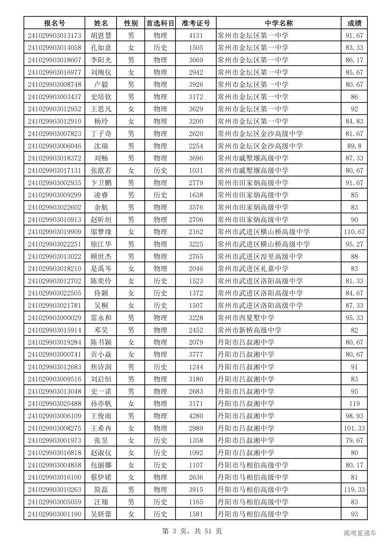
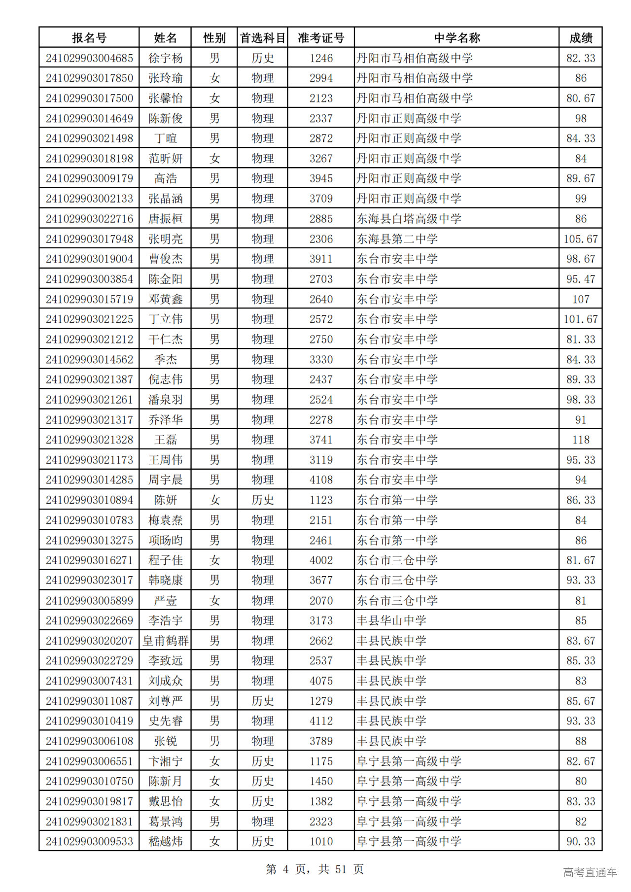
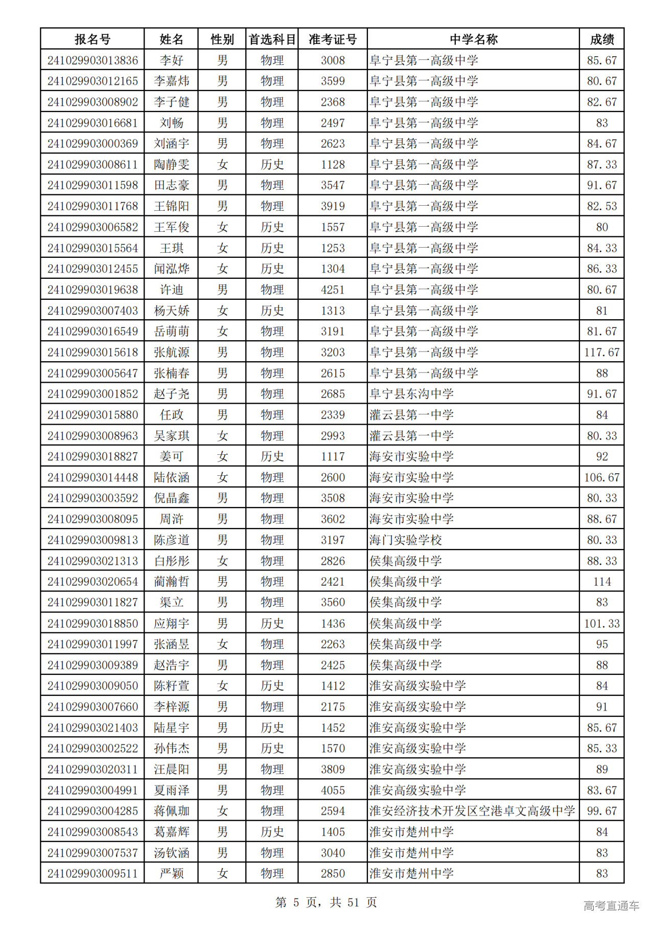
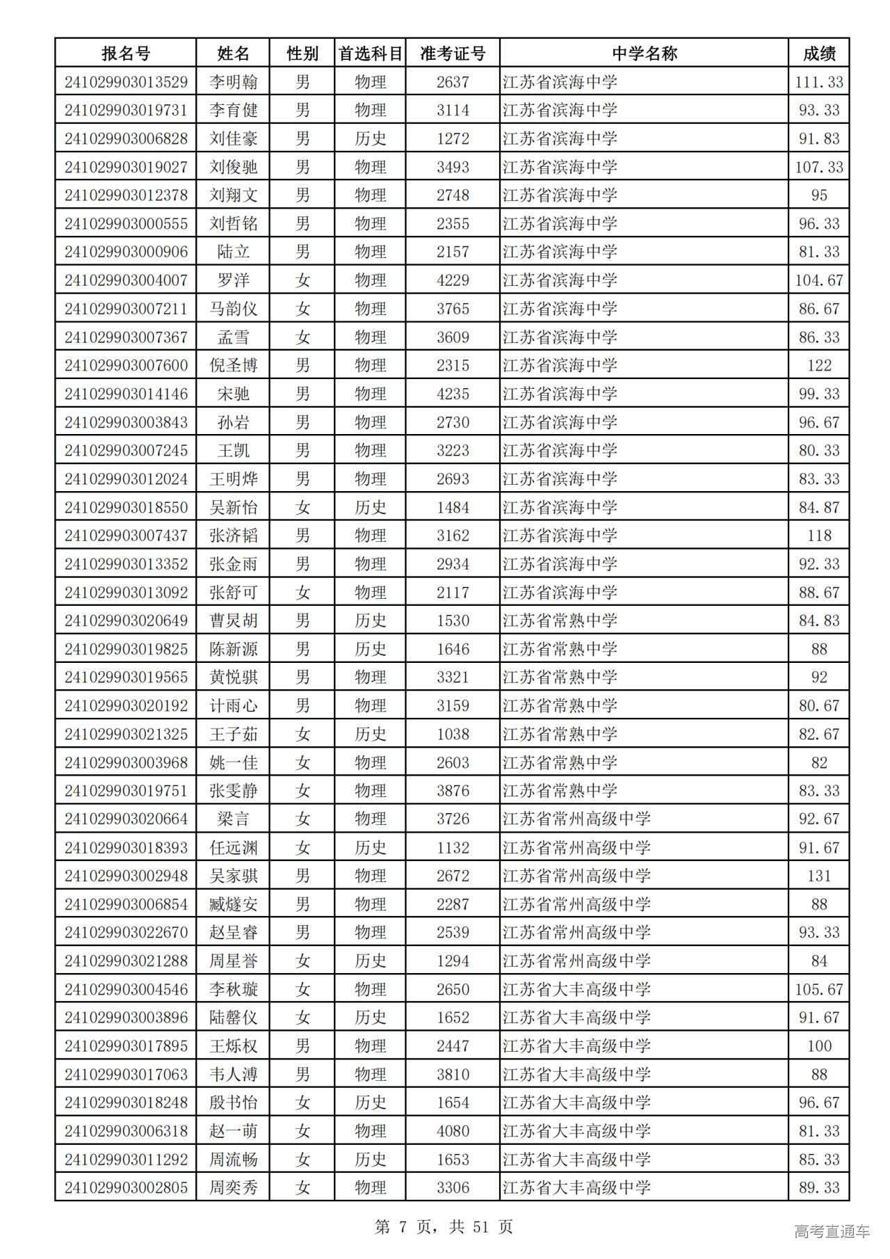
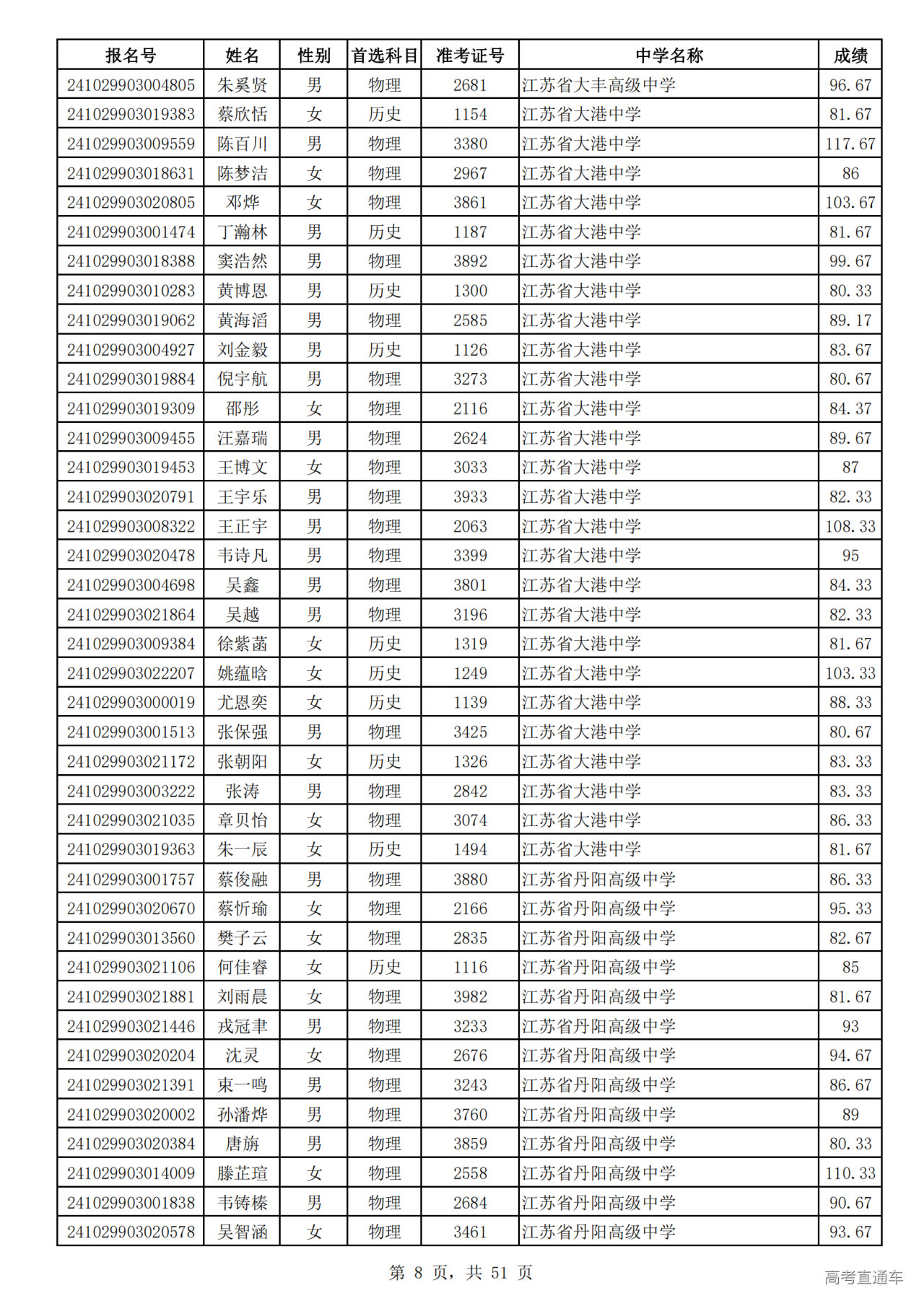
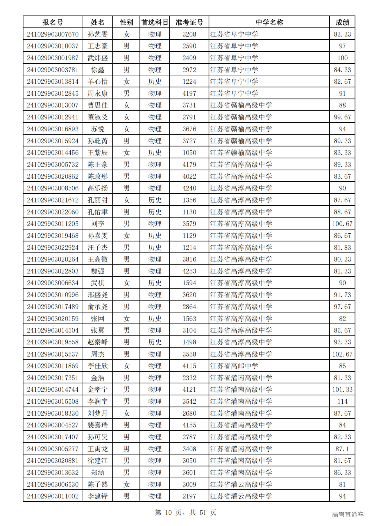
