一 学校概况 南京体育学院始建于1956年,是江苏省唯一一所独立建制的体育高等学府。学校坐落于古都南京,拥有灵谷寺、仙林、五棵松三个校区,总占地面积1100余亩。灵谷寺主校区位于国家5A级钟山名胜风景区、1931年落成的中央体育场旧址,历史底蕴深厚,自然风景优美。 学校传承中华体育文脉,坚守“严和朴实”校训精神,在长期的办学实践中,探索形成了独树一帜的教学、训练、科研“三位一体”“南体模式”,先后培养了以栾菊杰、张雨霏等18位奥运冠军、125位世界冠军为代表的竞技体育精英人才和国家体育总局原局长袁伟民、中国羽毛球协会主席张军、中国击剑协会主席王海滨、国际级足球裁判马宁等为代表的数以万计的体育领域专业人才,得到了党和国家领导人、国家体育总局、江苏省委省政府和国际奥委会主席的充分肯定,多次获得国家和省级嘉奖,学校被誉为“世界冠军的摇篮”“体教融合的典范”。 学校现设有体育教育与人文学院、运动训练学院、运动健康学院、体育休闲与产业学院、武术与艺术学院、马克思主义学院等6个高等教育学院。开设有16个本科专业,涉及教育学、文学、管理学、医学、艺术学5个学科门类,拥有体育学一级学科硕士学位授权点和体育、教育、新闻与传播3个硕士专业学位授权点,各类在校生5500余人。学校作为江苏省竞技体育的主力军、大本营,现设有乒羽学院、网球学院、击剑学院、体操学院、游泳学院等5个竞技体育学院及江苏省少年业余体校,拥有乒乓球、羽毛球、网球、击剑、体操、艺术体操、蹦床、技巧、游泳、跳水、花样游泳等11支省优秀运动队,专业运动员397名。 学校积极推进学科专业建设和教育教学改革,2017年获批博士学位授予立项建设单位。连续四期获批江苏高校优势学科建设工程立项单位。拥有国家级一流本科专业5个,江苏高校一流本科专业12个,江苏省产教融合型品牌专业建设点2个,国家级一流本科课程2门,省级一流本科课程18门,省优秀研究生课程5门。获得国家级高等教育教学成果奖3项,省级高等教育教学成果特等奖1项、一等奖6项、二等奖5项,国家体育总局教育教学成果奖二等奖3项、三等奖5项,江苏高校省级优秀基层教学组织1个。 经教育主管部门批准,南京体育学院运动训练、武术与民族传统体育、足球运动专业纳入体育单招考试招生,按有关工作要求执行。 二 报考条件 1.符合2026年普通高考报名条件,且已参加生源所在地省级招生考试机构组织的普通高考报名(具体按各省级招生考试机构要求执行)。 2.具备我校招生项目要求的运动员技术等级称号。等级证书审批日期须在2016年1月1日至2026年3月10日之间,以“国家体育总局运动员技术等级系统”公示的数据信息为准。考生本人的运动员技术等级项目应与报考的招生项目一致,考生如具备所报考项目的多个运动员技术等级证书,报名时需填报所有符合报名要求的运动员技术等级证书。 3.不在兴奋剂违规禁赛期内。 4.身体健康,符合《普通高等学校招生体检工作指导意见》(教学〔2003〕3号)及有关补充规定要求。 三 招生项目 1.运动训练专业 招收二级运动员(含)以上的项目:田径(100米、200米、400米、800米、1500米、3000米、5000米、跨栏、跳远、跳高、三级跳远、铅球、标枪、铁饼)、游泳、篮球、排球、乒乓球、羽毛球、网球、高尔夫球、击剑、跆拳道、柔道、拳击、体操、艺术体操、技巧。 招收一级运动员(含)以上的项目:足球(十一人制)、橄榄球、花样游泳、蹦床。 