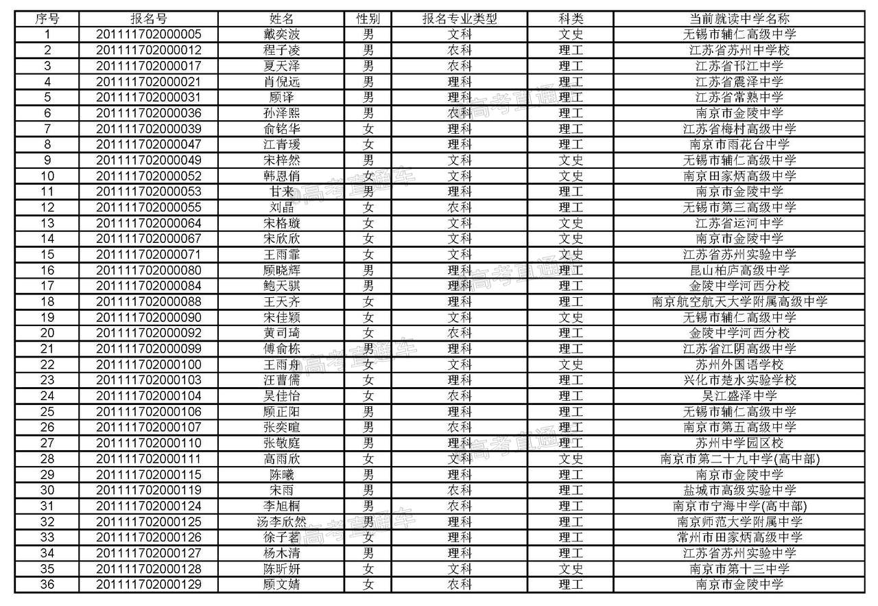
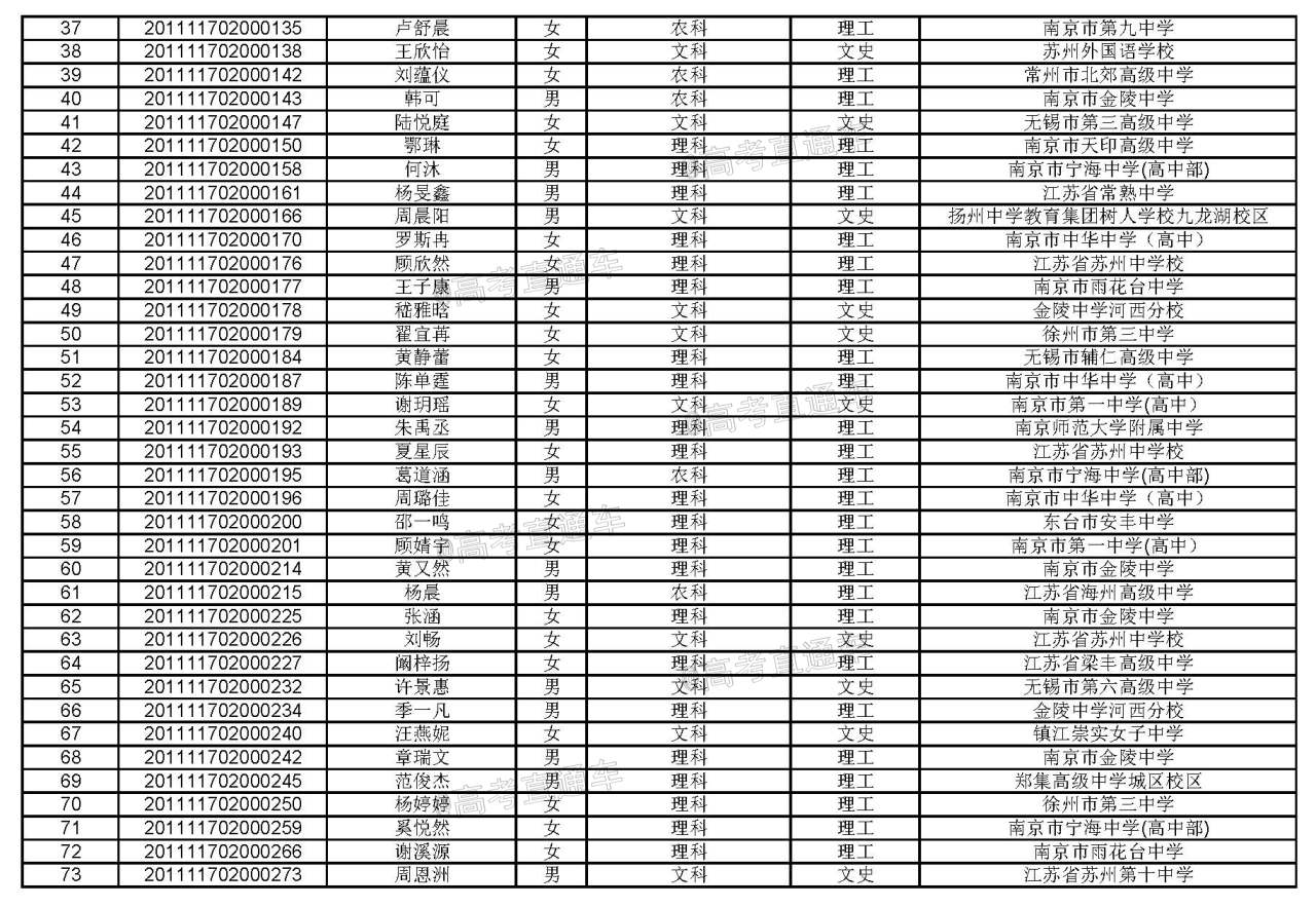
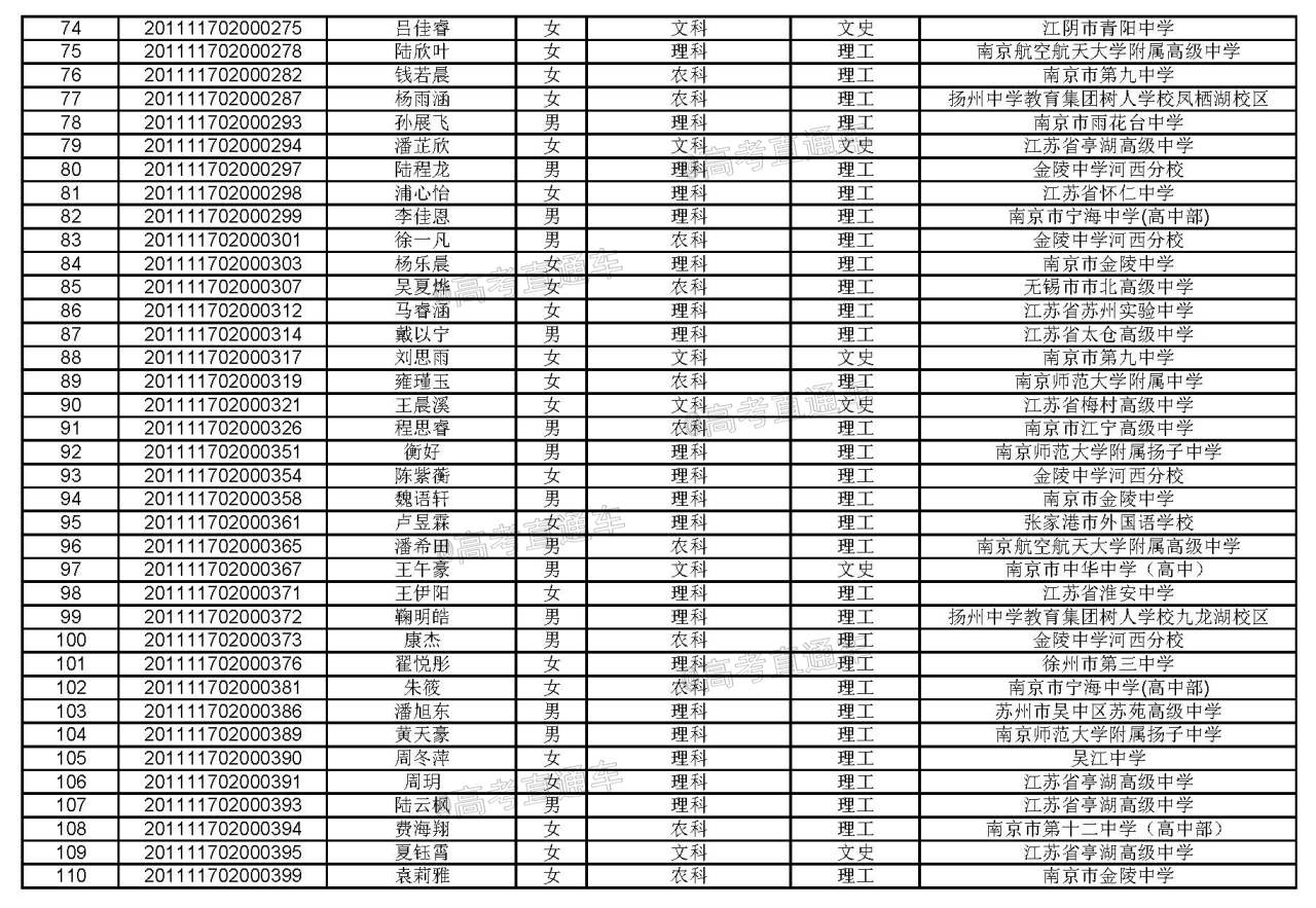
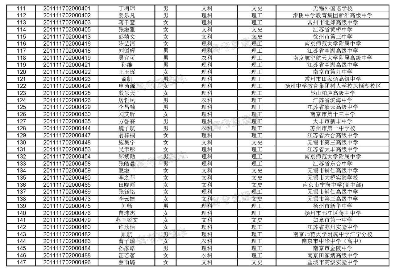
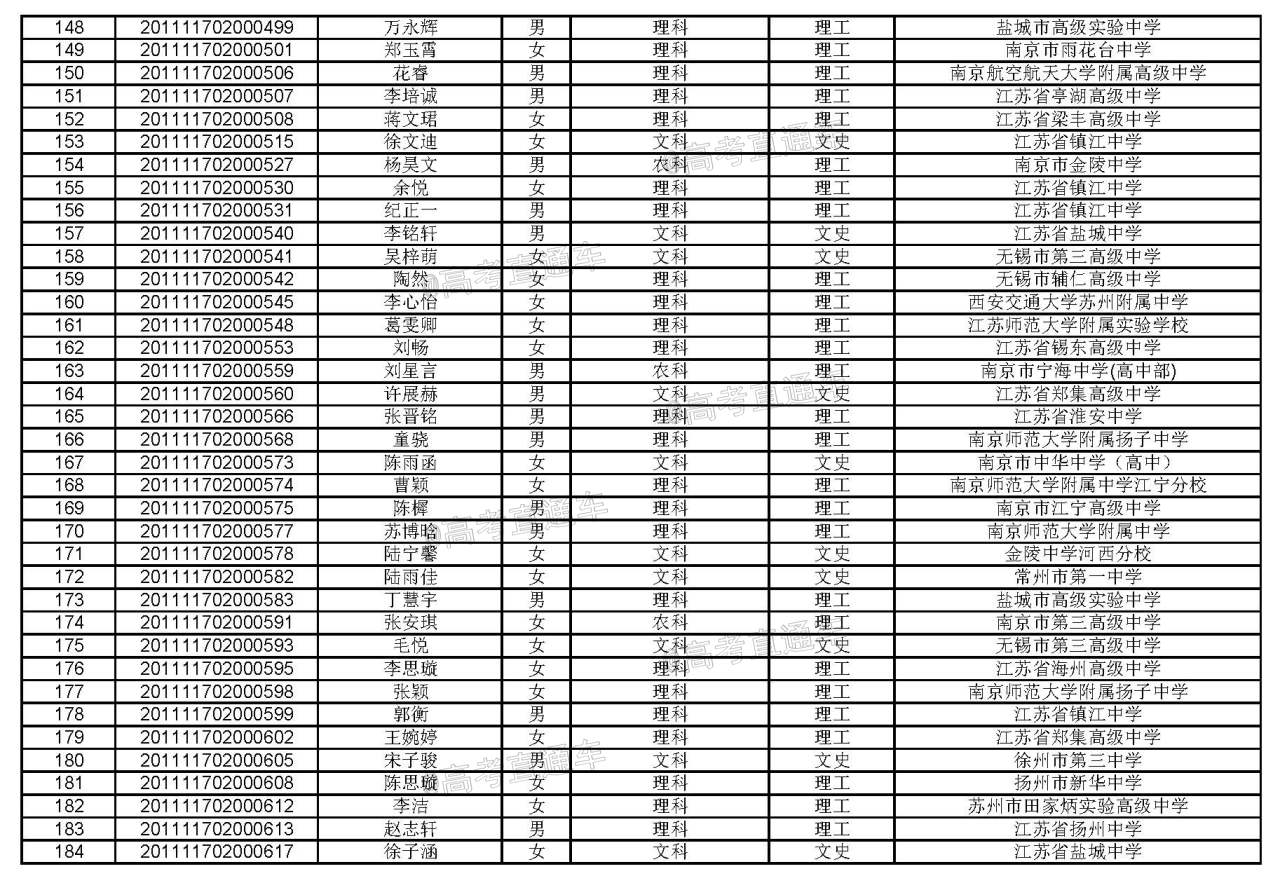
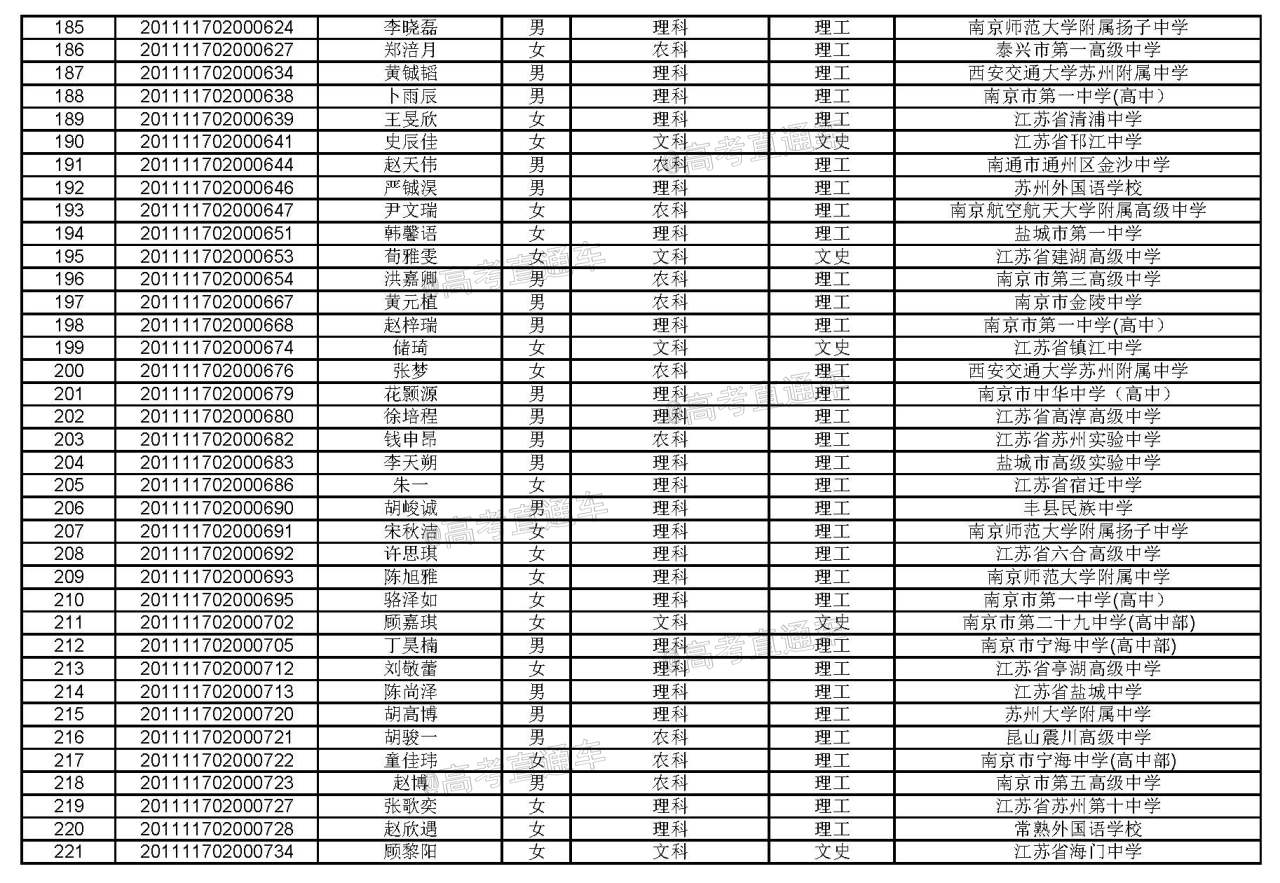
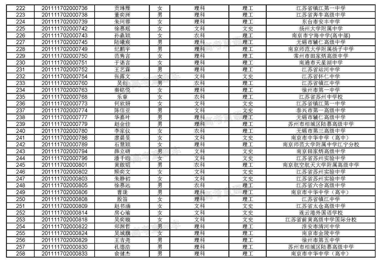
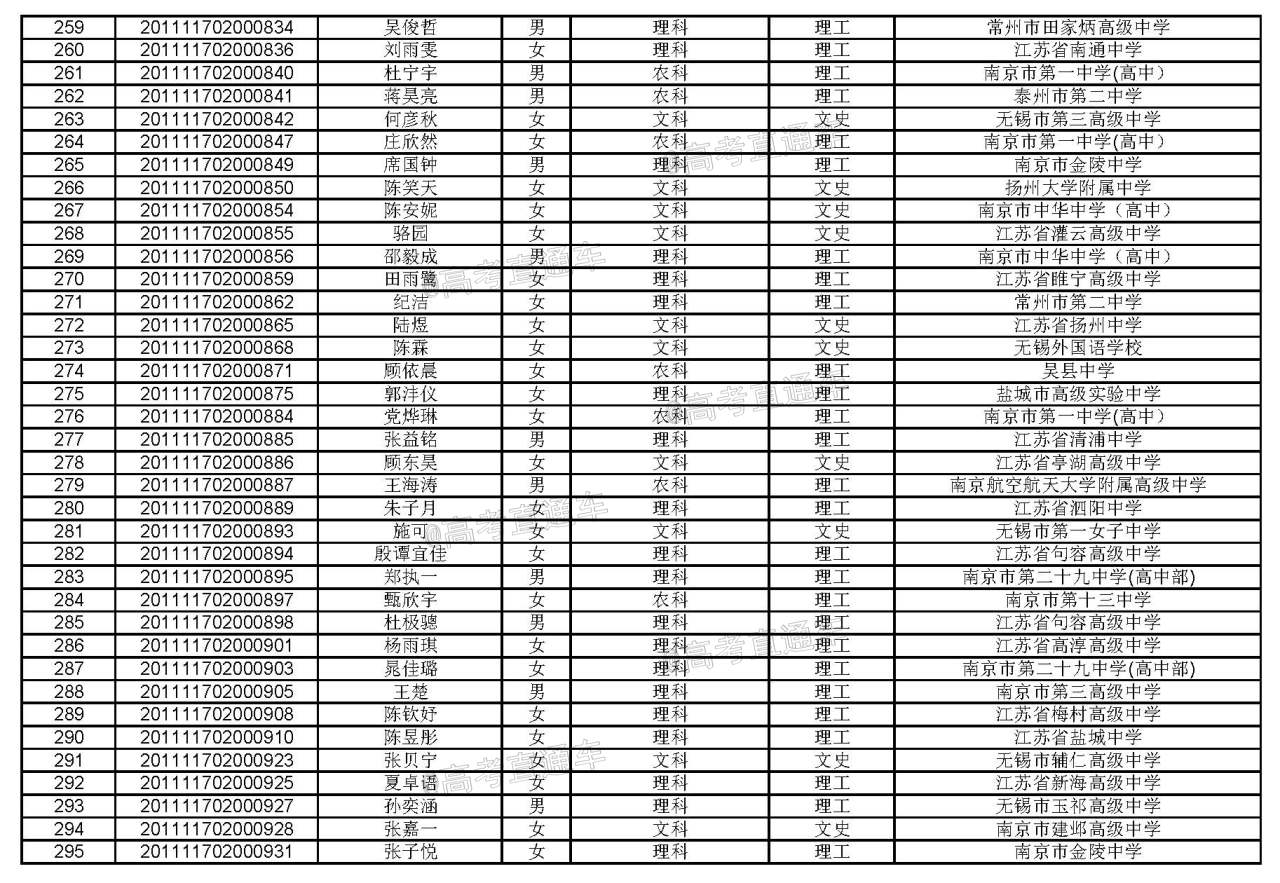
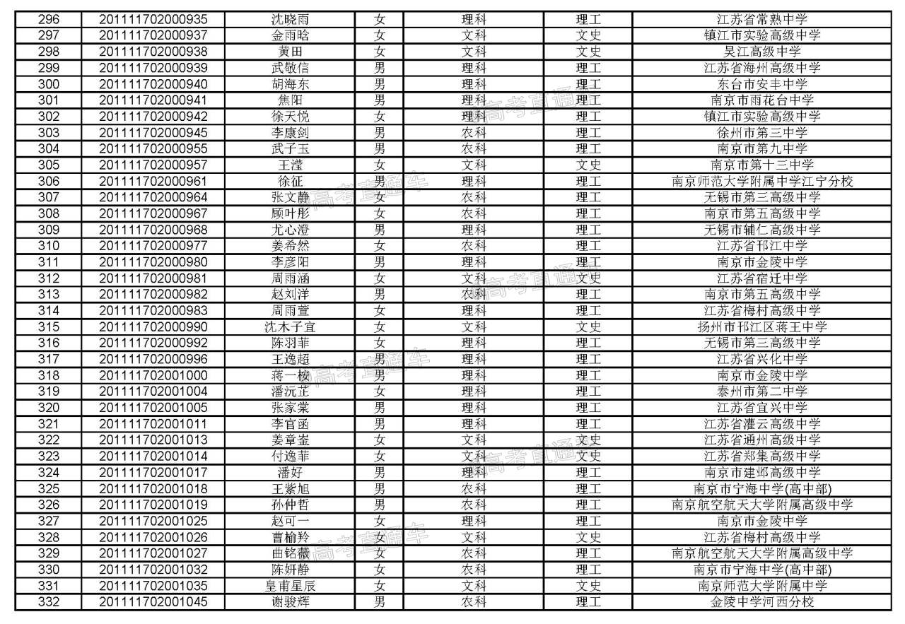
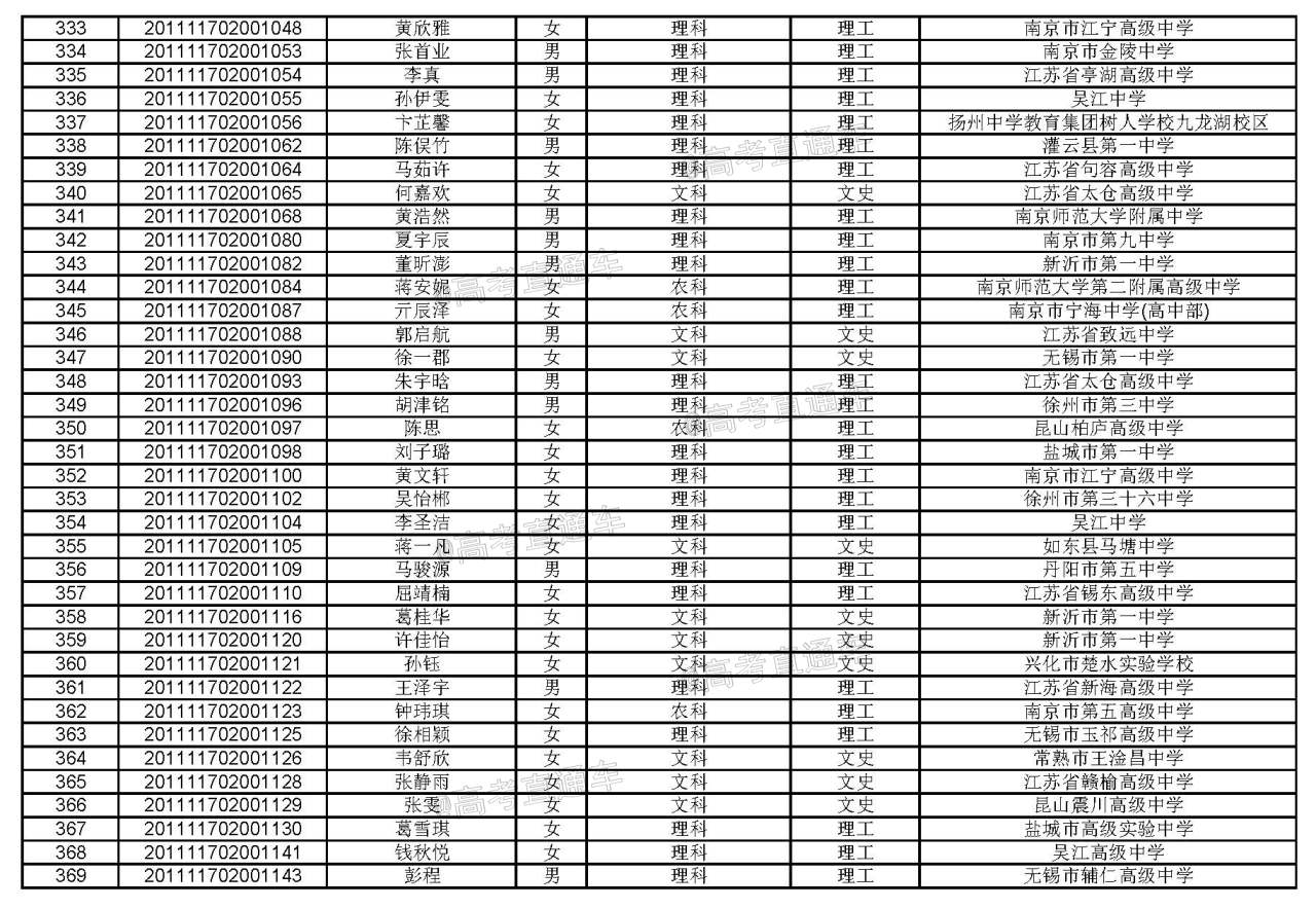