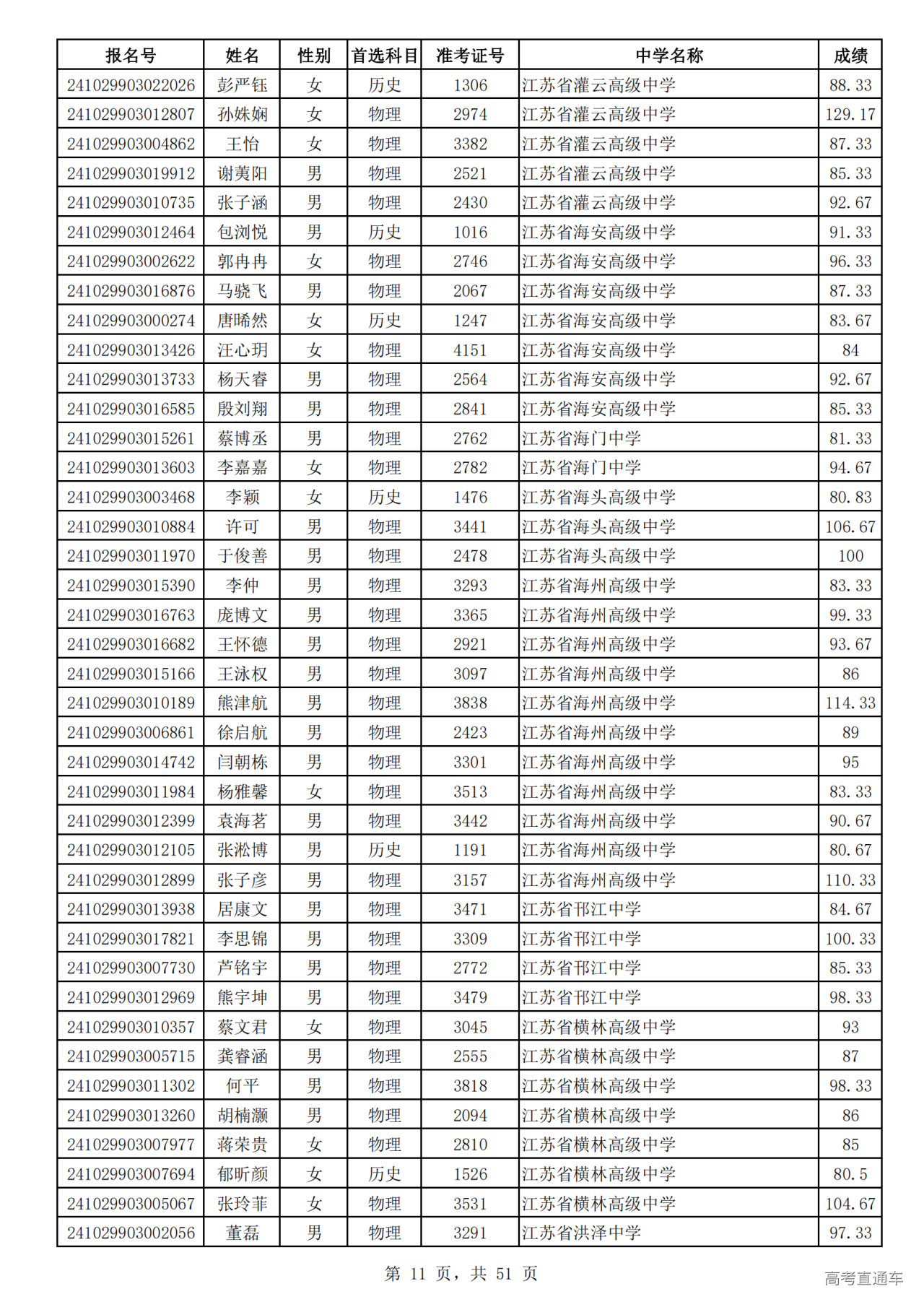
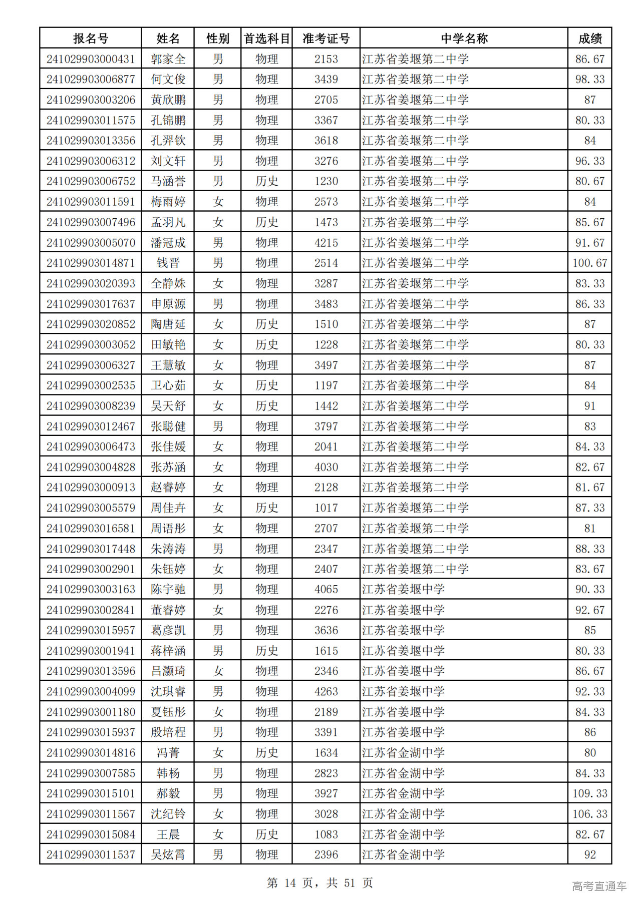
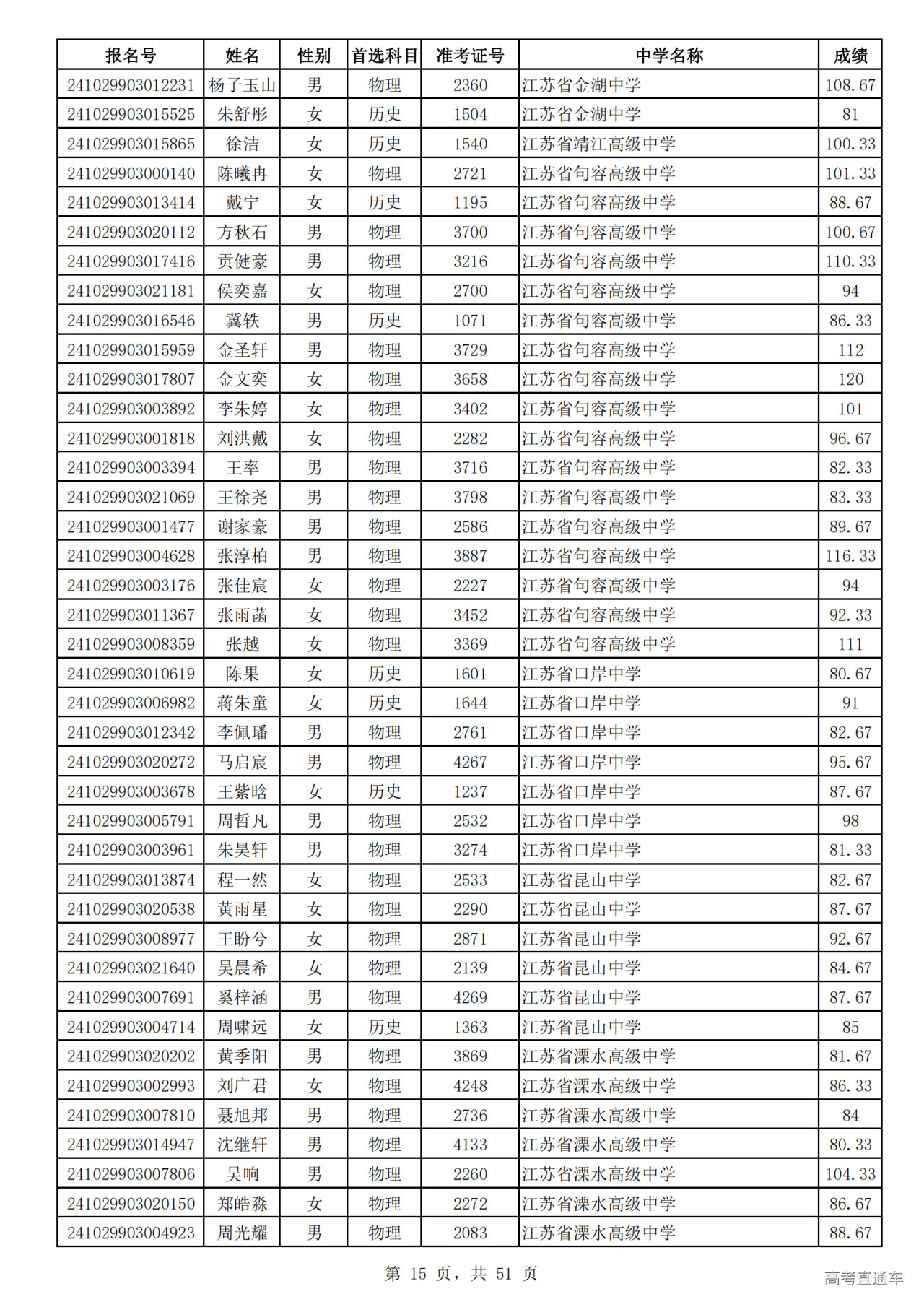
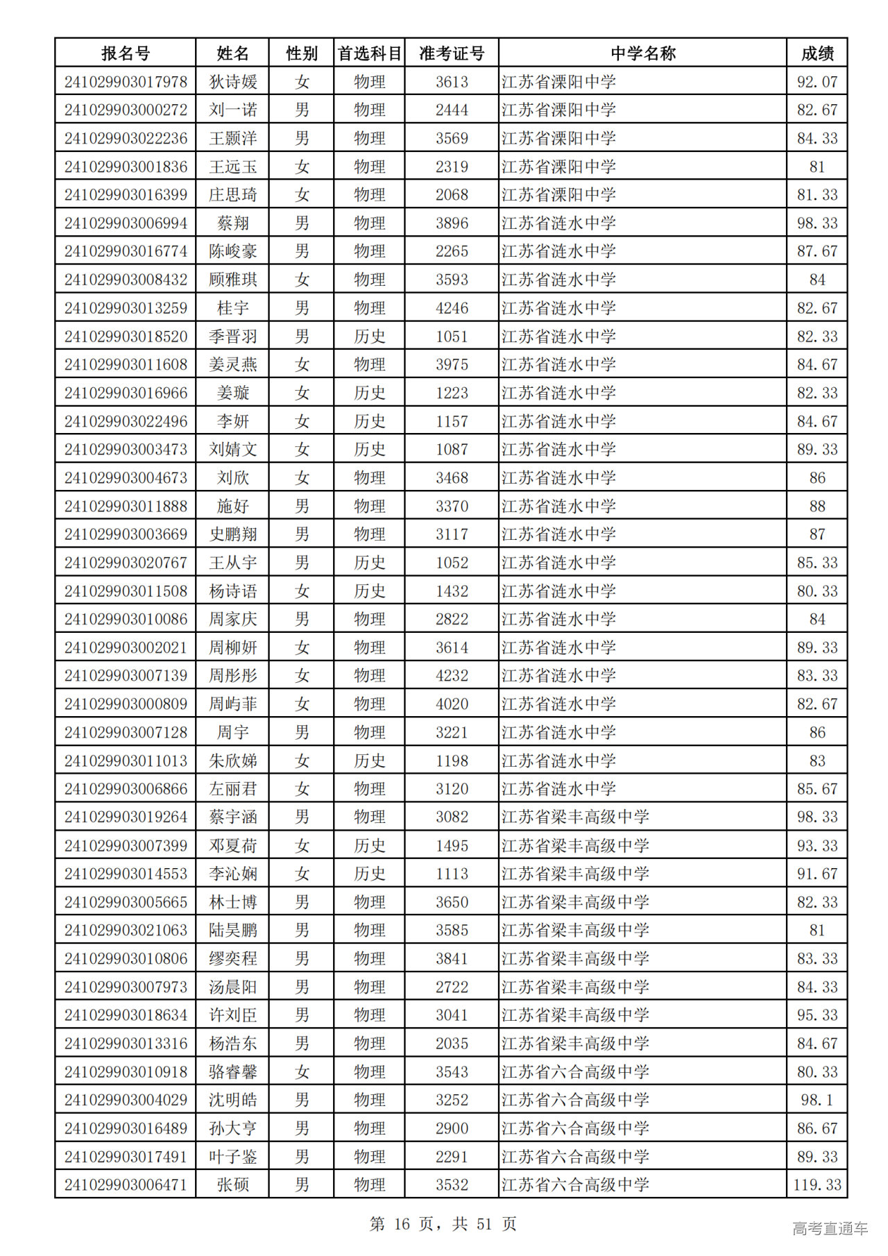
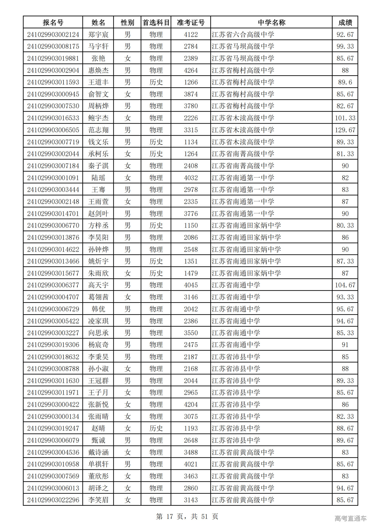
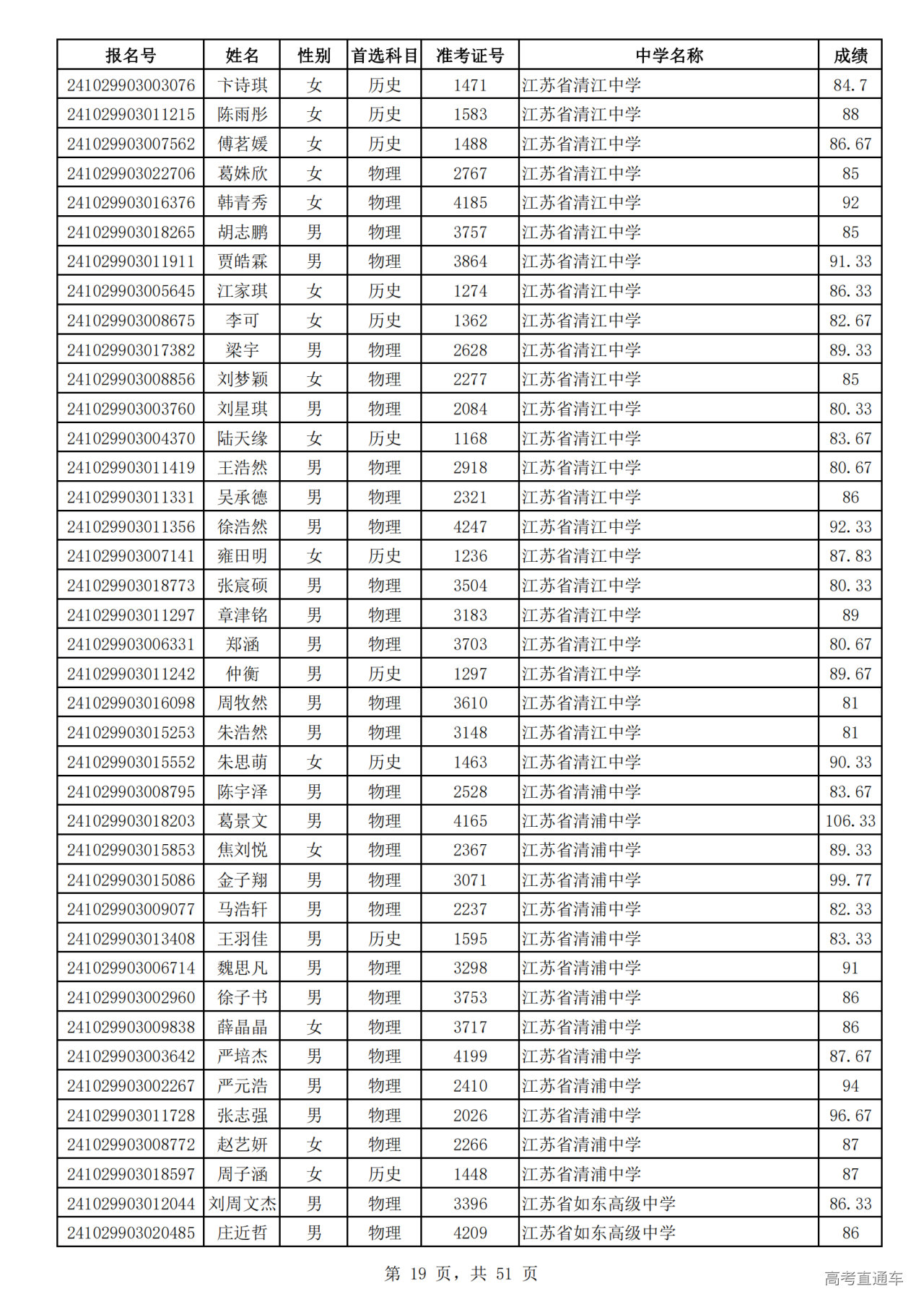
