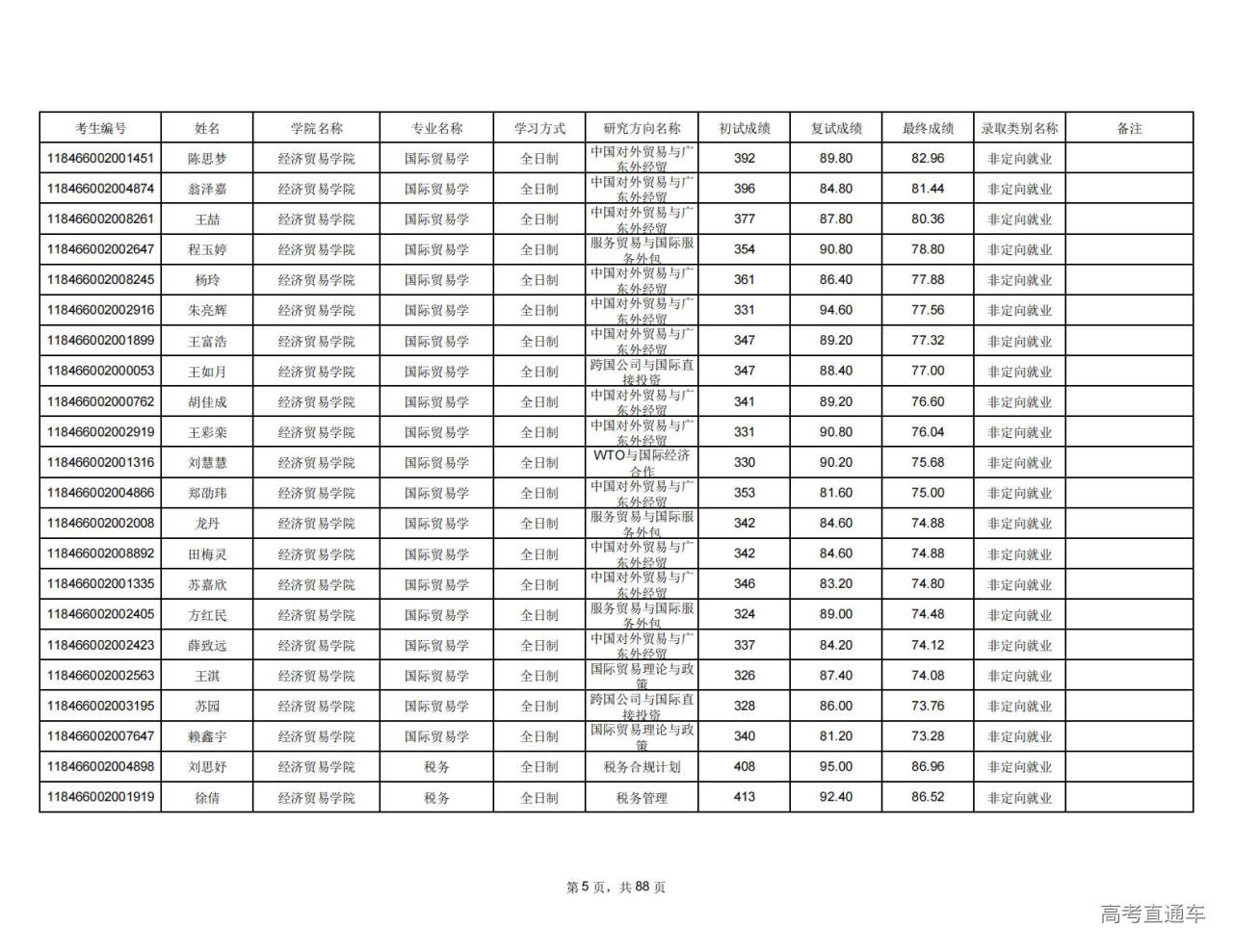
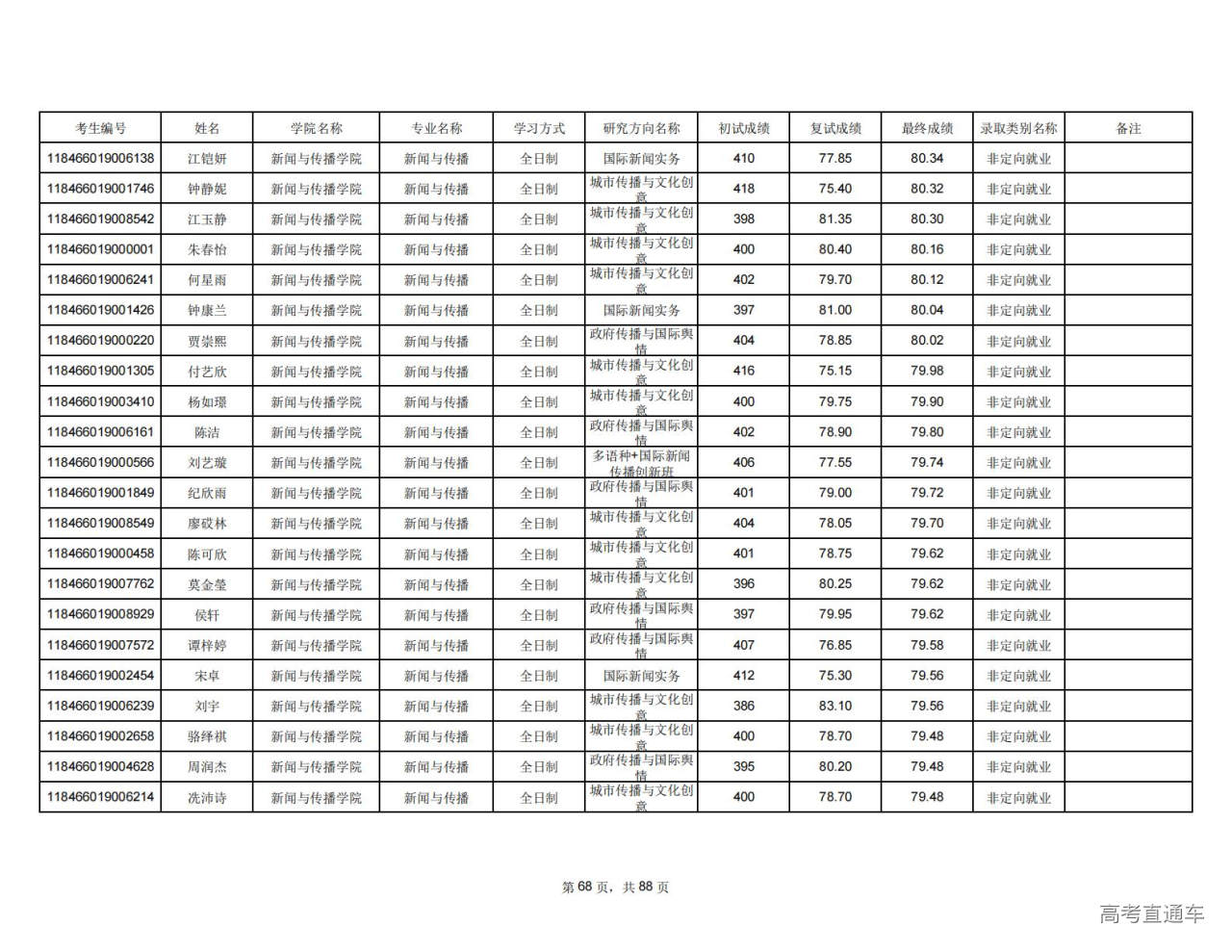
按照教育部和广东省教育考试院的相关要求,我校开展了2026年硕士研究生招生录取工作,现将我校硕士研究生统考拟录取名单(第一批)予以公示。
2026年硕士研究生统考拟录取名单(第一批,见附件)公示时间:2026年3月26日—4月1日
若对公示结果有异议,请电话、书面或电子邮件向学校反映,反映情况时应实名,有具体事实;不签署真实姓名或不提供具体事实材料的,不予受理。
联系方式:
广东外语外贸大学研究生院招生办
020-36207044,020-36773606
邮箱:yanjiusheng@mail.gdufs.edu.cn
注:
1.考生可登录我校研究生招生系统(网址:https://yanzhao.gdufs.edu.cn/kspt/)查询复试成绩。
2.请考生及时留意我校研究生招生信息网后续相关通知。
广东外语外贸大学研究生院
2026年3月26日
附件可下载:
广东外语外贸大学2026年硕士统考拟录取名单(第一批).pdf
附件:























































































