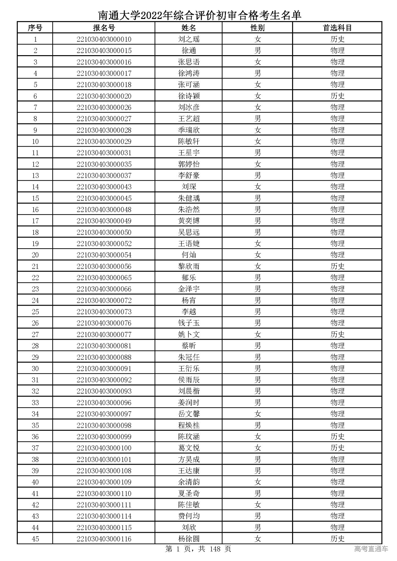
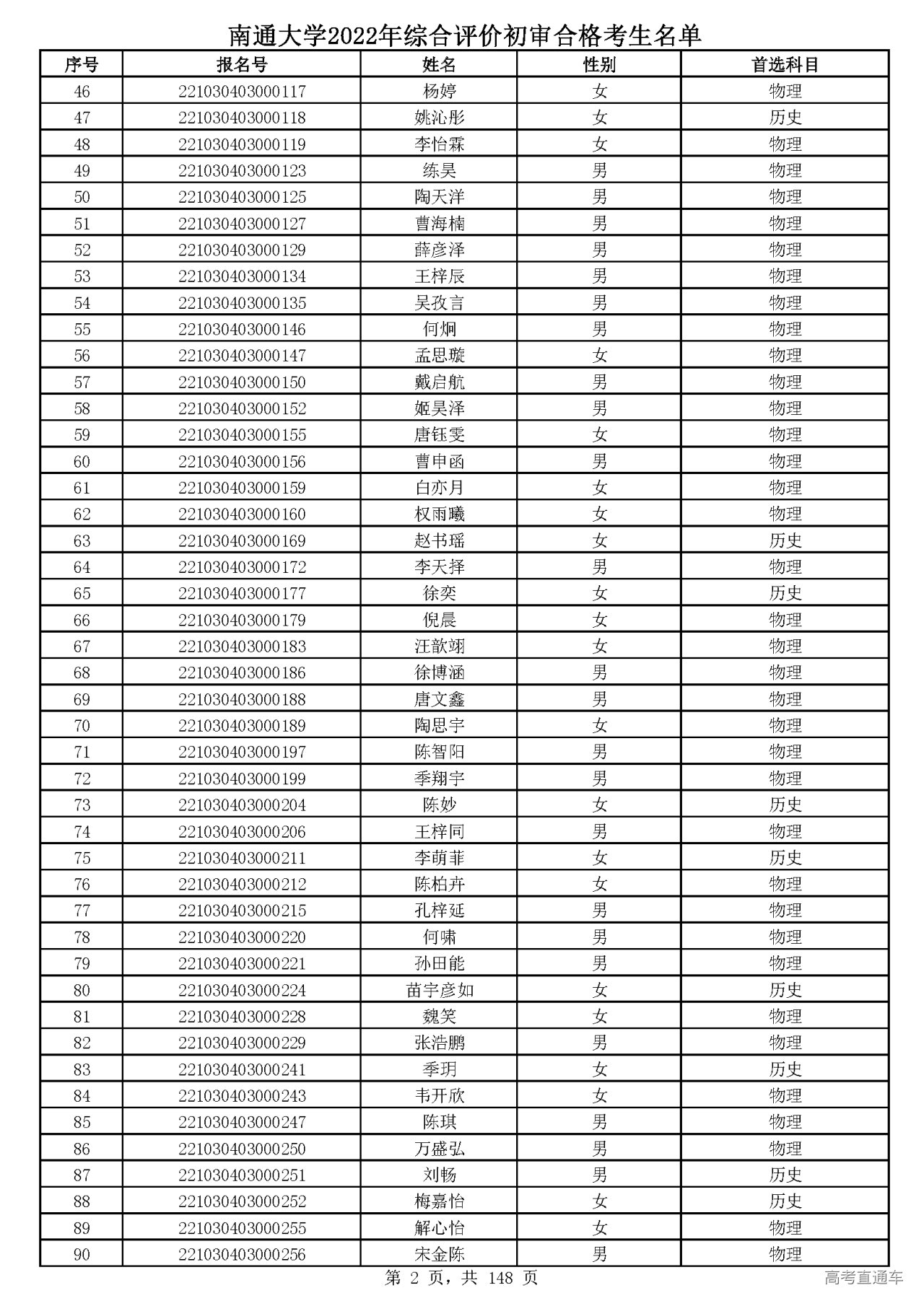
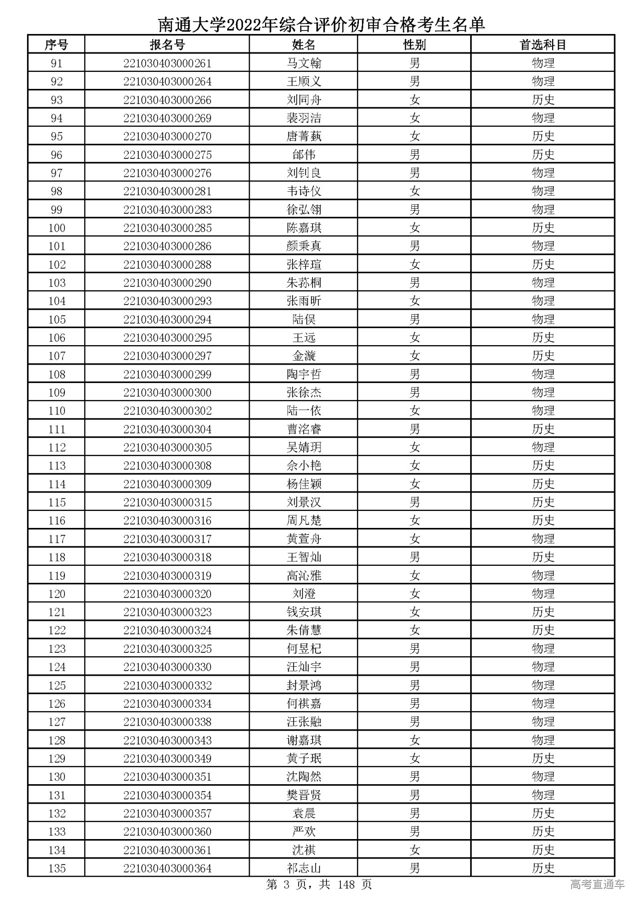
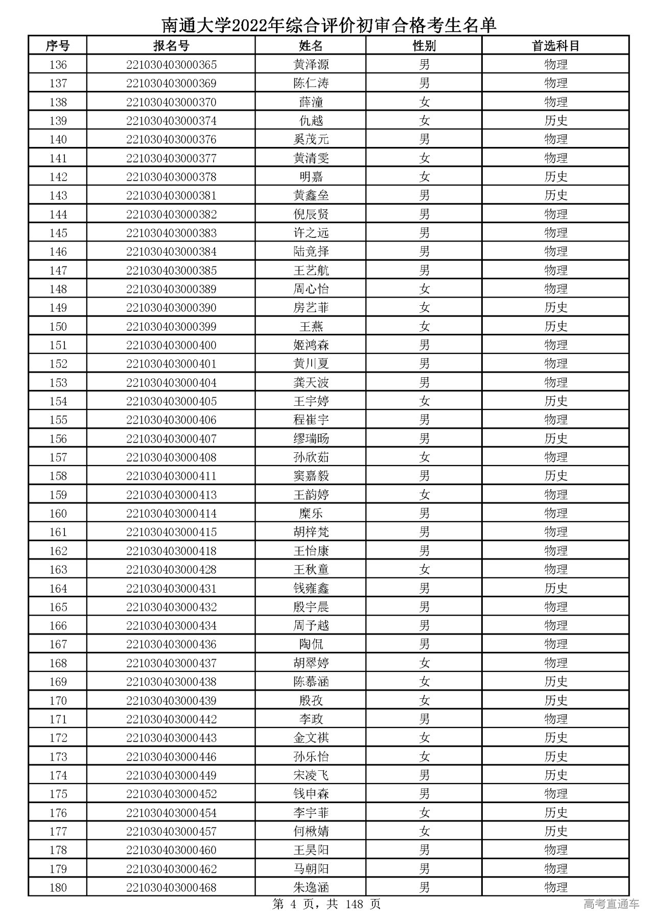
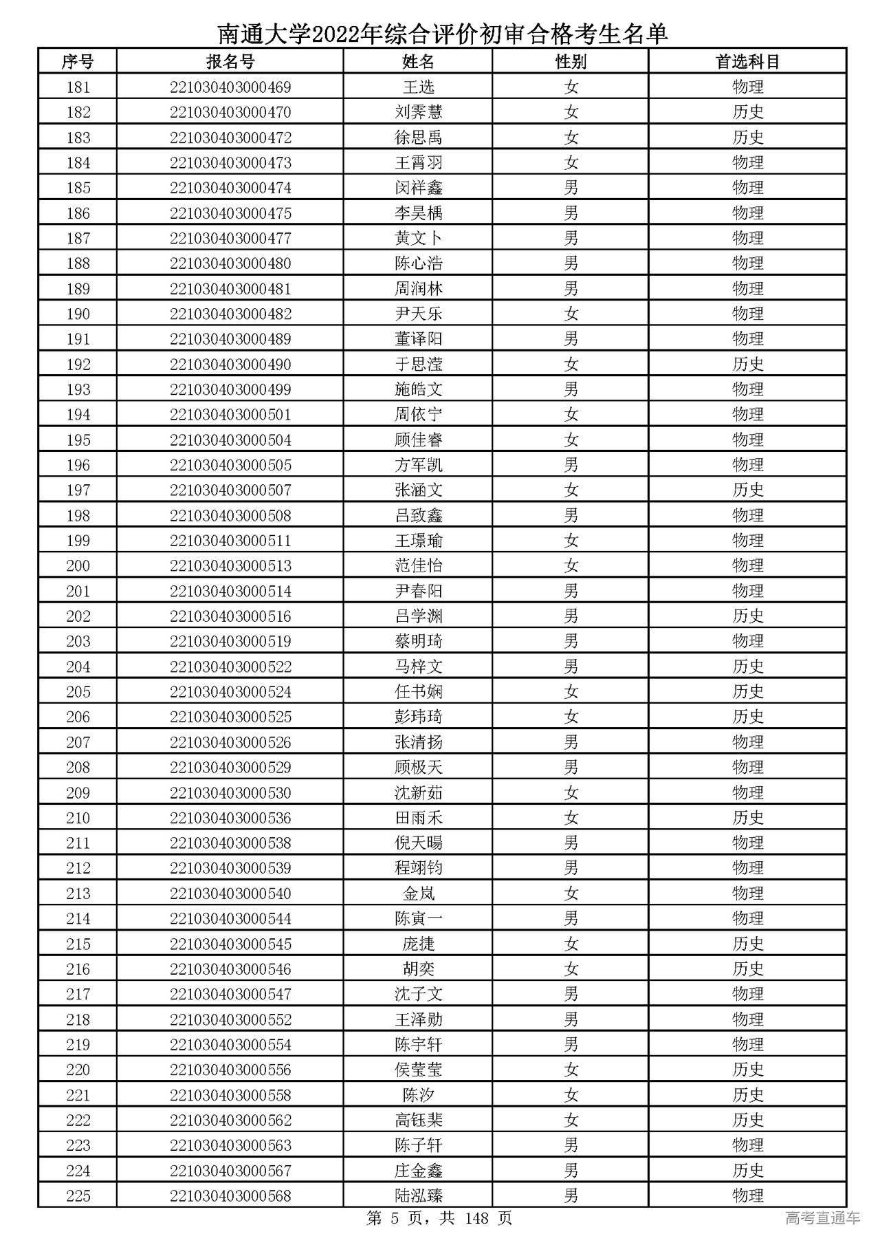
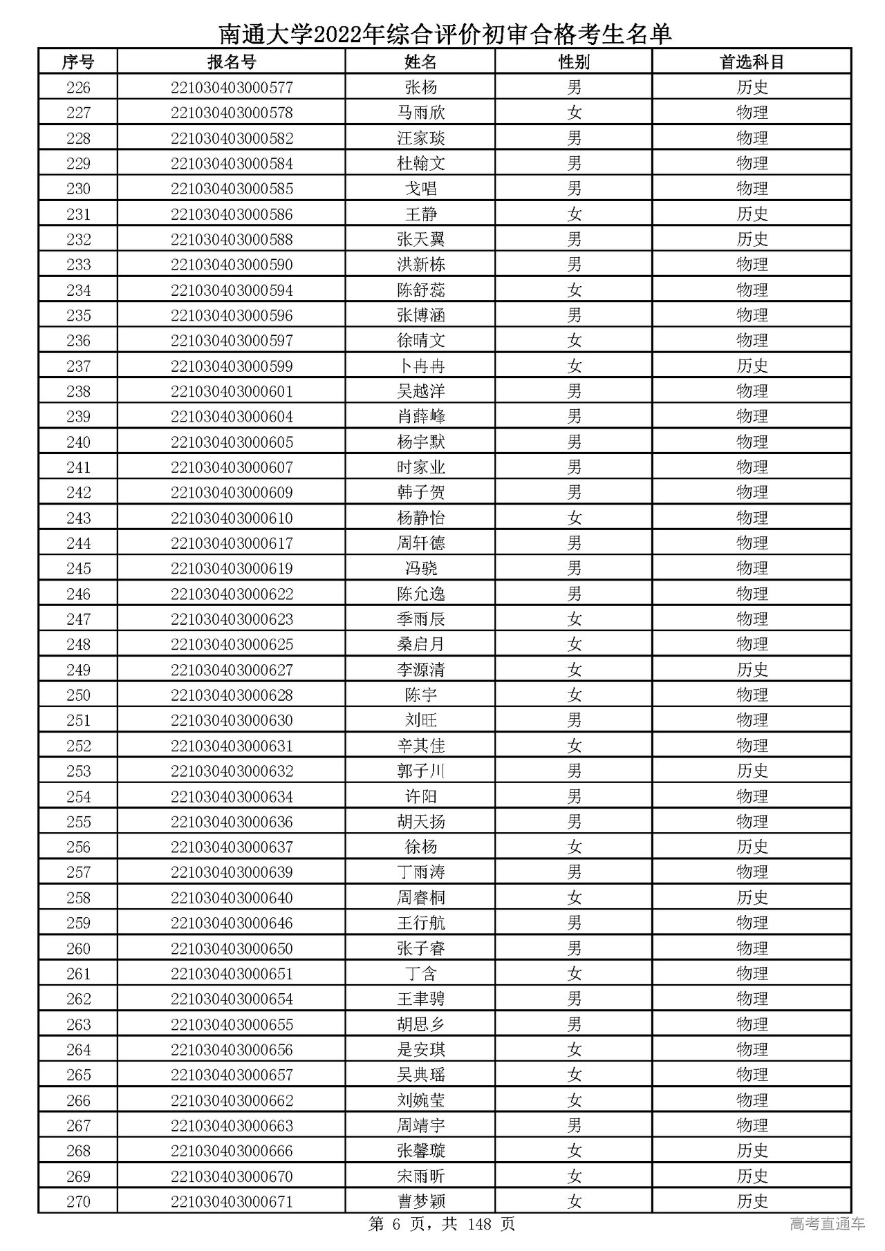
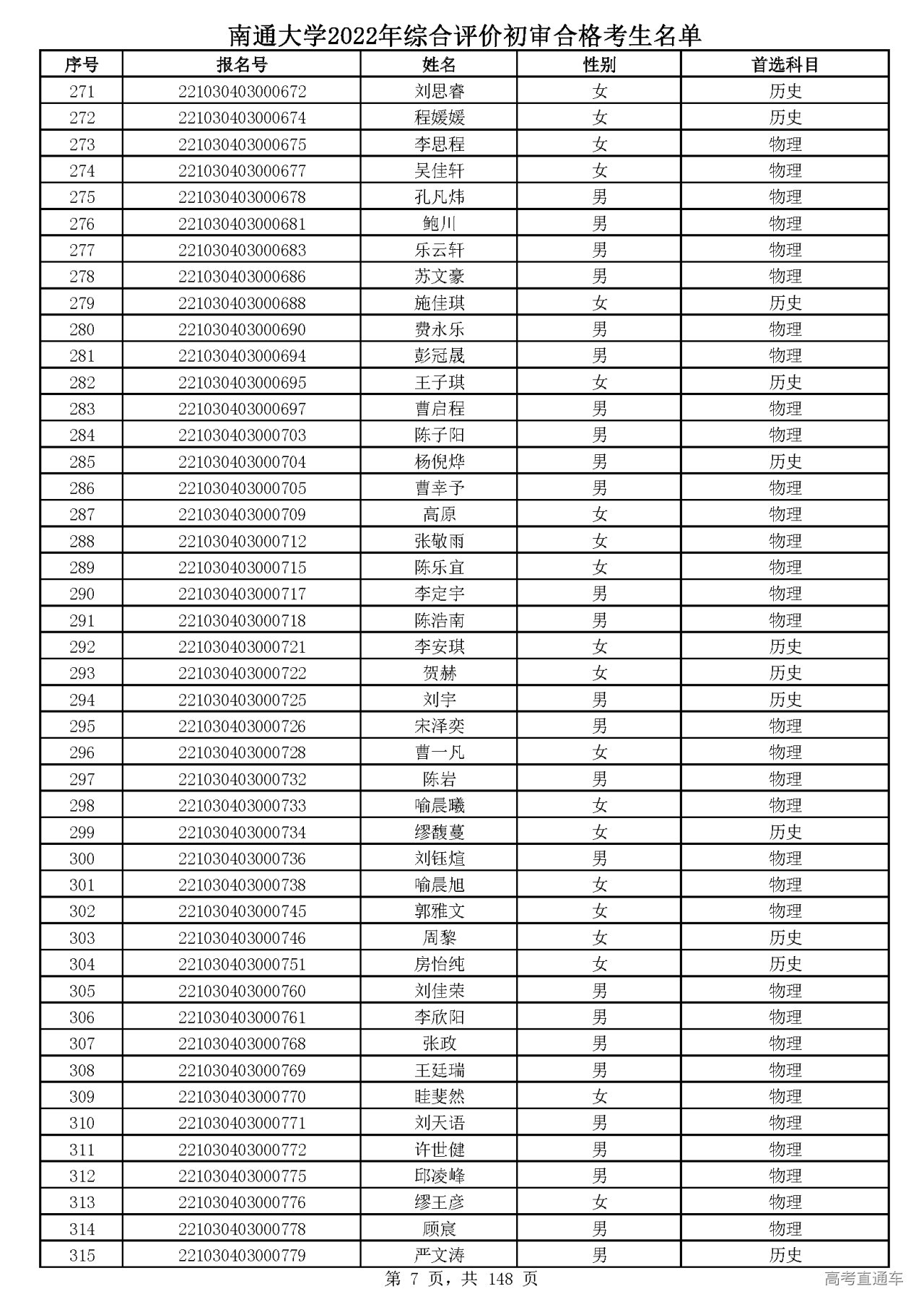
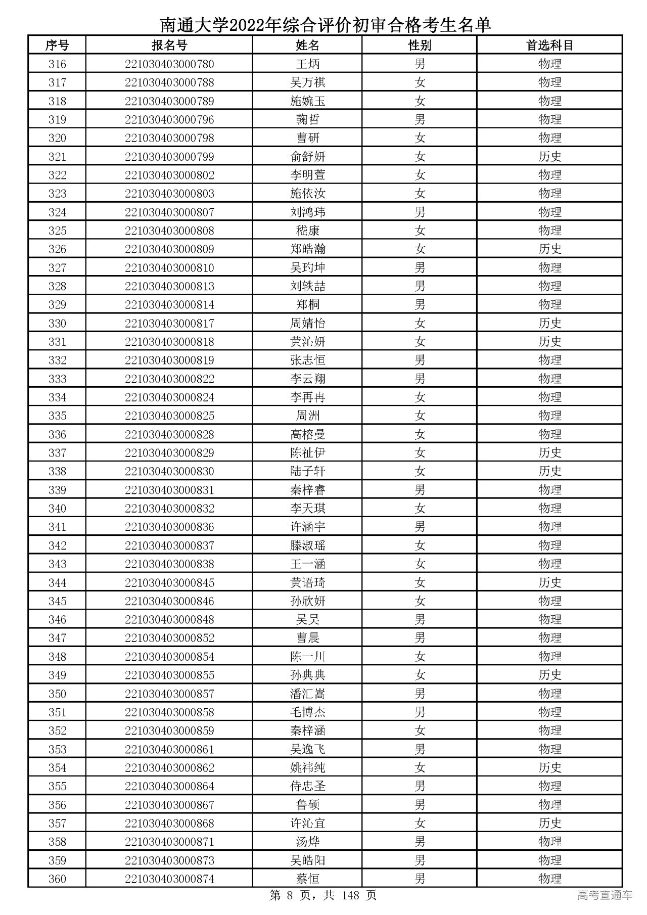
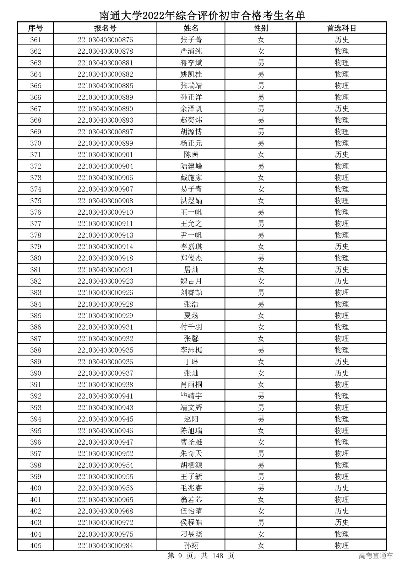
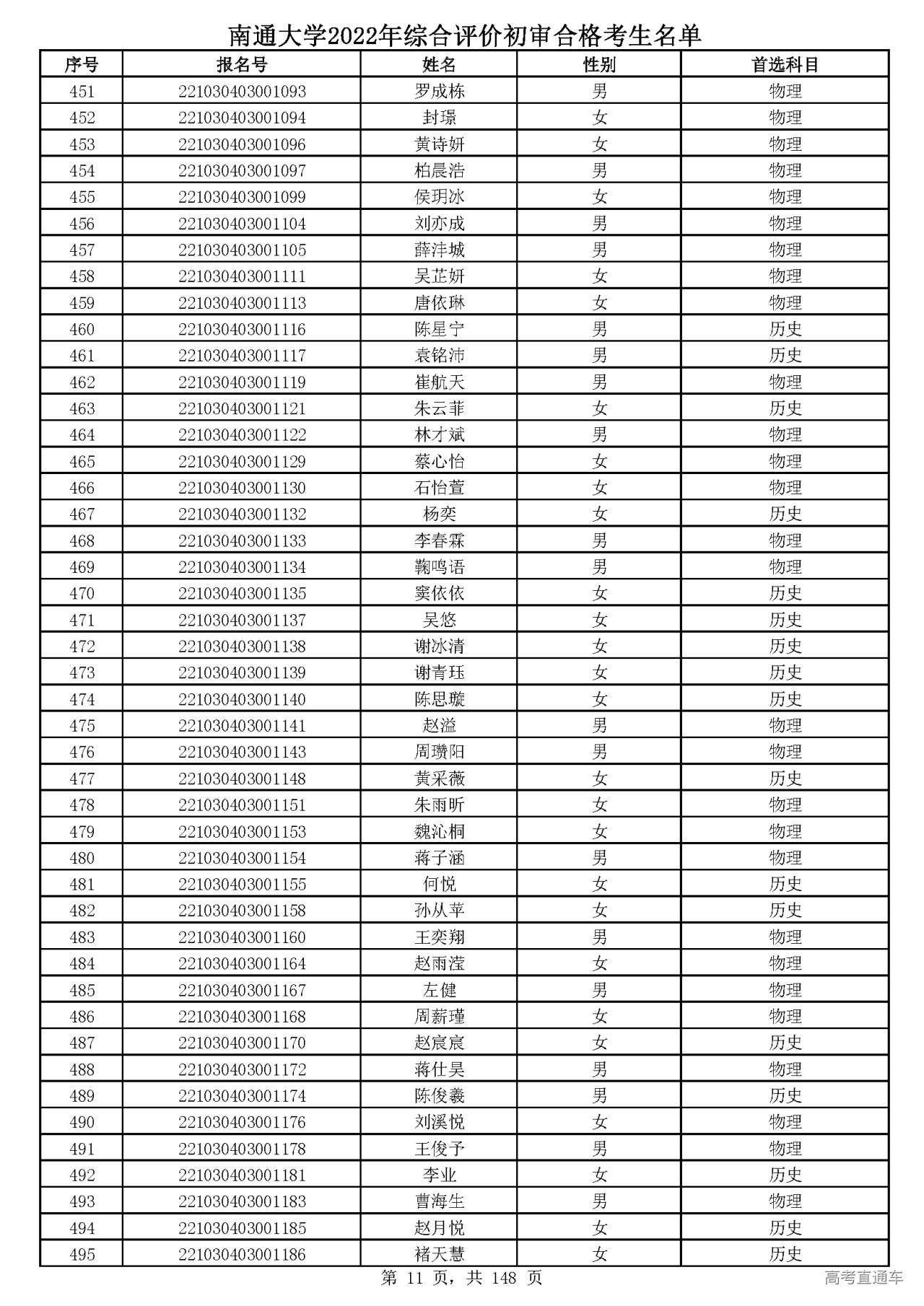