招收运动健将(含)以上的项目:跳水。 2.武术与民族传统体育专业 招收二级运动员(含)以上的项目:武术套路、武术散打、中国式摔跤。 3.足球运动专业 招收一级运动员(含)以上的项目:足球(十一人制)。 四 招生计划及报考要求 1.运动训练、武术与民族传统体育和足球运动专业合计拟招收400人,其中包含保送录取优秀运动员招生计划,最终计划数以上级部门正式下达为准。面向全国招生,不列分省计划。 2.分项目招生计划数及具体报考条件 3.我校对录取的非江苏省专业运动队运动员实行全日制教育培养,不按照江苏省专业运动队运动员管理方式进行培养,请非江苏省专业运动队运动员慎重报考。 五 报名办法 1.考生统一在“中国运动文化教育网”(www.ydyeducation.com)或“体教联盟APP”中“普通高等学校运动训练、武术与民族传统体育专业招生系统”(以下简称“体育单招系统”)进行注册(验证考生报名资格)并报名,具体时间: 注册时间为2026年2月1日12:00至3月10日18:00; 报名时间为2026年3月1日12:00至3月10日18:00。 2.考生根据招生院校公布的招生简章合理选择不超过2所招生院校进行报名,并确定好志愿顺序。 3.考生依据体育专项考试的收费标准和生源所在省级招生考试机构文化考试收费标准,在线缴纳考试费。考生完成缴费视为报名成功,未缴费的考生报名信息作废;完成缴费后,考生不得再对报名信息进行修改。 六 考试与成绩 运动训练、武术与民族传统体育、足球运动专业招生实行文化考试和体育专项考试相结合的办法进行。 1.文化考试 (1)文化考试科目为语文、数学、政治、英语四科,每科满分为150分,四科满分为600分,使用国家通用语言文字作答。 (2)2026年文化考试时间: (3)文化考试由高考报名所在地省级招生考试机构负责组织实施,所有考生必须参加高考报名所在地省级招生考试机构组织的文化考试。 (4)考生于2026年3月21日12:00后登录“体育单招系统”打印文化考试准考证,依据准考证上的考点信息于3月28日、29日参加文化考试。 (5)请考生务必及时关注高考报名所在地省级招生考试机构的相关通知,以免错过文化考试。 2.体育专项考试 (1)体育专项考试采用全国统考方式进行,满分100分。体育总局委托有关院校(以下简称“组考院校”)组织体育专项考试,按照体育总局制定的《普通高等学校运动训练、武术与民族传统体育专业体育专项考试方法与评分标准(2026版)》评分。 (2)考生依据报名项目进行体育专项考试,不得跨项参加考试。 (3)体育专项考试将进行兴奋剂检查。考生应签订《反兴奋剂承诺书》,拒不签订承诺书的考生,视为主动放弃考试资格;兴奋剂违规的考生,视为考试作弊,取消考试资格或录取资格,并通报生源所在省级招生考试机构,按照有关规定严肃处理。 (4)体育专项考试具体安排另行通知。请考生关注“中国运动文化教育网”、“体教联盟APP”和组考院校官网,及时查询体育专项考试具体安排、考生须知等信息,按要求参加体育专项考试。 3.考试成绩 (1)考生可于5月18日12:00后通过“体育单招系统”查询文化成绩和体育专项成绩。 (2)对成绩有疑议的考生可于5月18日12:00至19日12:00通过“体育单招系统”提交复核申请。成绩复核只对成绩是否存在加分错误、登记错误等情况进行复核,不重新进行评分。