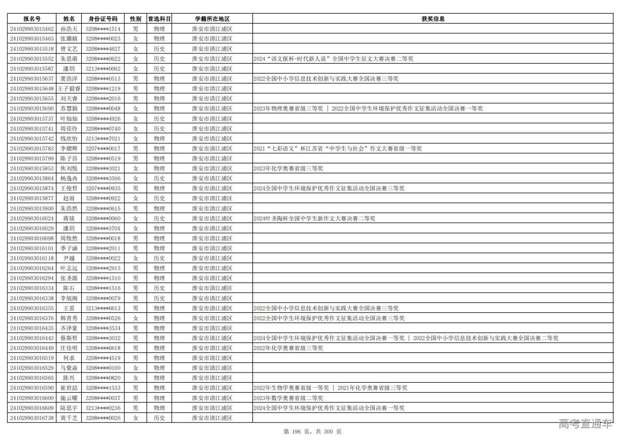
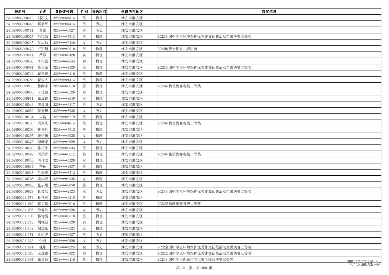
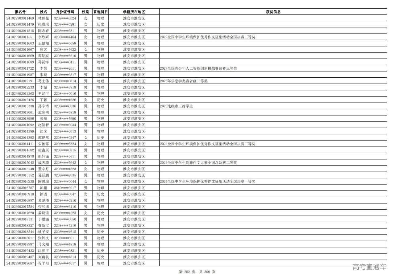
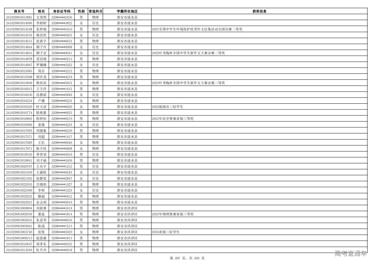
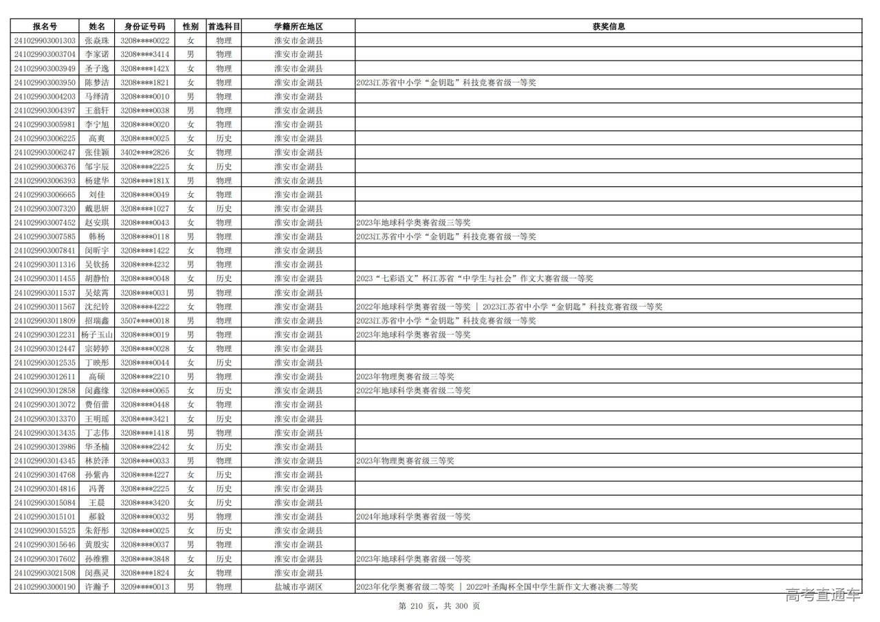
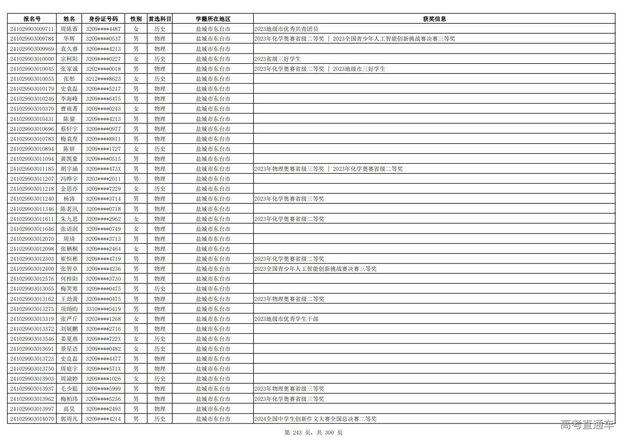
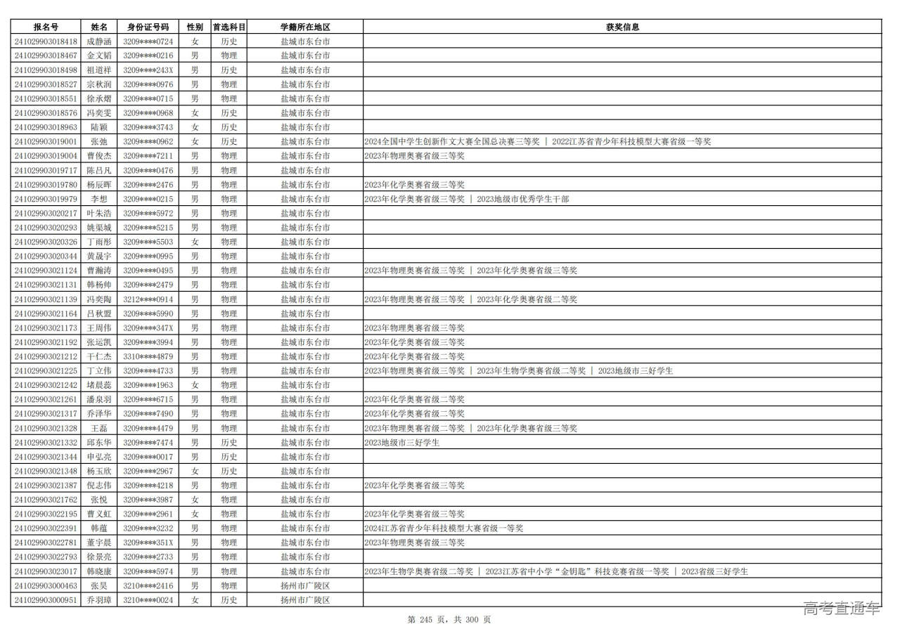
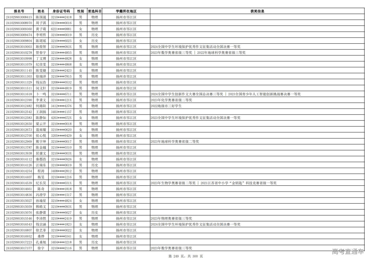
