各位考生:
现将河海大学2022年高水平艺术团初试结果予以公布。
所有完成初试的考生可通过如下方式查询本人初试结果:考生登陆阳光高考特殊类型报名平台,依次点击高水平艺术团—志愿管理—河海大学—查看详情—成绩查询,即可查询本人的初试结果。
根据防疫工作要求,我校2022年高水平艺术团校考复试将采用线上测试,测试平台为小艺帮APP考试系统。线上复试时间为:3月27日12:00—15:00,考生须于3月27日15:00前完成所有测试内容并提交视频。
复试具体内容和要求请见河海大学招生信息网(http://zsw.hhu.edu.cn)将于3月24日发布的《河海大学2022年高水平艺术团线上复试须知》。
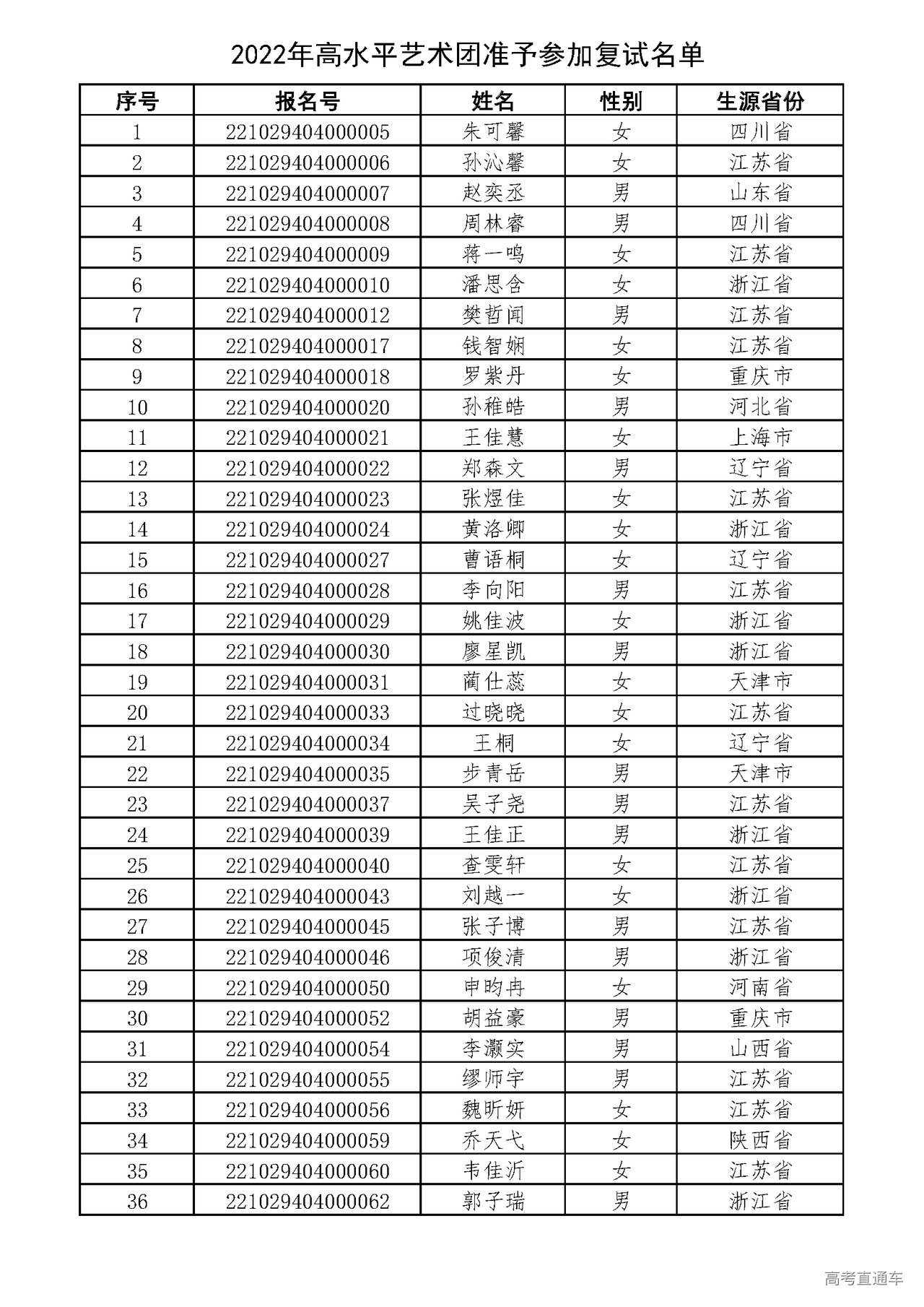
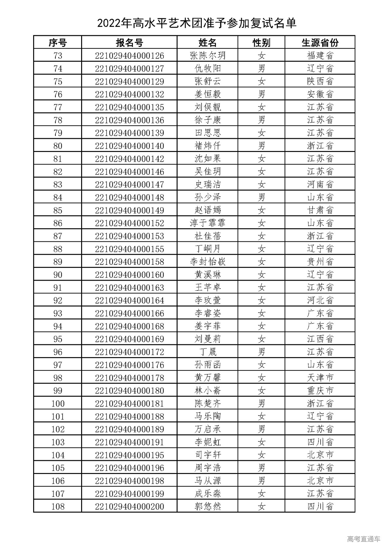
附件:
河海大学本科招办
2022年3月18日