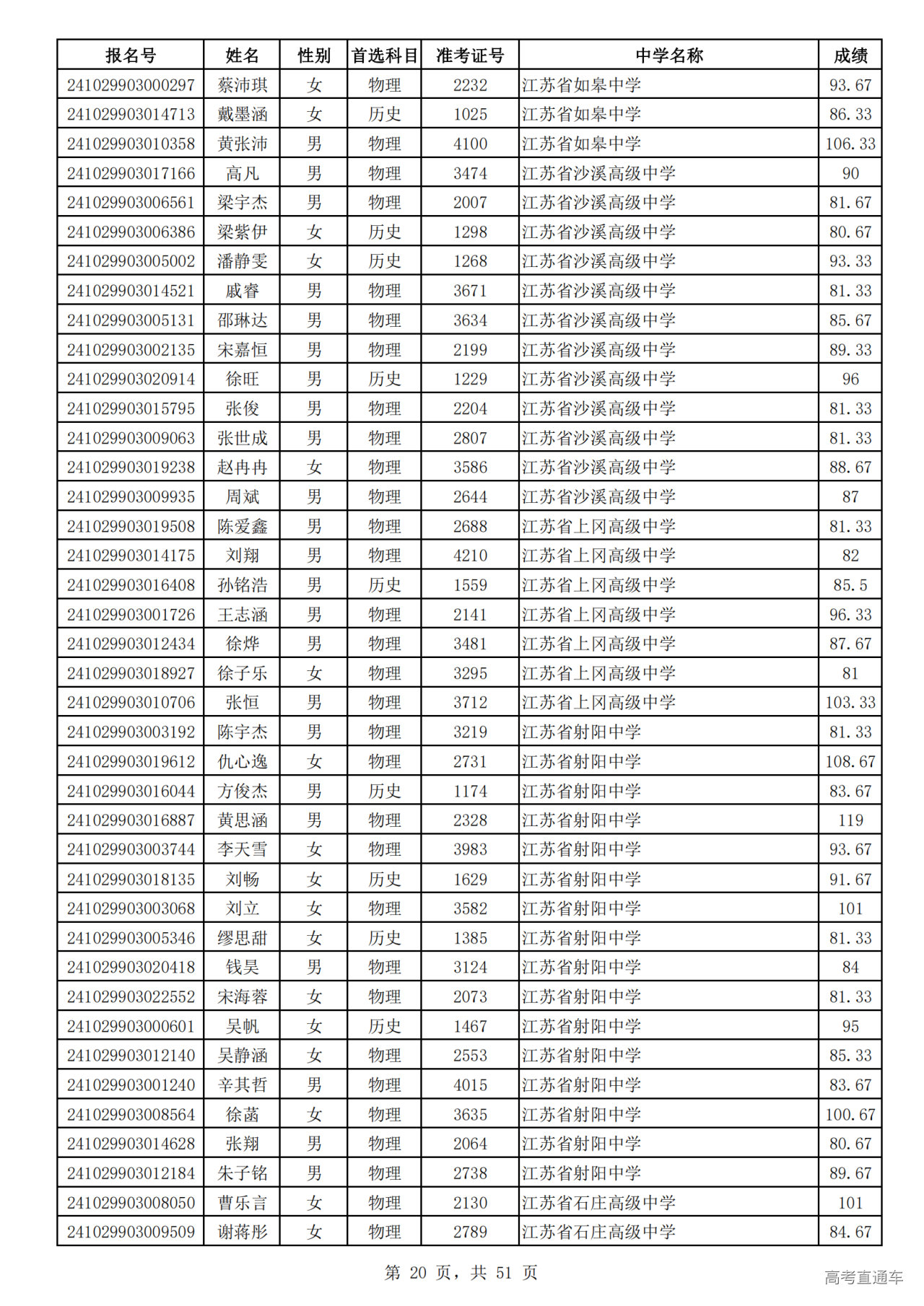
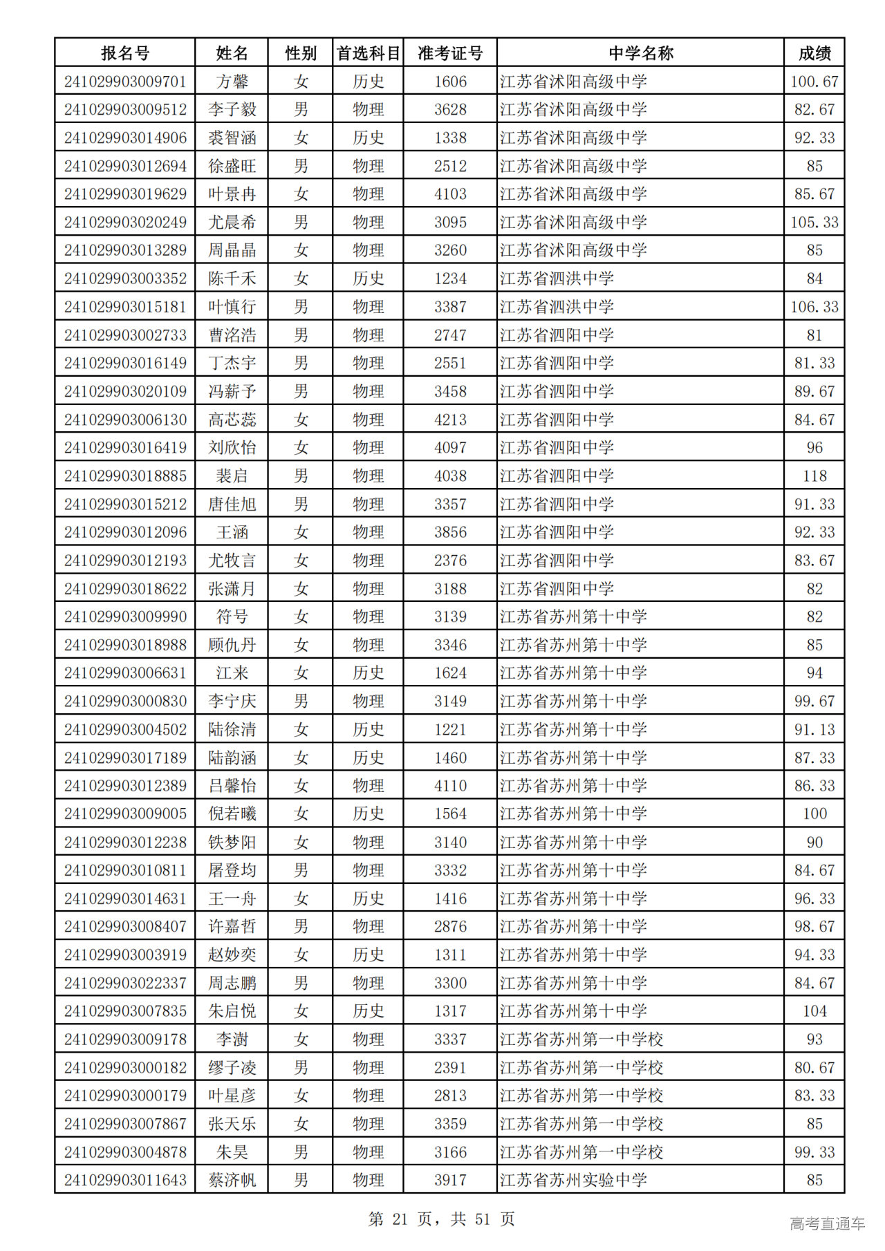
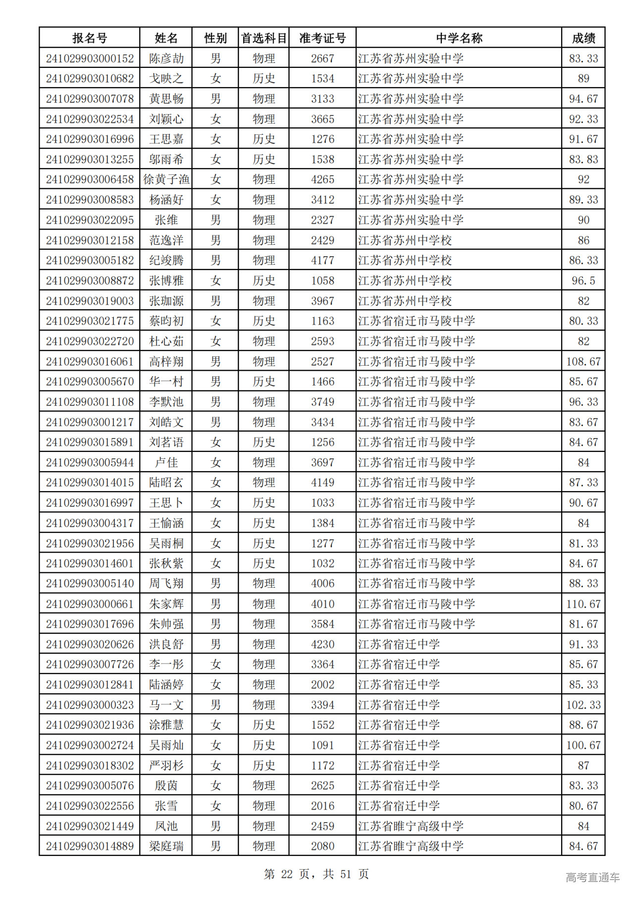
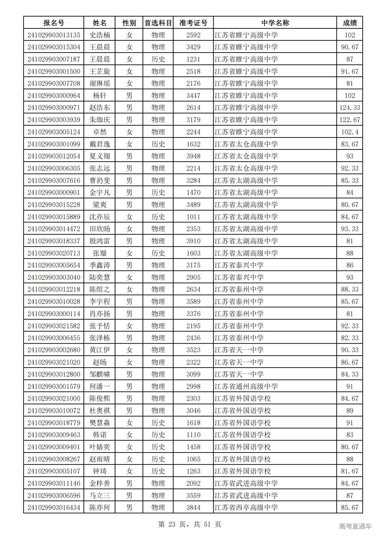
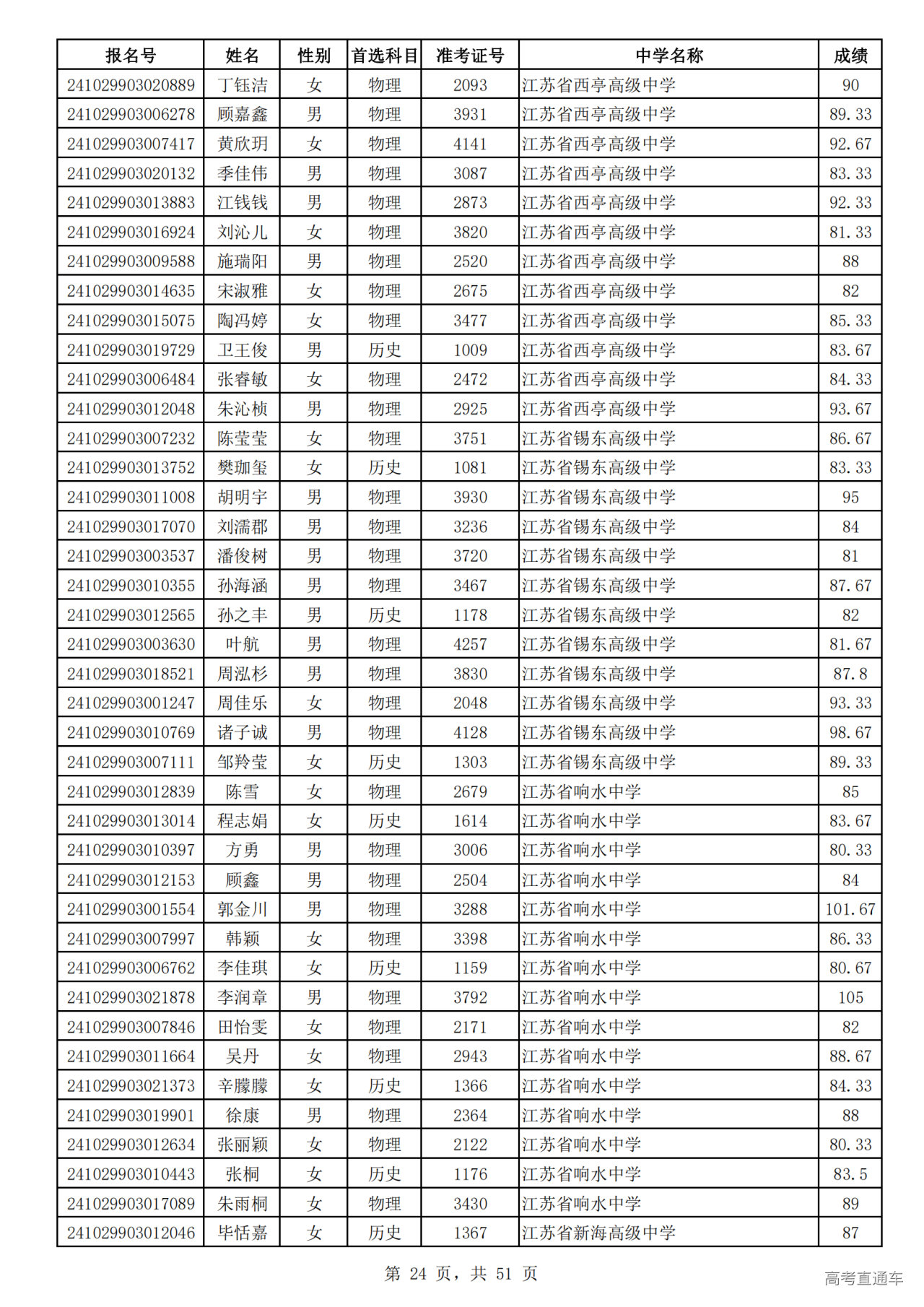
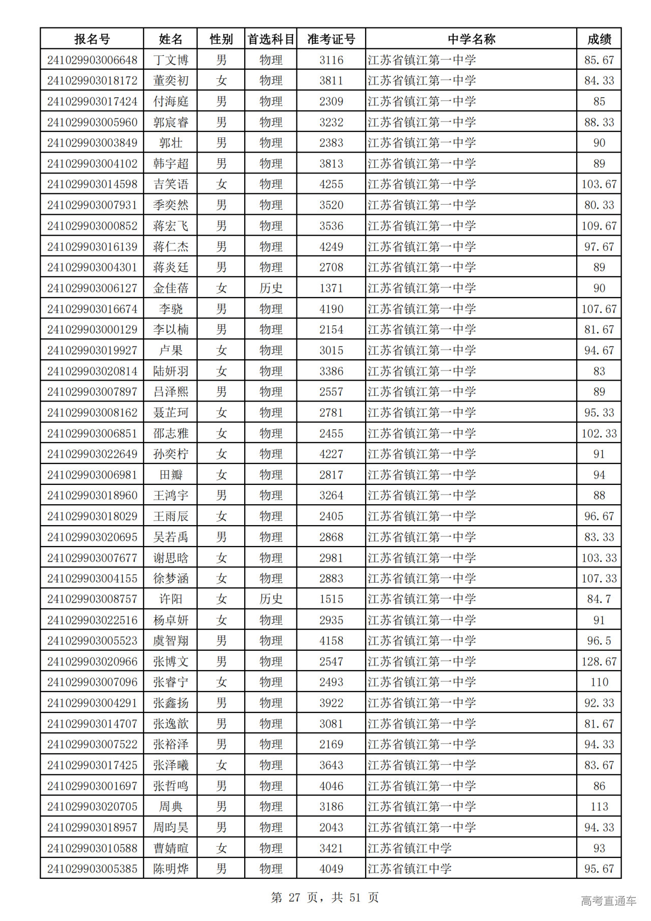
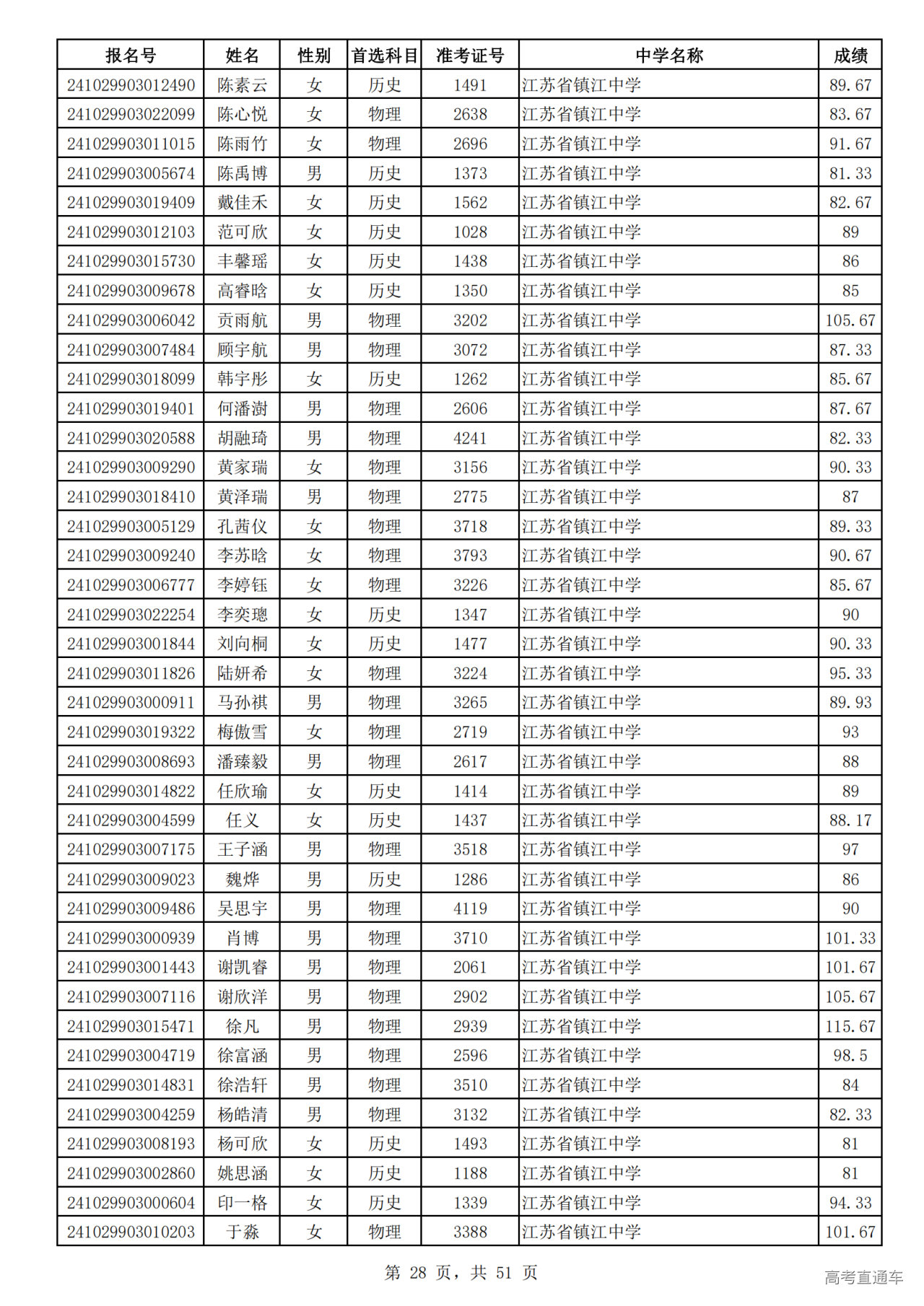
