赣南师范大学2023年运动训练专业拟录考生名单公示

2023-05-19 17:20 赣南师范大学 评论
赣南师范大学
江西赣州市-公办-师范类
查看详情

根据《2023年普通高等学校运动训练、武术与民族传统体育专业招生管理办法》(体科字[2022]224号)和《赣南师范大学2023年运动训练专业招生简章》等有关规定,经学校招生工作领导小组审定,现对我校2023年运动训练专业拟录取考生名单予以公示。

一、项目执行计划数和录取线

图片

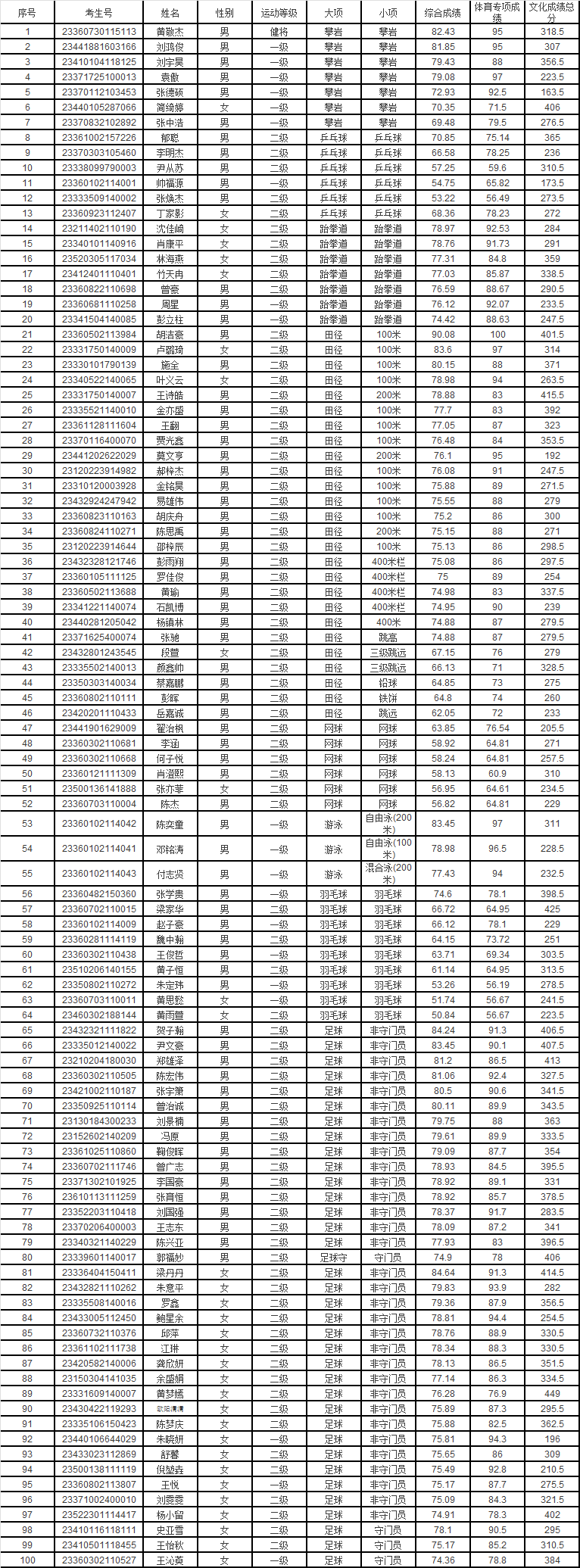
二、拟录取名单

图片

名单公示期自2023年5月18日至5月24日。在公示期内,任何单位和个人均可通过来信、来电、来访的形式反映公示对象存在的问题。以单位反映问题的应加盖公章,以个人名义反映问题的提倡署报本人真实姓名。电话:0797-8393638(招生办),0797-8393623(纪委、监察专员办公室)。
拟录名单公示通过后,我校将报国家体育总局和生源所在省级招生办公室审批备案后,最终确定录取考生名单。
                 赣南师范大学招生就业处
                 2023年5月18日


登录高考直通车APP
查看完整试题答案
好的
查看完整试题
特别声明:
1. 本站注明稿件来源为其他媒体的文/图等稿件均为转载稿,本站转载出于非商业性的教育和科研之目的,并不意味着赞同其观点或证实其内容的真实性。如转载稿涉及版权等问题,请作者在两周内速来电或来函联系,本站根据实际情况会进行下架处理。
2. 任何媒体、网站或个人未经本网协议授权不得转载、链接、转贴或以其他方式复制发表,违者本站将依法追究责任。
举报理由选择
确定
高考直通车官网

哇哦!快加入高考直通车APP,发现更多精彩内容,与学霸一起交流学习吧!