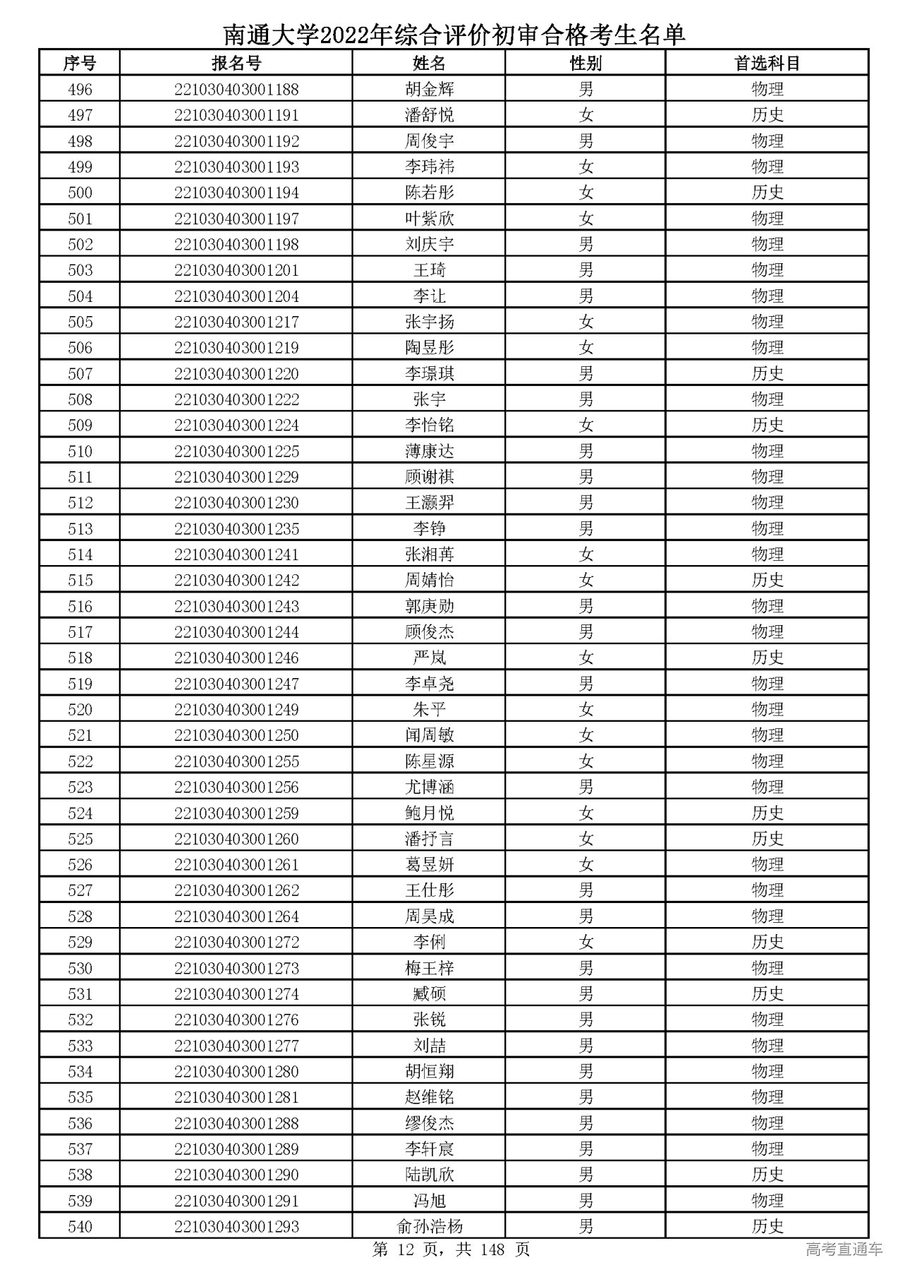
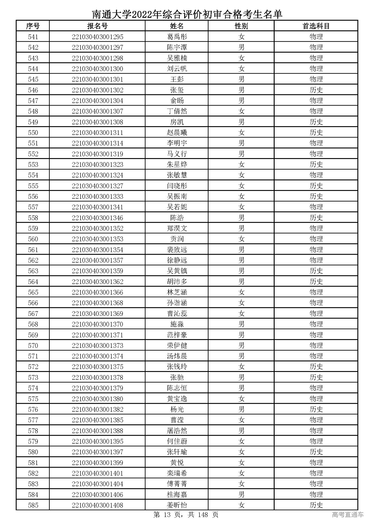
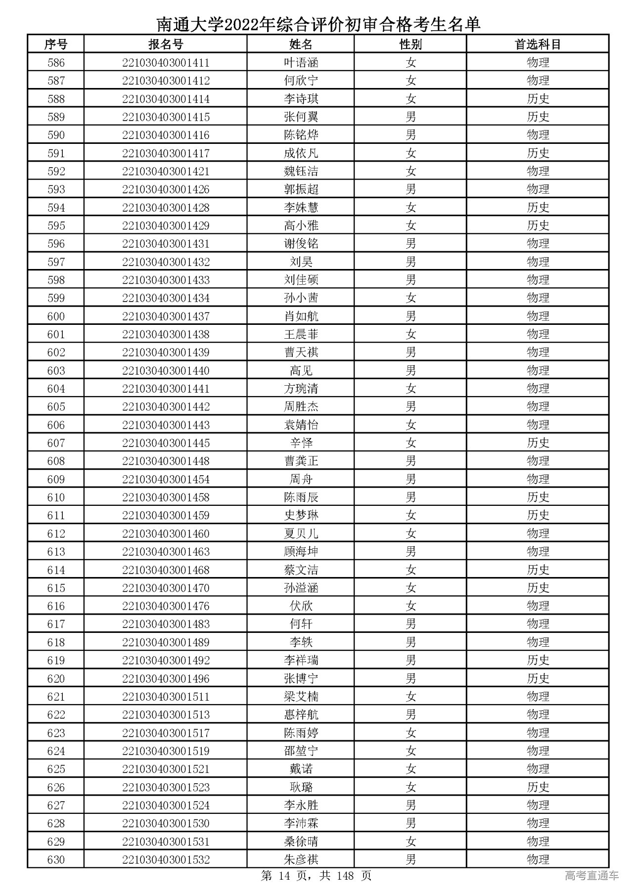
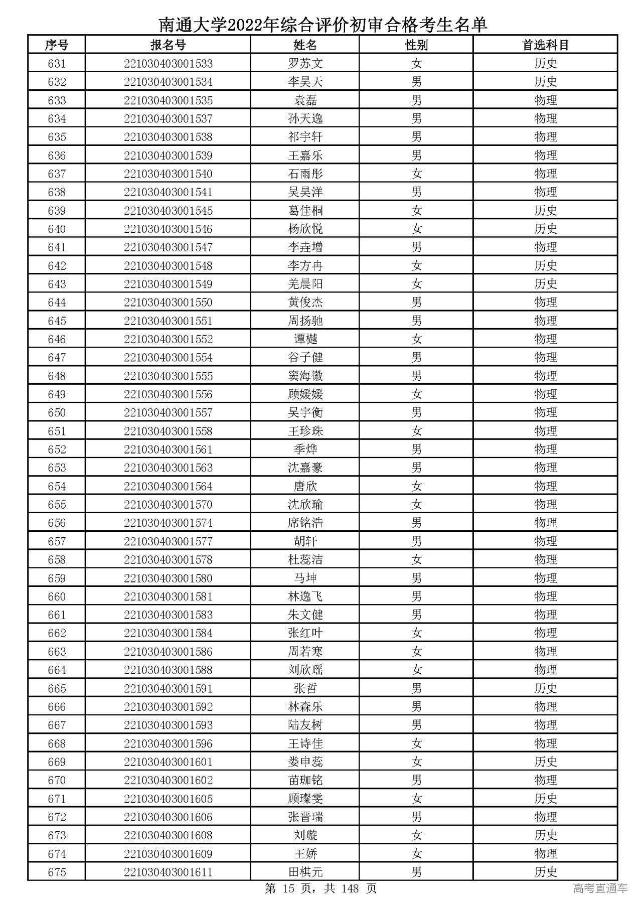
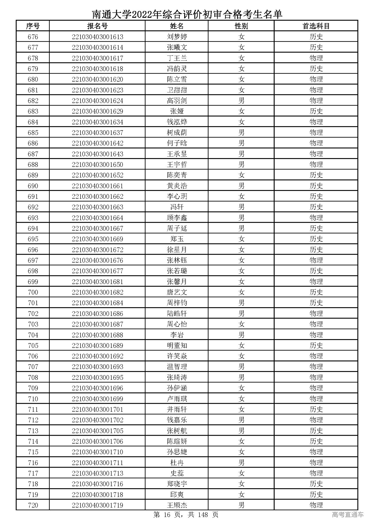
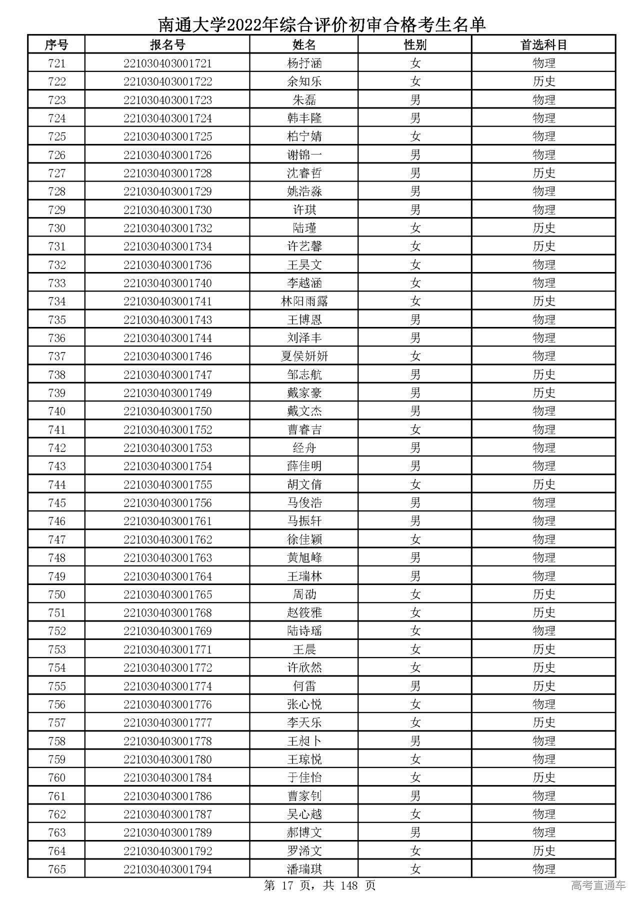
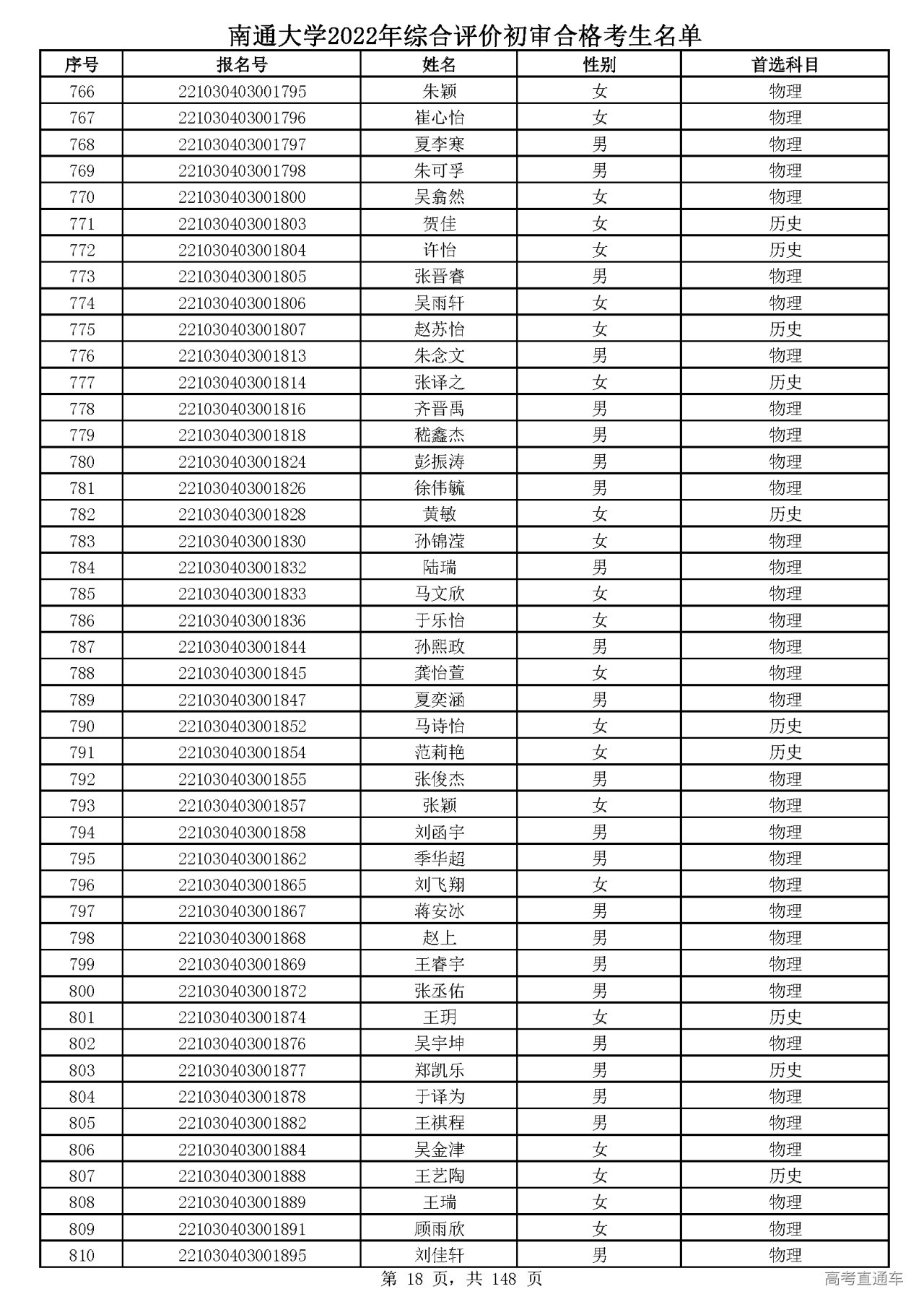
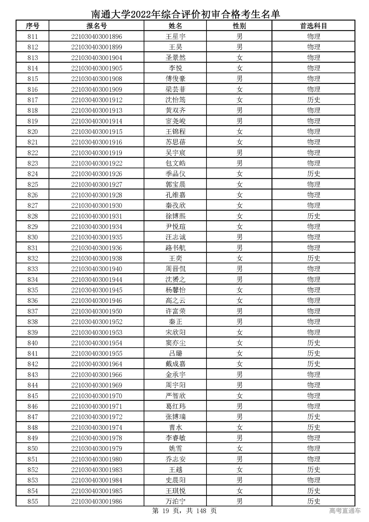
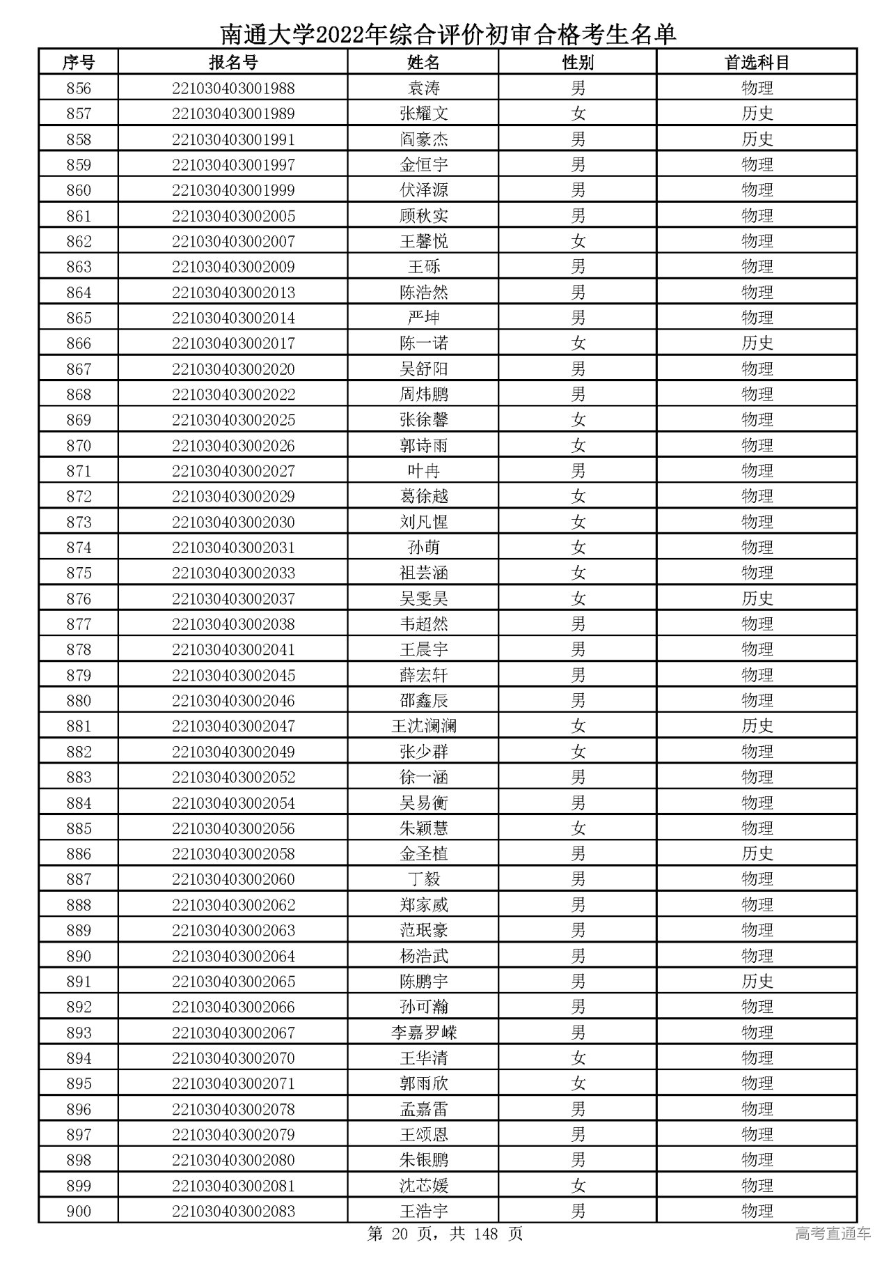
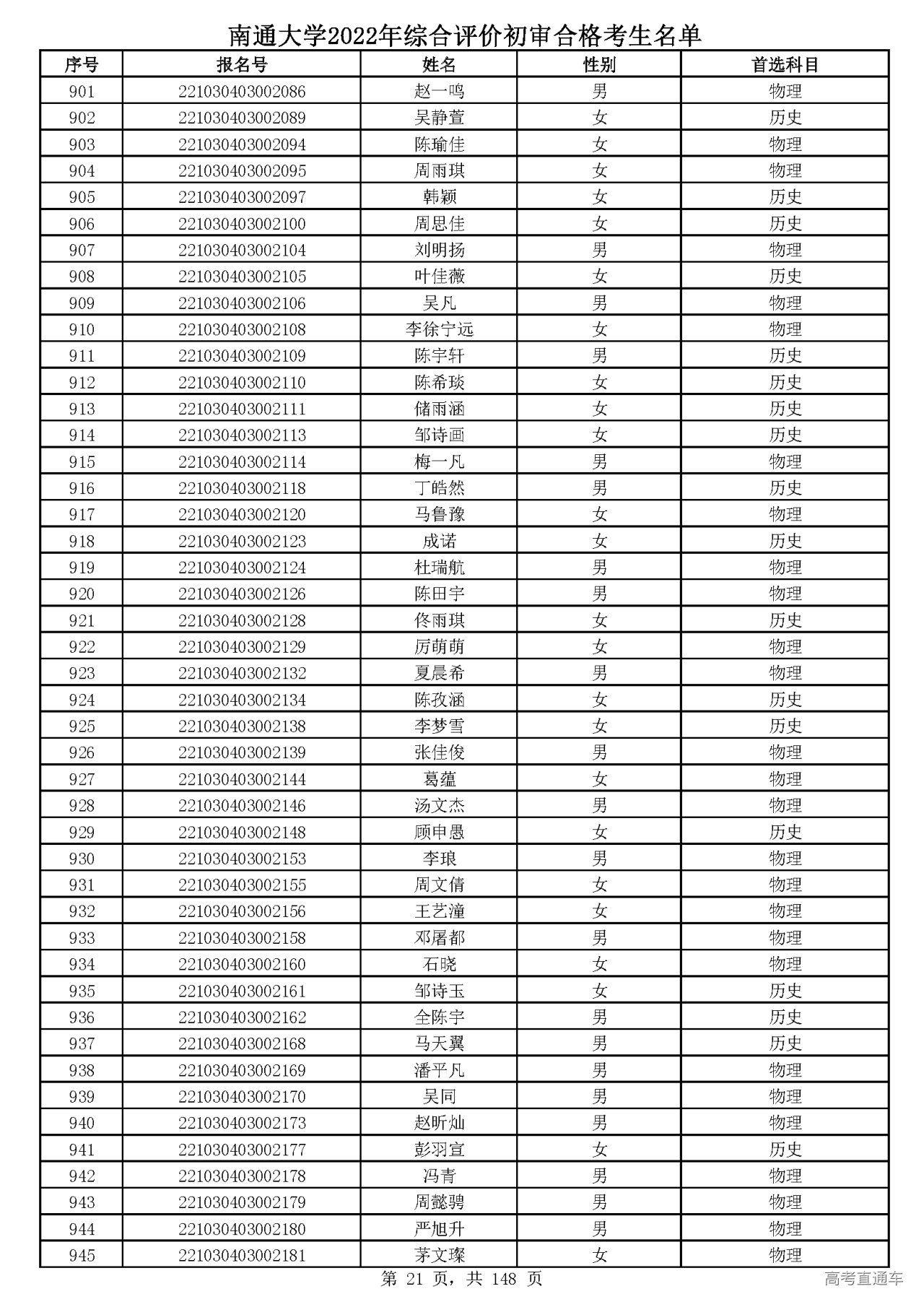