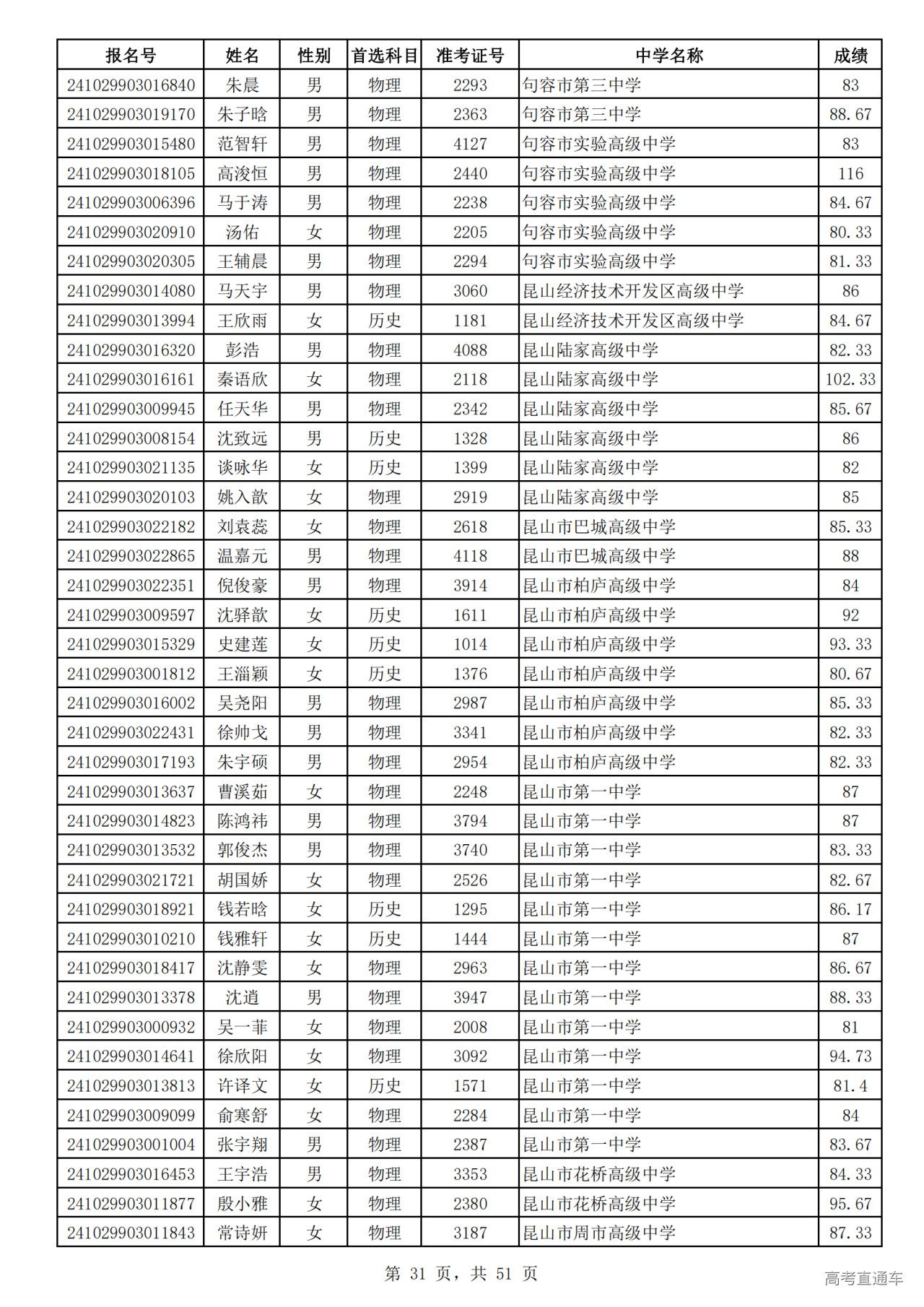
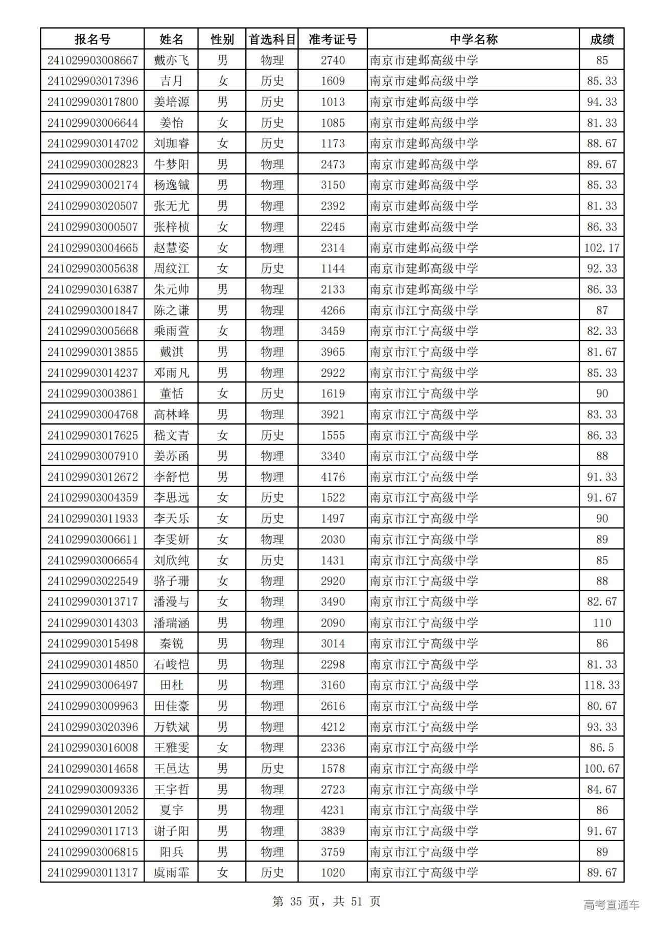
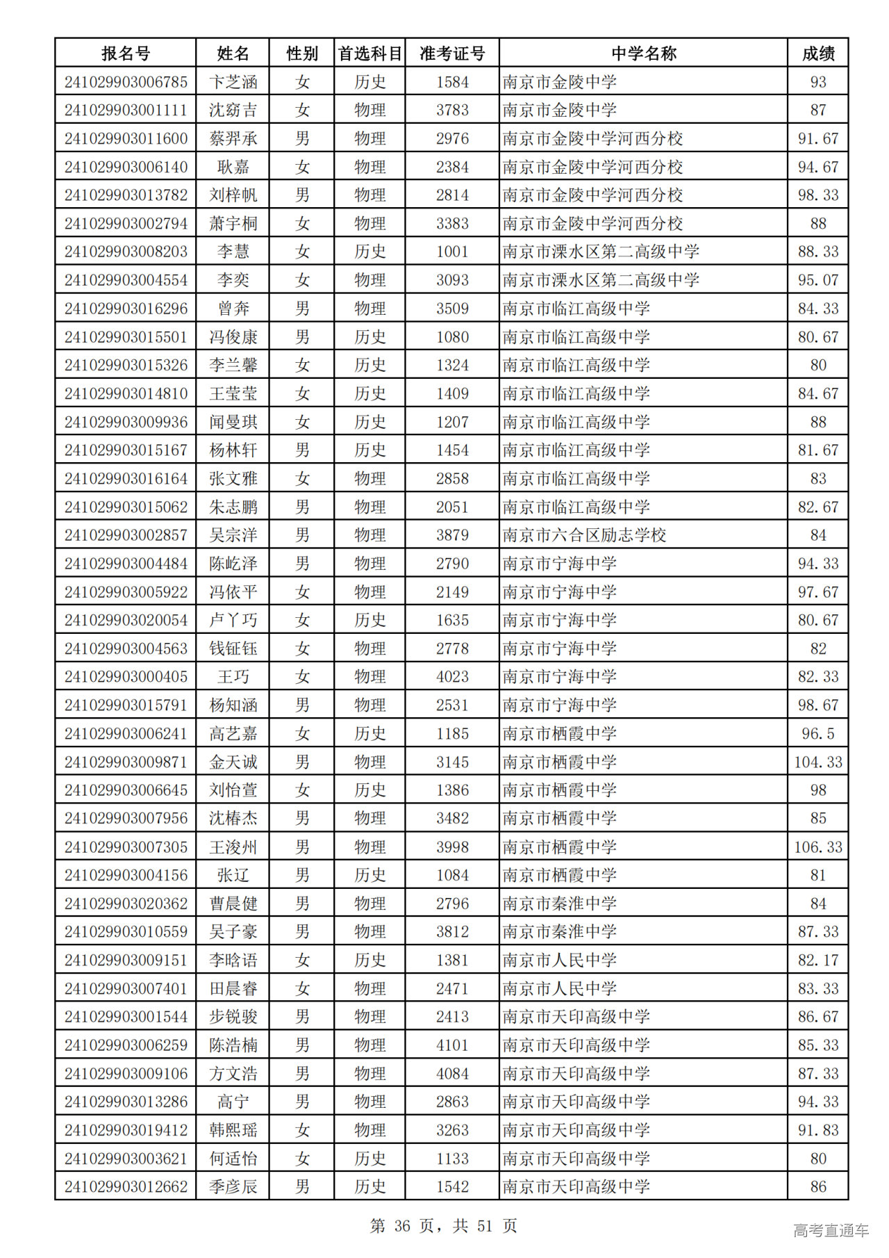
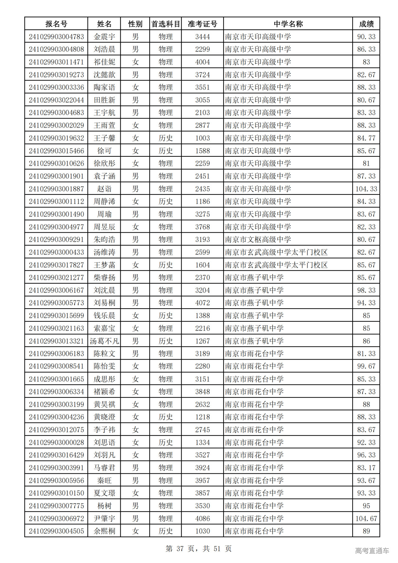
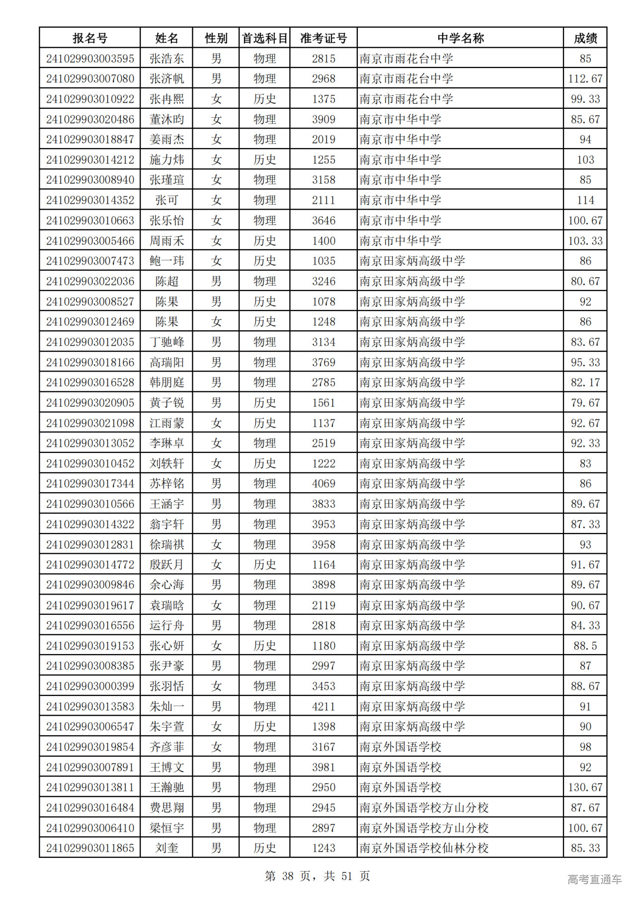
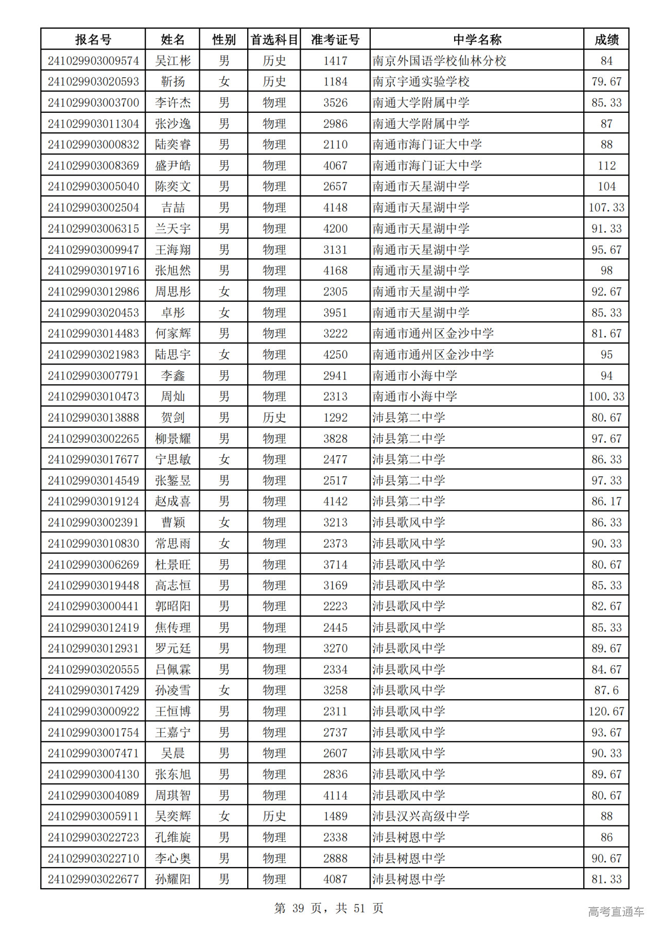
