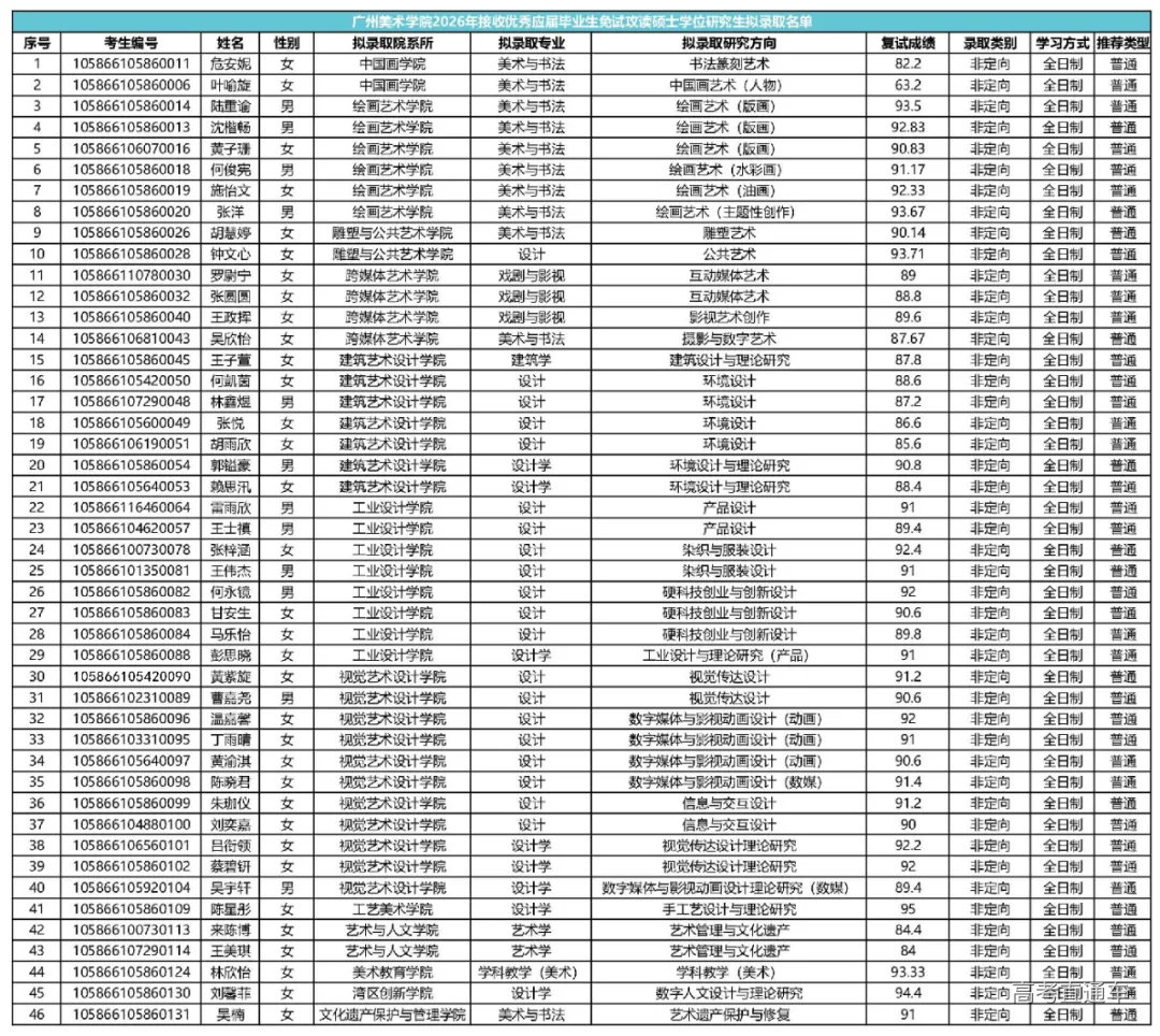
根据《广州美术学院2026年接收优秀应届毕业生免试攻读硕士学位研究生工作办法》、《广州美术学院2026年接收优秀应届毕业生免试攻读硕士学位研究生复试工作安排》,综合审查考生的报名资料、复试成绩、体检结果、思想政治品德考核情况,拟录取46名推免生为我校2026年硕士研究生,并报教育部审核,最终录取结果以教育部录取检查审核通过为准。拟录取名单公示如下:
查看完整试题
登录查看完整试题答案
阅读数:349
特别声明:
1. 本站注明稿件来源为其他媒体的文/图等稿件均为转载稿,本站转载出于非商业性的教育和科研之目的,并不意味着赞同其观点或证实其内容的真实性。如转载稿涉及版权等问题,请作者在两周内速来电或来函联系,本站根据实际情况会进行下架处理。
2. 任何媒体、网站或个人未经本网协议授权不得转载、链接、转贴或以其他方式复制发表,违者本站将依法追究责任。
1. 本站注明稿件来源为其他媒体的文/图等稿件均为转载稿,本站转载出于非商业性的教育和科研之目的,并不意味着赞同其观点或证实其内容的真实性。如转载稿涉及版权等问题,请作者在两周内速来电或来函联系,本站根据实际情况会进行下架处理。
2. 任何媒体、网站或个人未经本网协议授权不得转载、链接、转贴或以其他方式复制发表,违者本站将依法追究责任。