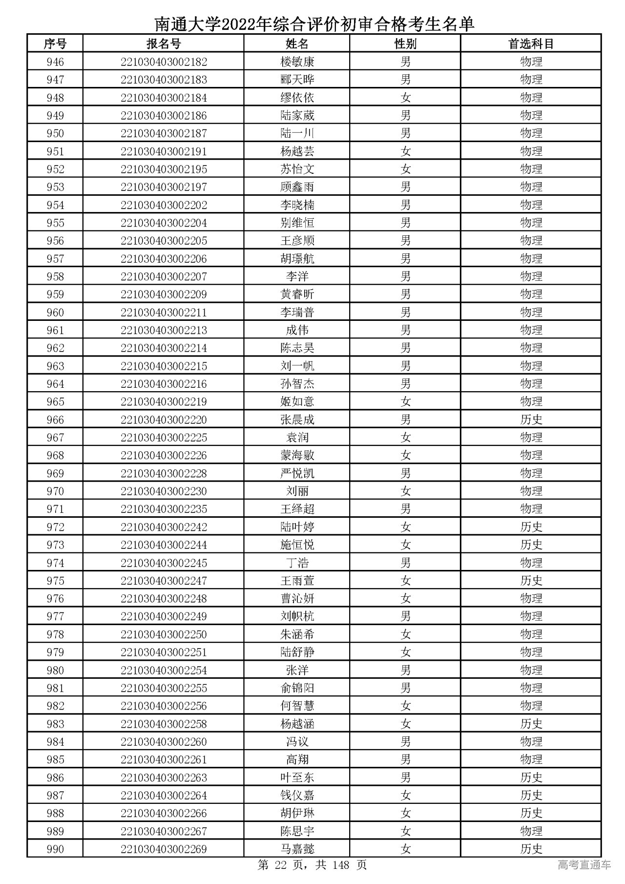
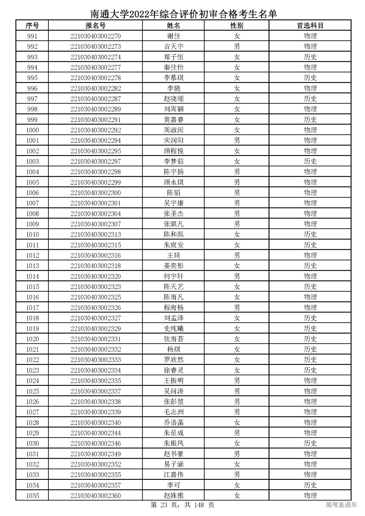
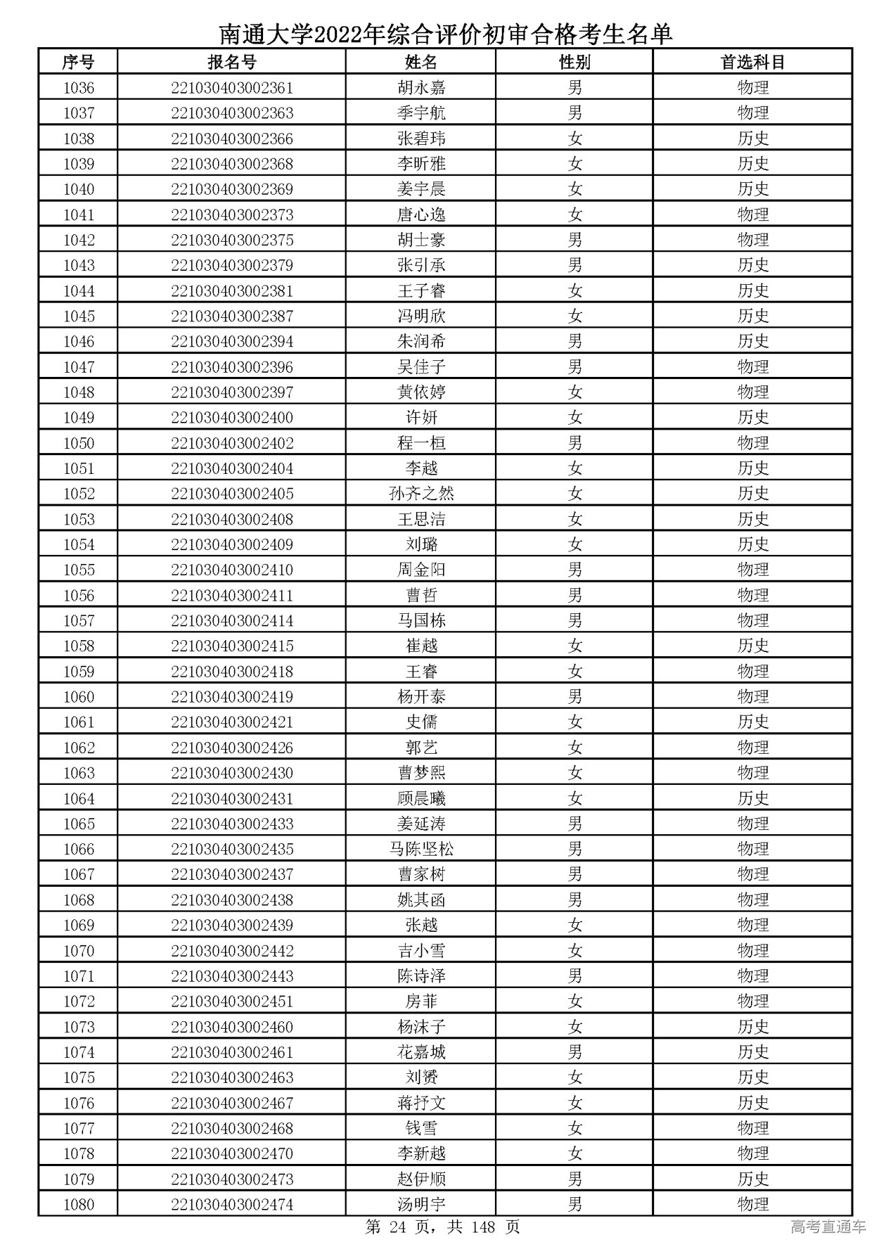
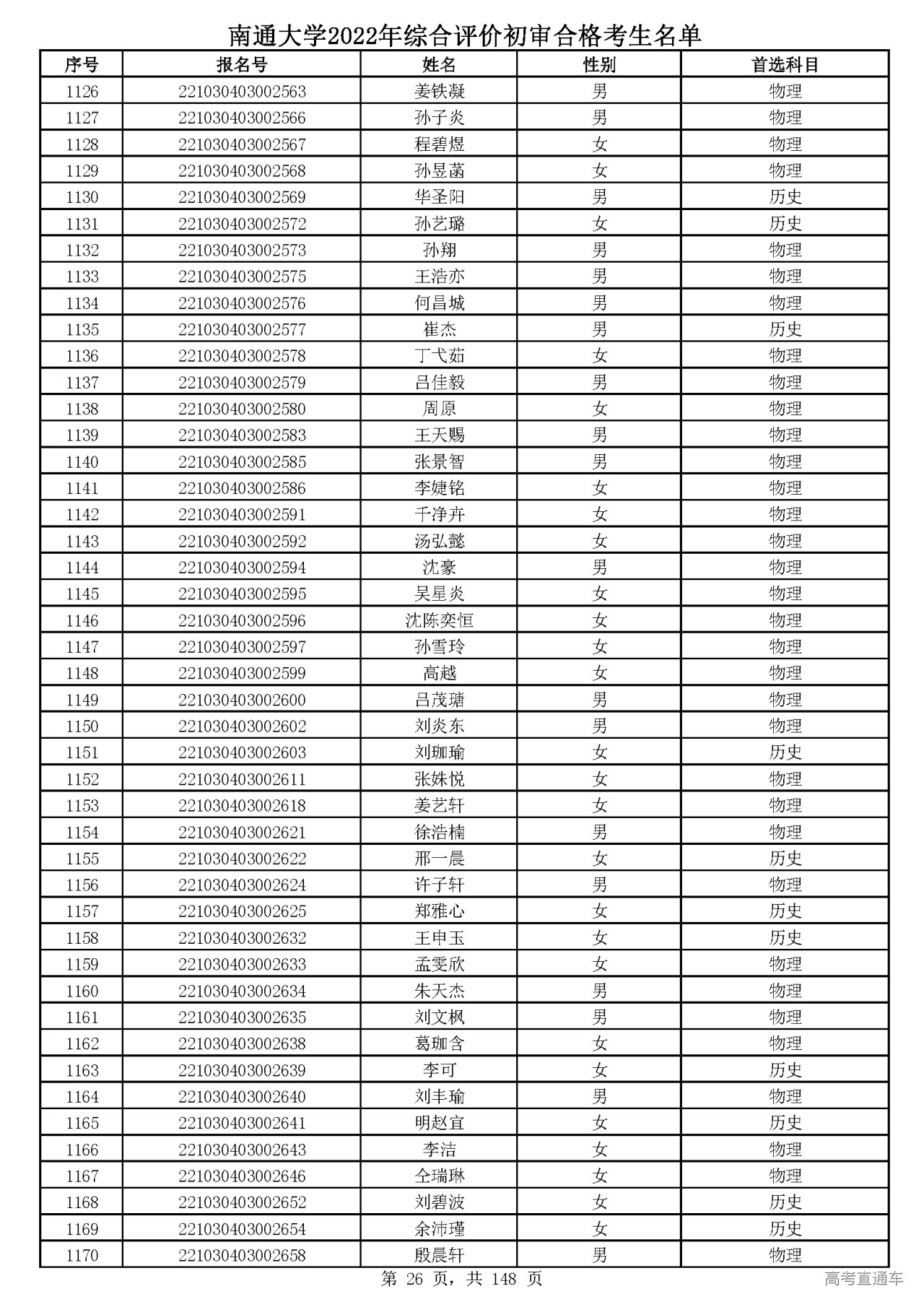
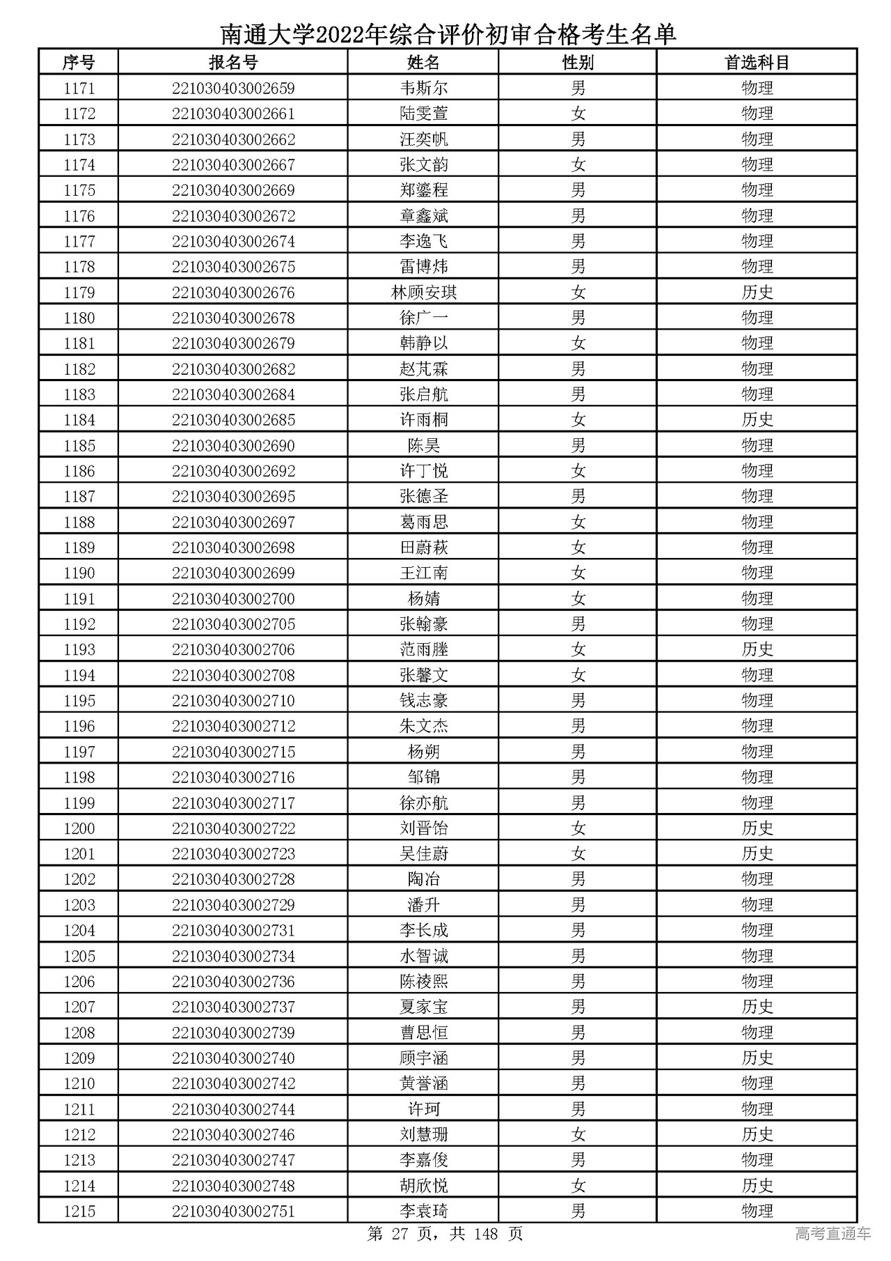
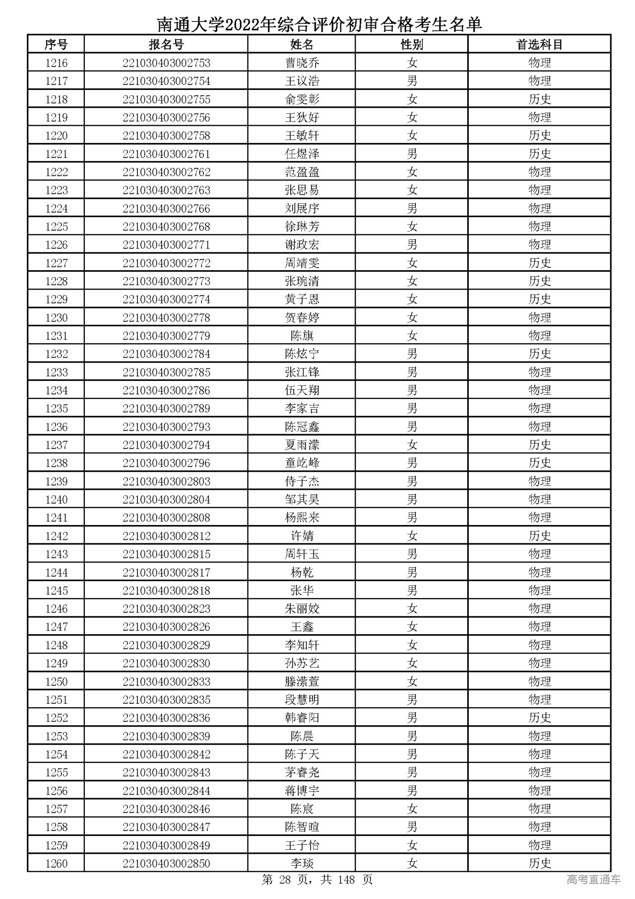
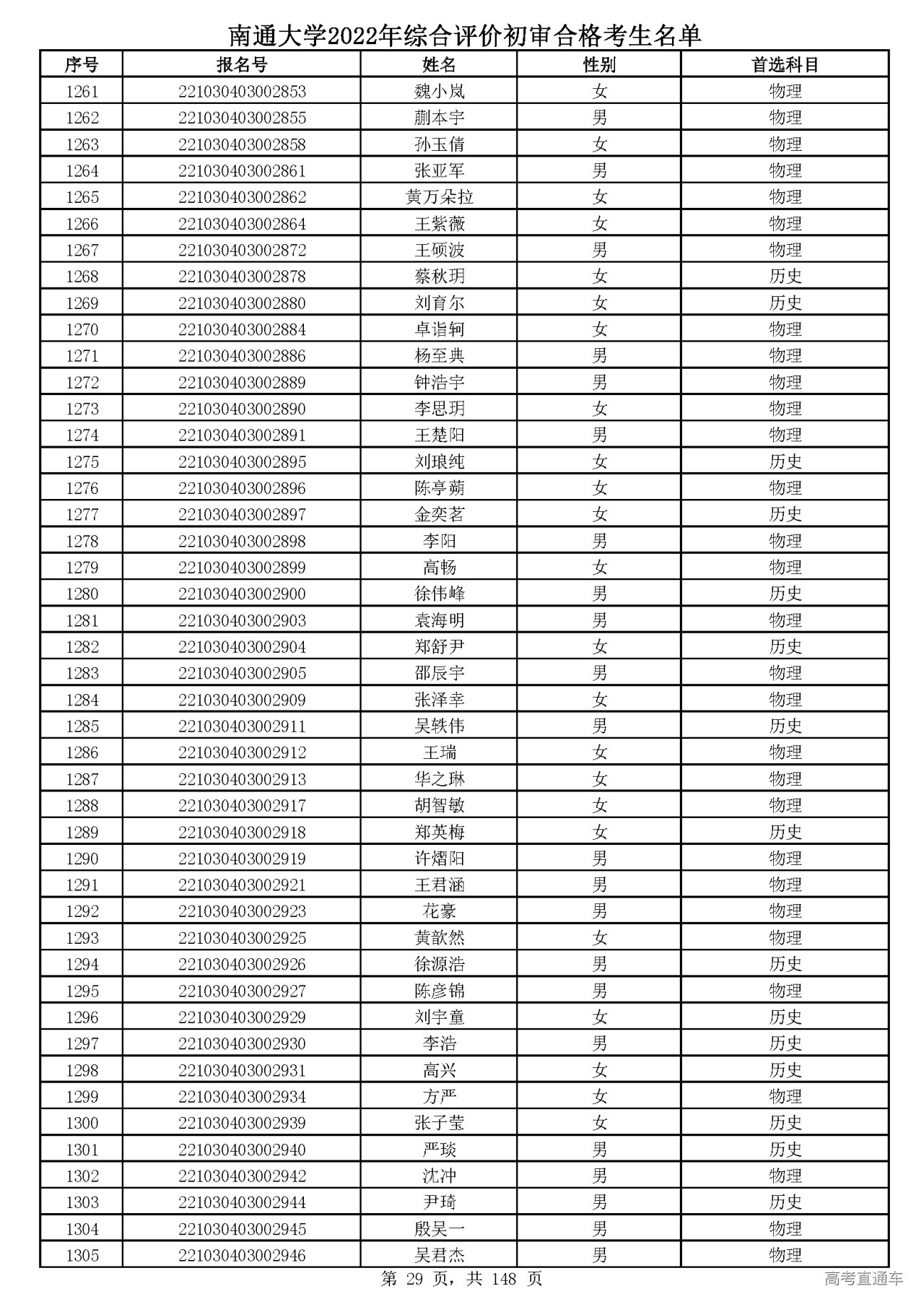
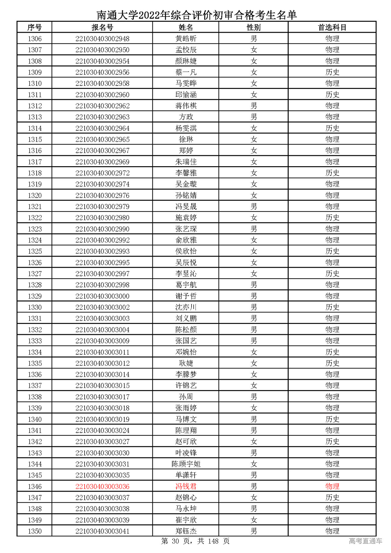
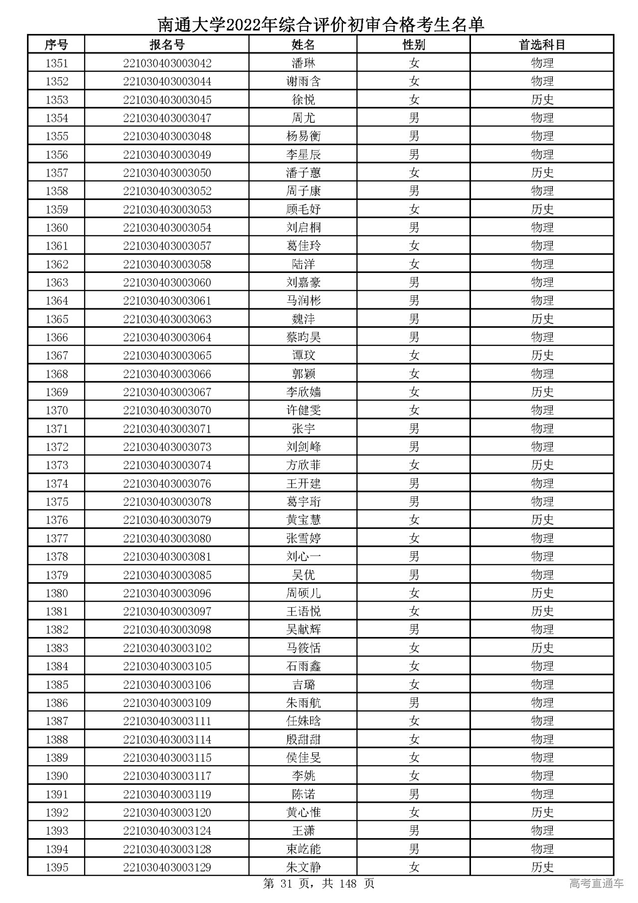
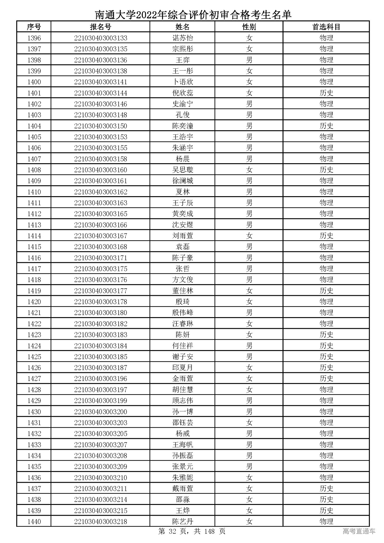