复核结果将于5月21日17:00前通过“体育单招系统”反馈考生。 七 录取原则 1.我校2026年最低录取控制线 2.对具备一级运动员技术等级称号的考生,可在我校文化成绩最低录取控制线下降低30分录取;对具备运动健将技术等级称号的考生,可在我校文化成绩最低录取控制线下降低50分录取。 3.在文化成绩和体育专项成绩均达到我校最低录取控制分数线的基础上,根据考生的文化成绩(折合百分制后)和体育专项成绩 3:7 的比例进行综合评价,计算考生录取综合分。具体公式:综合分=(文化成绩/6)×30%+体育专项成绩×70%。综合分计算时保留小数点后两位,采用四舍五入计数保留法。 4.跳水、蹦床项目不分男女录取,其他项目均按性别分别进行录取。田径项目按田赛、径赛两类分别录取;排球项目按非自由人、自由人分别录取;足球项目按非守门员、守门员分别录取。足球项目考生在进行专业分配时,按照综合分排序,优先录取至足球运动专业,录满后再录取至运动训练专业,具体如下: 5.我校根据分项目招生计划数,依据上线考生填报的志愿梯次顺序,按照综合分由高到低,优先录取一志愿考生;未完成招生计划的项目,再录取二志愿考生;二志愿录取时,如部分项目仍未完成招生计划,剩余计划将按照下一条“计划调整规则”执行。考生综合分相同时,将依次按照体育专项成绩、文化成绩、语文成绩、数学成绩、政治成绩、英语成绩从高到低录取。 6.计划调整规则:如部分项目在二志愿录取时,仍未完成招生计划,剩余计划将按照指定顺序和数量进行多轮计划调整,用于录取其他项目二志愿上线考生。计划调整后录取的二志愿考生综合分必须高于该项目一志愿录取考生的最低综合分(一志愿上线考生已被全部录取的情况除外)。如个别项目二志愿没有合格生源,则跳过该项目继续录取下一顺序项目,直至没有剩余计划或可被调整到的项目为止。剩余计划调整顺序和数量分配表如下: 7.考生若已报名运动训练、武术与民族传统体育、足球运动专业志愿并被录取,不得放弃录取资格,同时不再参加普通高考及高校高水平运动队的录取。 八 其他说明 1.在规定年限内达到毕业要求,颁发南京体育学院本科毕业证书。符合学士学位授予条件的,授予教育学学士学位。 2.考生弄虚作假,或发生考试违规违纪行为,经查实,依据《国家教育考试违规处理办法》和《普通高等学校招生违规处理暂行办法》,取消其考试资格或录取资格,已入学者,取消其入学资格;构成犯罪的,依法追究刑事责任。 3.运动训练、武术与民族传统体育、足球运动专业学生入学后不得转入其他专业学习。 4.收费标准:学费5830元/学年(高尔夫球项目6800元/学年),住宿费500-1500元/学年。 5.本简章内容若与上级有关文件精神相悖,按上级文件精神执行。 6.本招生简章由南京体育学院本科招生办公室负责解释。我校未委托其他任何机构或个人进行运动训练、武术与民族传统体育、足球运动专业招生相关工作。
学校全称:南京体育学院
学校地址:南京市玄武区灵谷寺路8号、南京市栖霞区仙林大道169号
主管部门:江苏省体育局、江苏省教育厅
办学层次:本科
办学类型:公办全日制普通高等学校
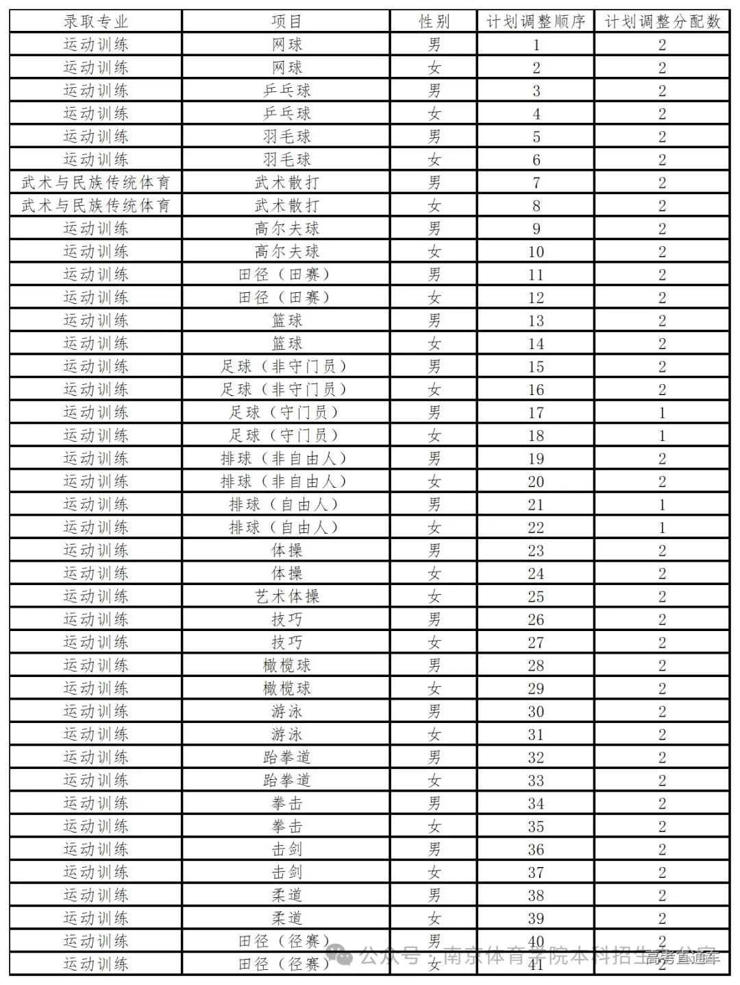
招办电话:025-84755150
招办传真:025-84755150
电子信箱:zsb@nsi.edu.cn
招生网址:https://zs.nsi.edu.cn
监督电话:12388