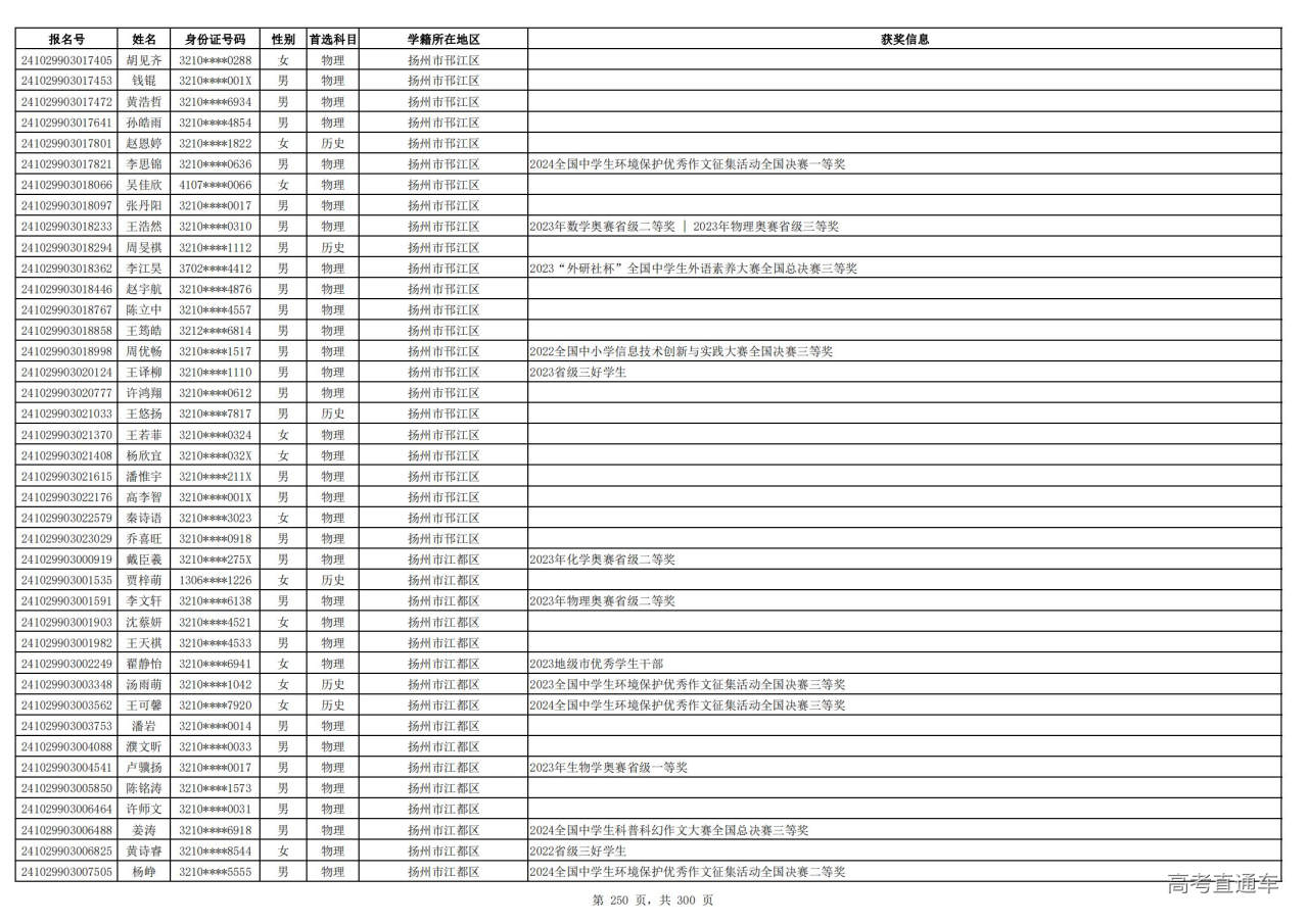
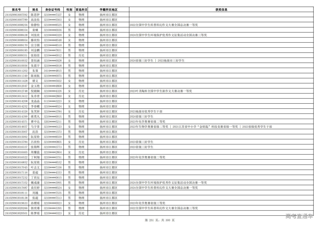
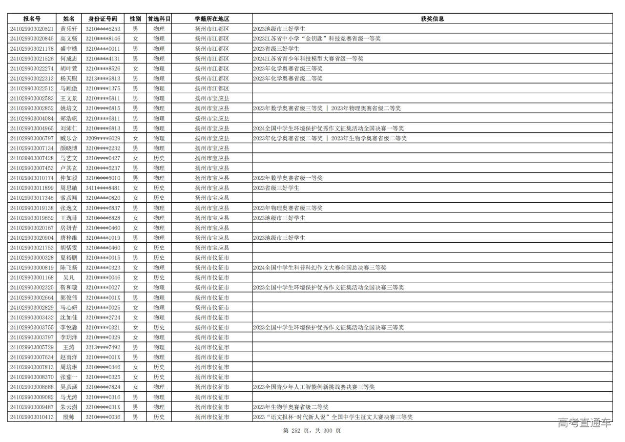
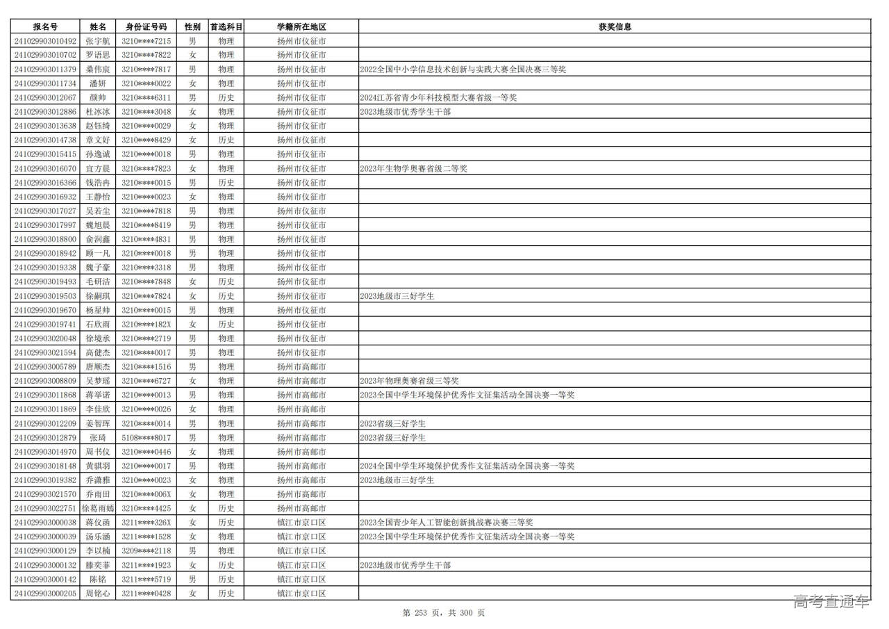
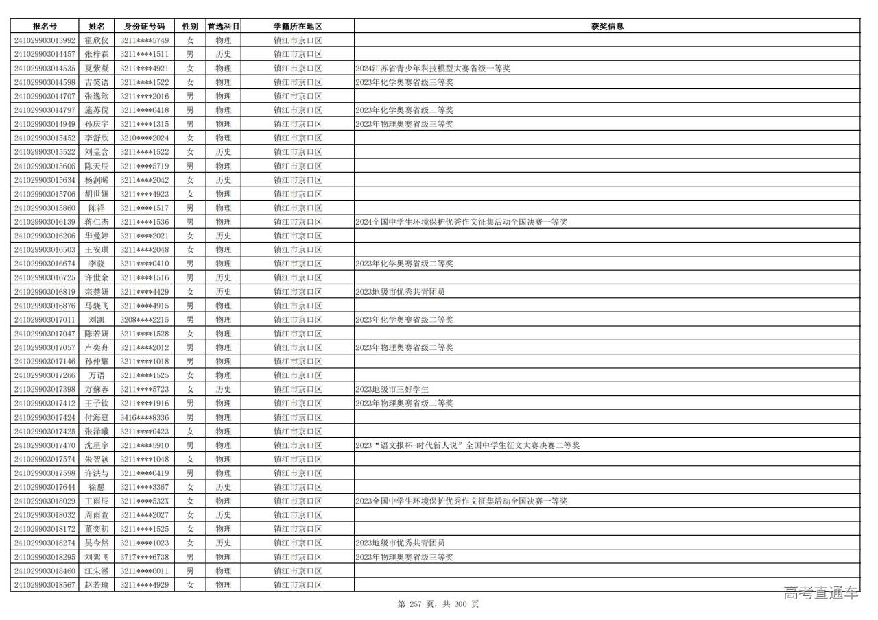
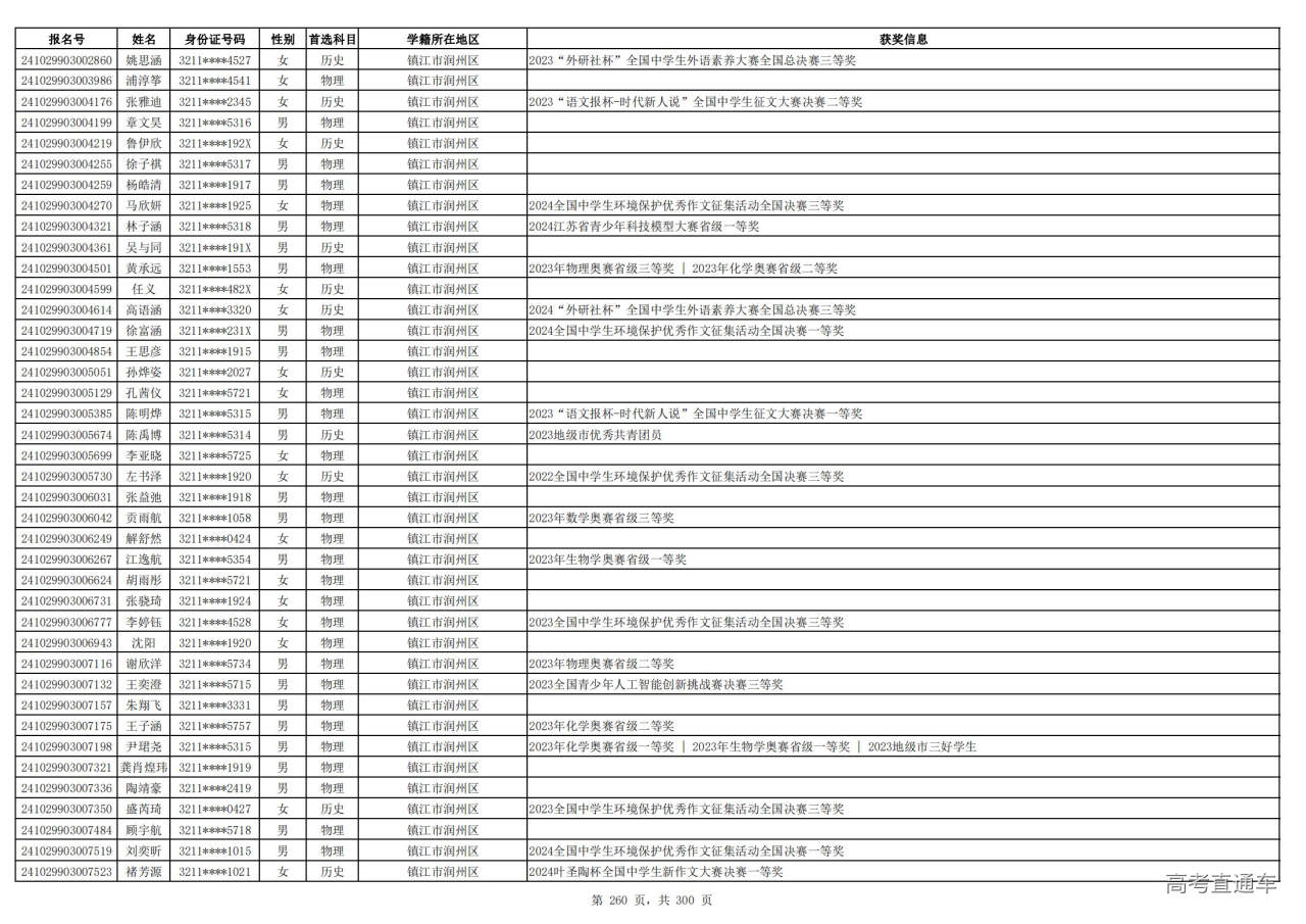
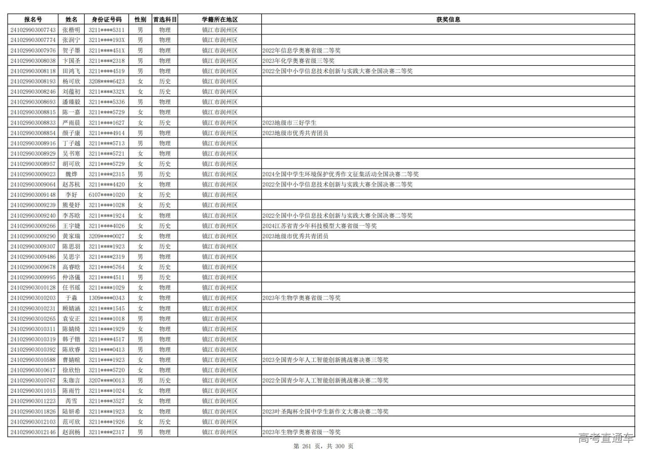
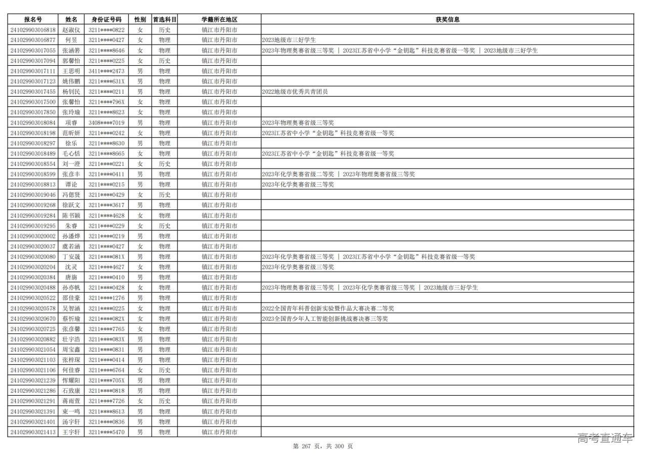
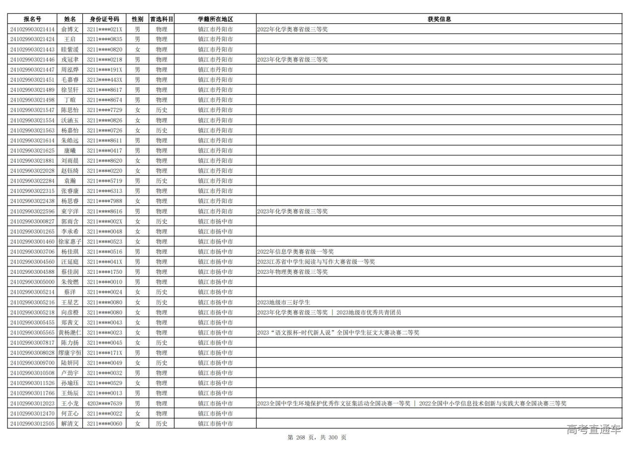