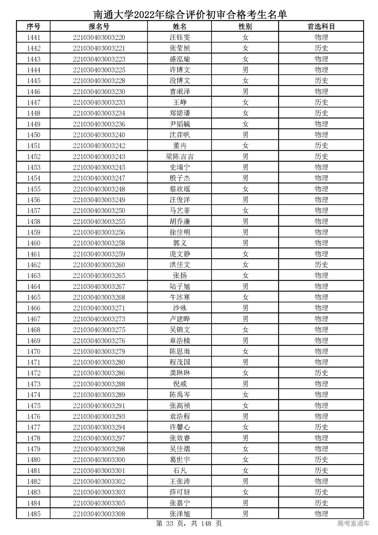
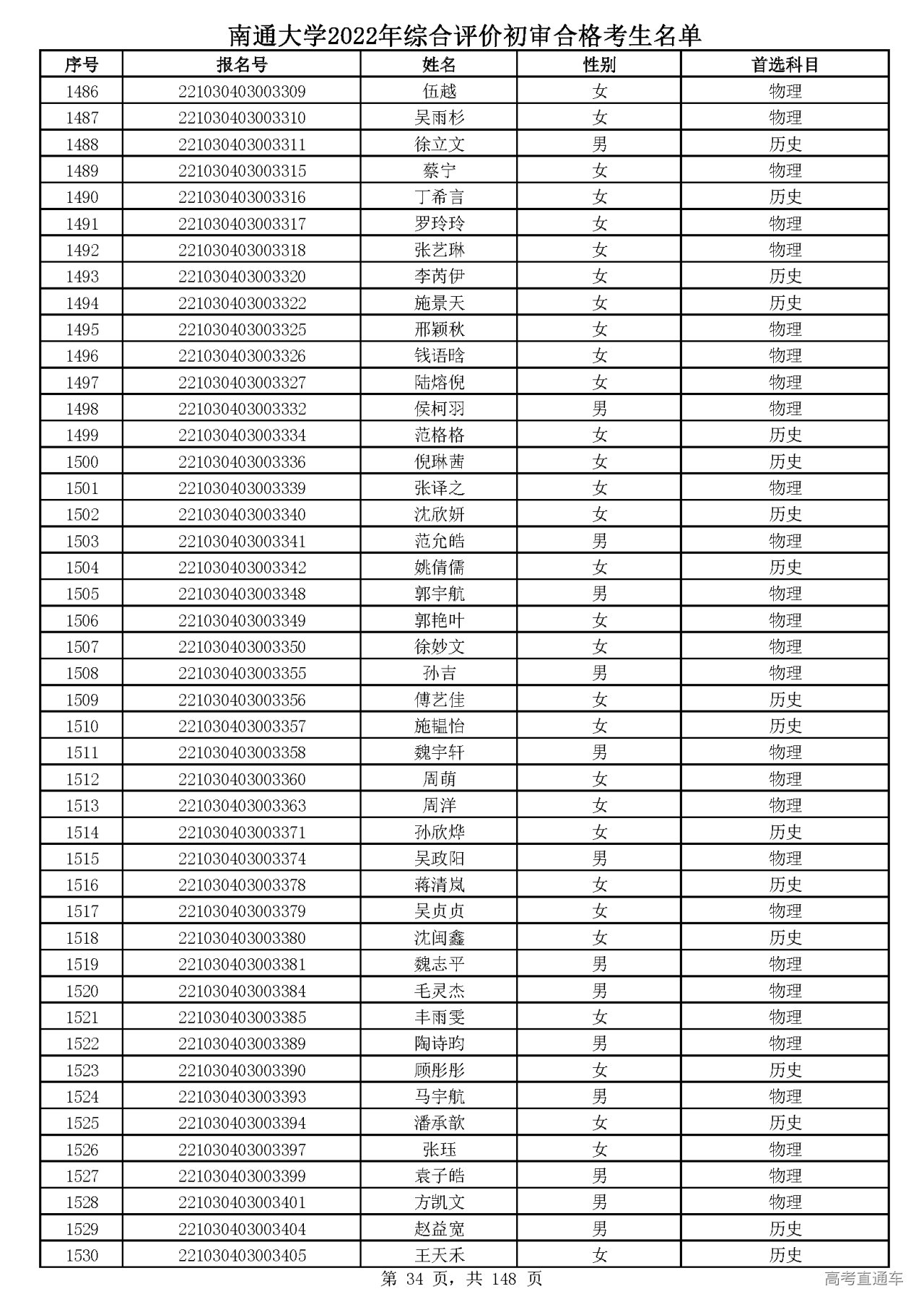
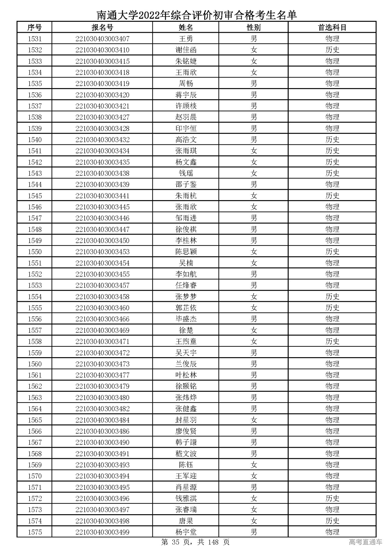
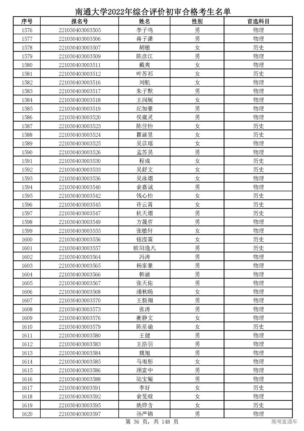
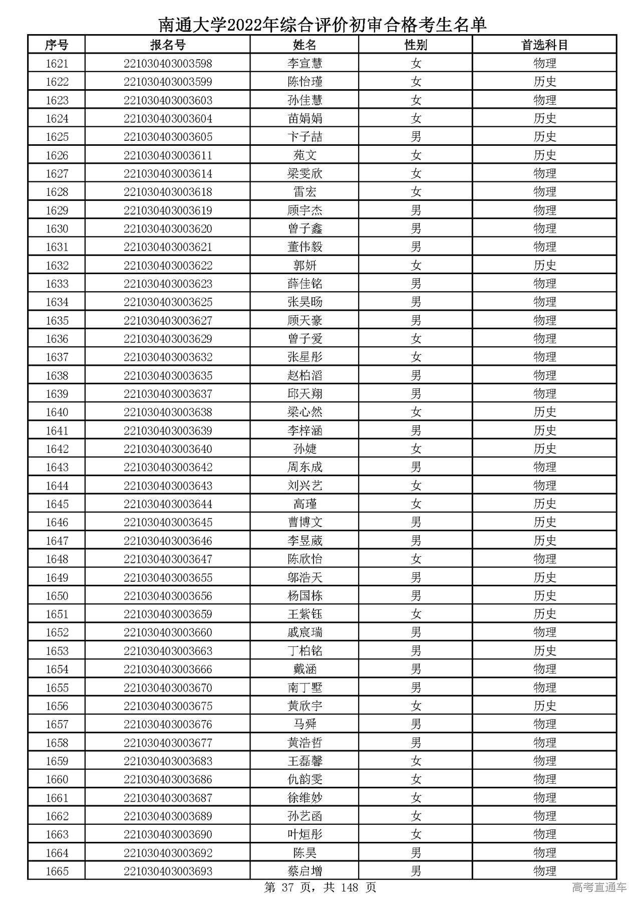
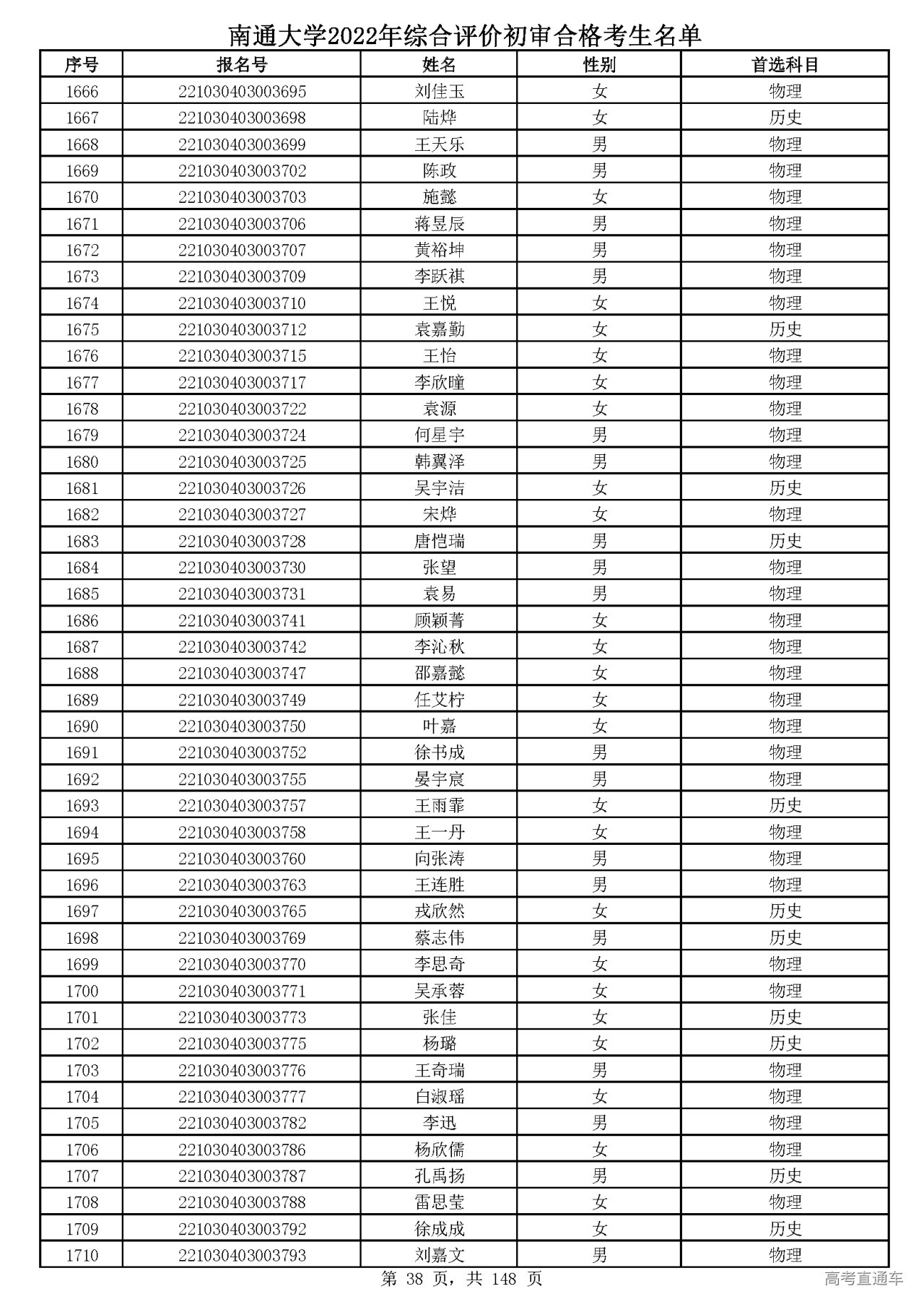
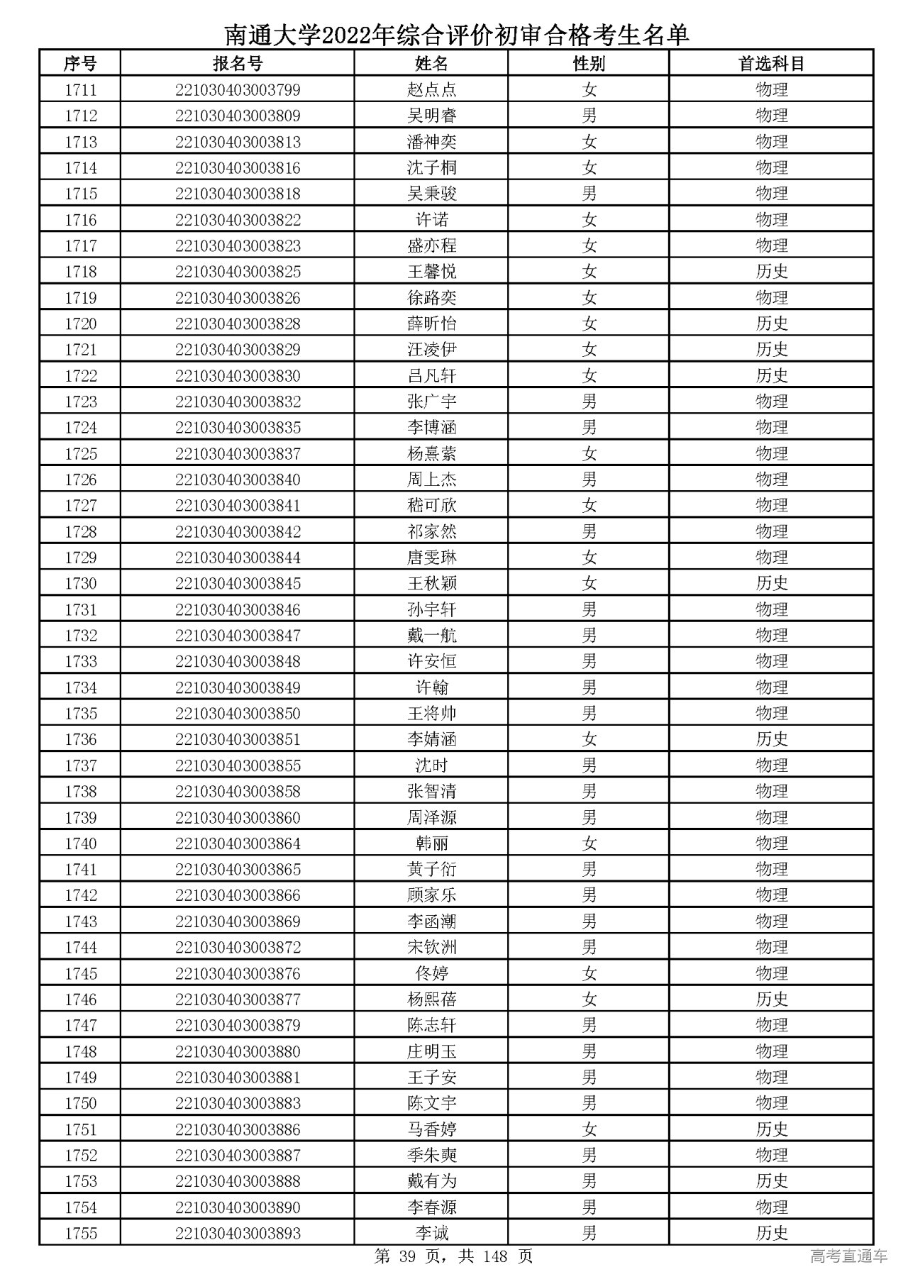
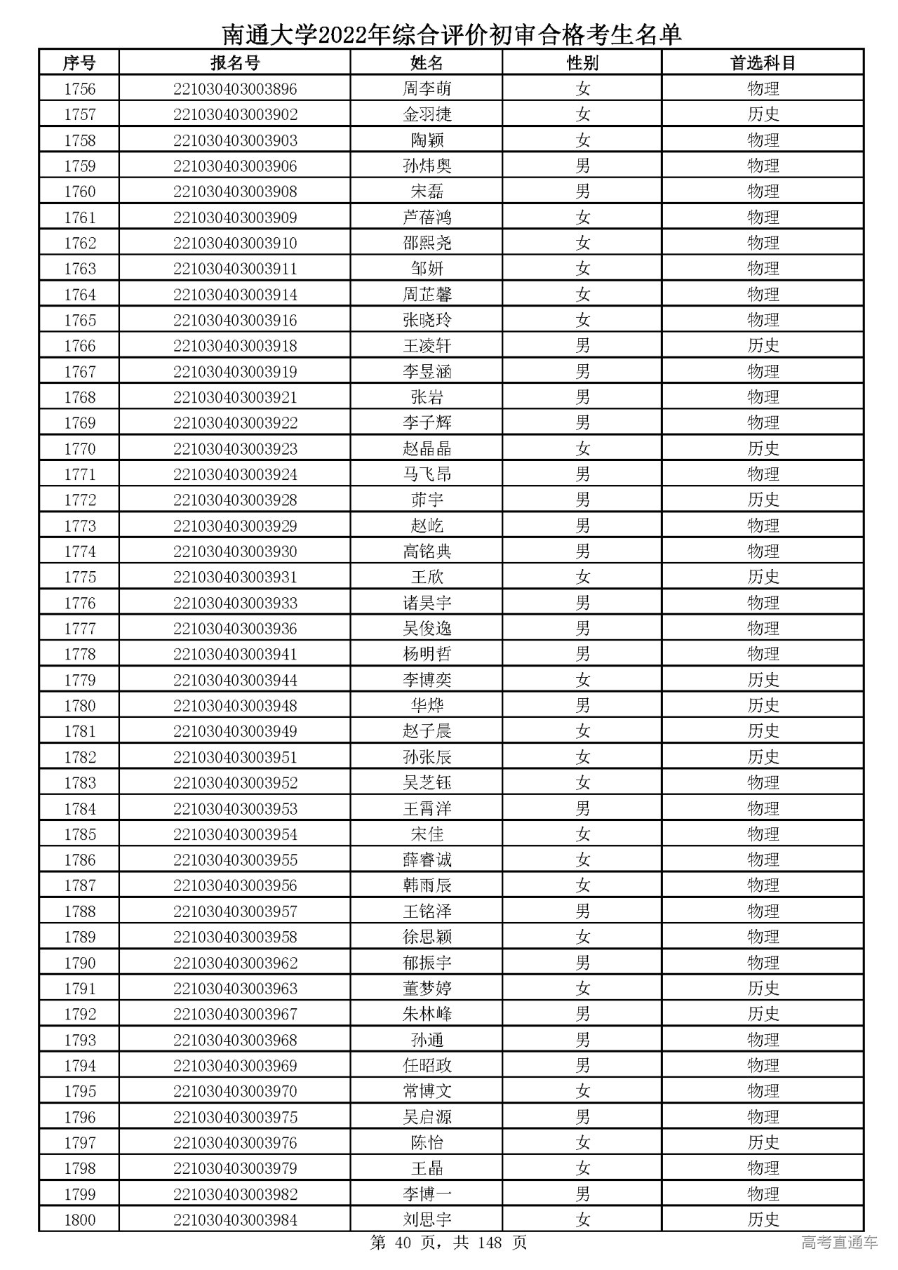
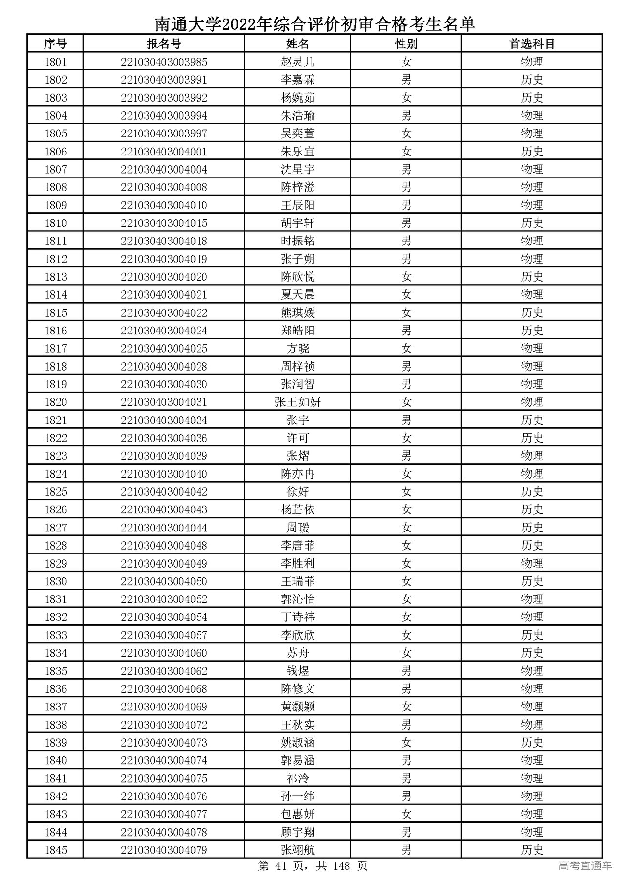
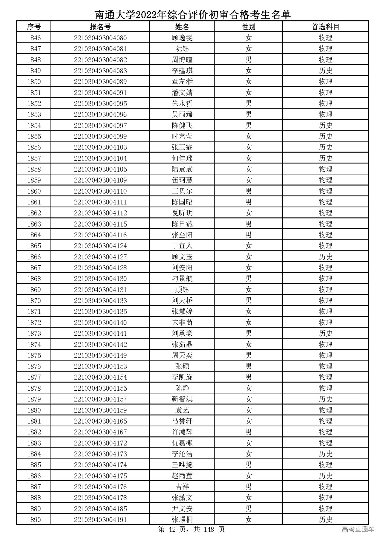