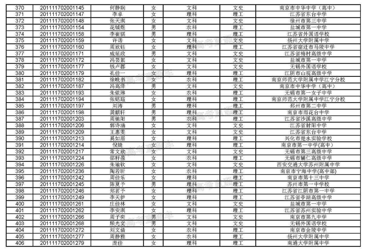
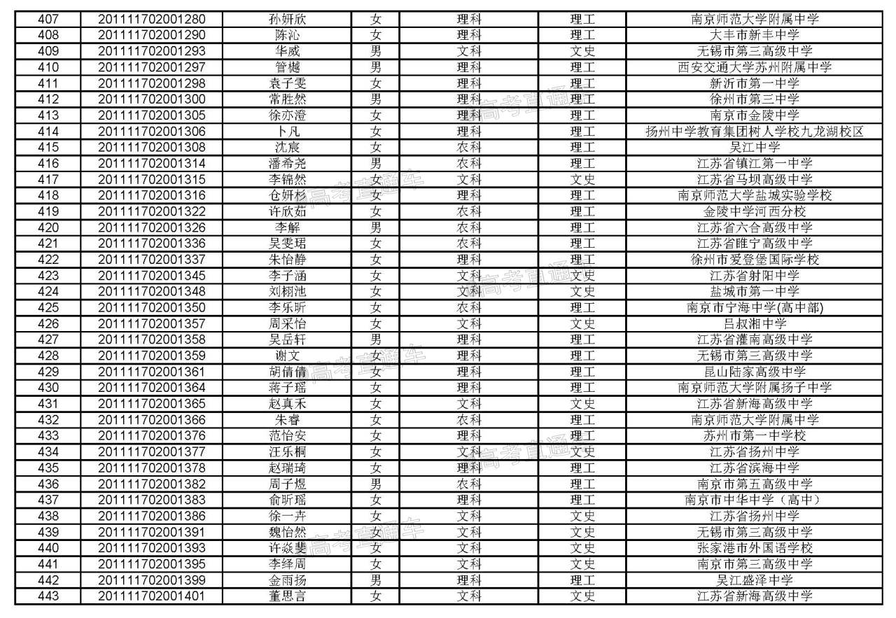
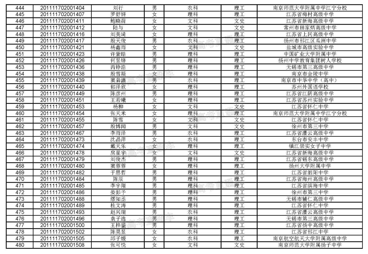
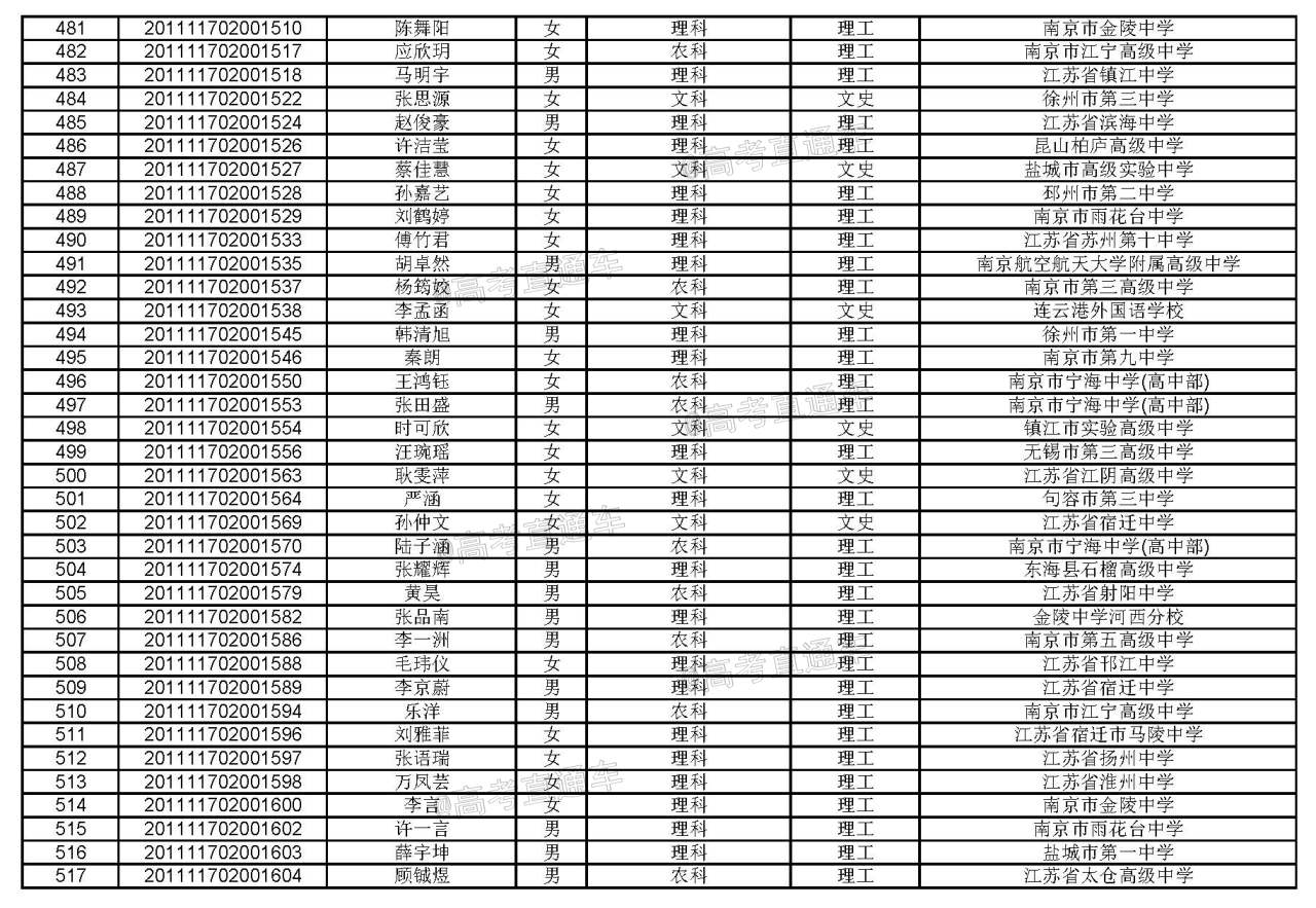
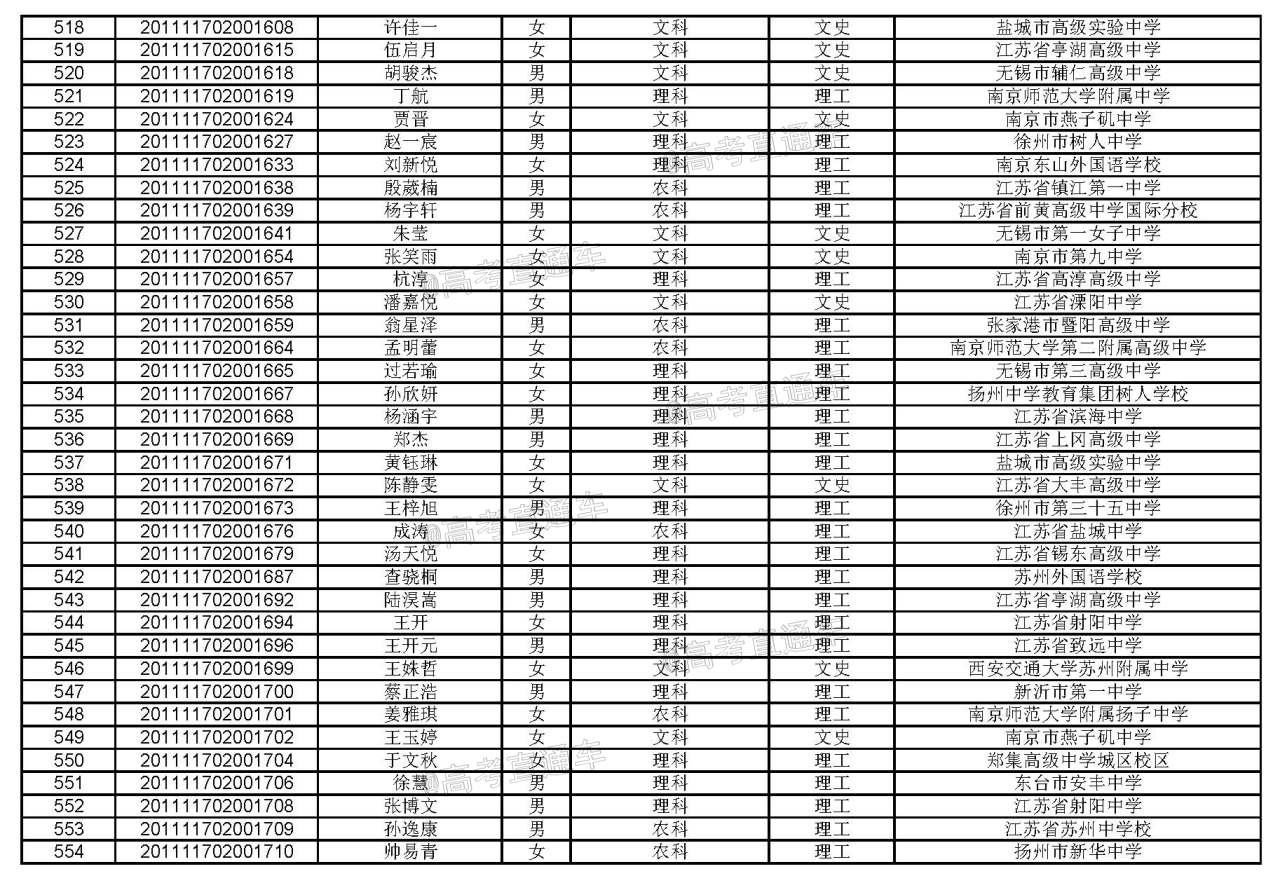
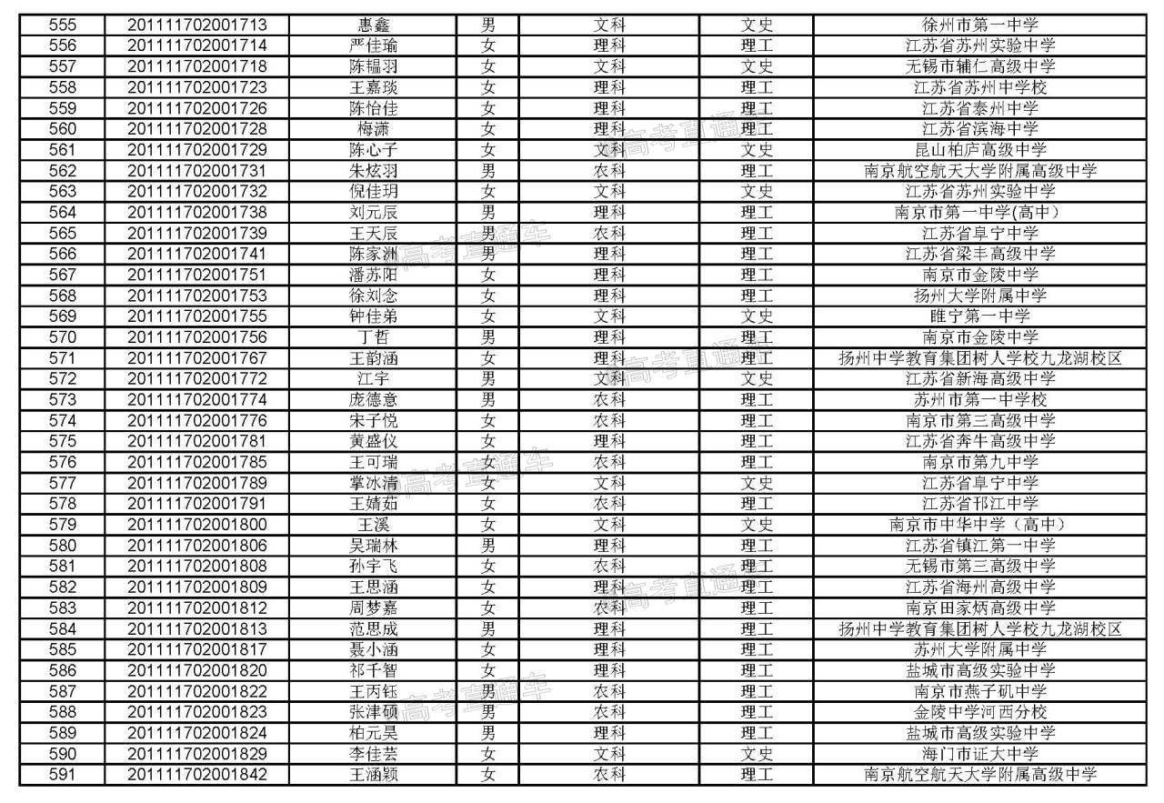
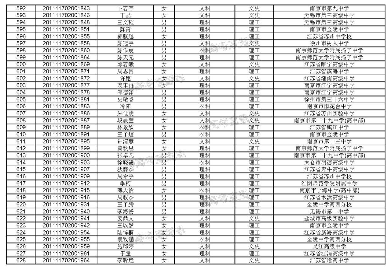
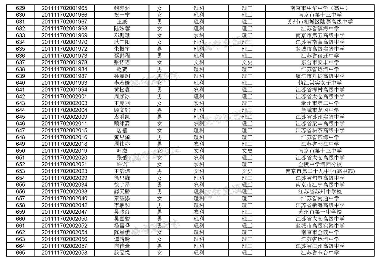
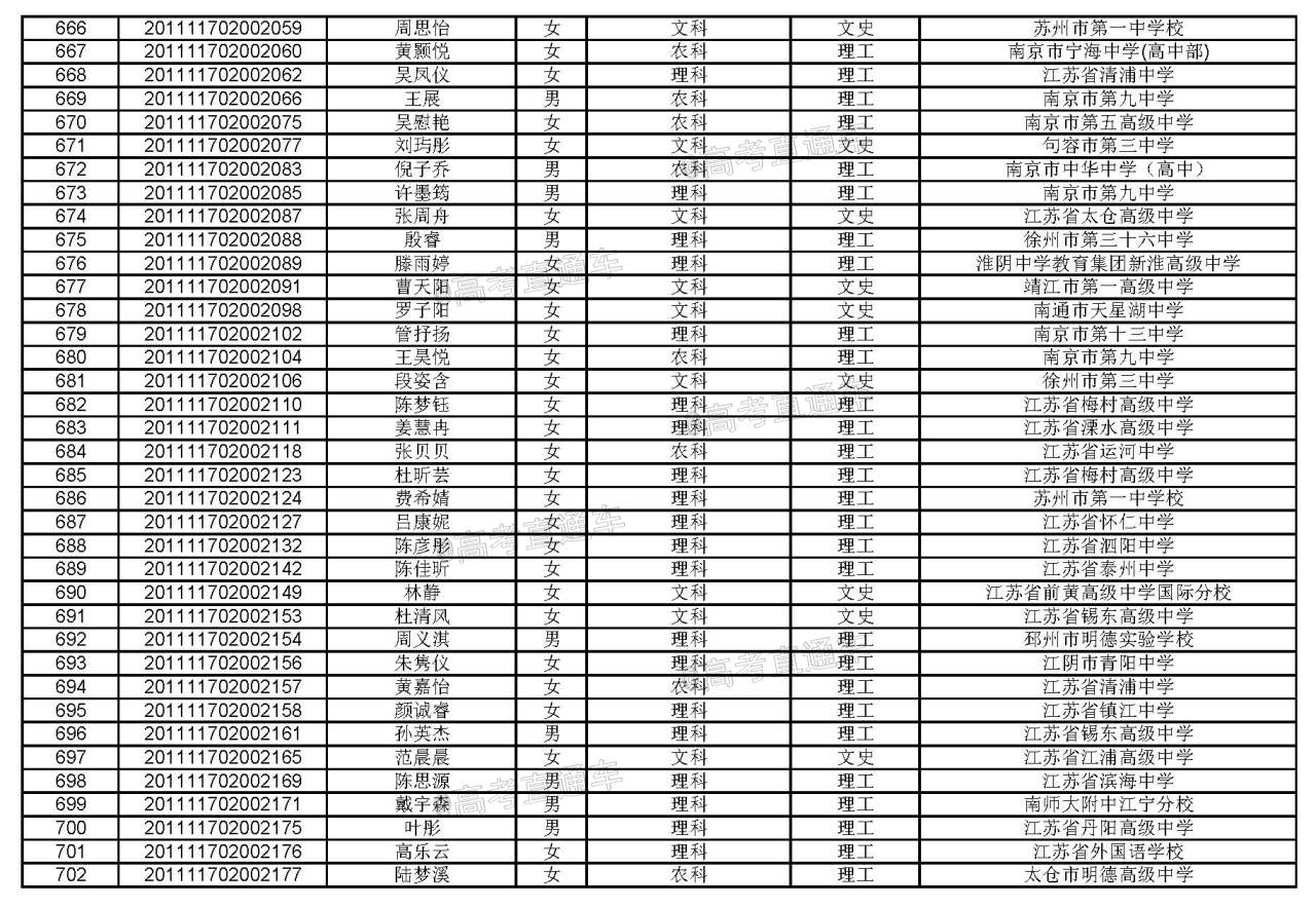
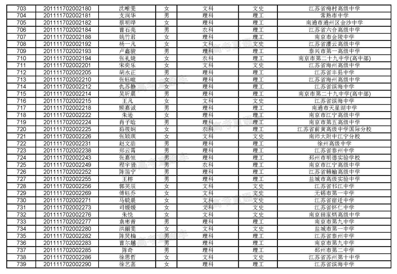
