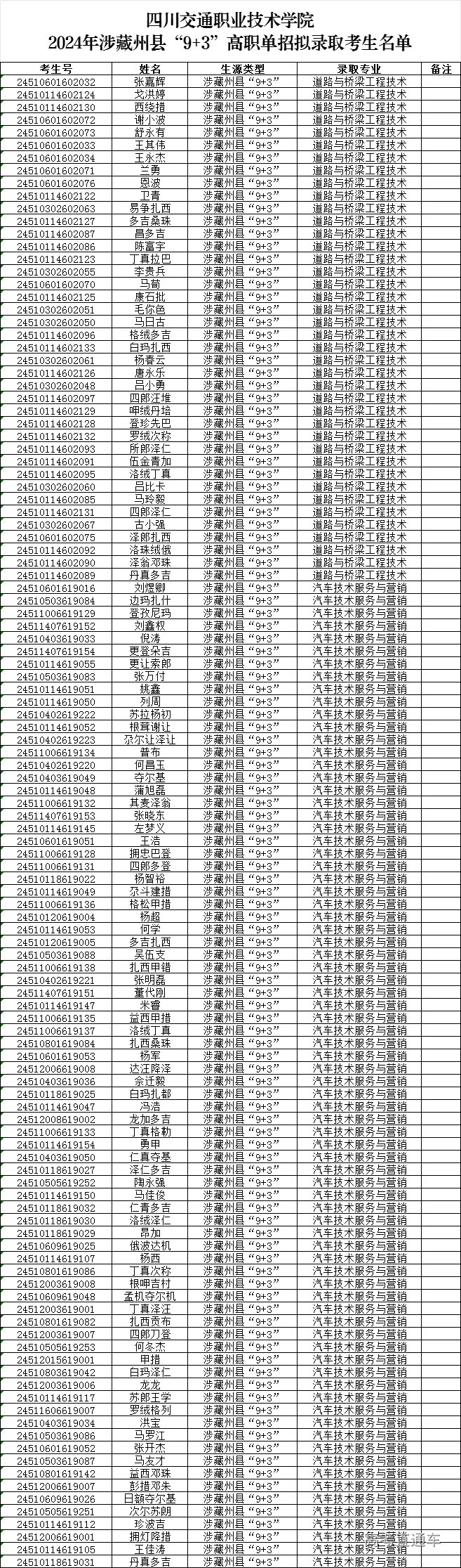
四川交通职业技术学院2024年“9+3”高职单招录取分数线及拟录取名单公示
一、涉藏州县“9+3”单独招生录取分数线
专业名称 | 最低分 |
道路与桥梁工程技术 | 127 |
汽车检测与维修技术 | 117 |
二、大小凉山彝区县“9+3”单独招生录取分数线
专业名称 | 最低分 |
道路与桥梁工程技术 | 106 |
交通运营管理 | 141 |
汽车检测与维修技术 | 100 |
现代物流管理 | 155 |
三、注意事项
(一)根据我院录取规则,如总分相同,则依次比较技能测试、德育、语文、数学成绩。
(二)愿意自动放弃录取资格的考生,须本人持二代身份证原件于4月26日下午15点前,到我院现场签署放弃录取资格声明,逾期不再办理。
四川交通职业技术学院
2024年4月22日