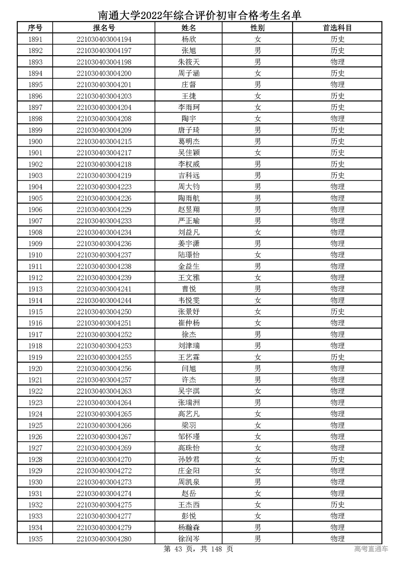
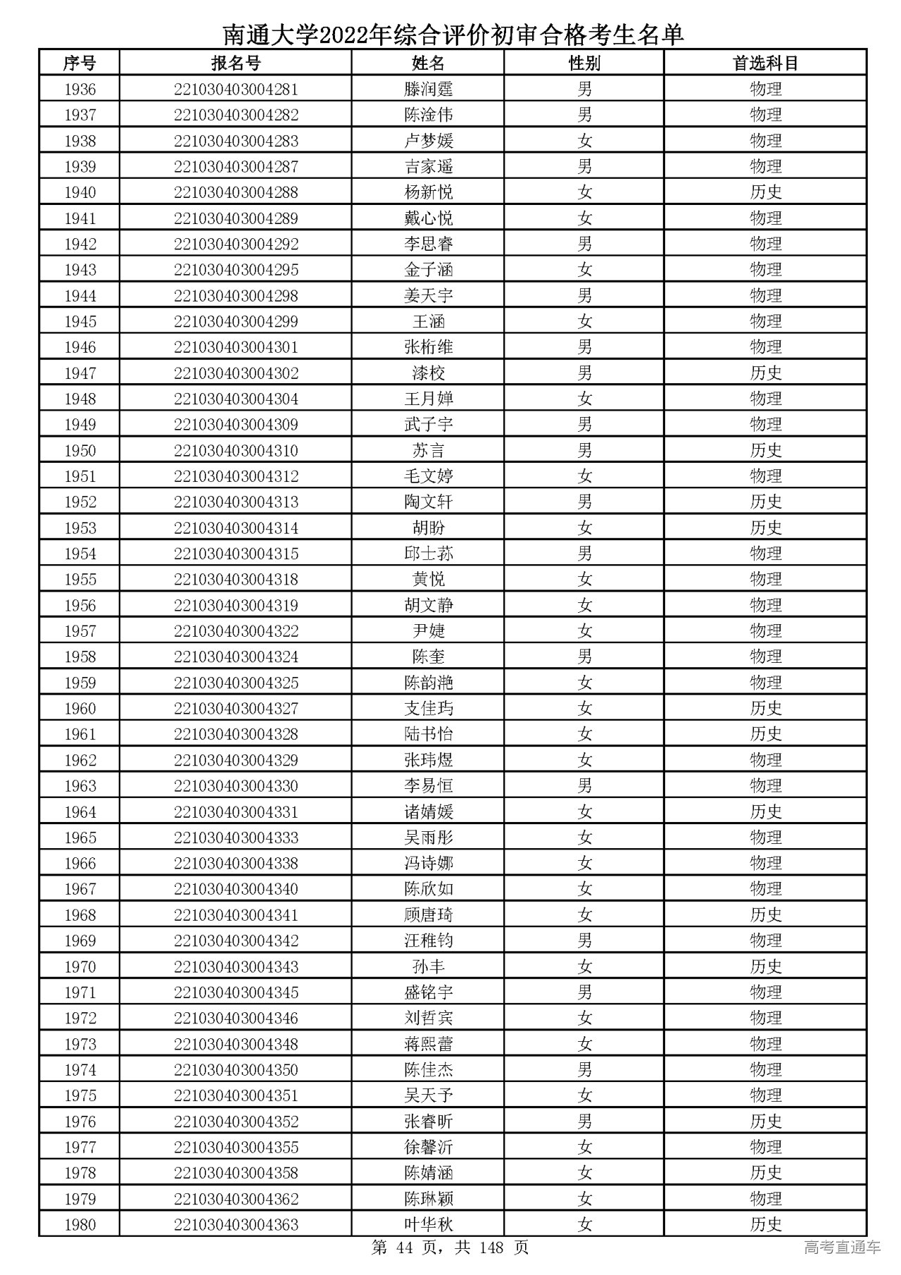
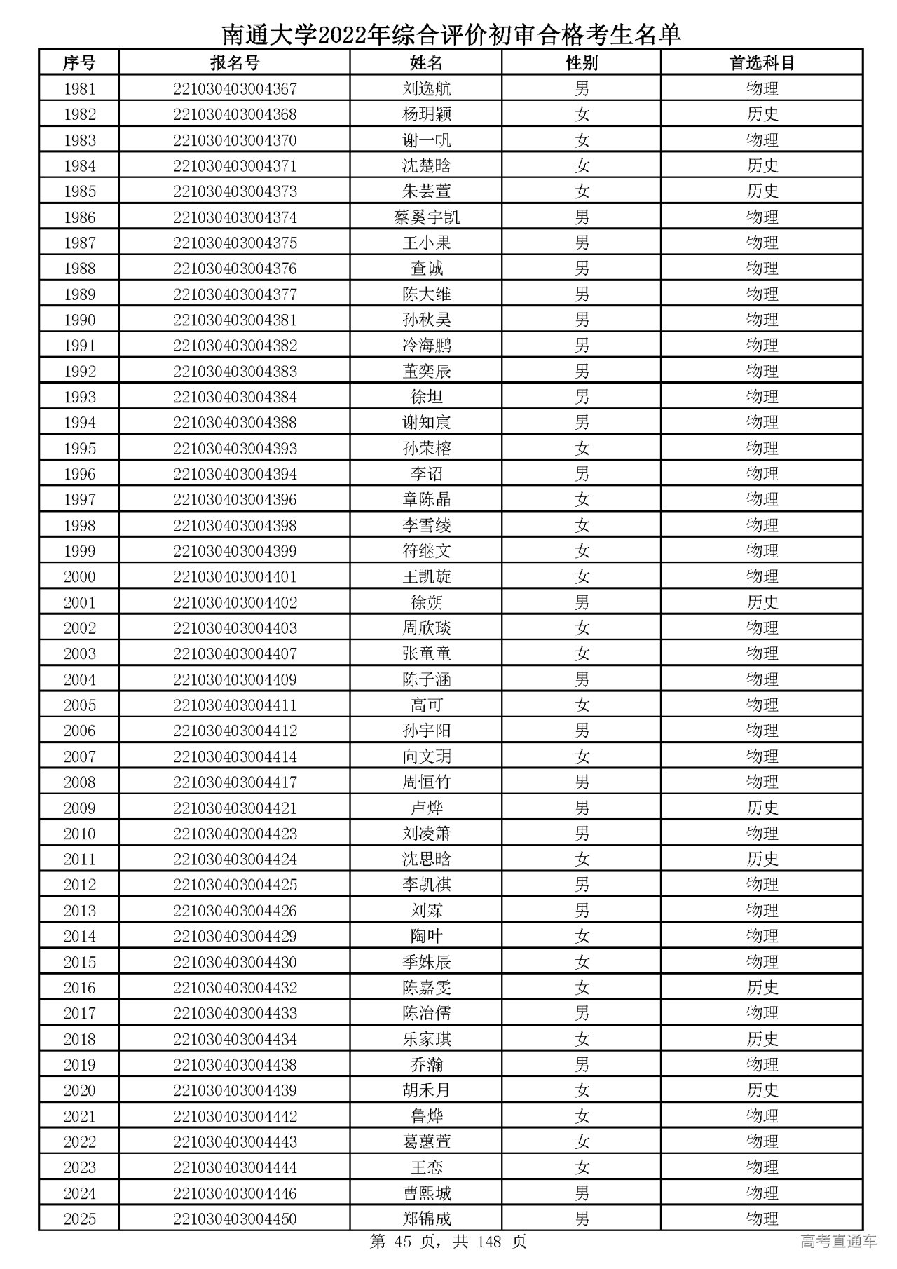
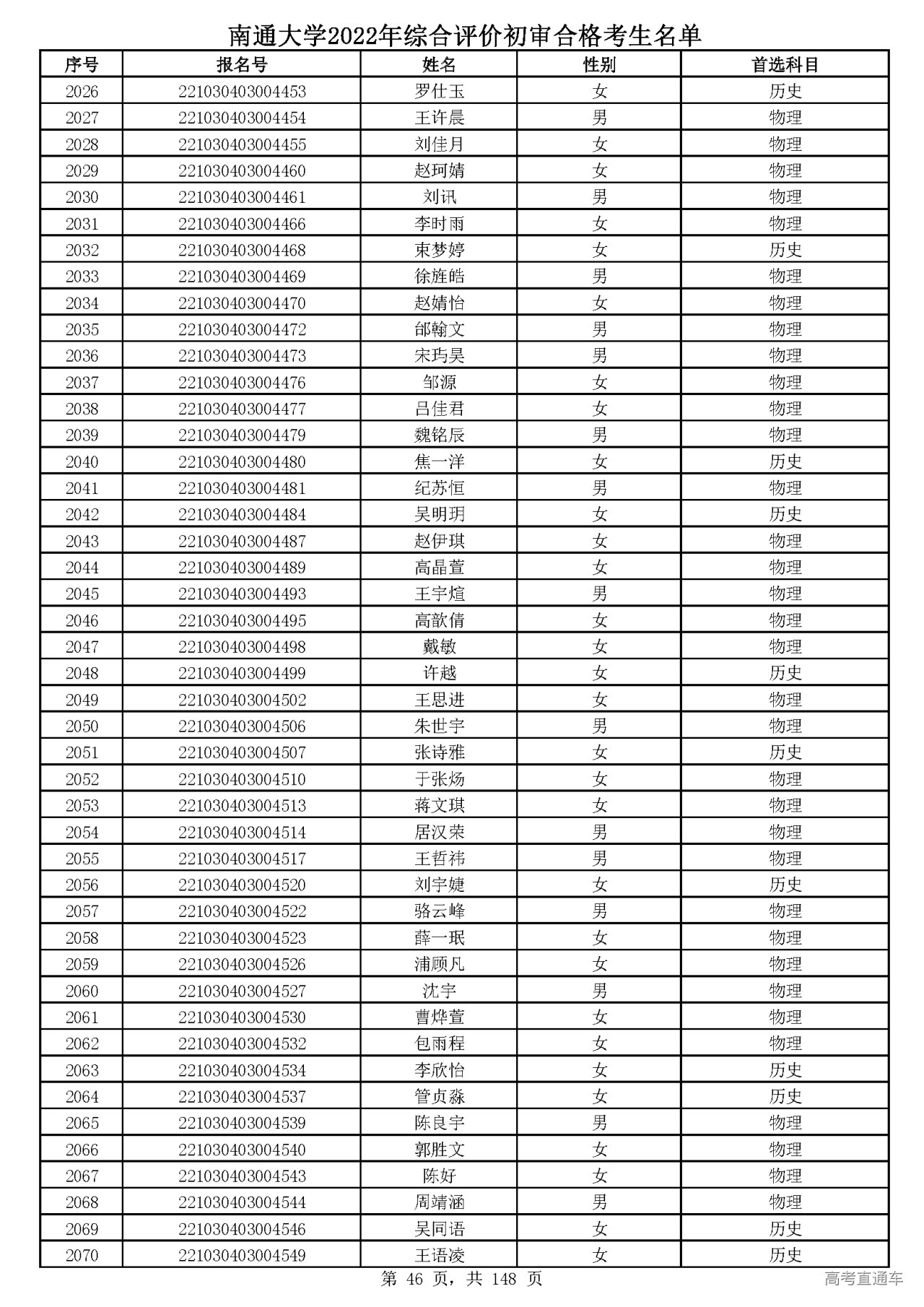
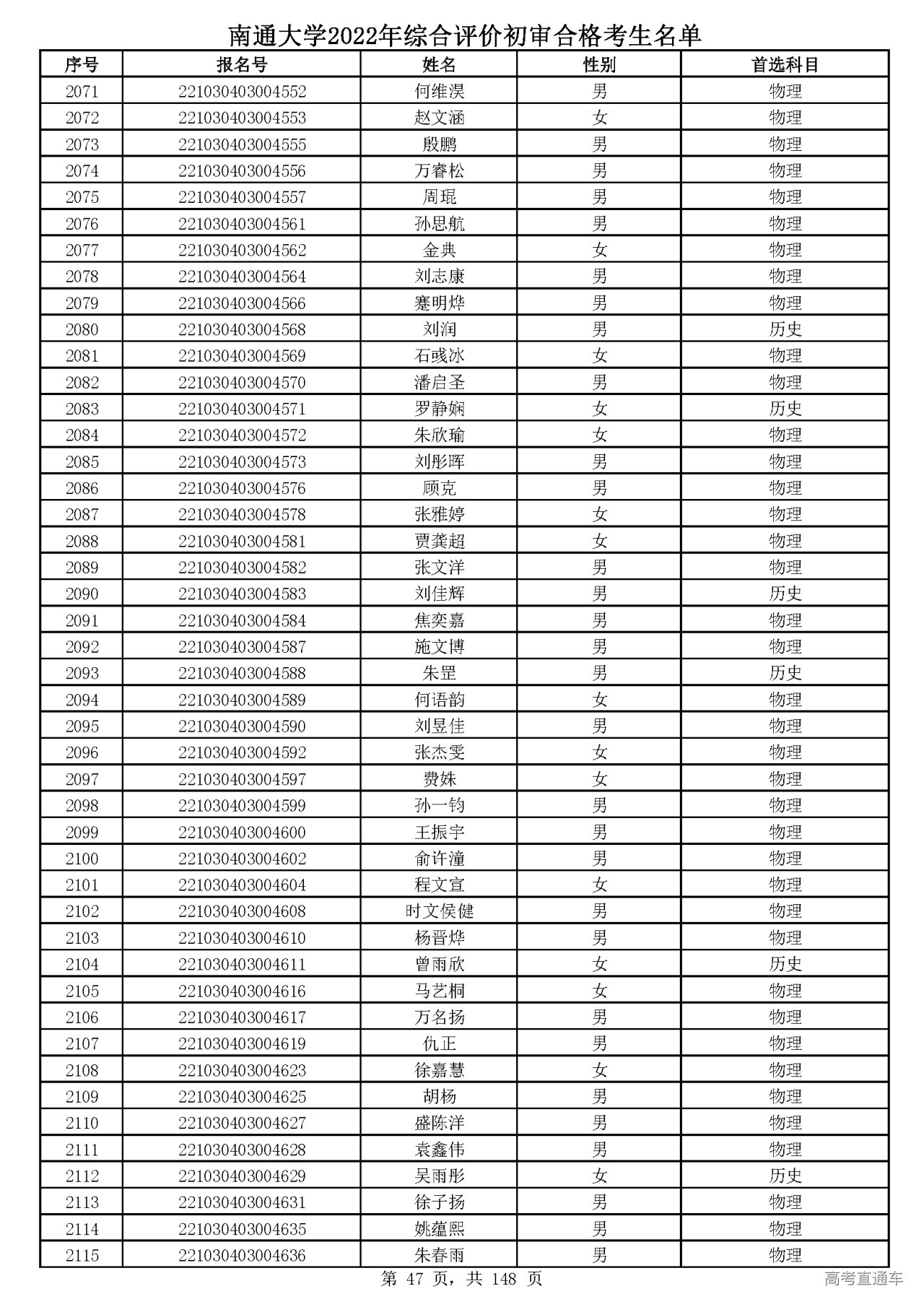
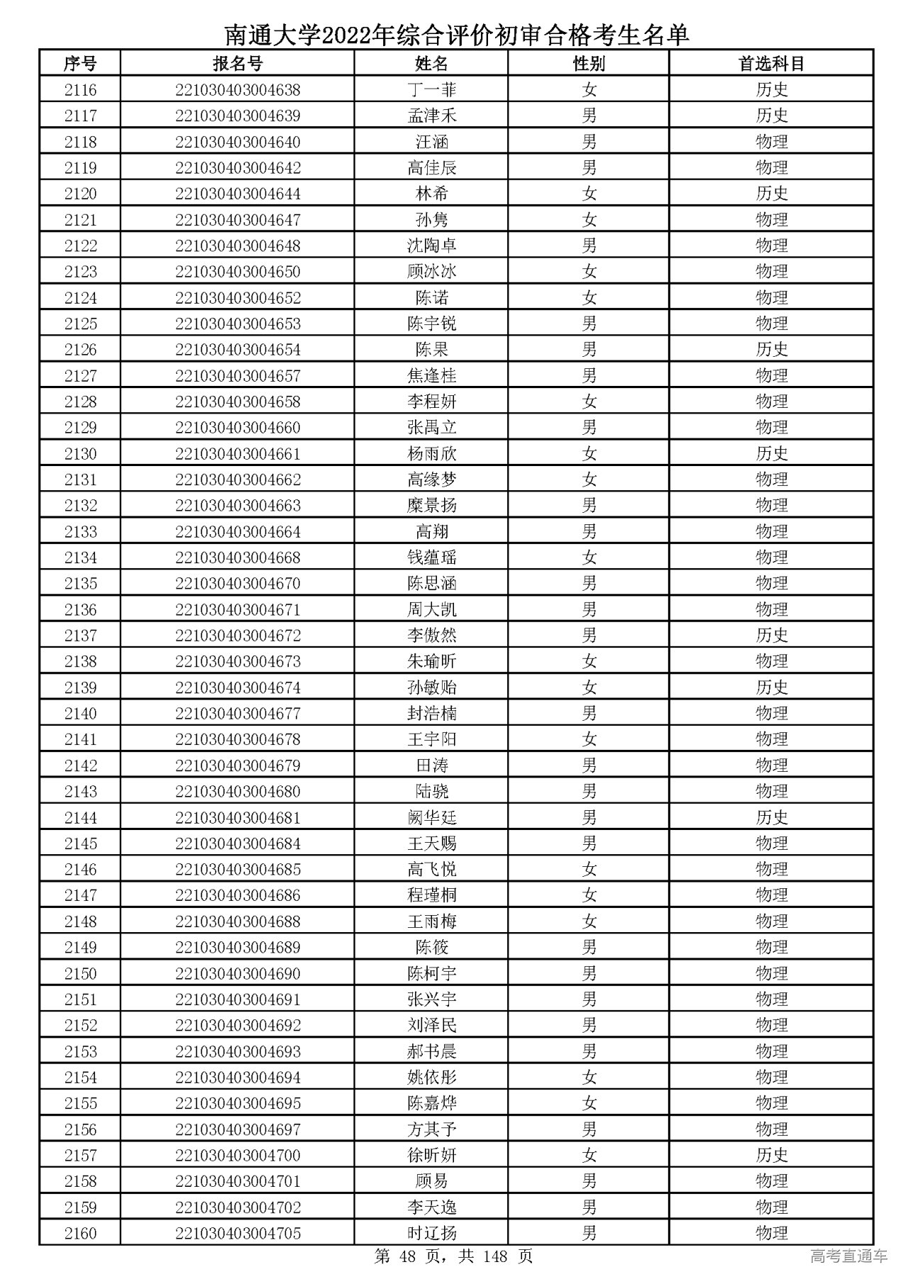
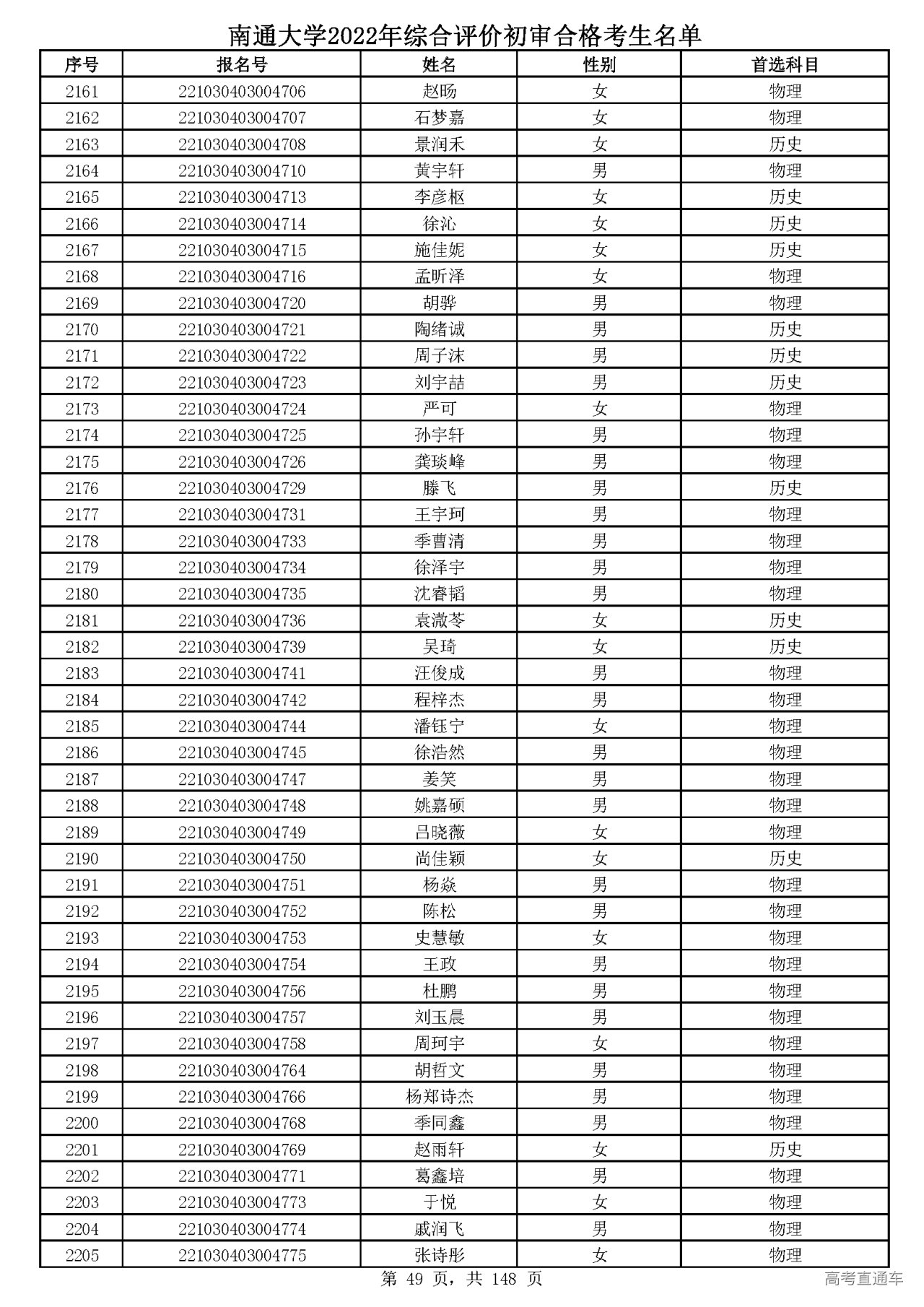
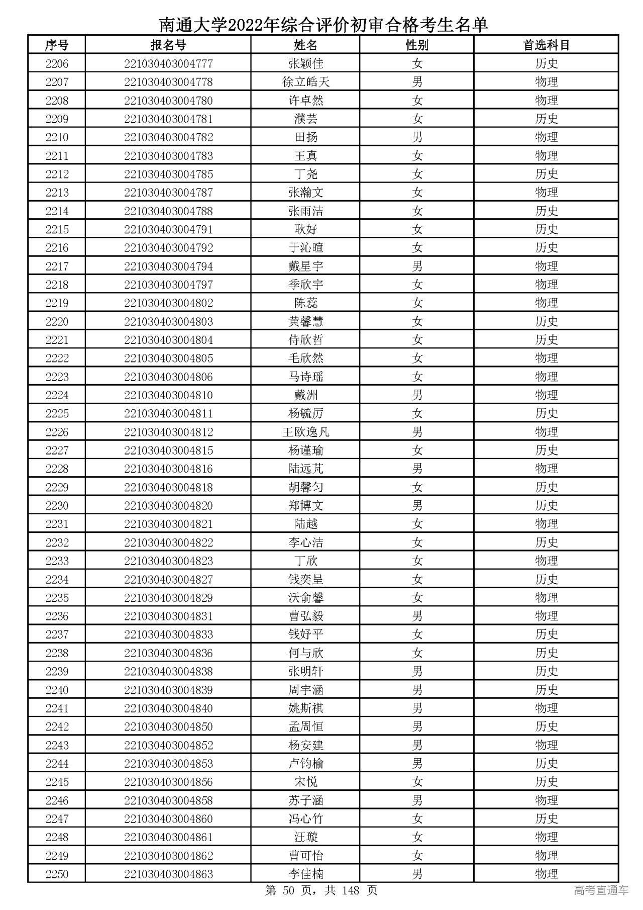
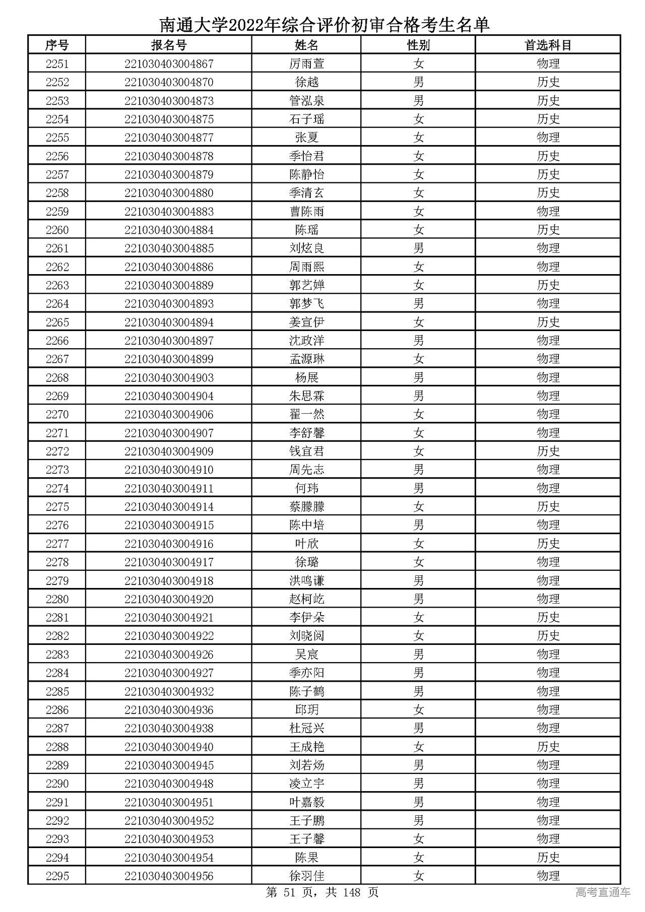
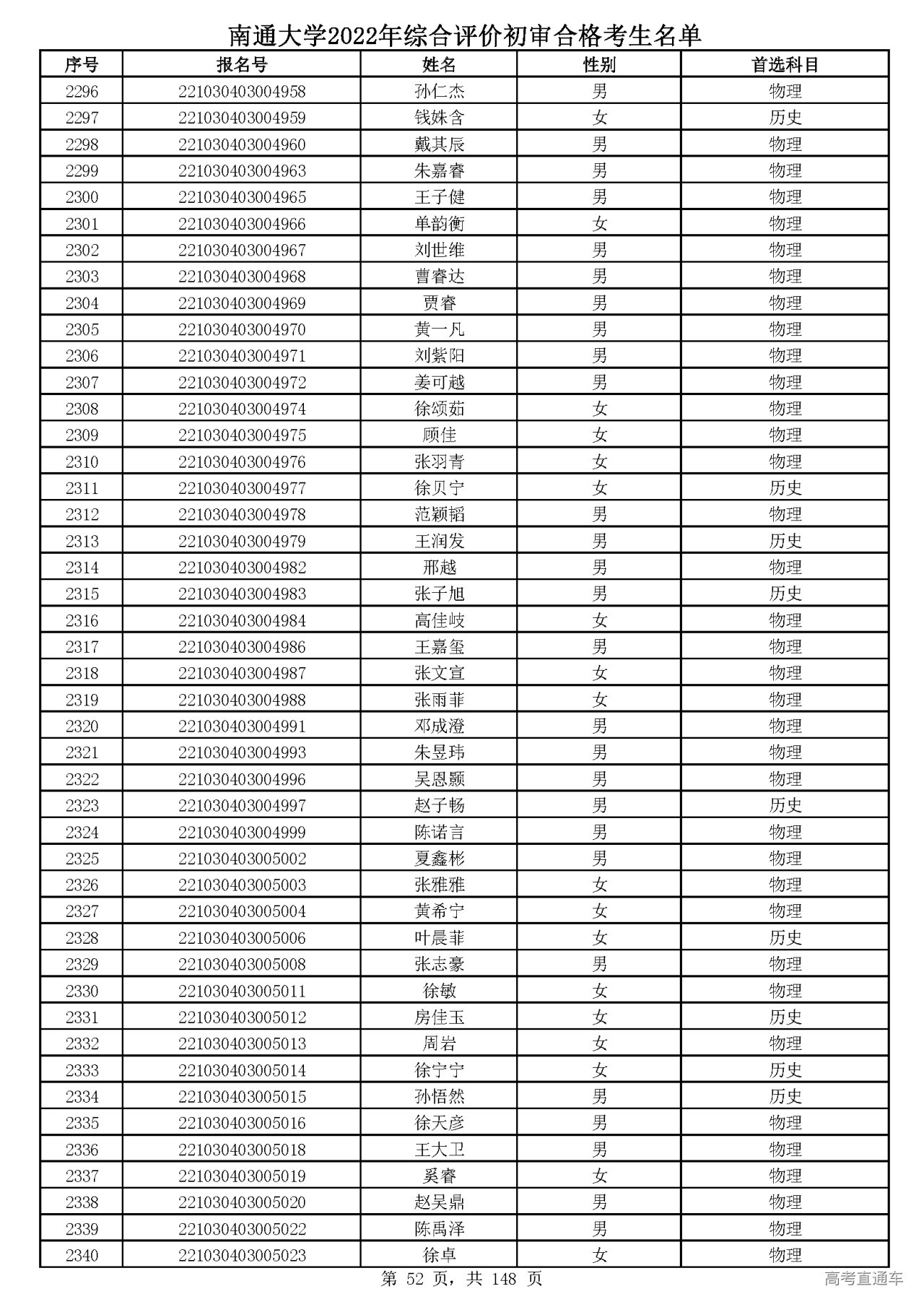
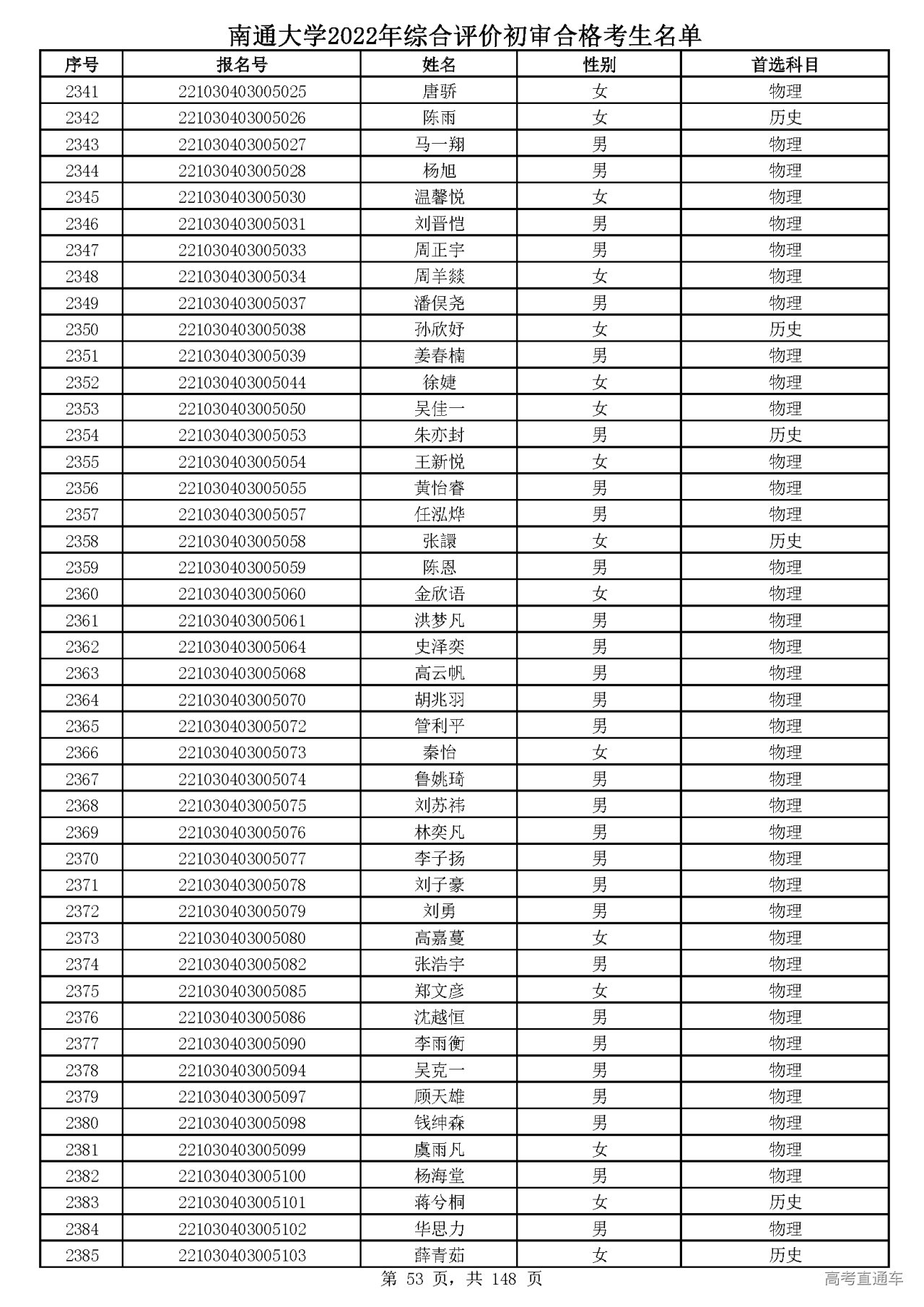