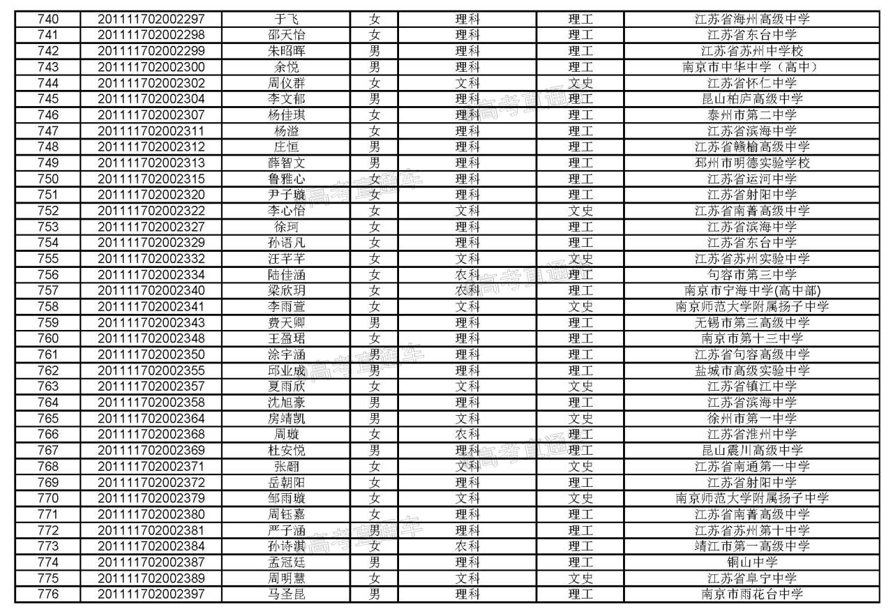
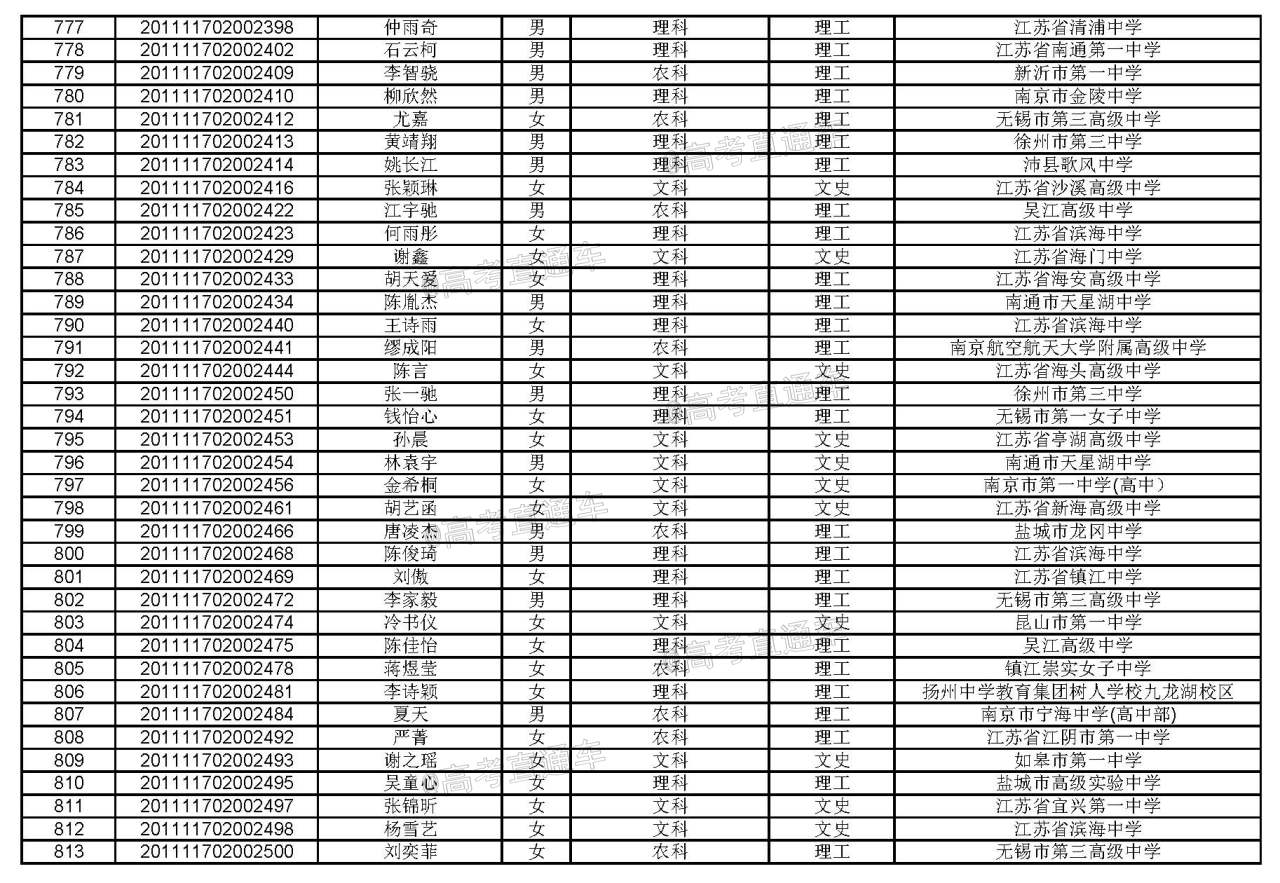
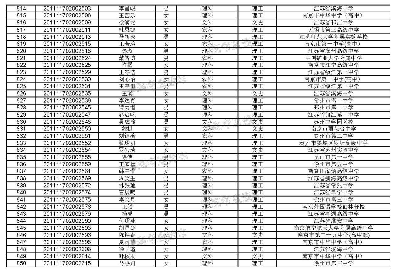
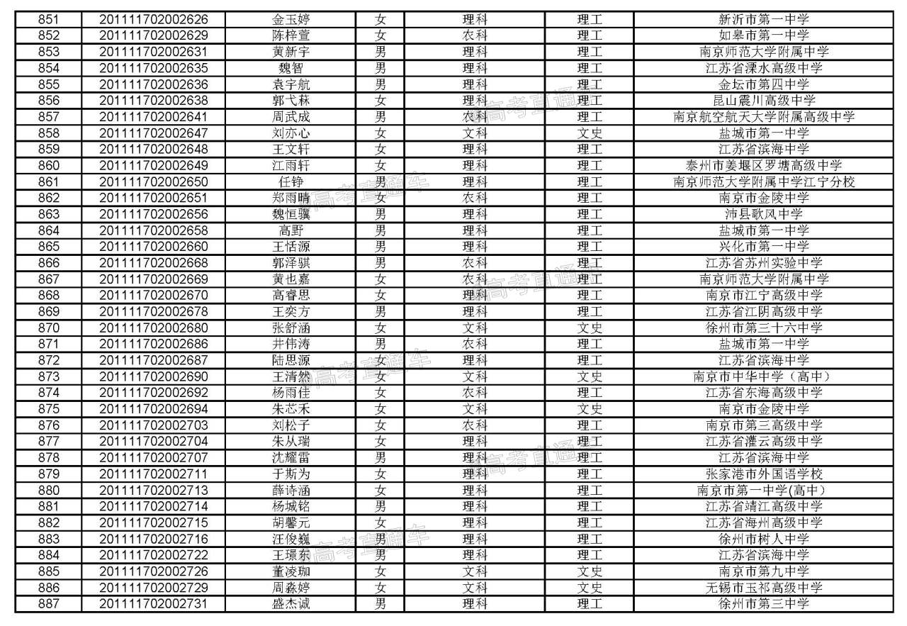
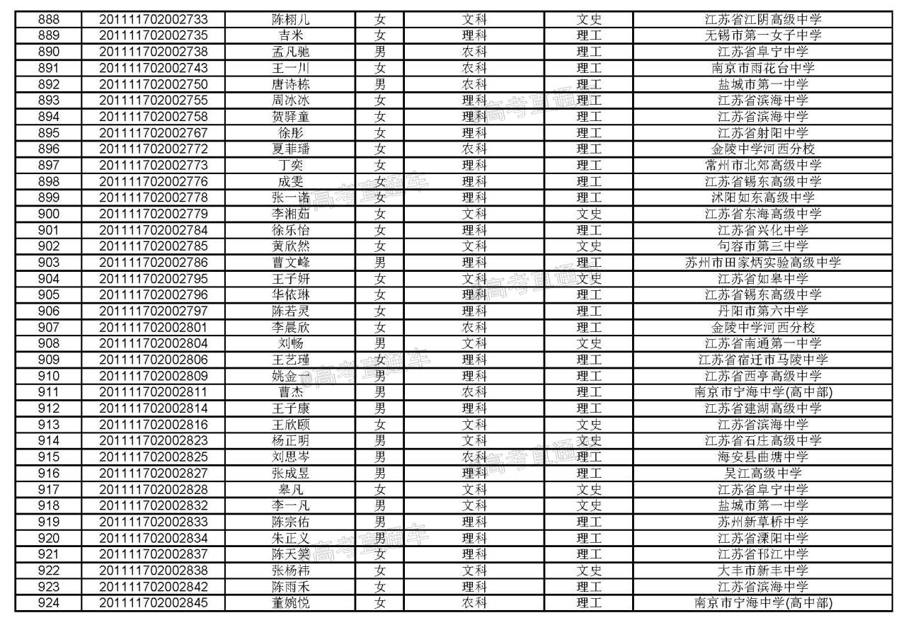
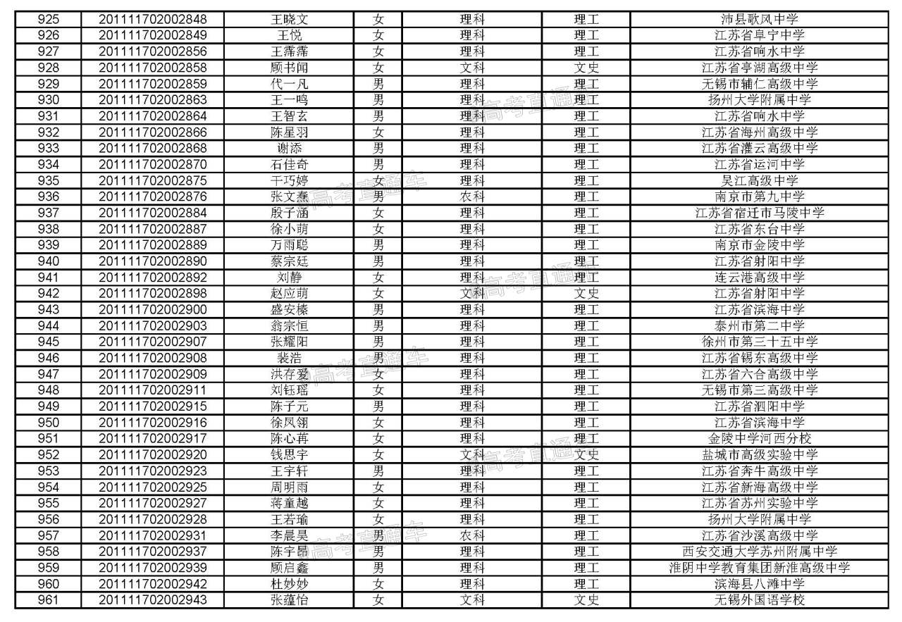
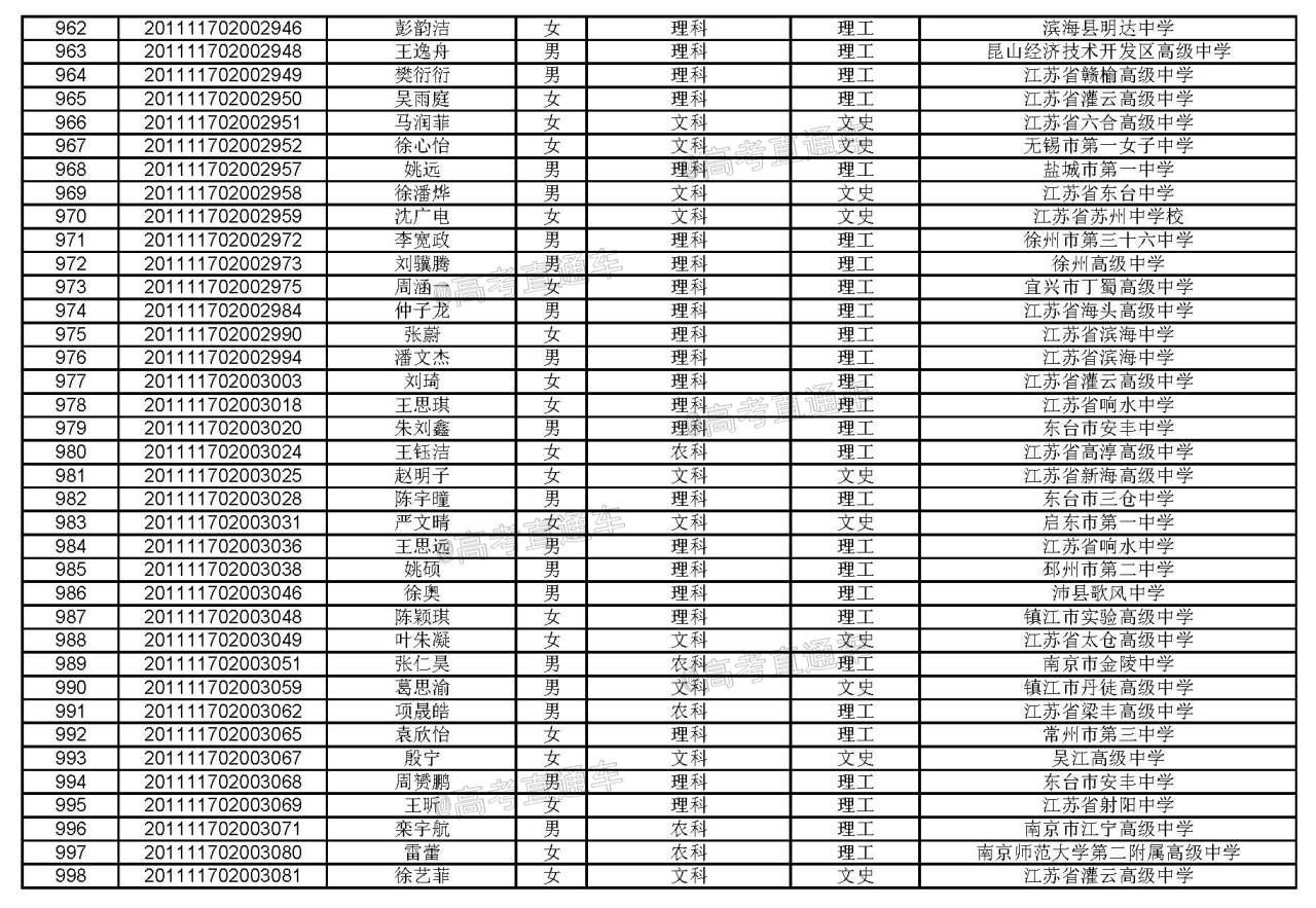
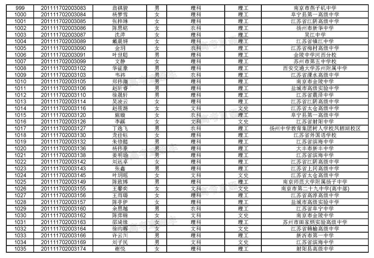
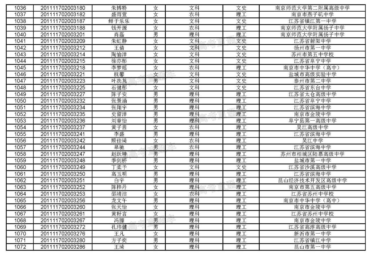
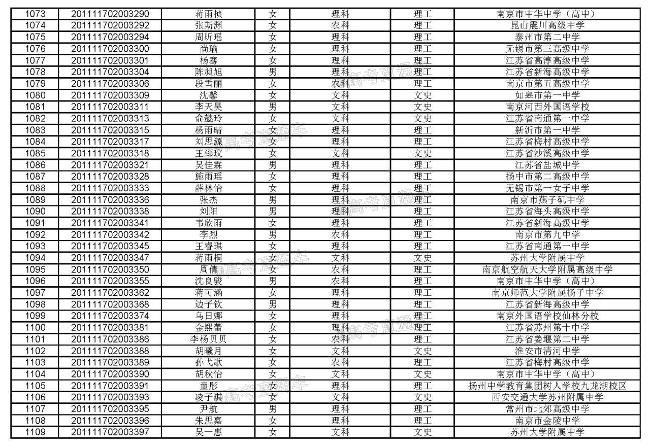