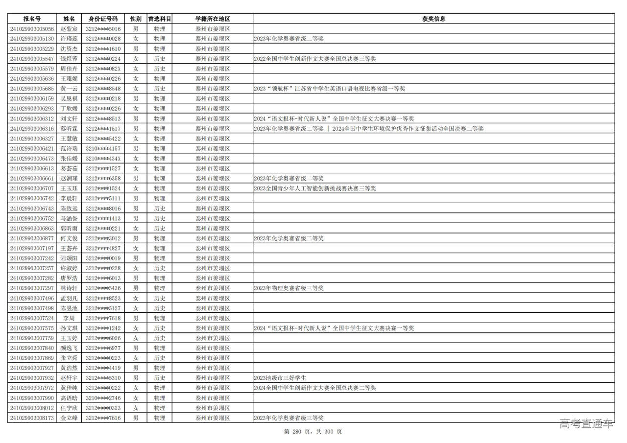
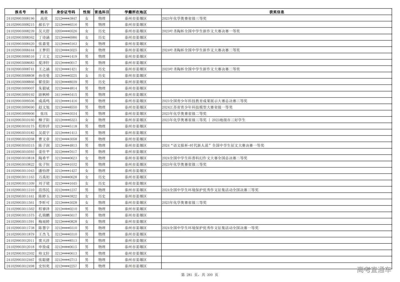
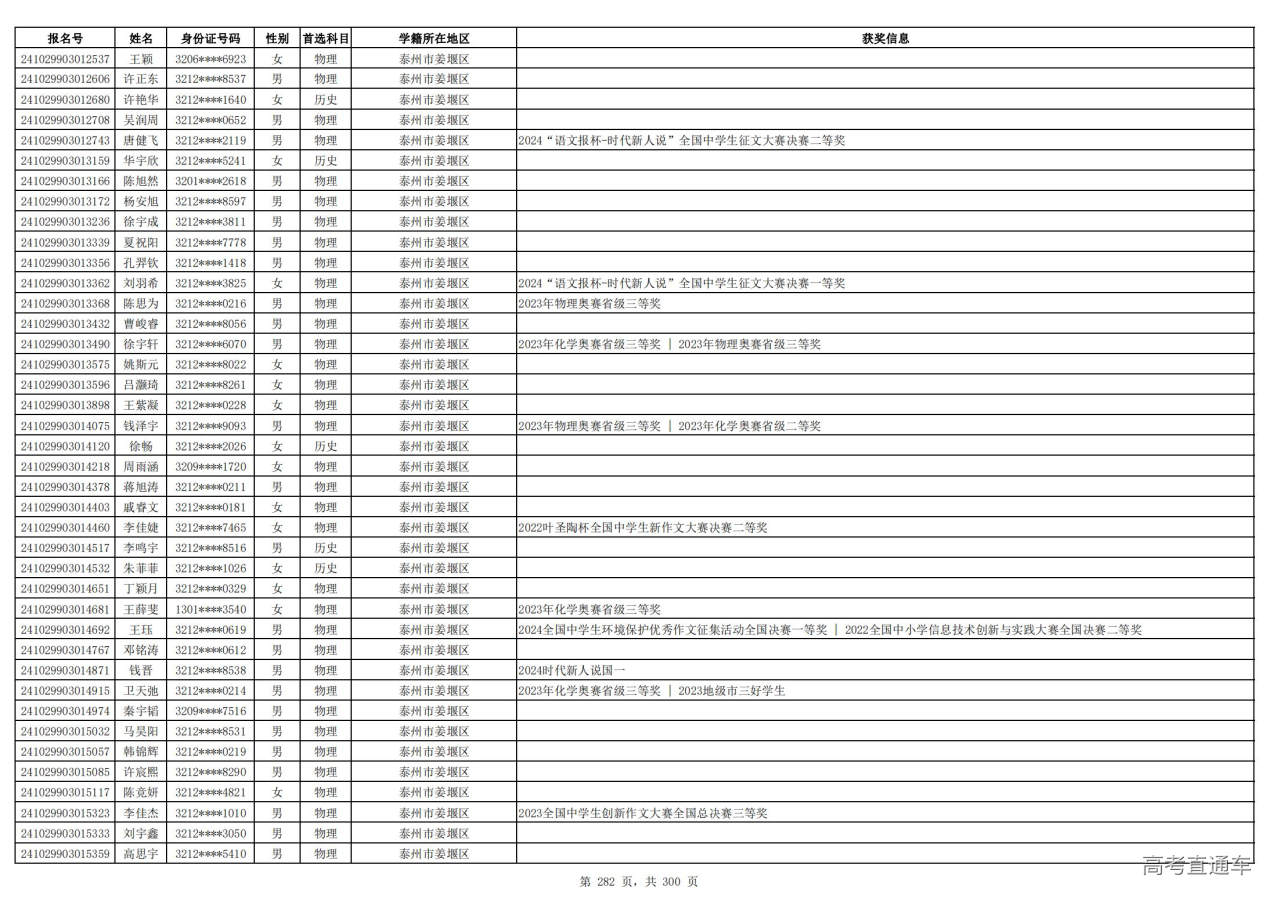
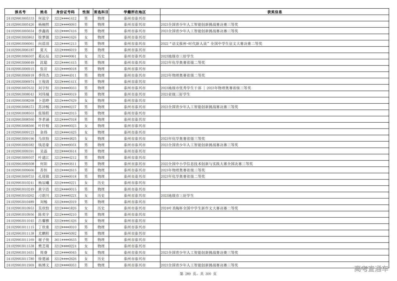
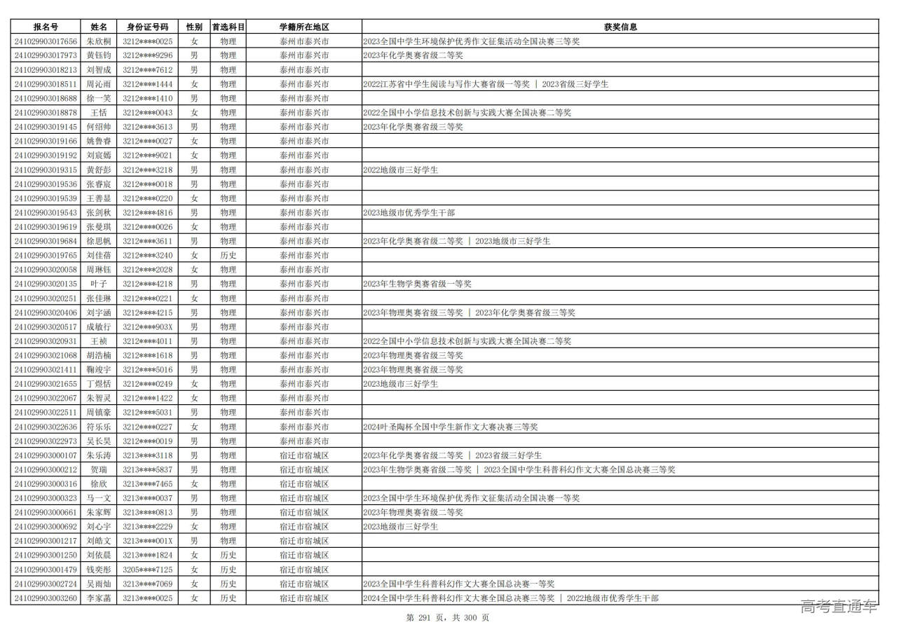
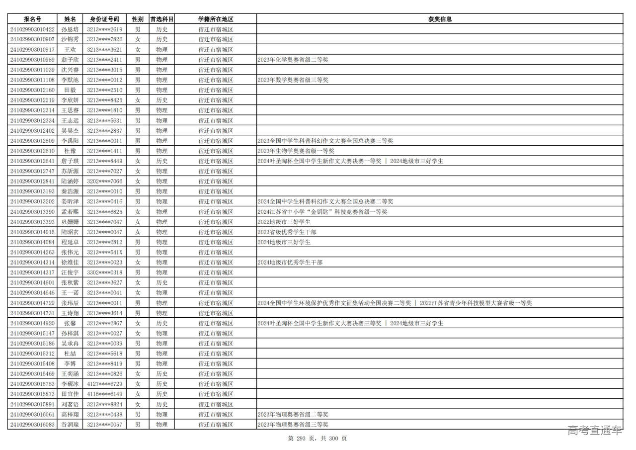
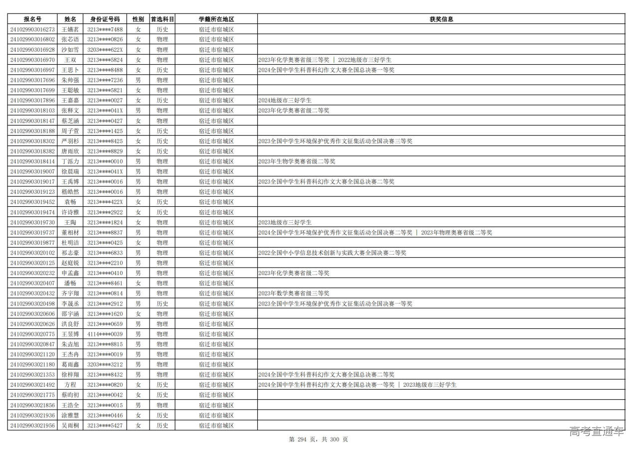
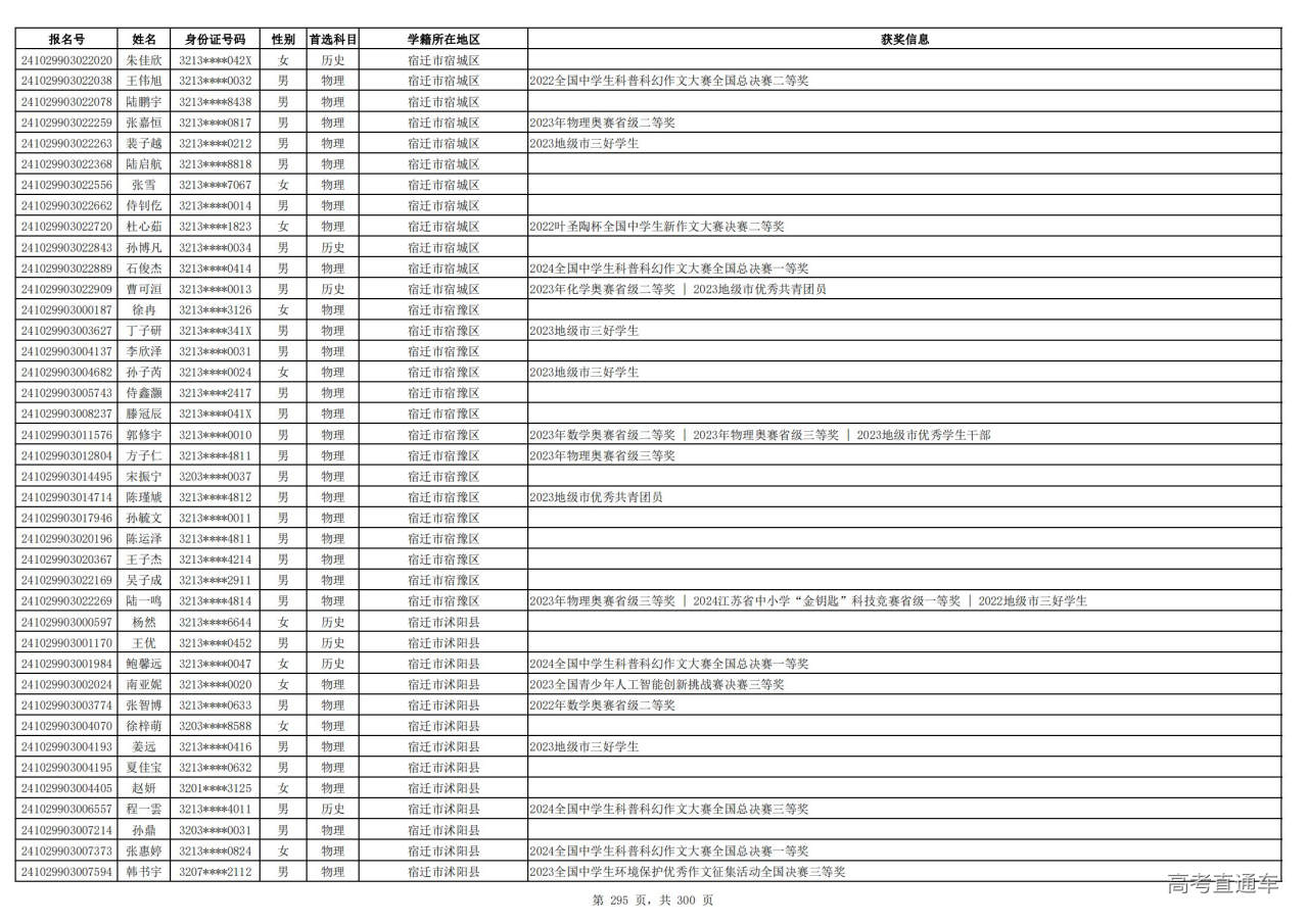