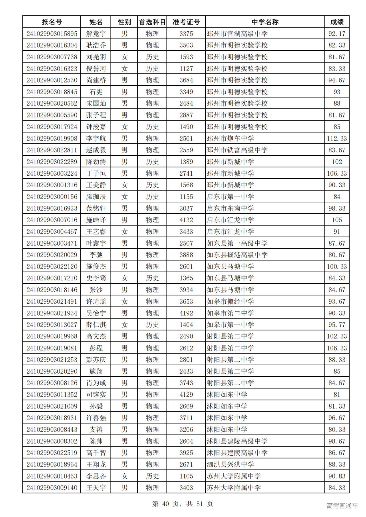
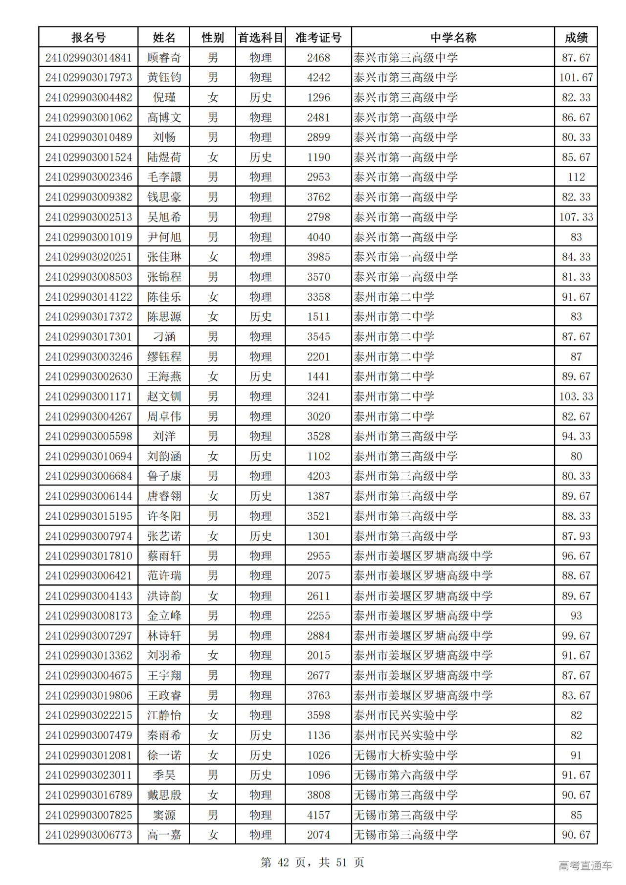
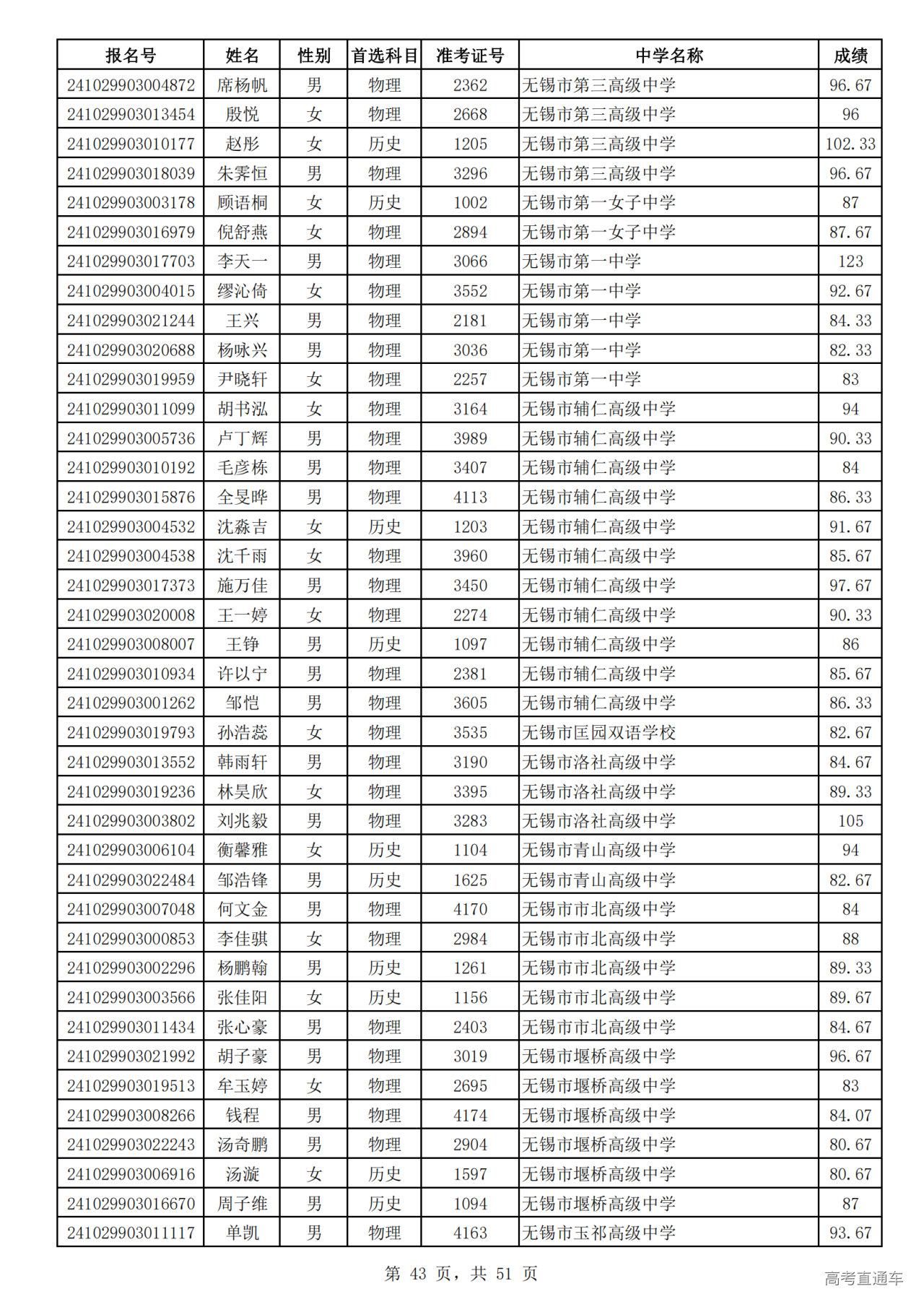
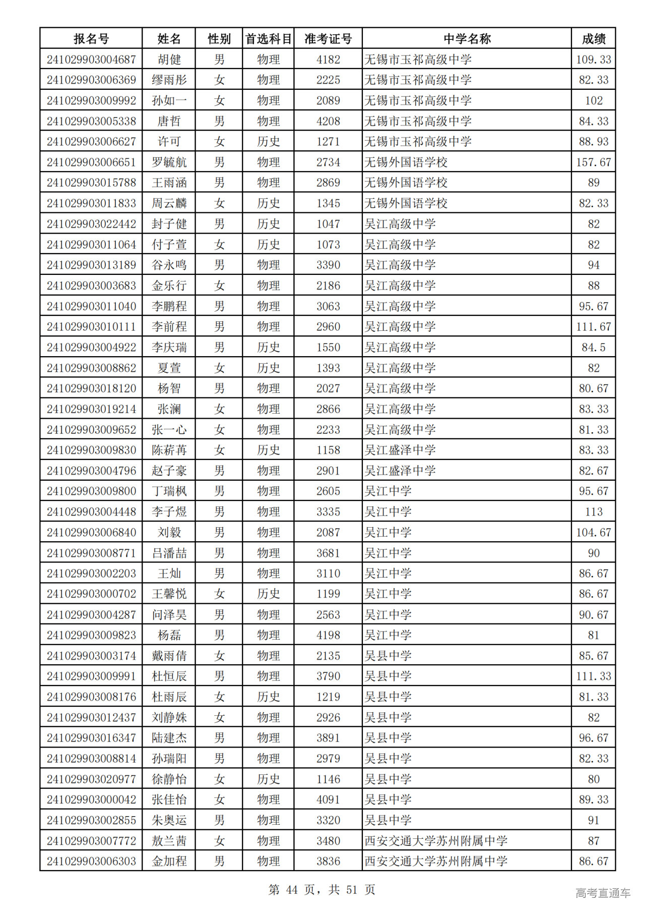
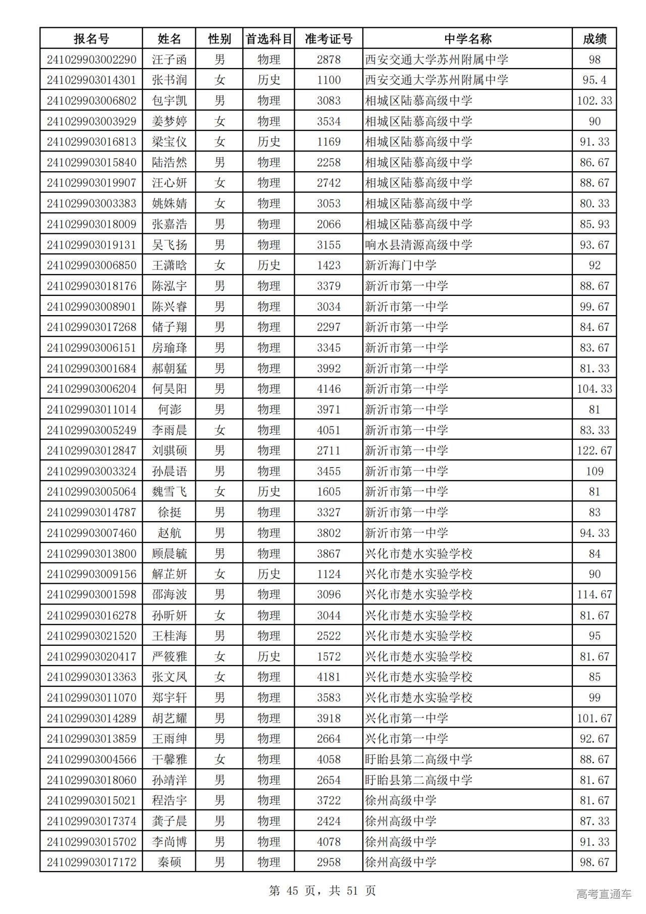
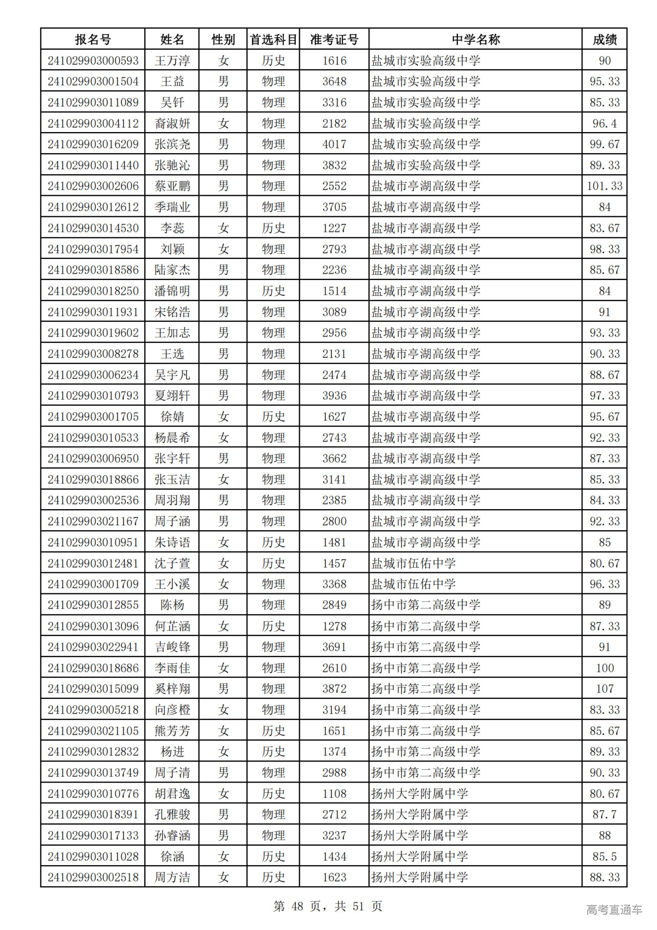