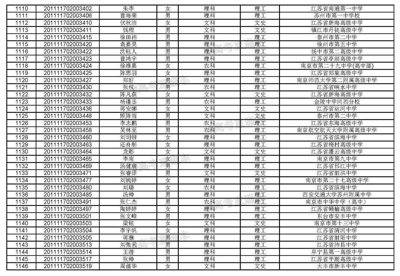
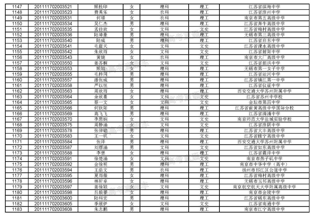
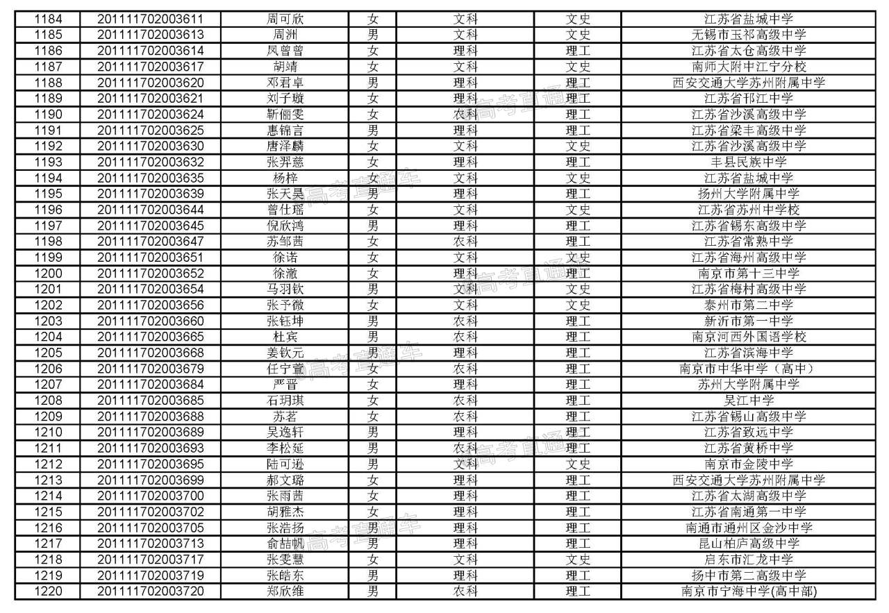
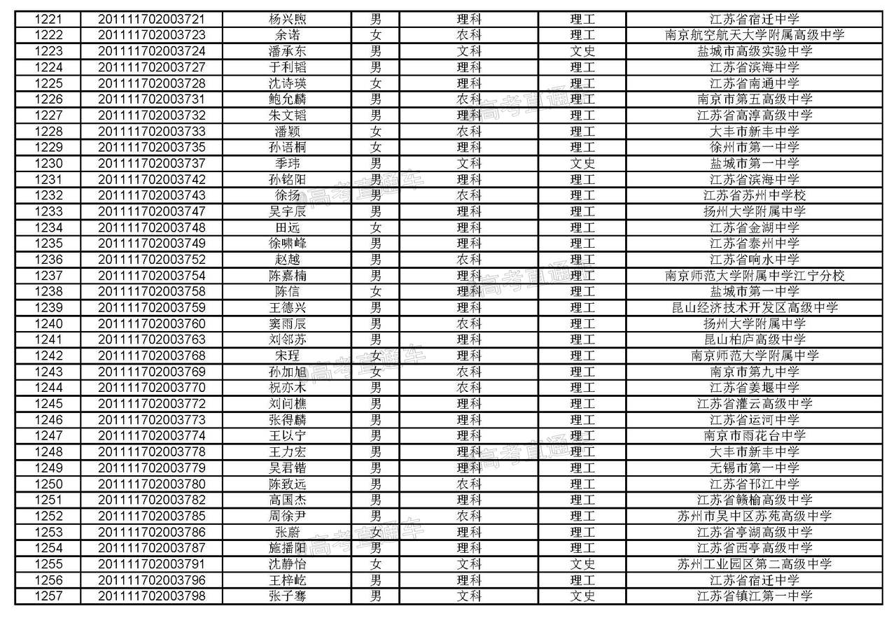
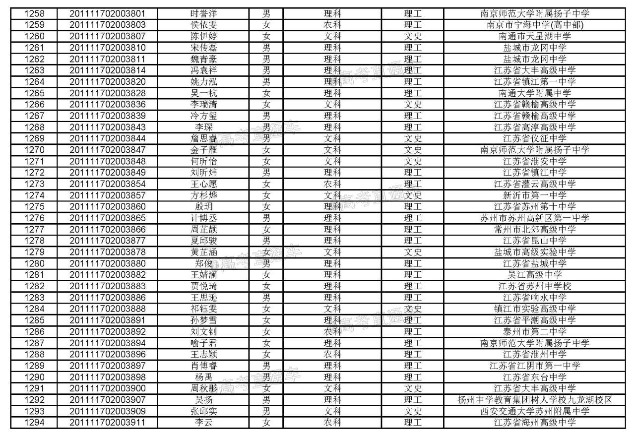
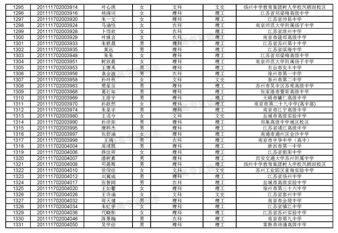
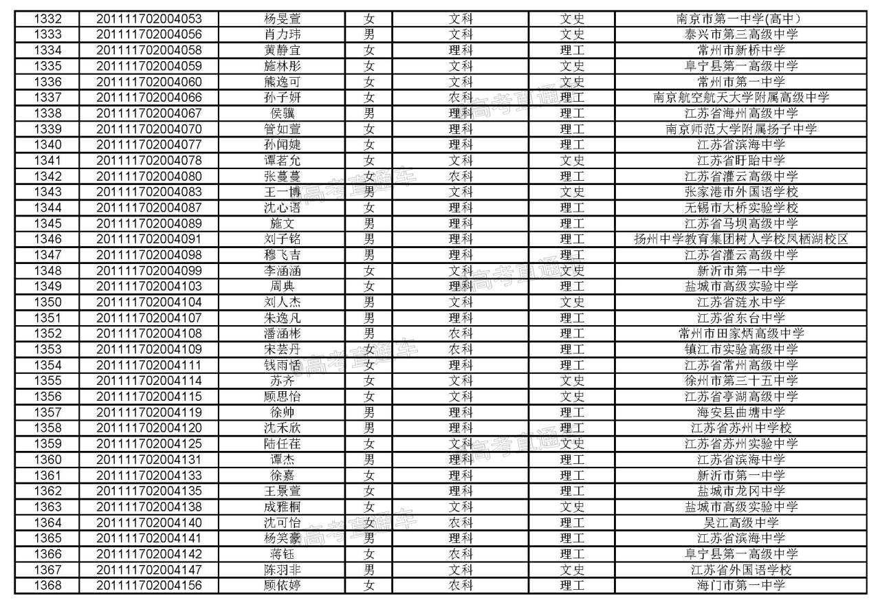
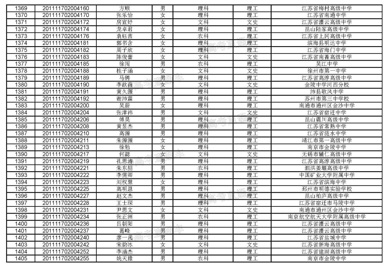
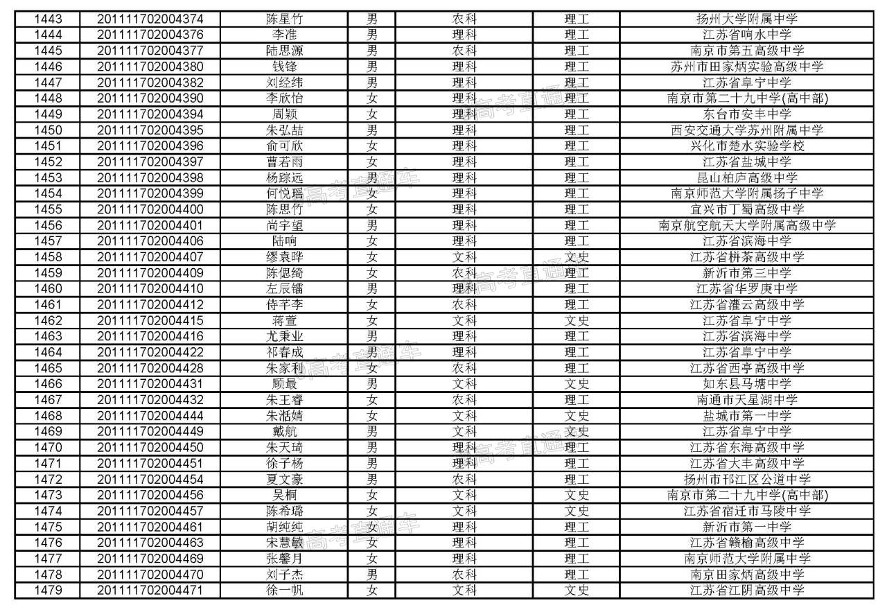
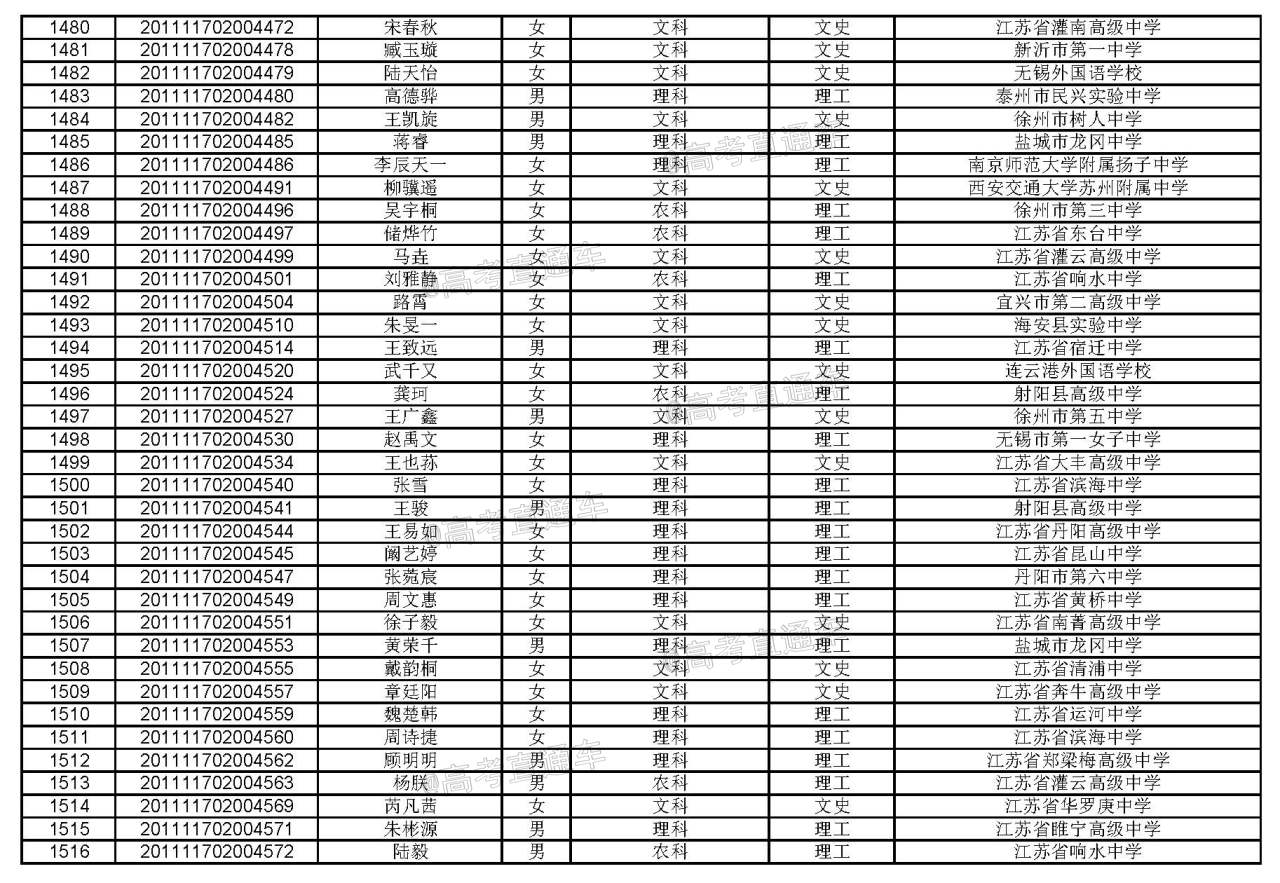