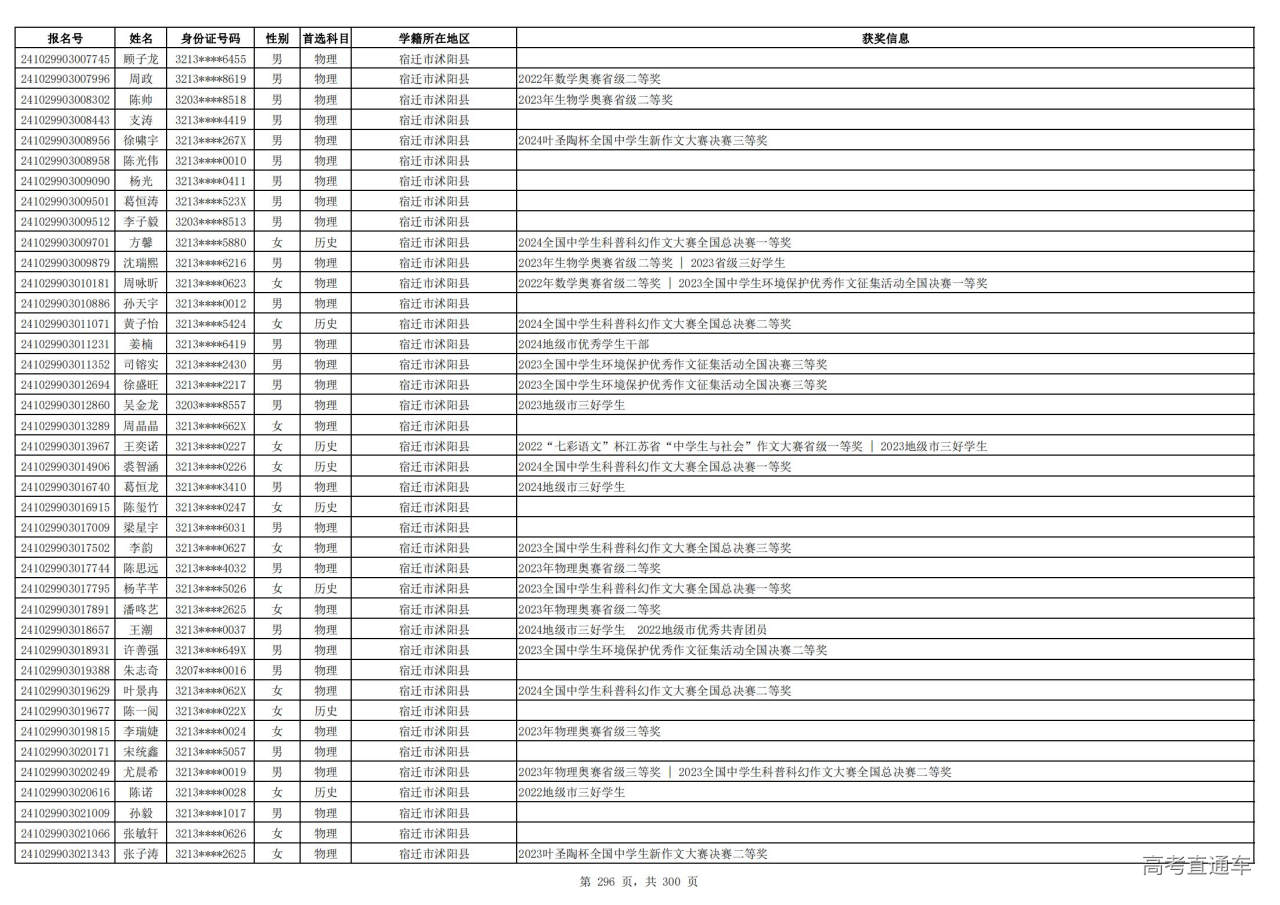
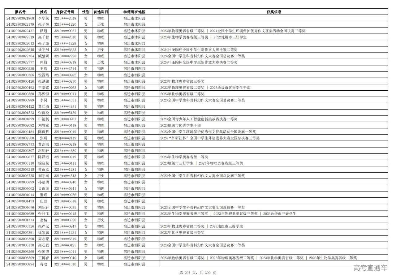
二、公示内容包括报名号、姓名、性别、身份证号、学籍所在地区、获奖信息。考生可于5月25日24:00前补充相关材料,补充的材料上须有中学印章、校长签名及联系电话。
三、我校2024年综合评价考核时间为6月16日(具体时间安排见准考证)。
四、材料审核合格的考生须于5月31日前通过“综合评价报名系统”(网址:http://bm.chsi.com.cn)确认参加考试并进行缴费(60 元 /人)。考核时间冲突时,考生只能选择1所院校参加考核;对于逾期未确认或未缴费者,将视为放弃考核资格。