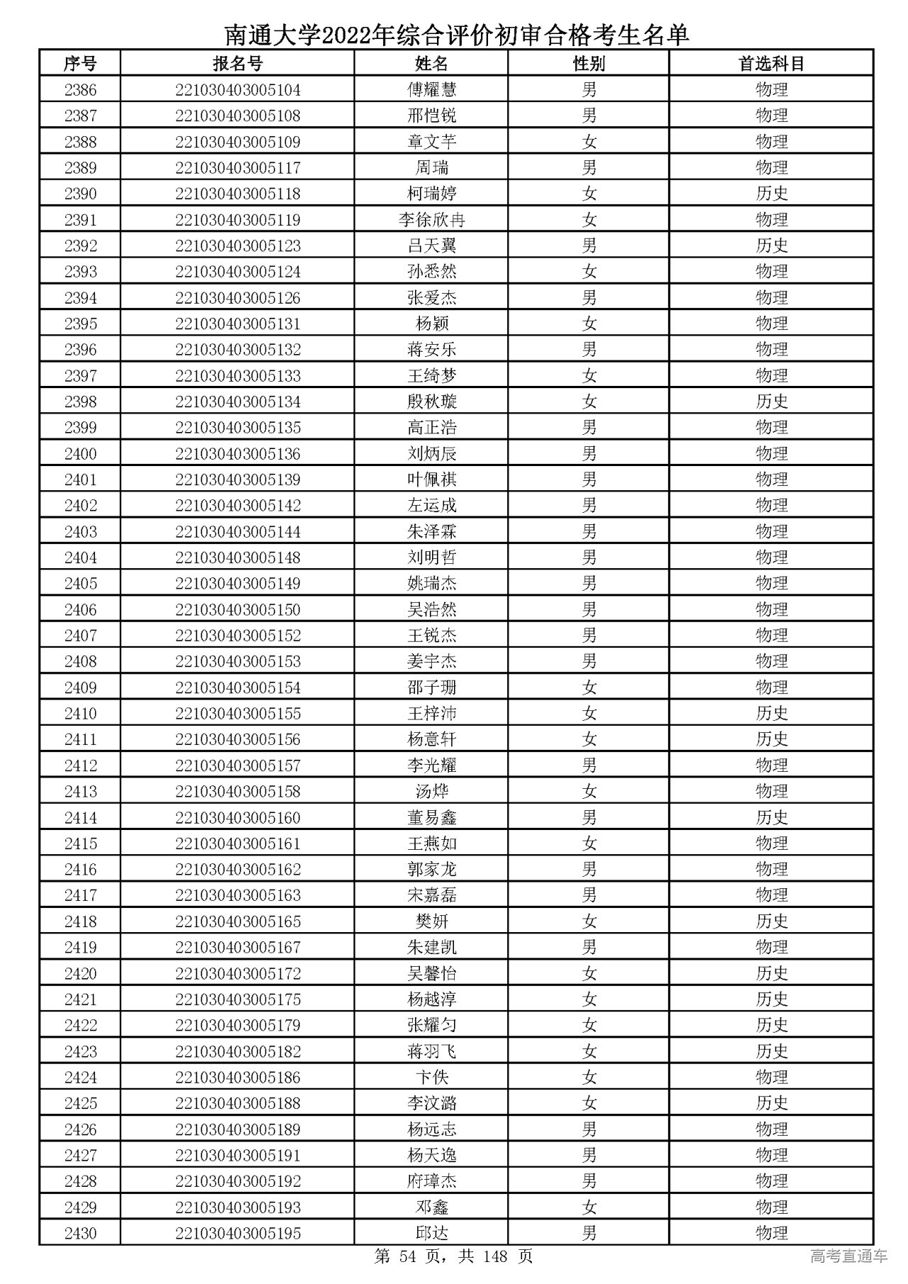
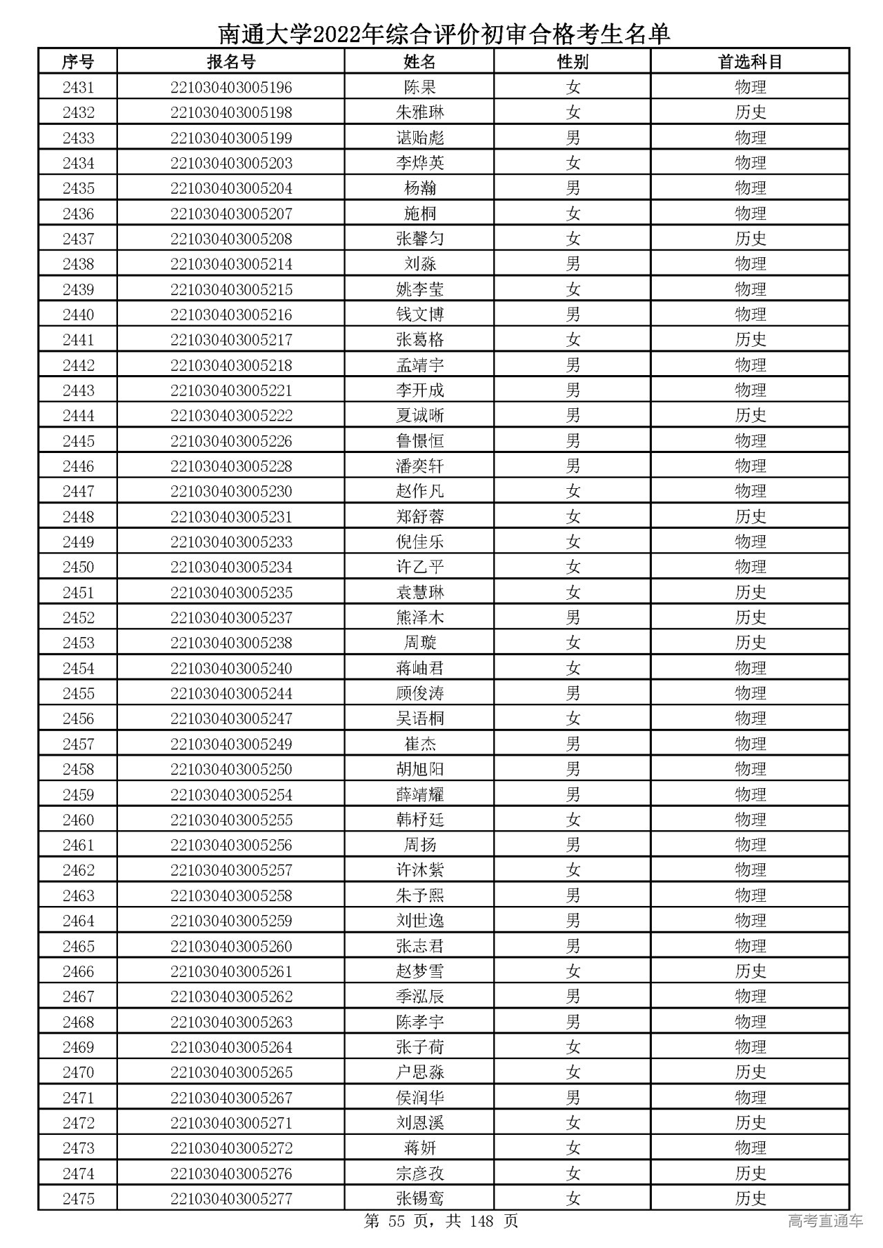
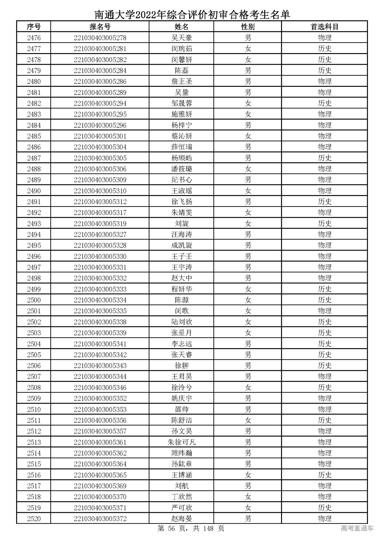
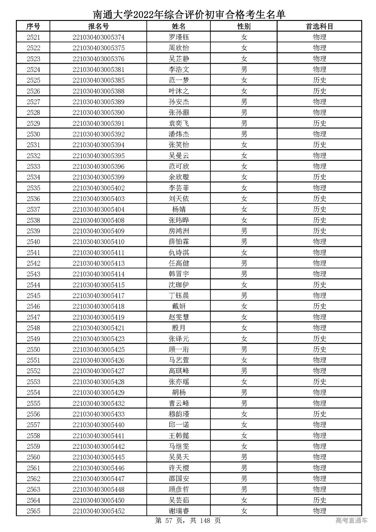
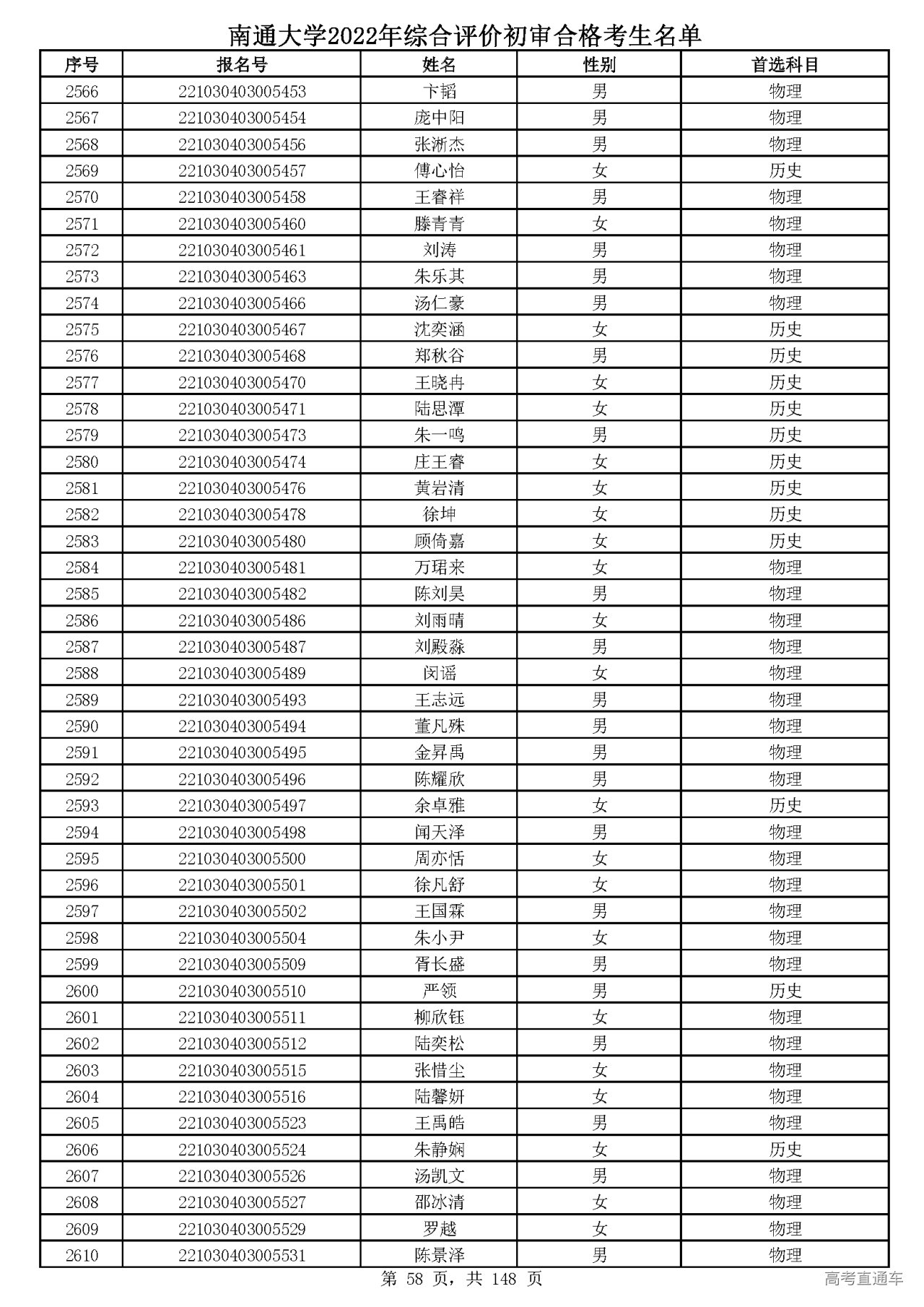
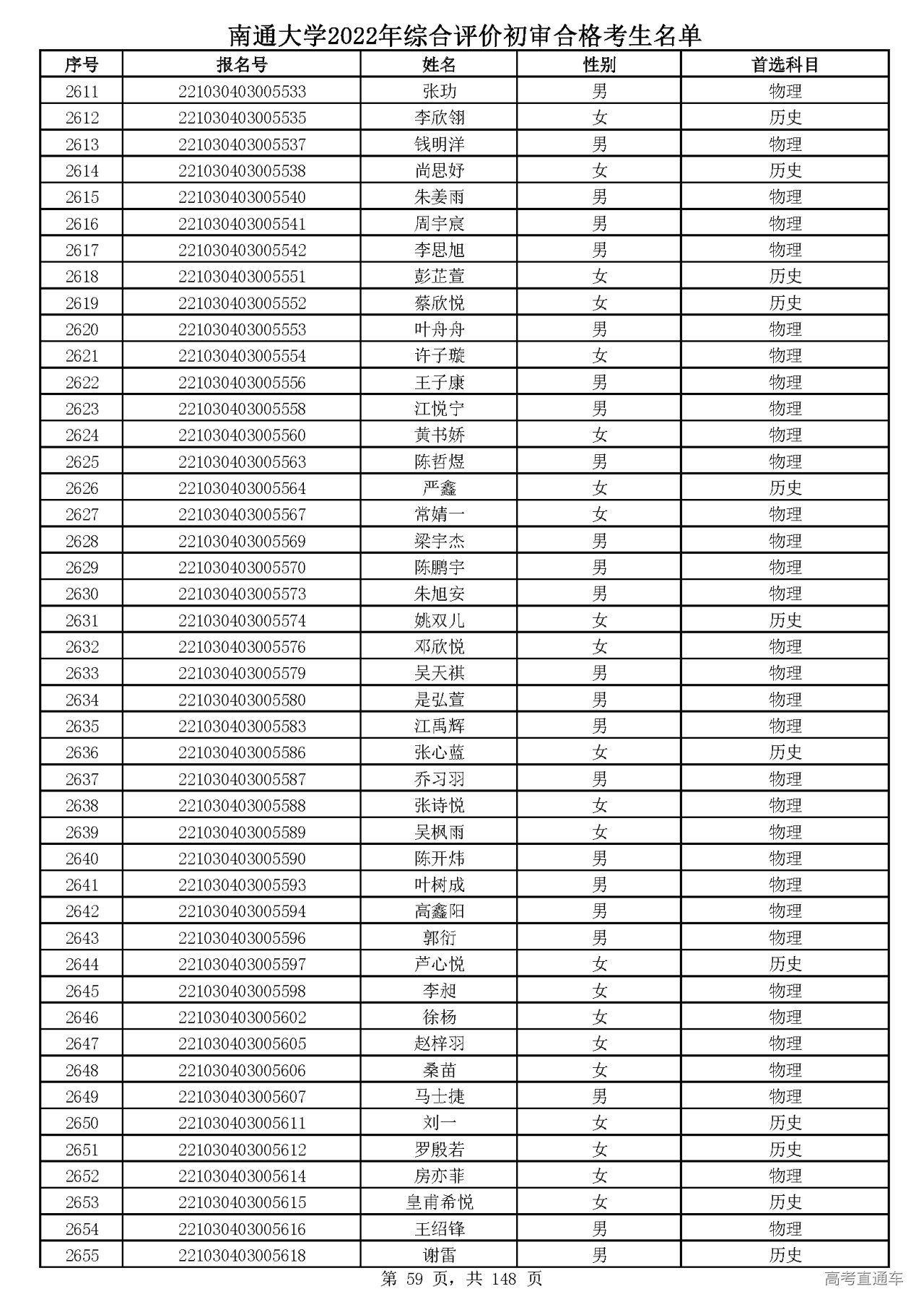
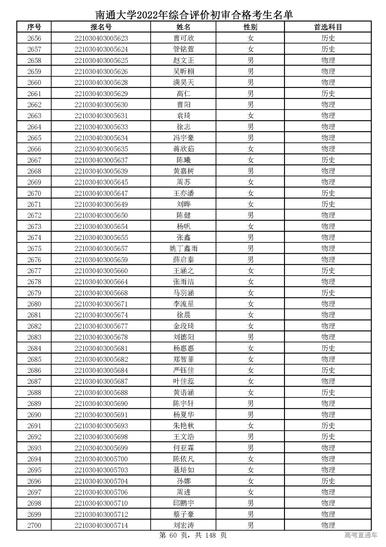
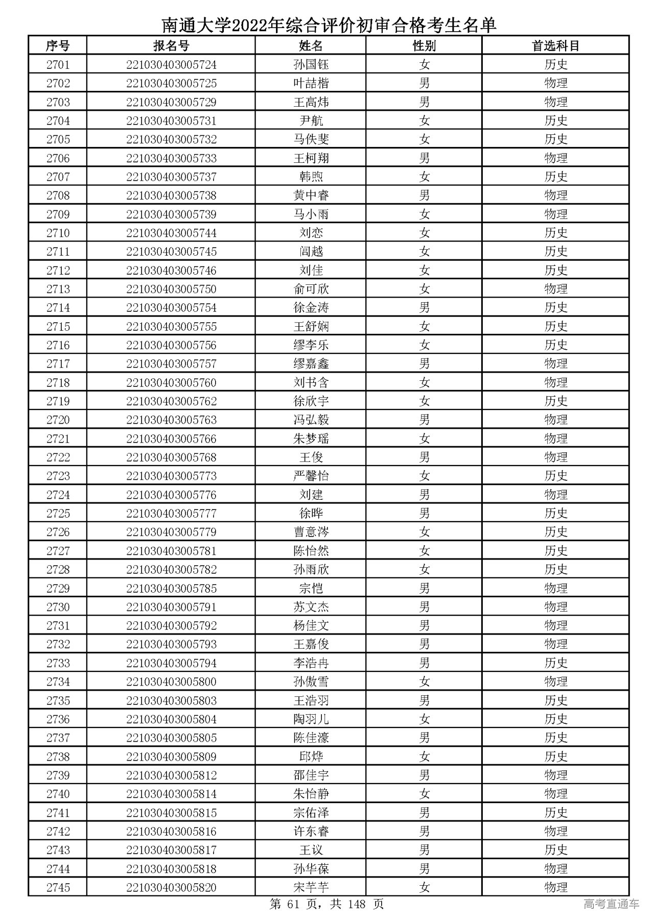
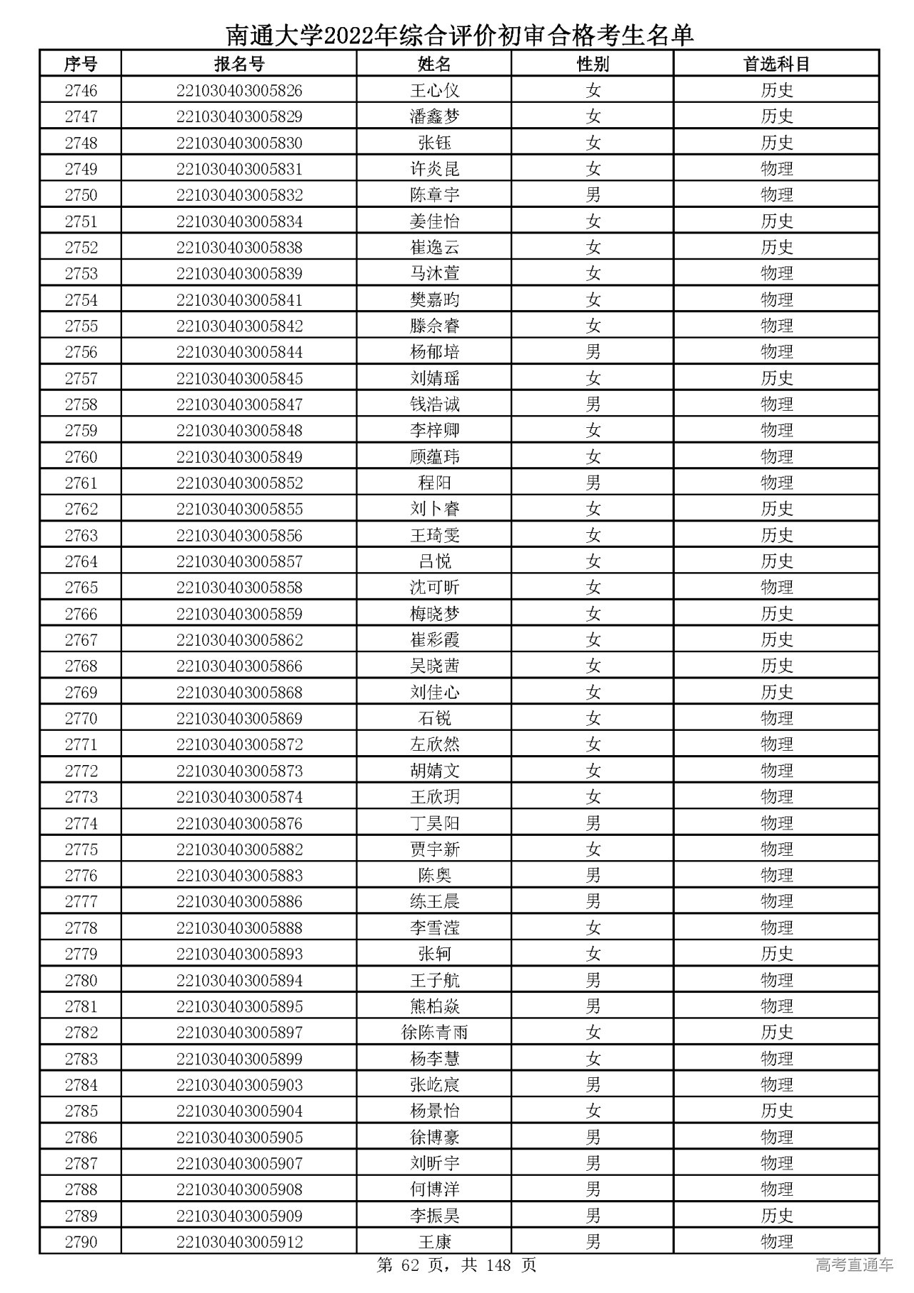
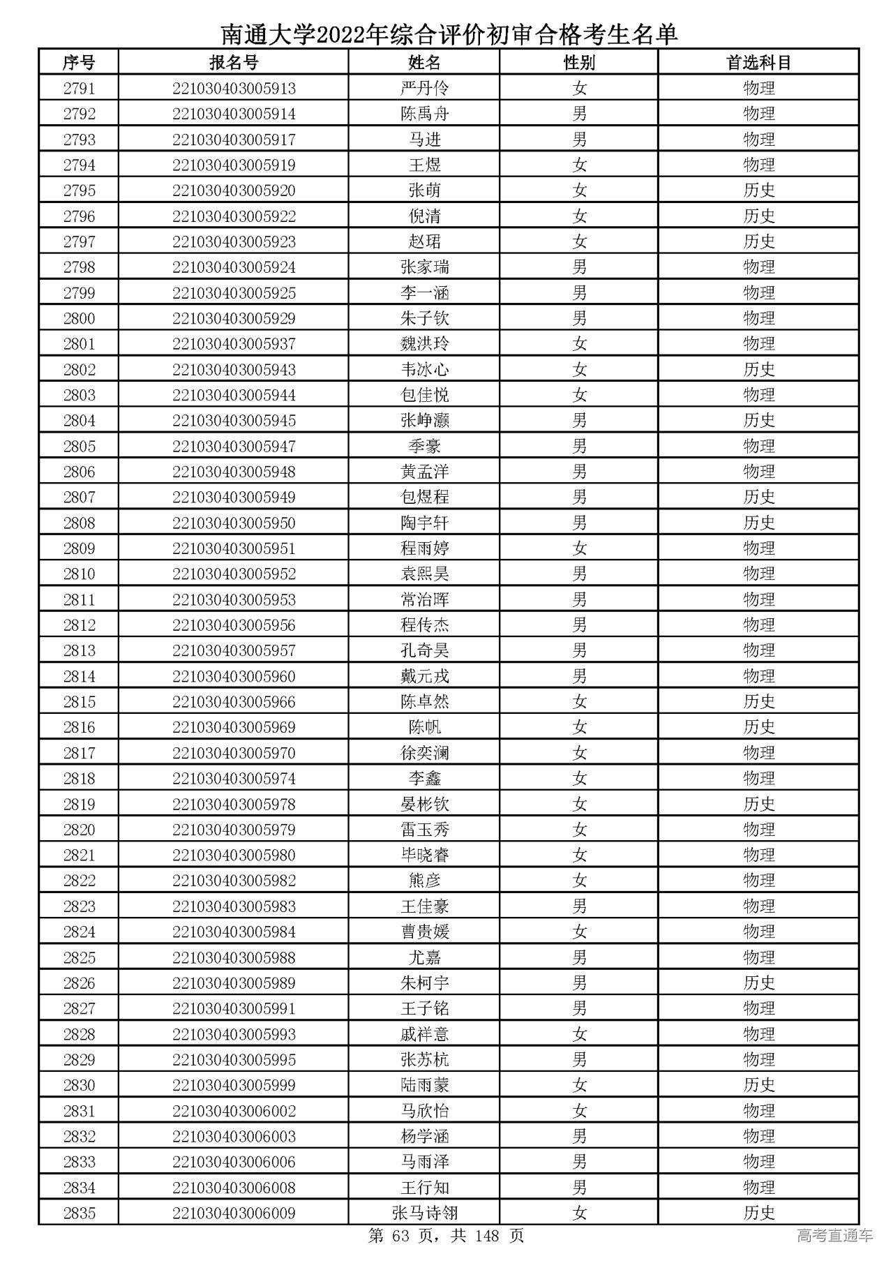