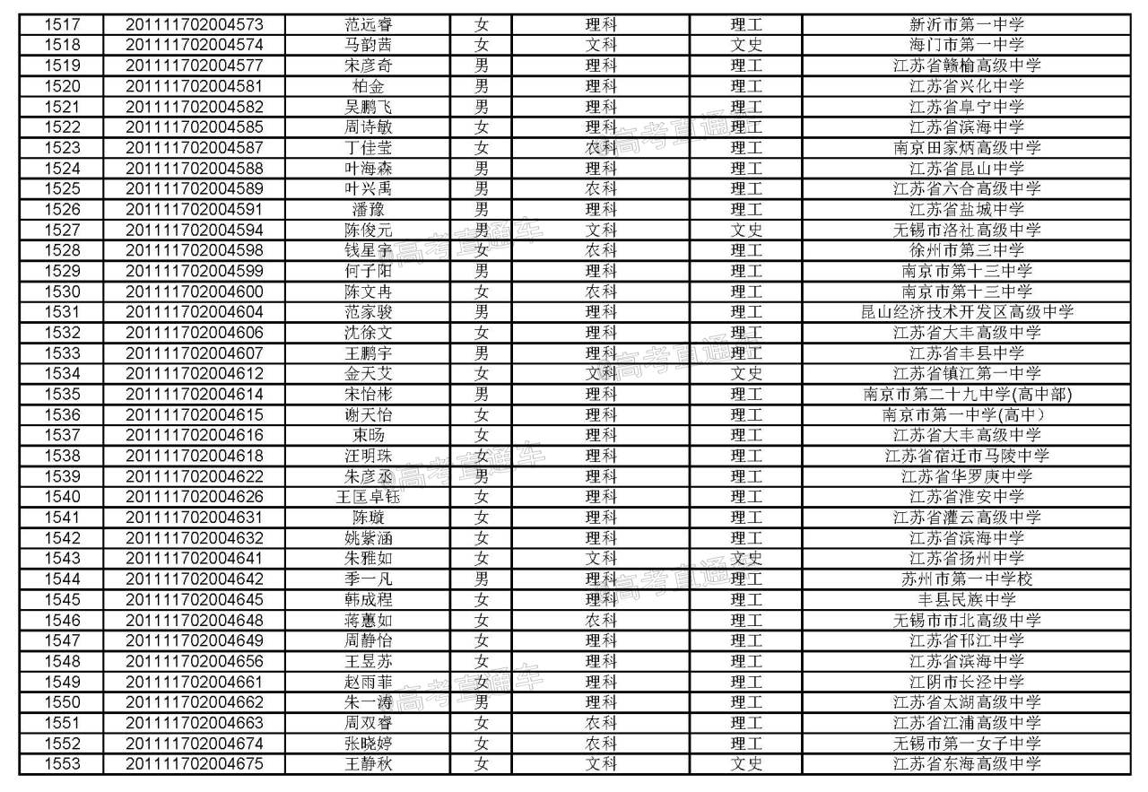
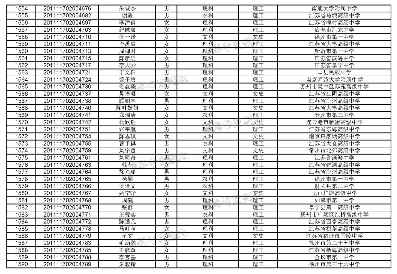
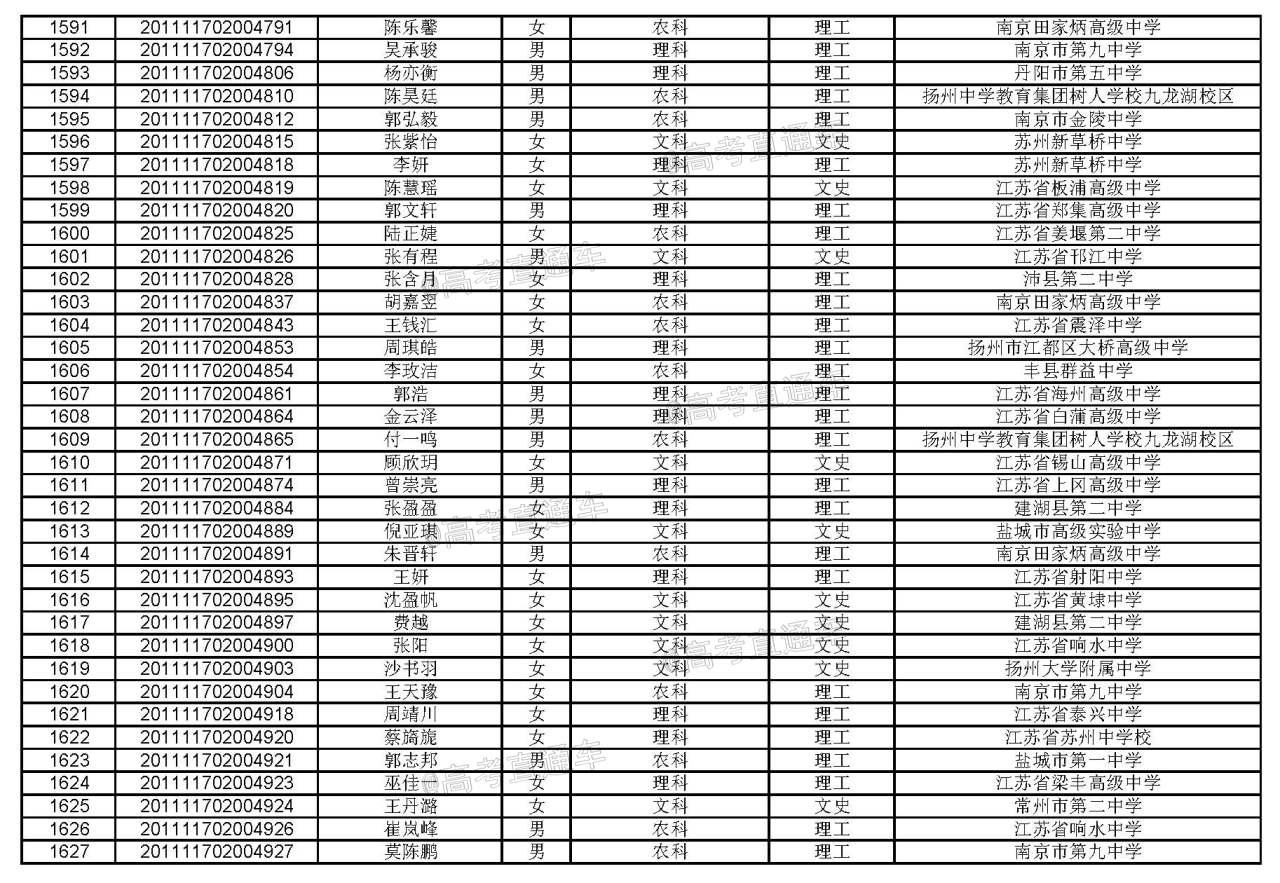
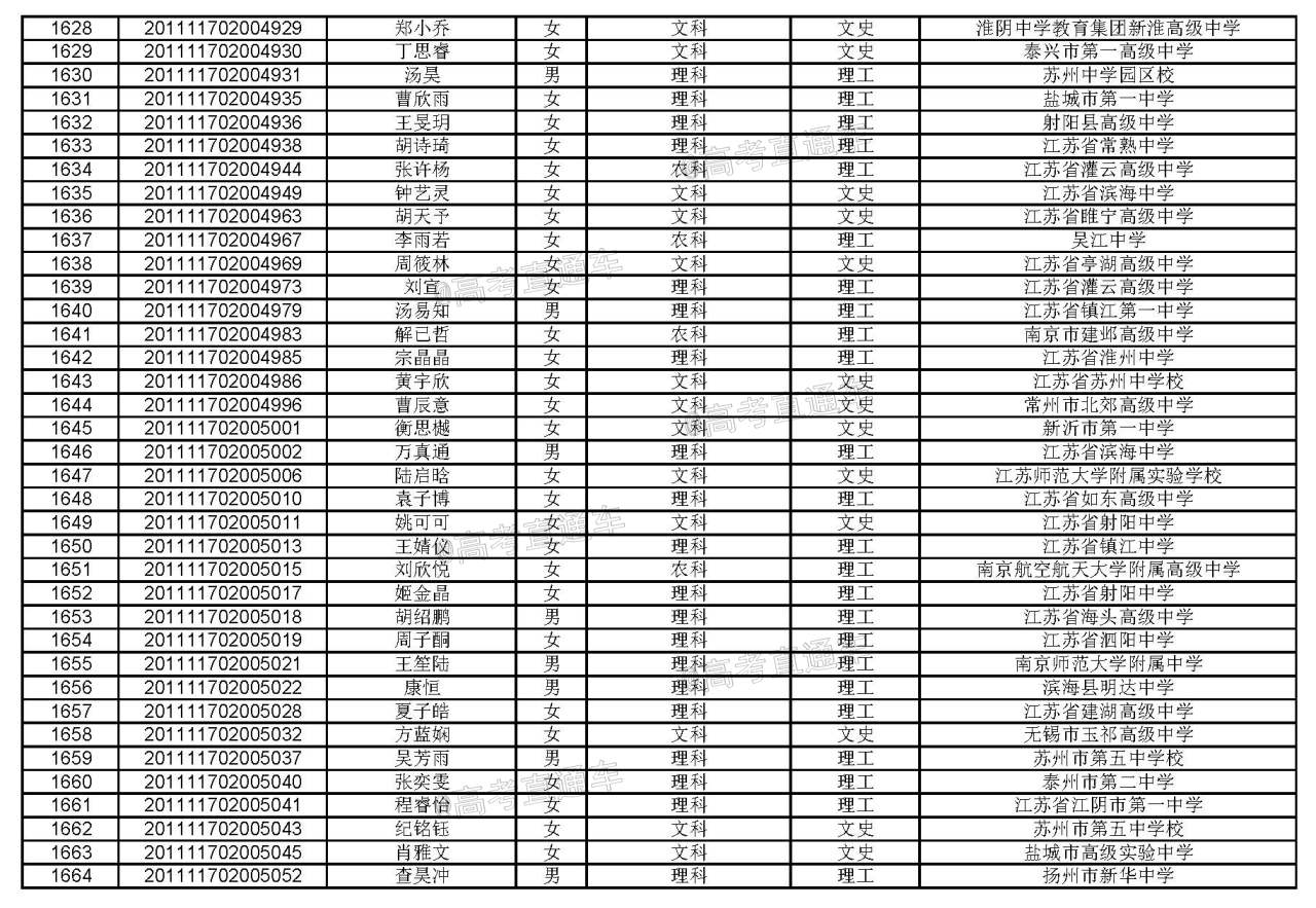
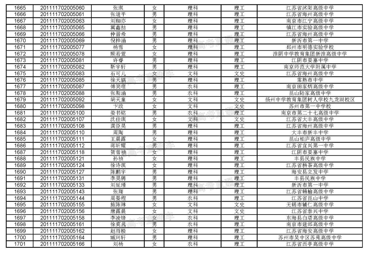
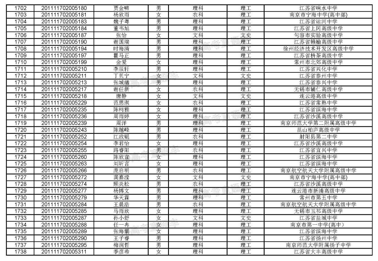
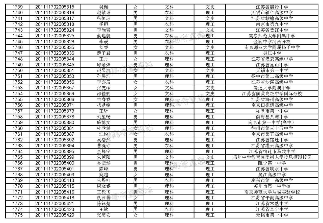
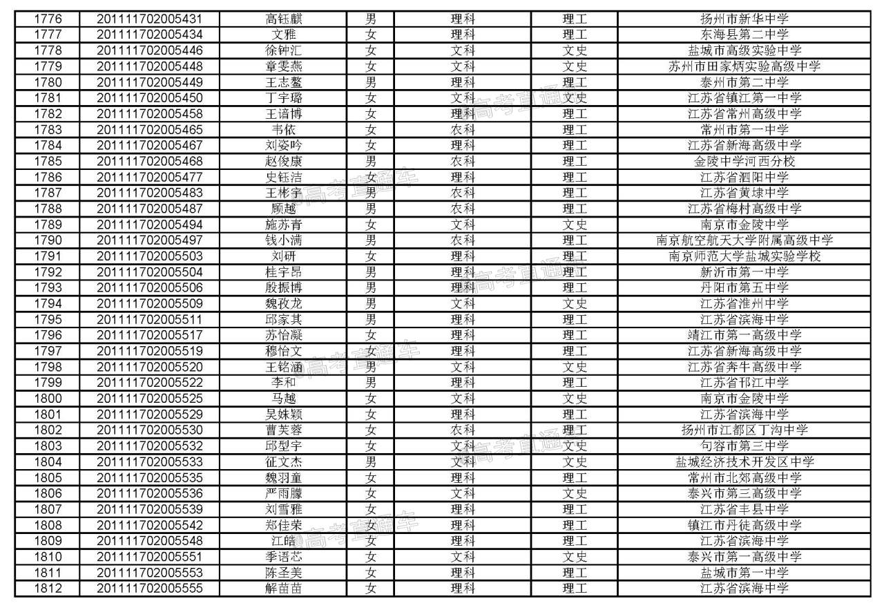
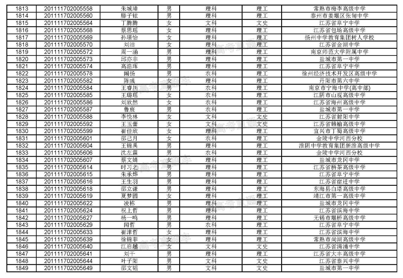
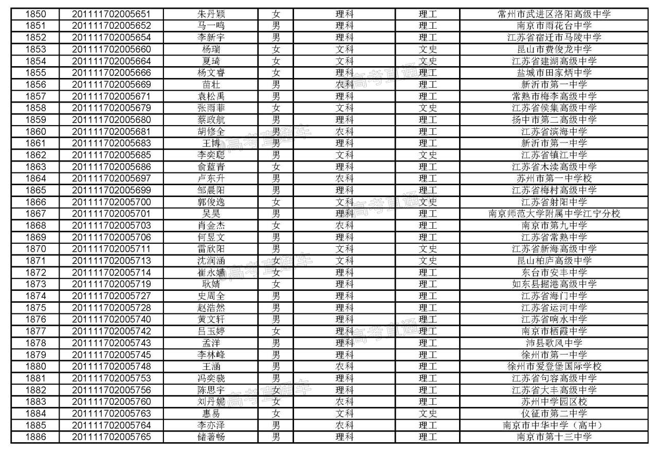