五、6月3日-6月11日,确认考试与缴费的考生可通过网上报名系统自行打印准考证,准考证须由中学在照片处加盖印章。
六、根据教育部有关文件精神,对于伪造材料的,一经查实,由相关部门按有关规定予以严肃处理。
七、特别提醒:我校未委托任何机构、个人进行综合评价招生考前辅导或应试培训,凡是假借江苏大学名义,通过打电话、邮寄信件等方式要求考生参加考前辅导或应试培训,均为虚假行为,请广大考生和家长提高警惕,谨防上当受骗。我校的招生政策和相关通知均会通过江苏大学本科生招生信息网(http://zb.ujs.edu.cn/)发布。
八、联系方式
招办电话:0511-88780048
招办传真:0511-88791785
招办邮箱:zsb@ujs.edu.cn
监督电话:0511-88791010
咨询QQ群:667032961(咨询1群)、617414528(咨询2群)
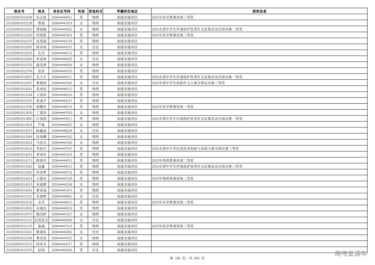
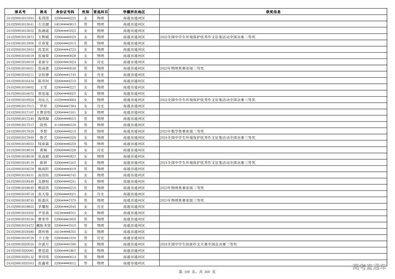
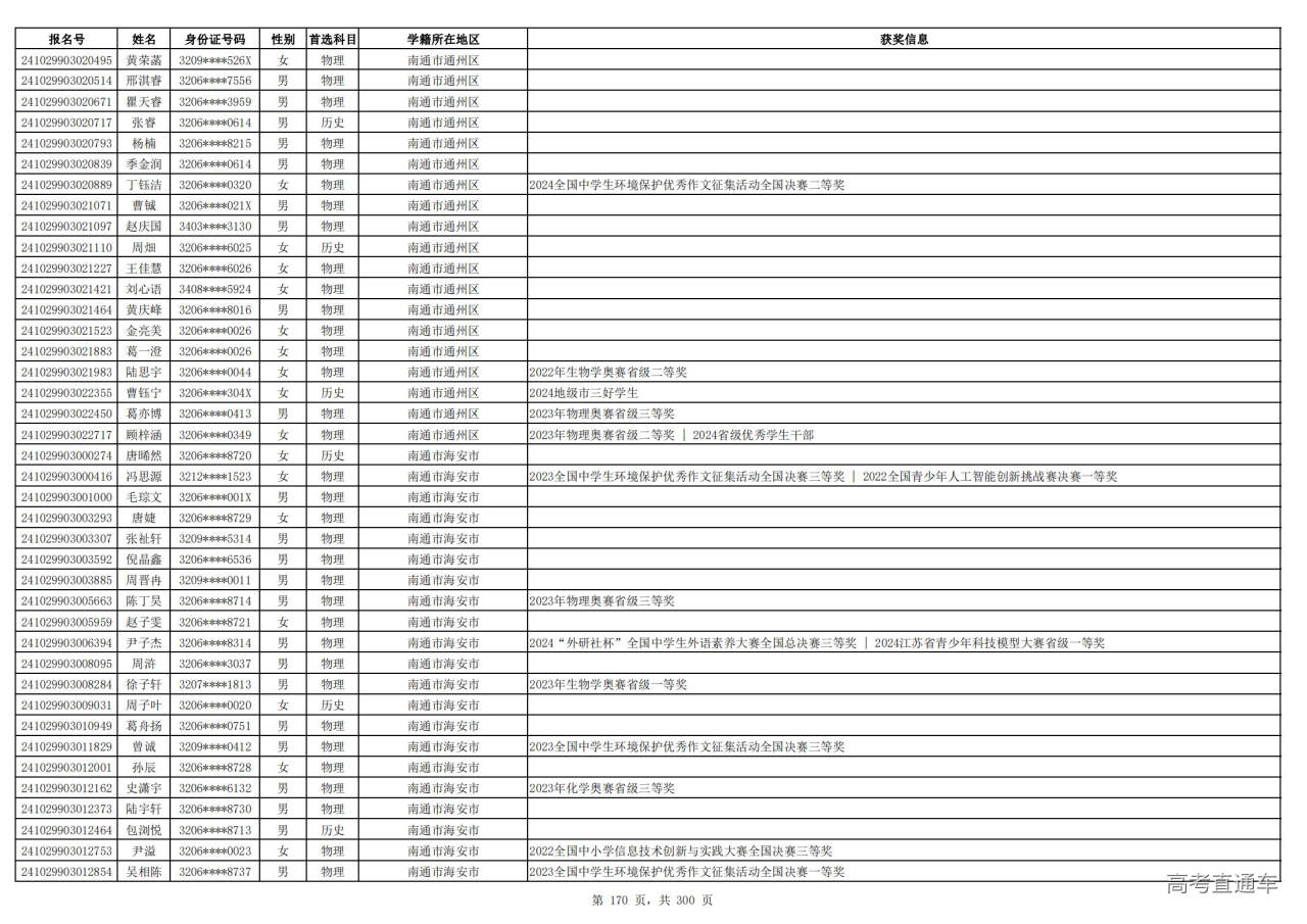
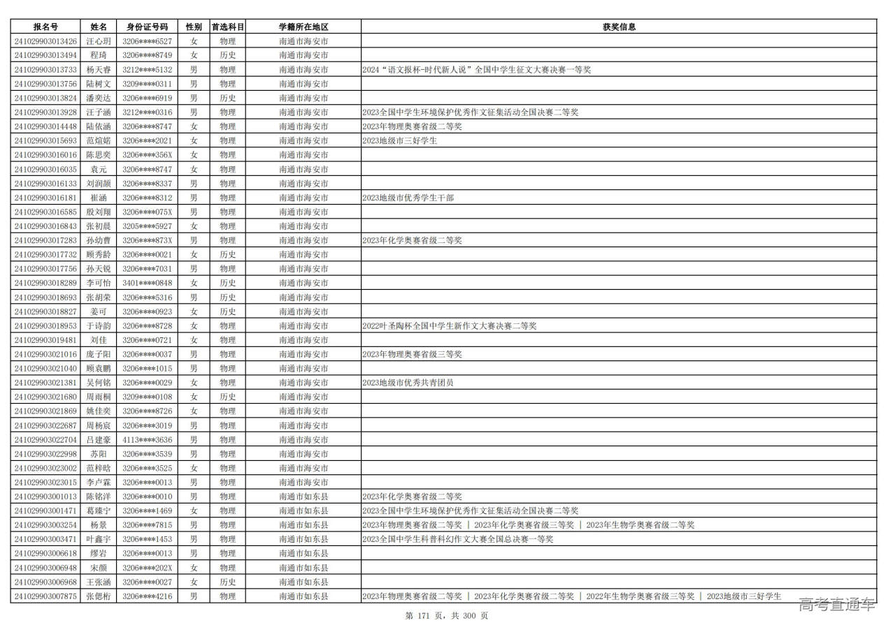
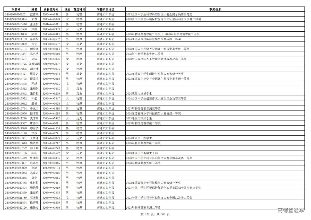
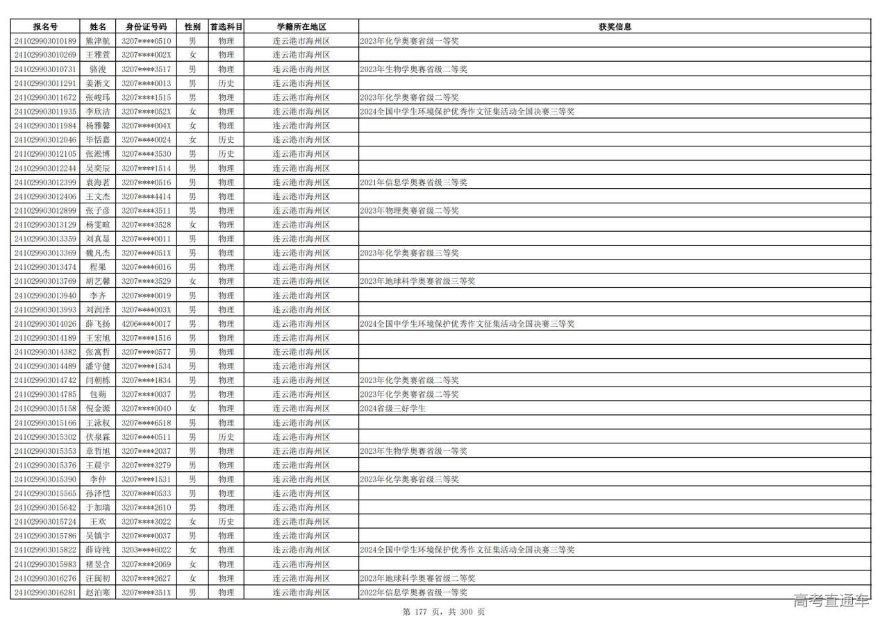
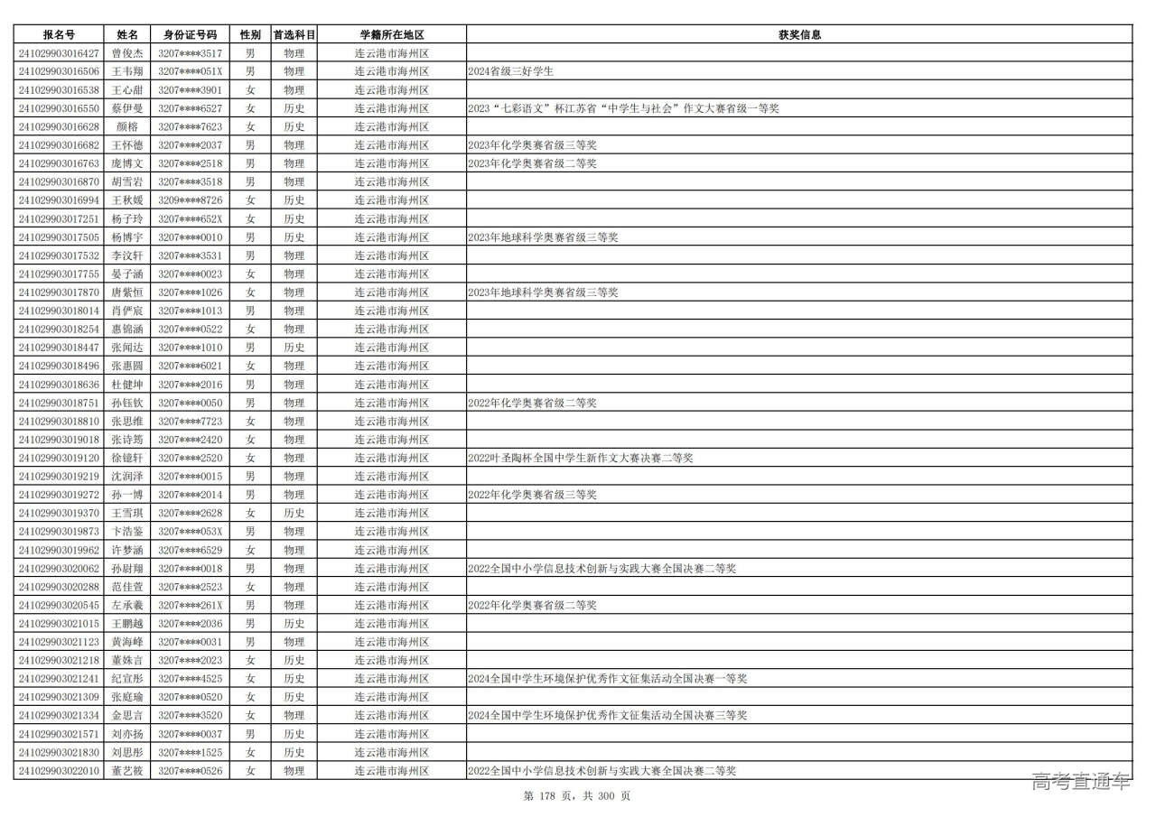
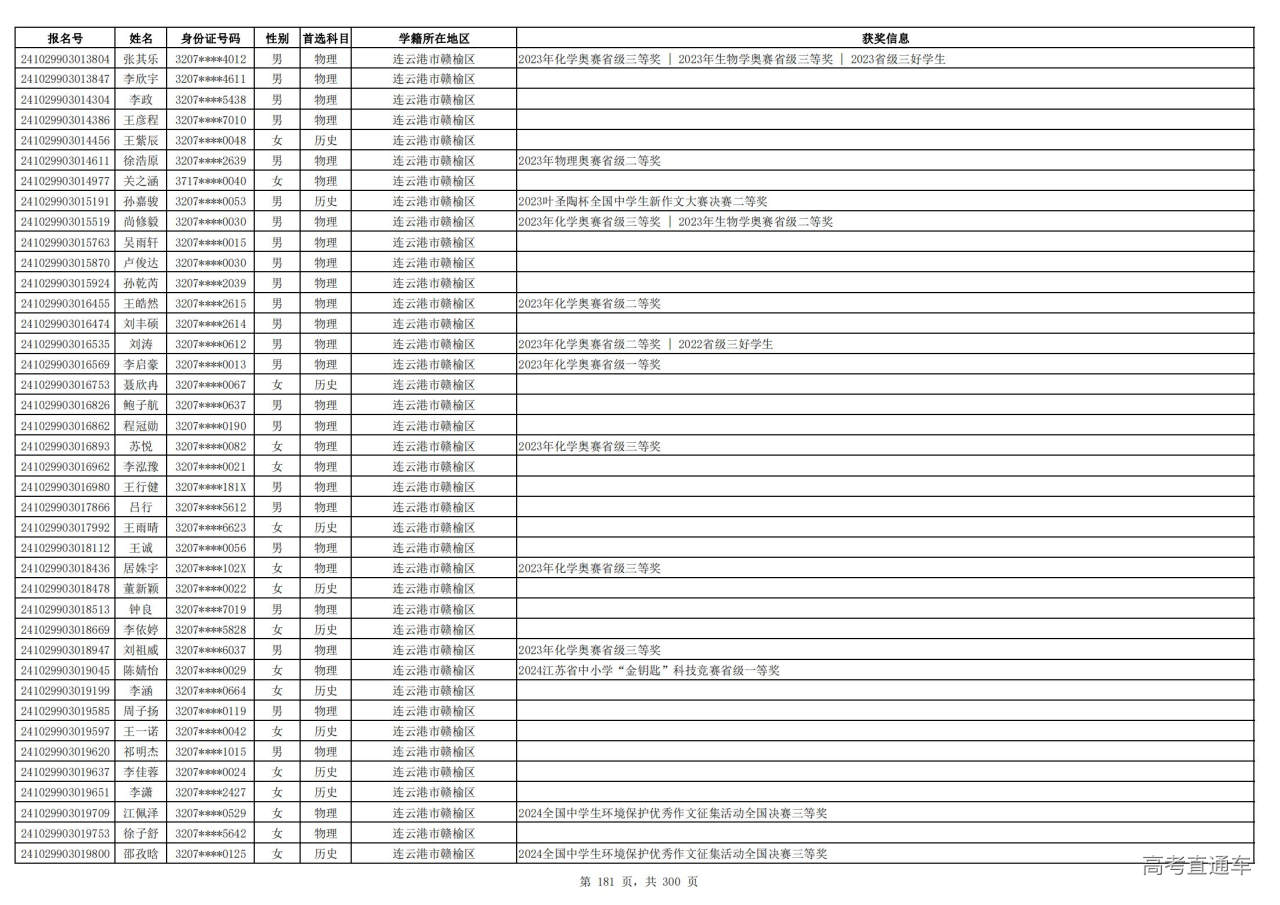