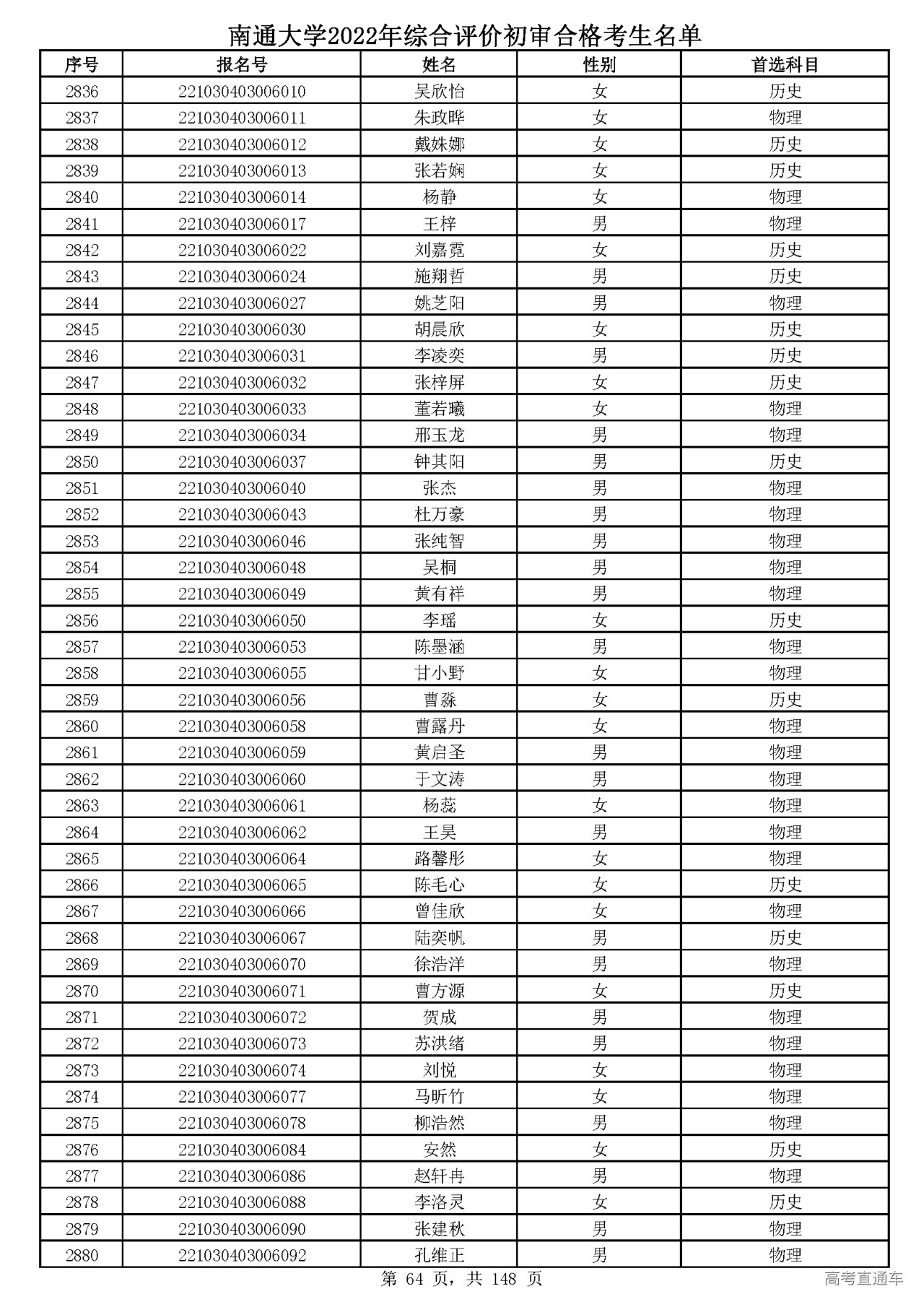
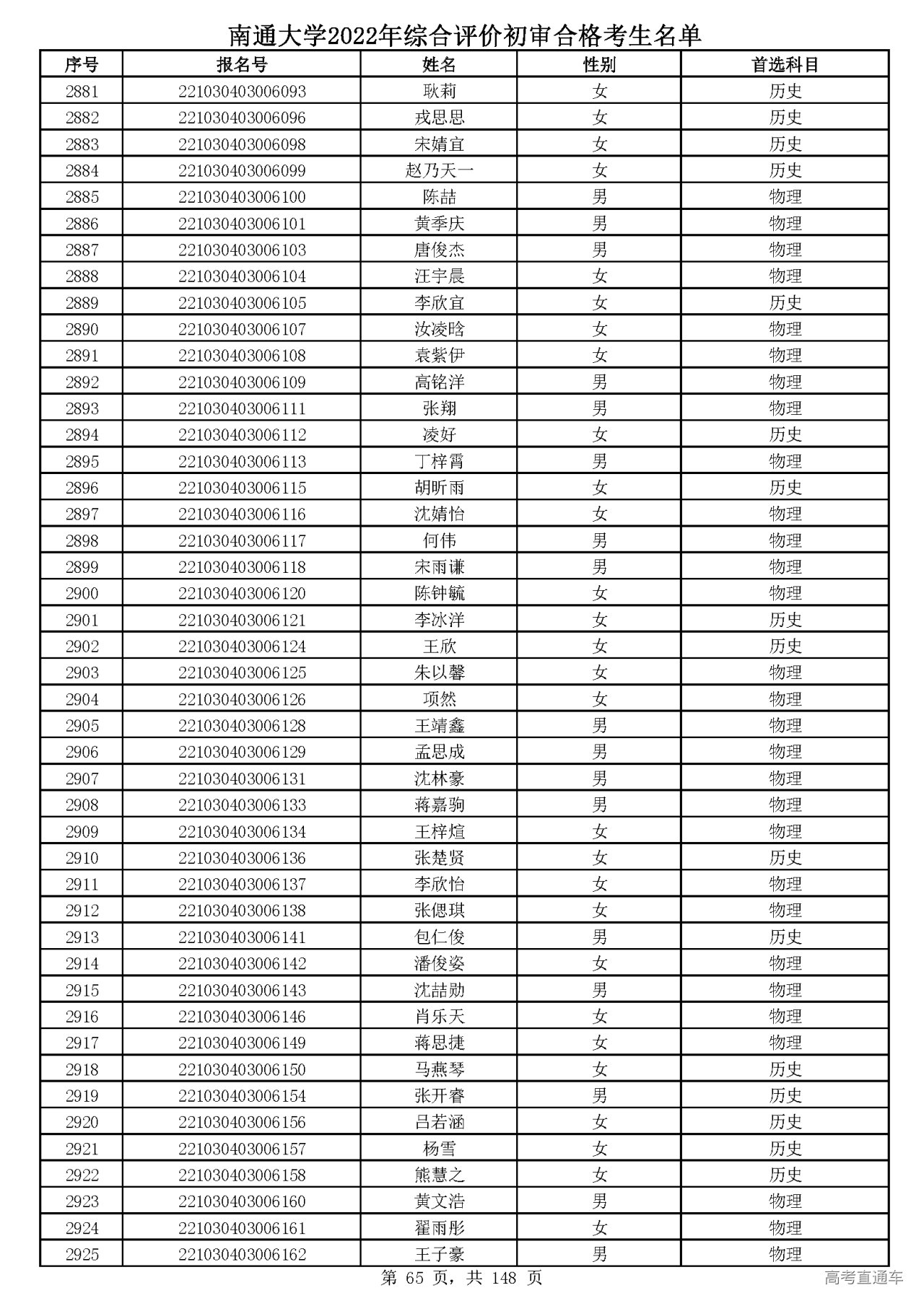
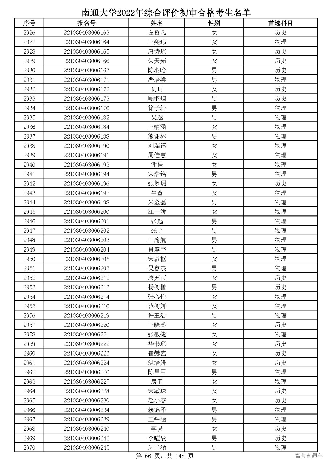
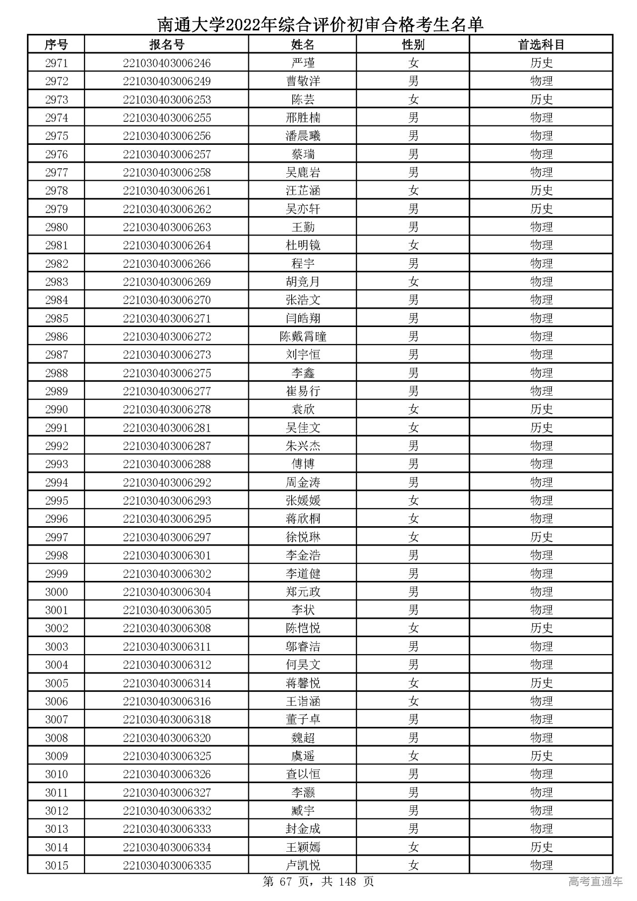
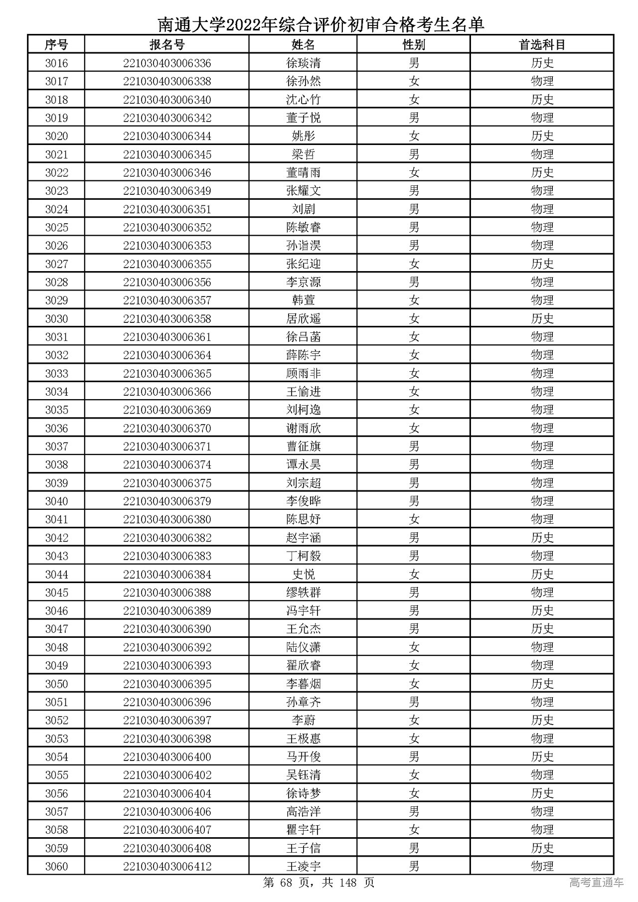
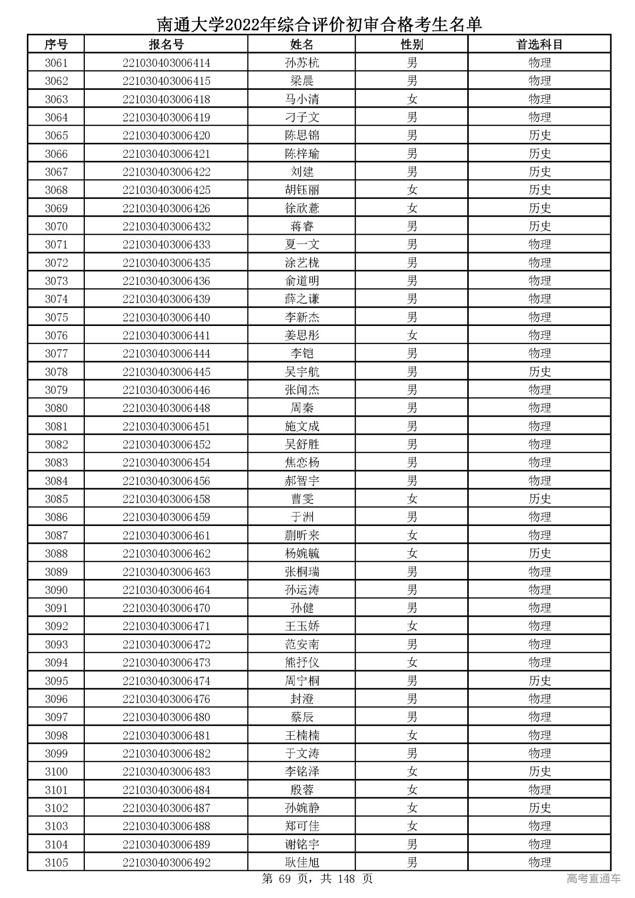
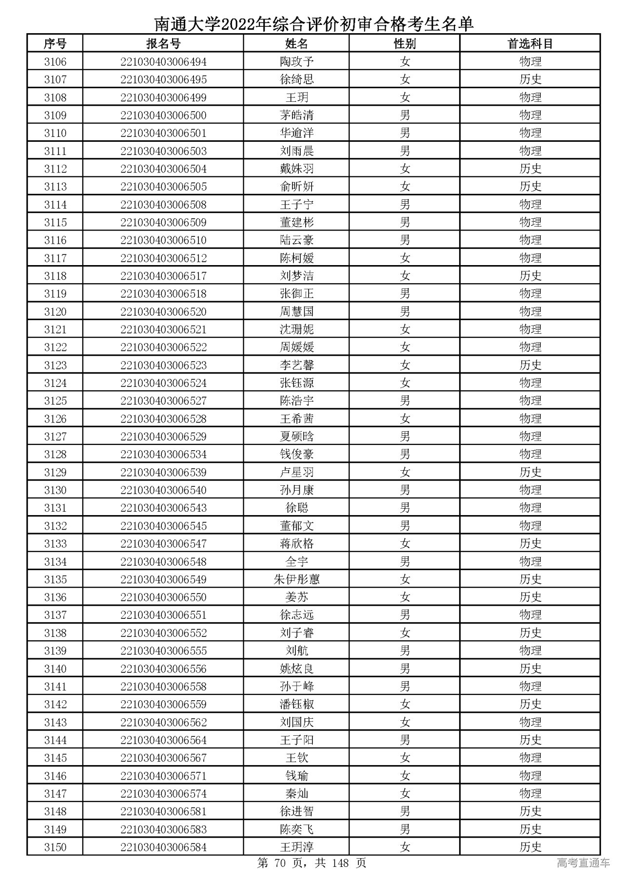
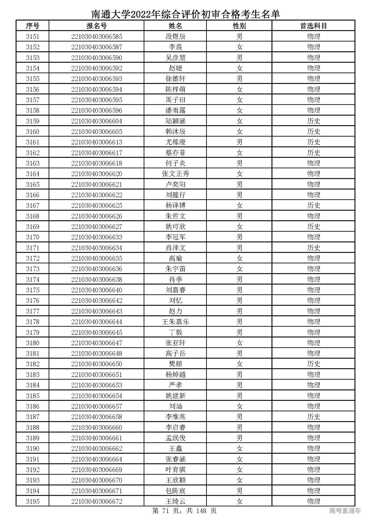
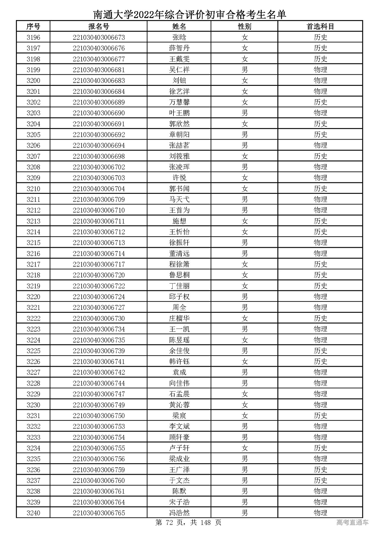
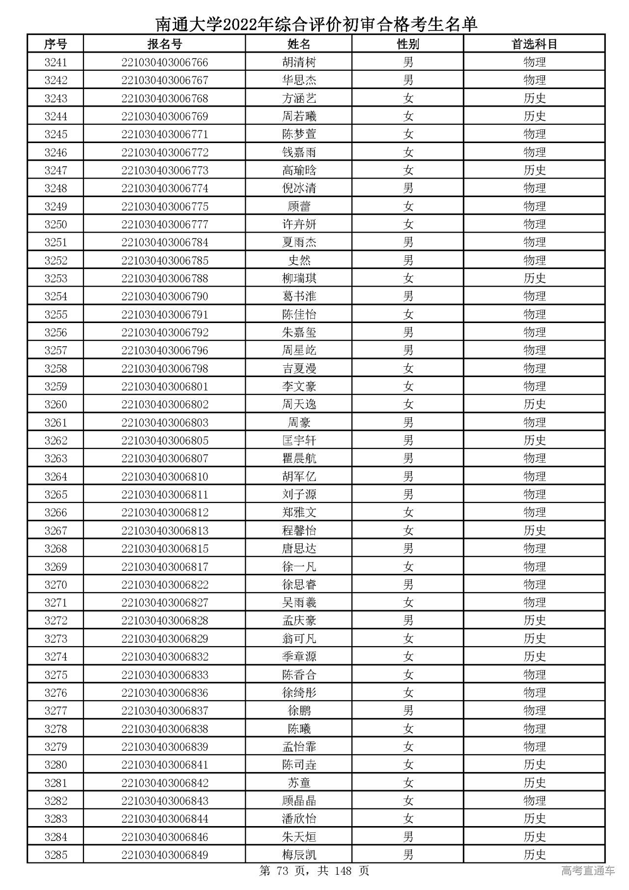