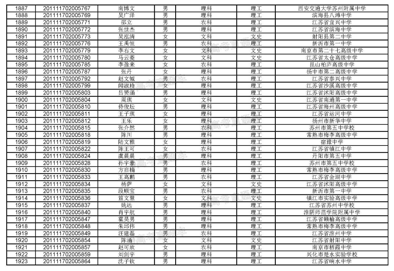
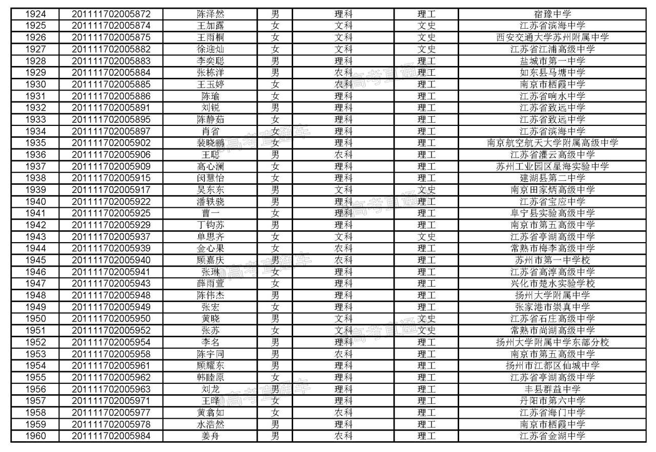
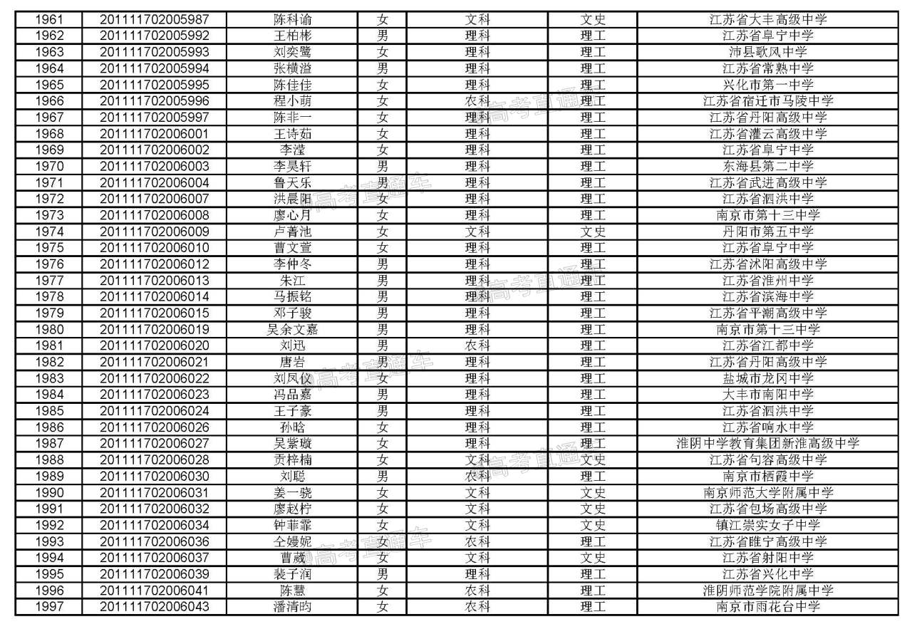
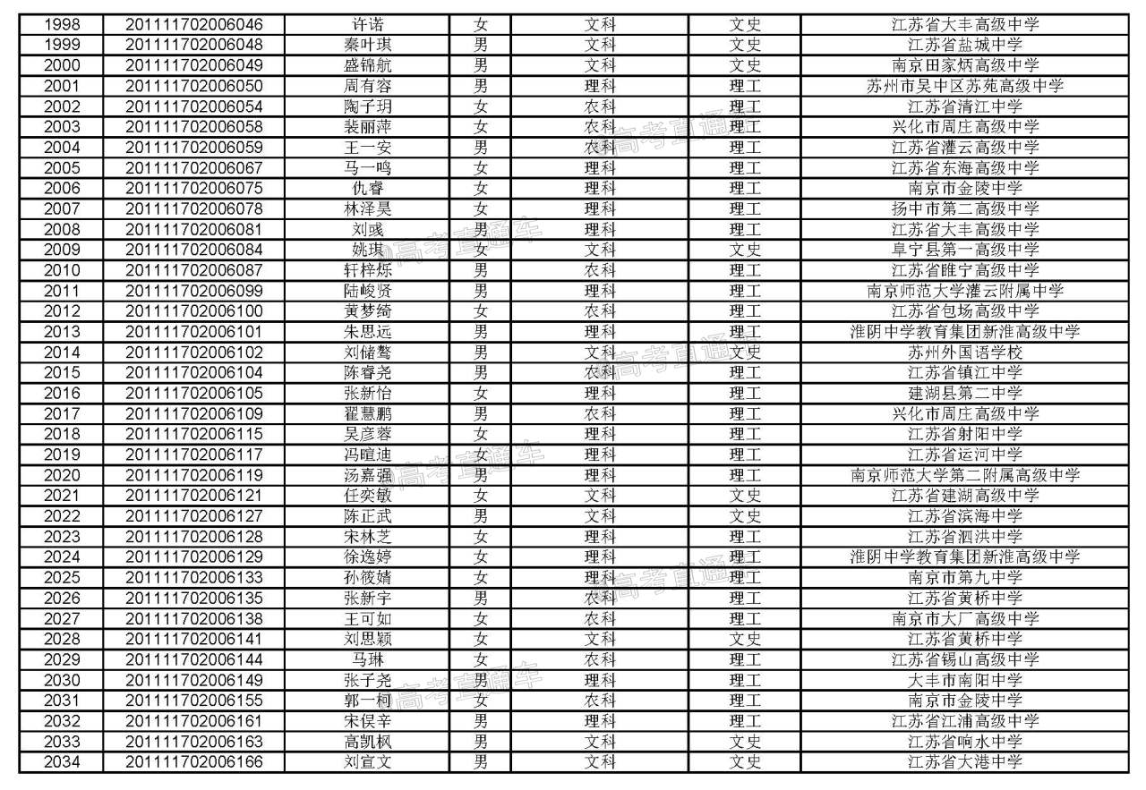
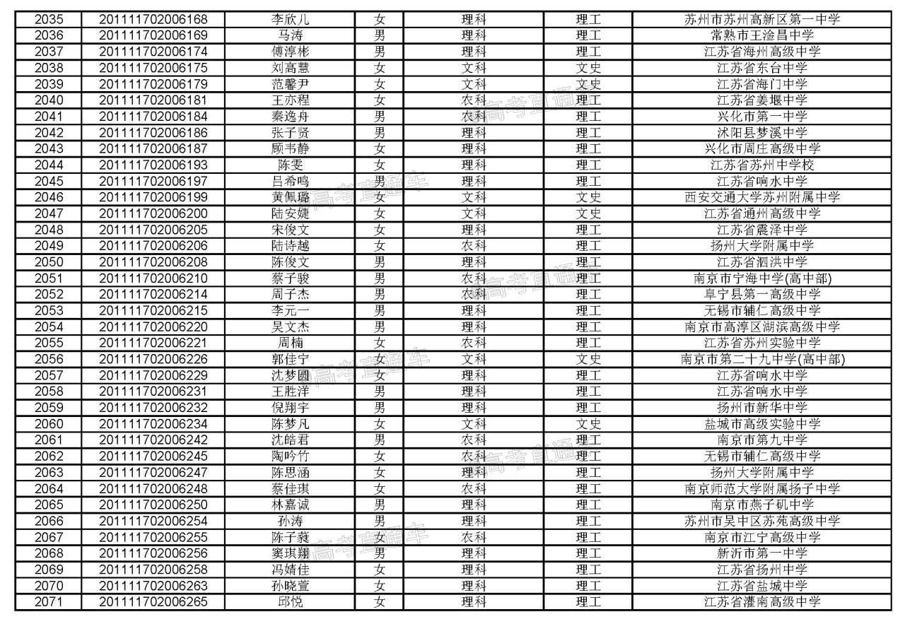
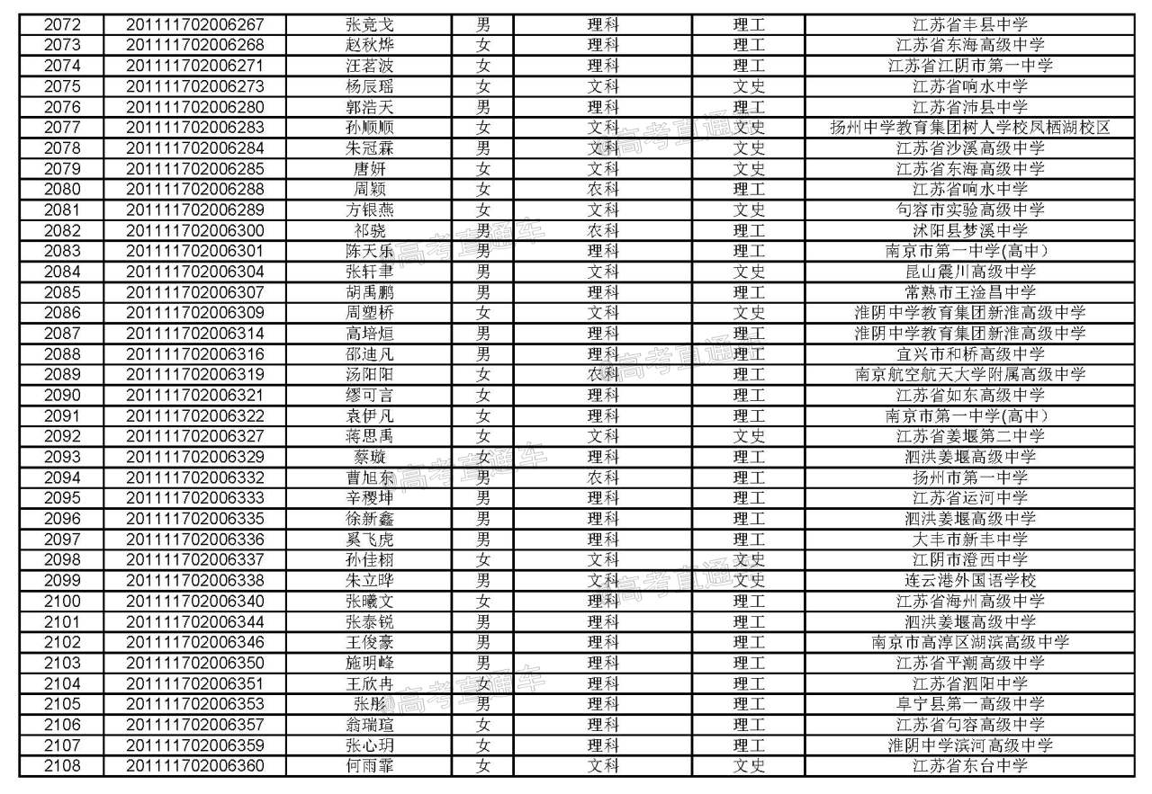
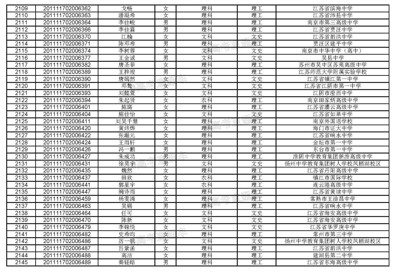
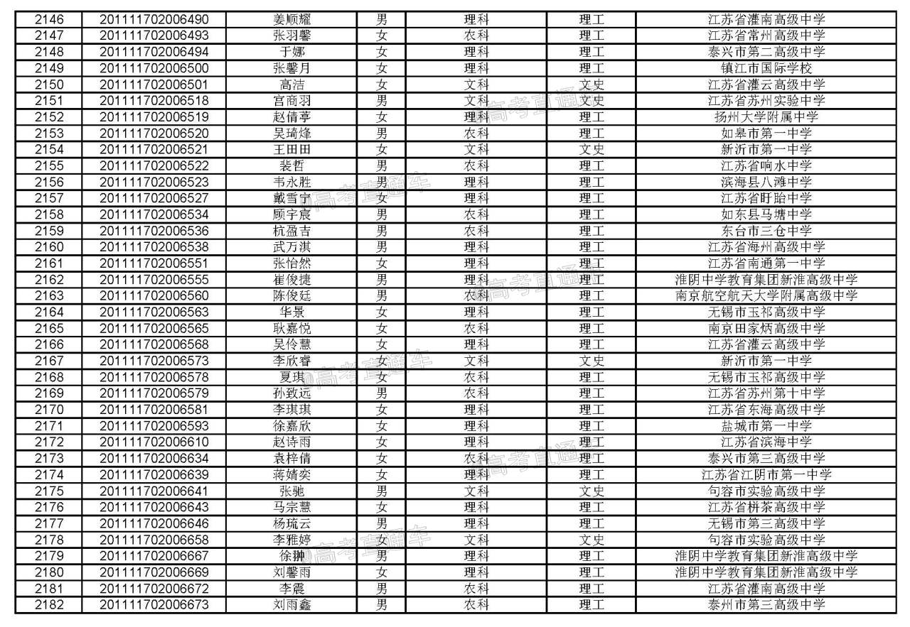
根据教育部、江苏省有关文件精神以及《扬州大学2020年综合评价录取招生章程》,我校综合评价录取工作小组对考生申请材料进行审核。