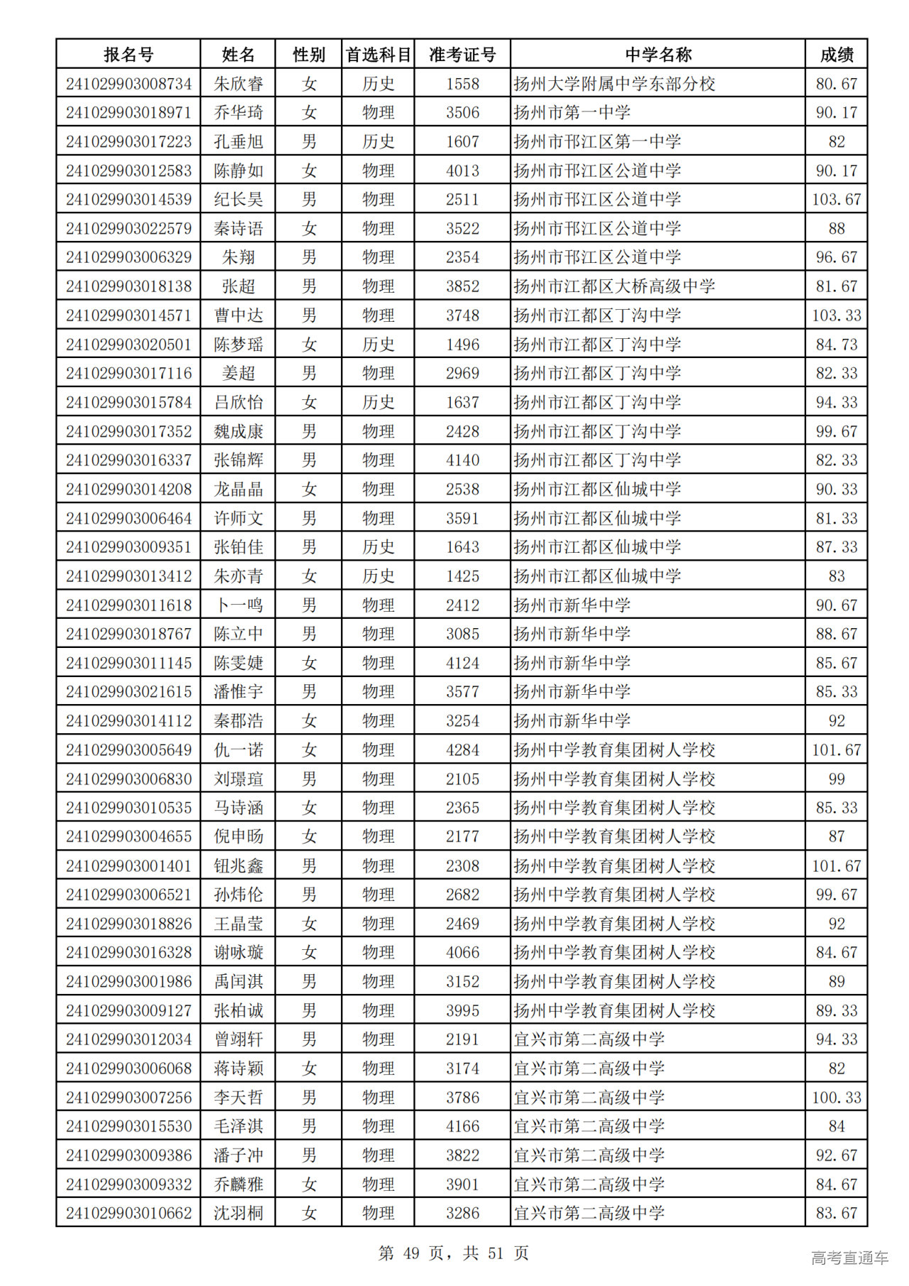
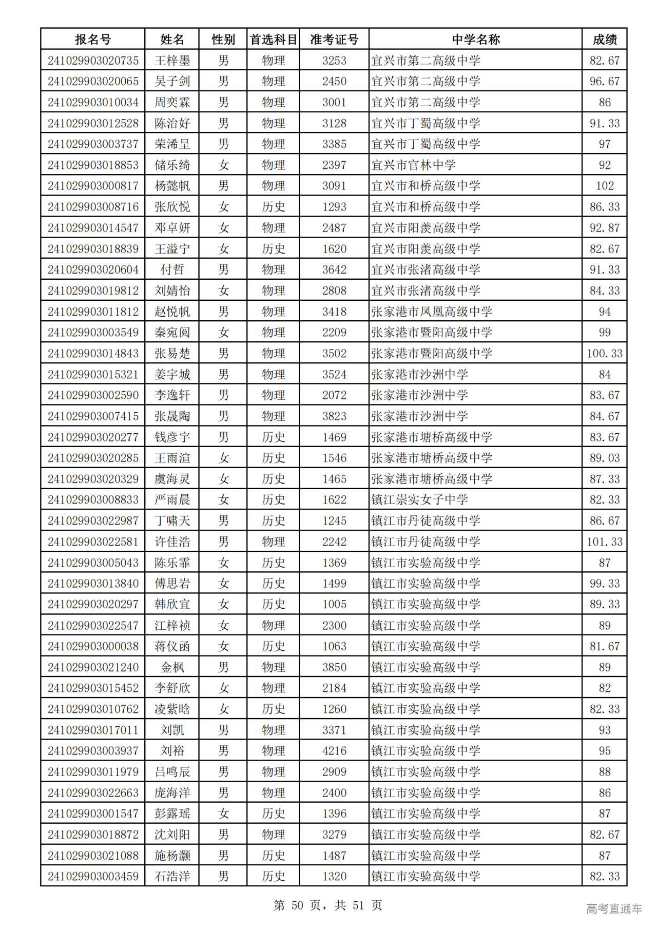
按照教育部、江苏省教育厅有关文件精神以及《江苏大学2024年综合评价招生简章》中的相关规定,根据考生面试成绩及加分,经我校全日制本科生招生工作领导小组审核通过,拟确定陈垲澎等2018名考生取得江苏大学2024年综合评价招生入选资格(见附件1),现予以公示。相关说明如下:
(一)历史类合格线为79.67分,物理类合格线为80.33分,考生可通过报名系统(http://bm.chsi.com.cn)查询成绩。附件中的成绩包括面试成绩和加分。
(二)入选考生名单公示期为2024年6月18日至6月28日。对公示结果如有异议,请于2024年6月28日前以书面形式向我校反映。
(三)江苏大学2024年综合评价招生计划400人,其中历史类90人,物理类310人,具体见附件2。
(四)取得我校综合评价招生入选资格且文化成绩符合要求的考生,须于填报高考志愿规定的时间内登录江苏省教育考试院高考志愿填报系统,在“综合评价招生”专栏中填报我校,所填报的专业须符合学校专业选考科目要求。如在规定时间内,考生未在综合评价招生志愿中填报我校,即视为自动放弃综合评价招生资格。
(五)联系方式
地 址:镇江市学府路301号江苏大学本科生招生办公室
邮政编码:212013
招办电话:0511-88780048
招办传真:0511-88791785
监督电话:0511-88791010
附件:1. 江苏大学2024年综合评价招生入选考生名单.pdf
江苏大学招生办公室
2024年6月18日




















