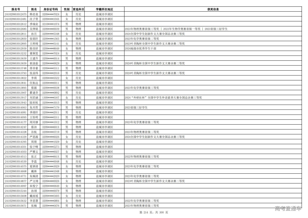
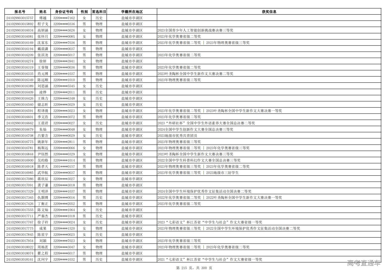
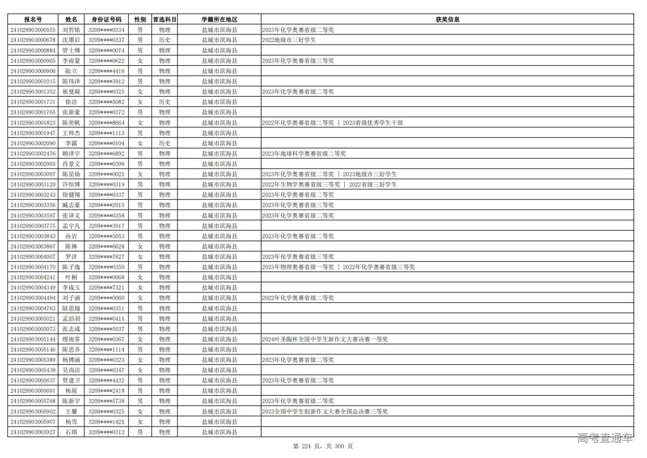
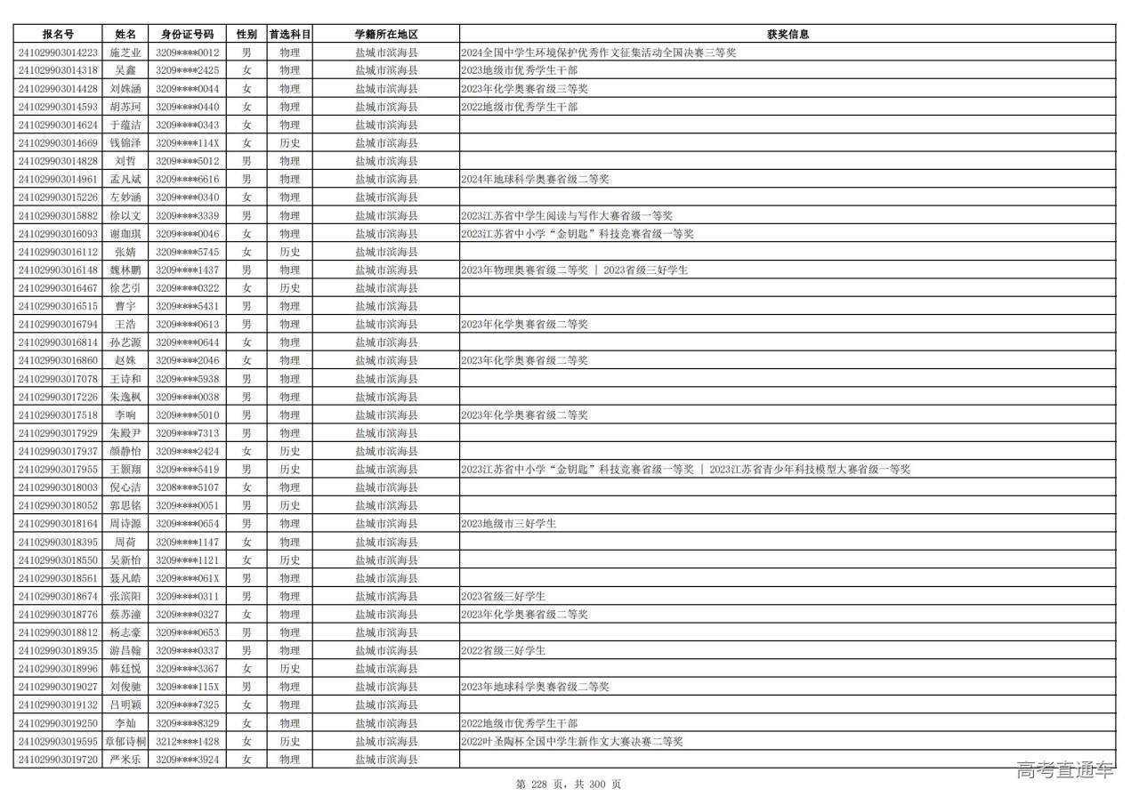
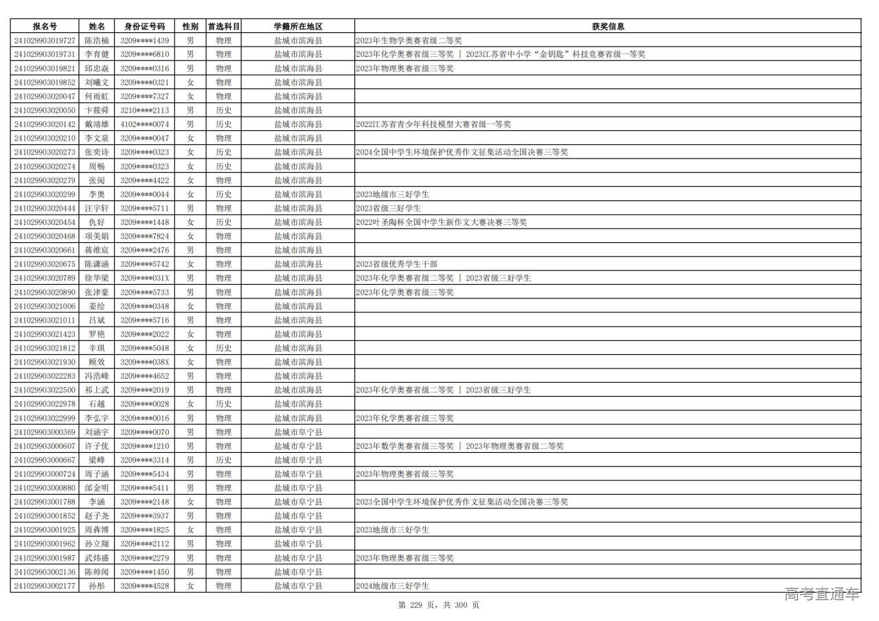
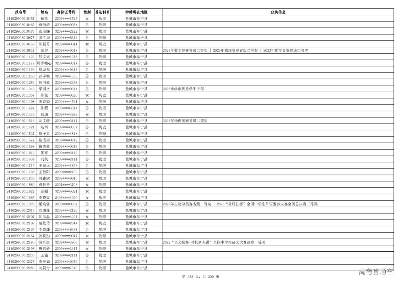
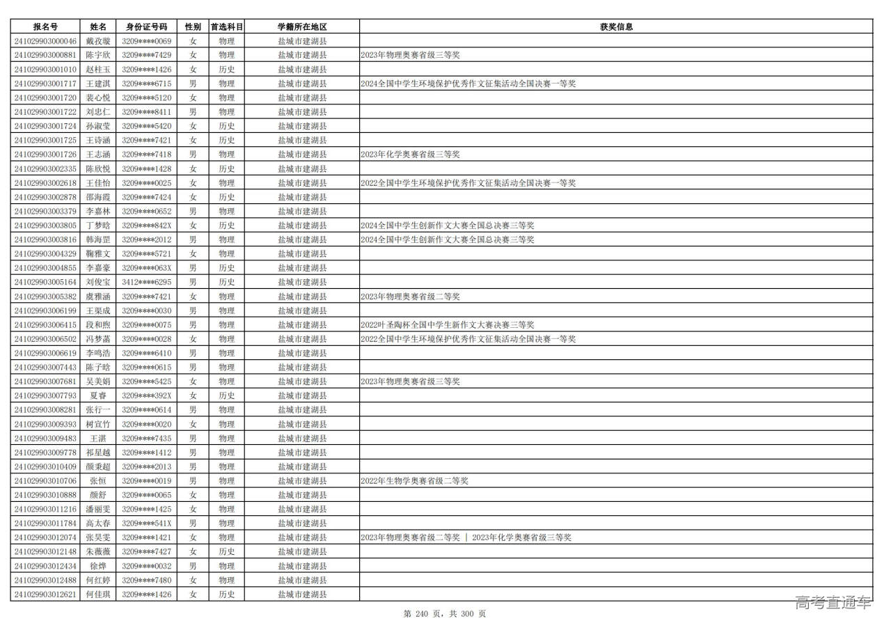
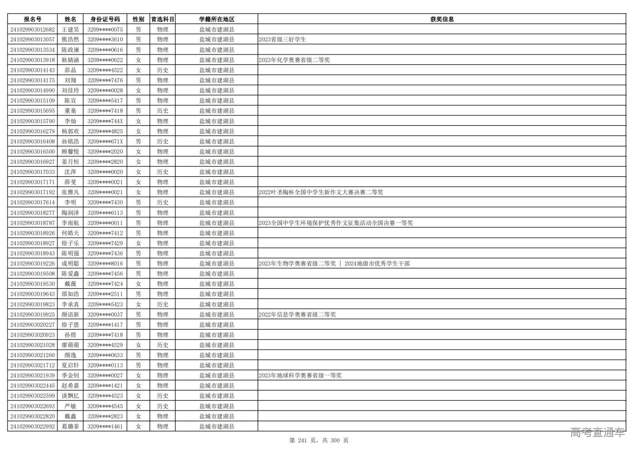
附件: 江苏大学2024年综合评价招生资格审核合格名单.pdf
江苏大学招生办公室
2024年5月22日











































































































































































































































































