网上报名3814人,其中192人未按《章程》要求完成报名流程;完成报名的3622人中,2184人通过资格初审,1438人未通过资格审核(未通过的原因已在报名系统中反馈)。现根据《章程》规定,对通过资格初审的2184名考生(按报名号为序)予以公示(见附件)。即日起,考生可登录教育部阳光高考综合评价报名系统查询本人审核结果。
1.公示时间为6月10日至6月17日。在此期间,个人、集体、组织如对公示名单有异议,可通过来信、来访、来电的形式向我校反映(为了便于调查核实并反馈结果,最好实名反映问题,我们将严格保密)。
2. 通过资格审查的考生须于6月25日23时前登录报名系统(http://bm.chsi.com.cn)确认参加面试。我校不限定考生报考院校数量,但面试时间冲突时,只能选择一所院校面试,请慎重选择。逾期未网上确认参加面试的考生,我校认为自动放弃面试资格。
3. 面试报到时间为2020年7月11日上午8:00—下午17:00,面试时间初定为7月12日上午8:00开始。具体安排请考生于7月10日前及时关注我校本科生招生网发布的公告。
4. 资格审核只针对考生报送的申请材料。在公示期、面试报到、录取过程中,如发现考生提供的材料与省考试院、竞赛主管部门的不一致,一经查实将根据《国家教育考试违规处理办法》(教育部令33号)、《普通高等学校招生违规行为处理暂行办法》(教育部令36号),报相关部门依规处理,并取消我校综合评价录取面试资格、录取资格。
联系地址:扬州市大学南路88号扬州大学本科生招生办公室
邮政编码:225009
联系电话:0514-87991290、87971626、87971618、15150825644
传真电话:0514-87991362
电子信箱:ydzb@yzu.edu.cn
校纪委监督电话:0514-87972358
扬州大学招生办公室
2020年6月10日



























