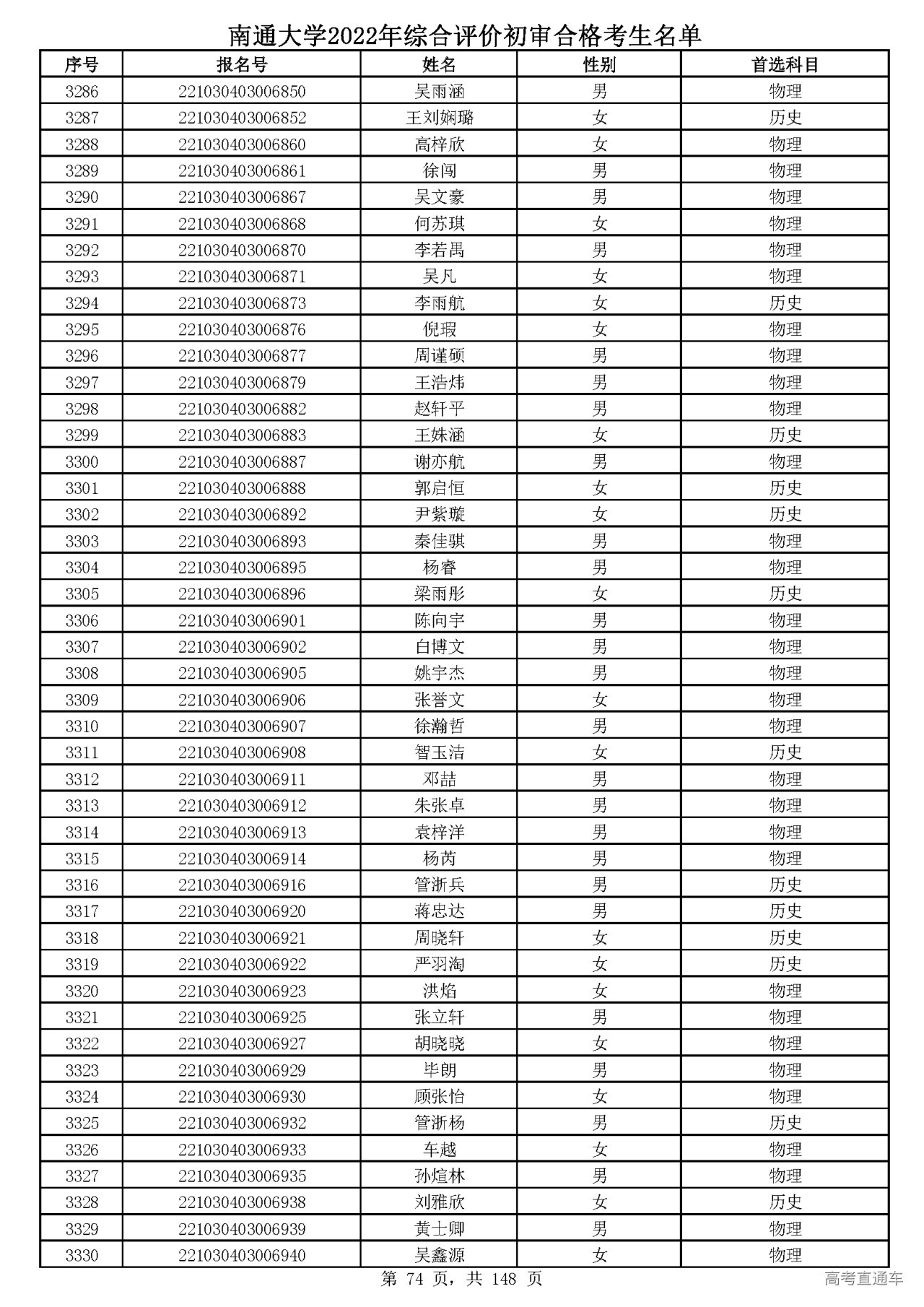
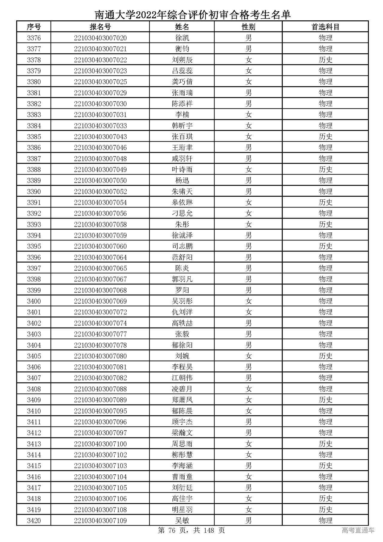
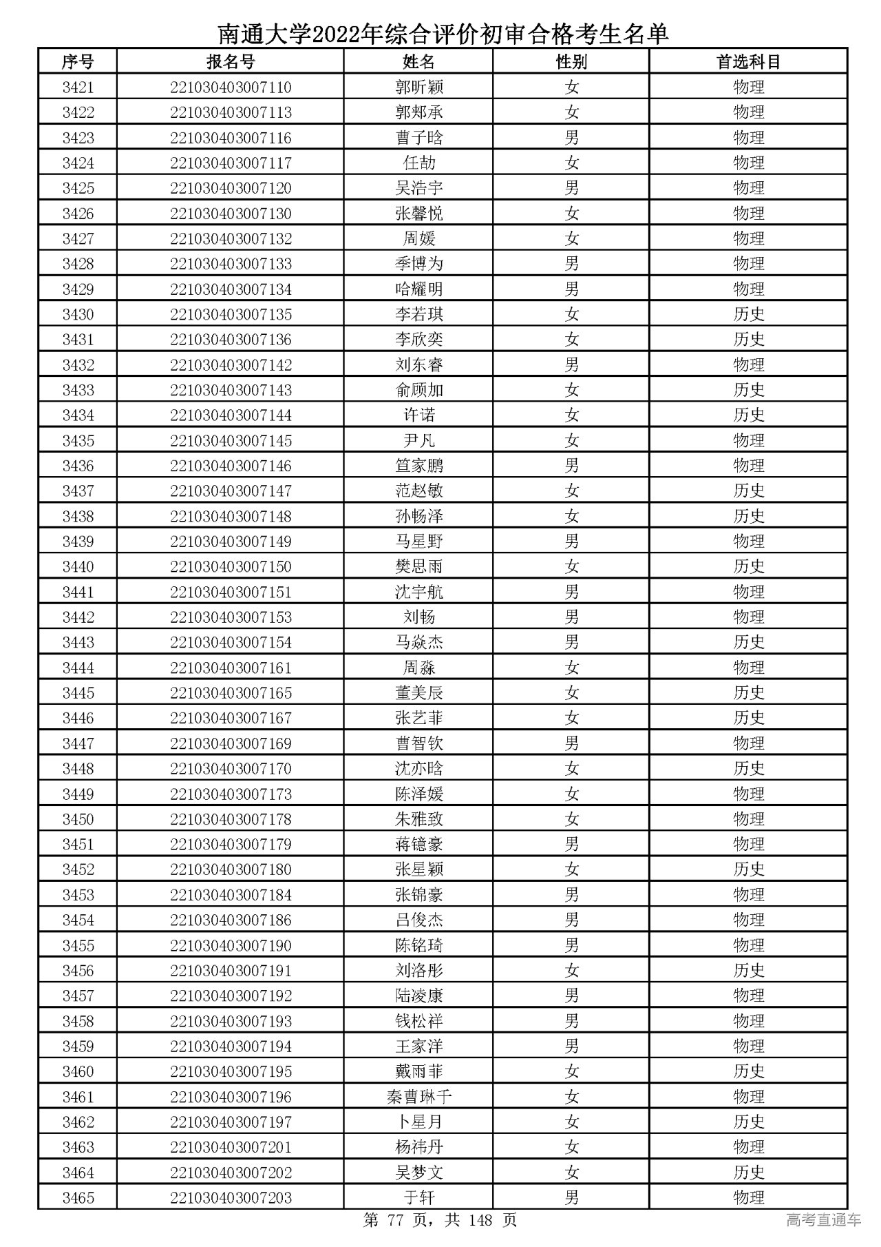
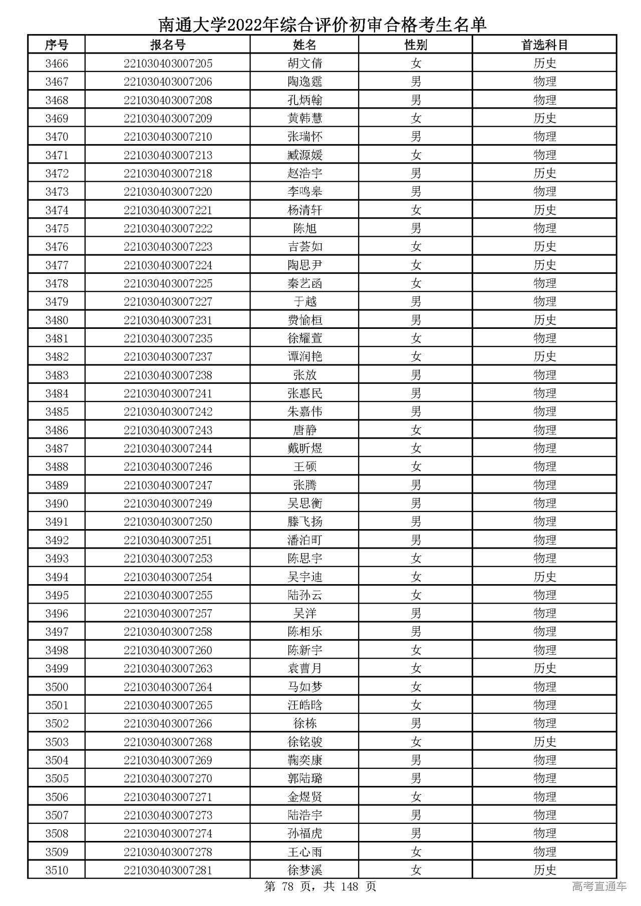
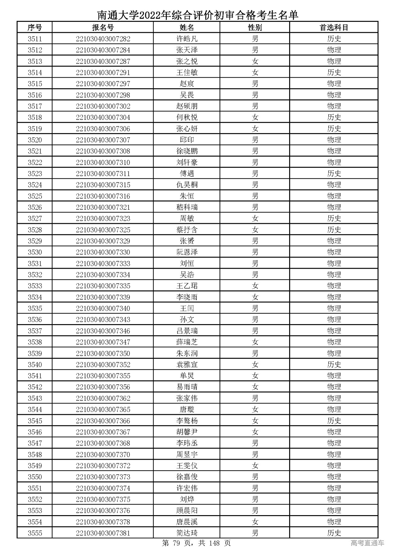
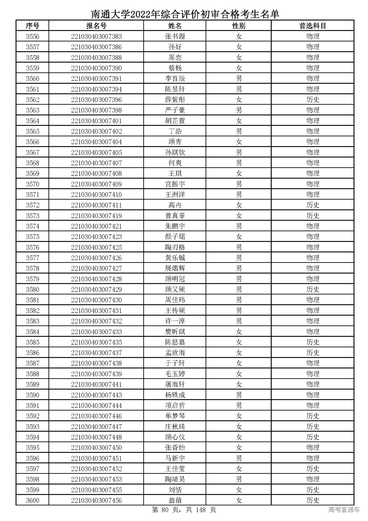
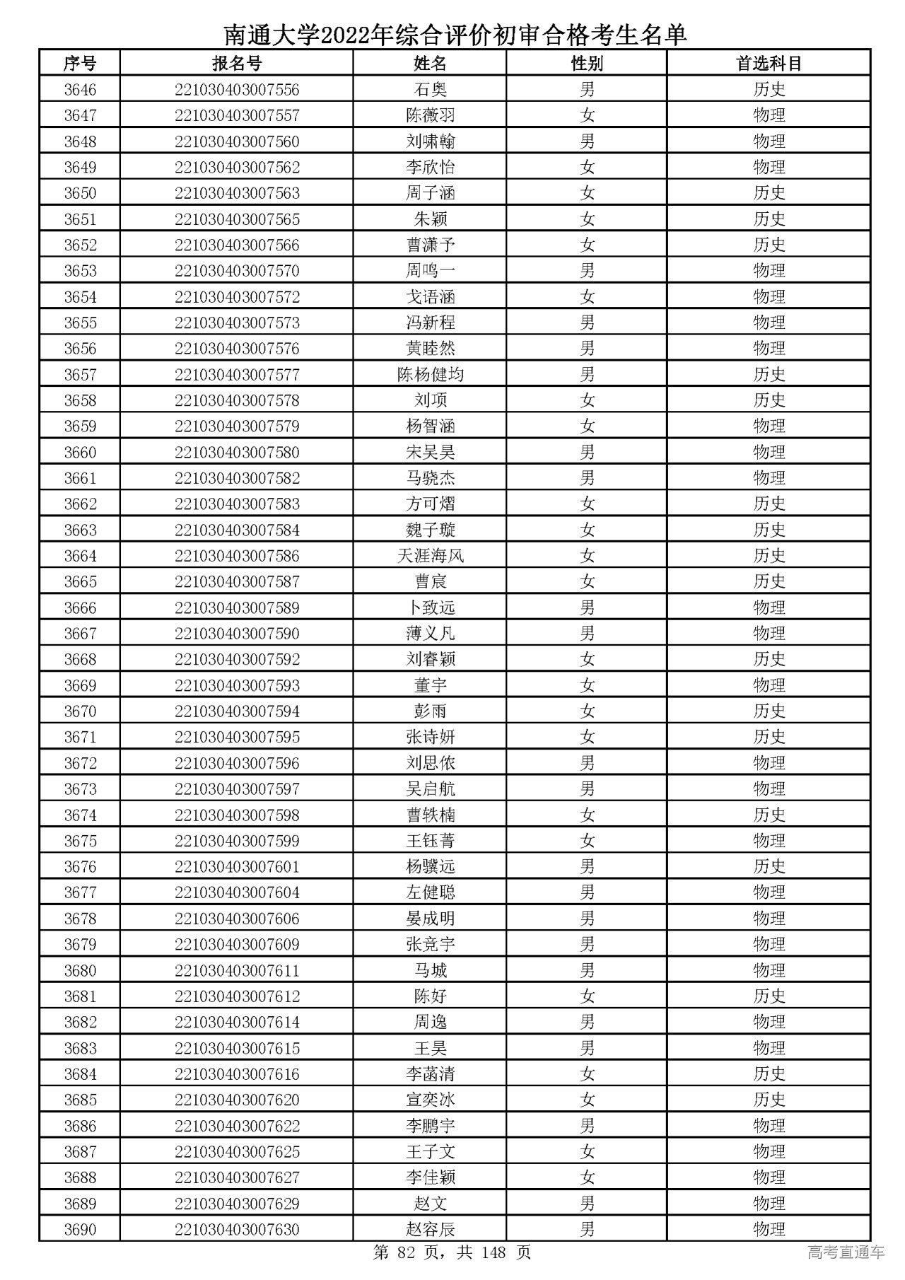
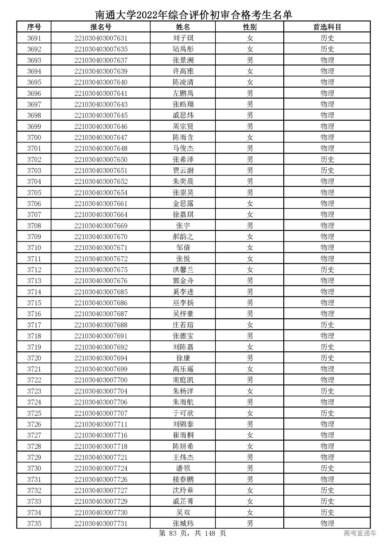
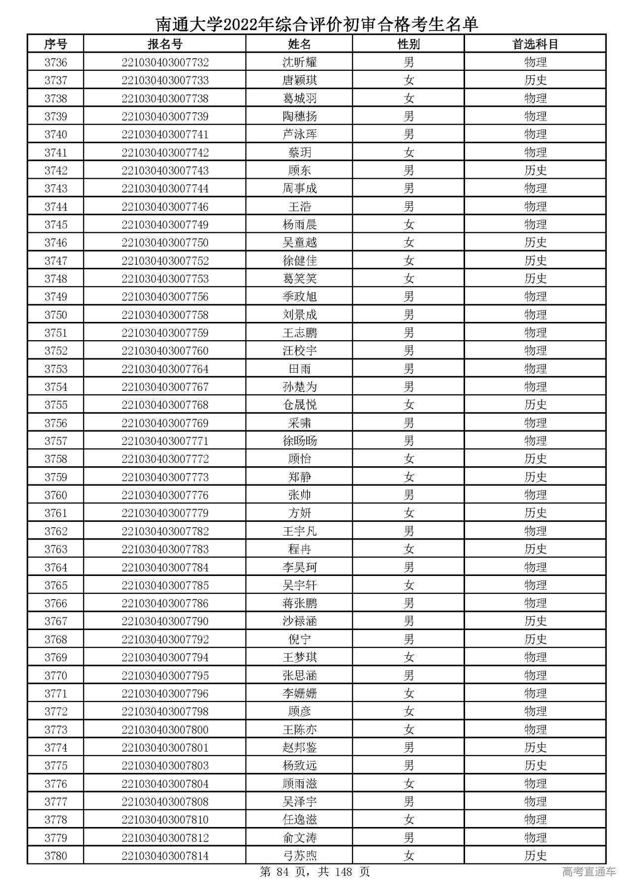
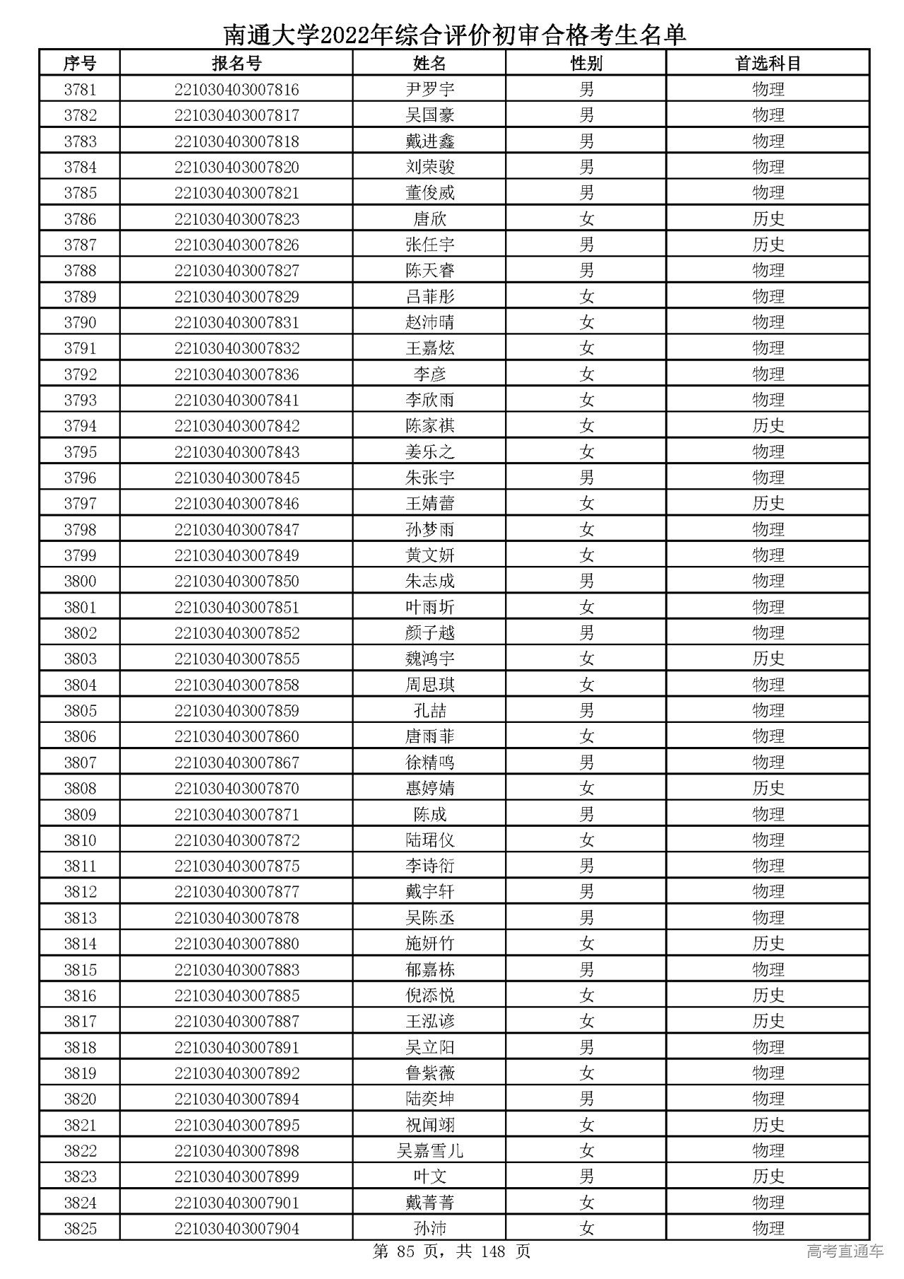
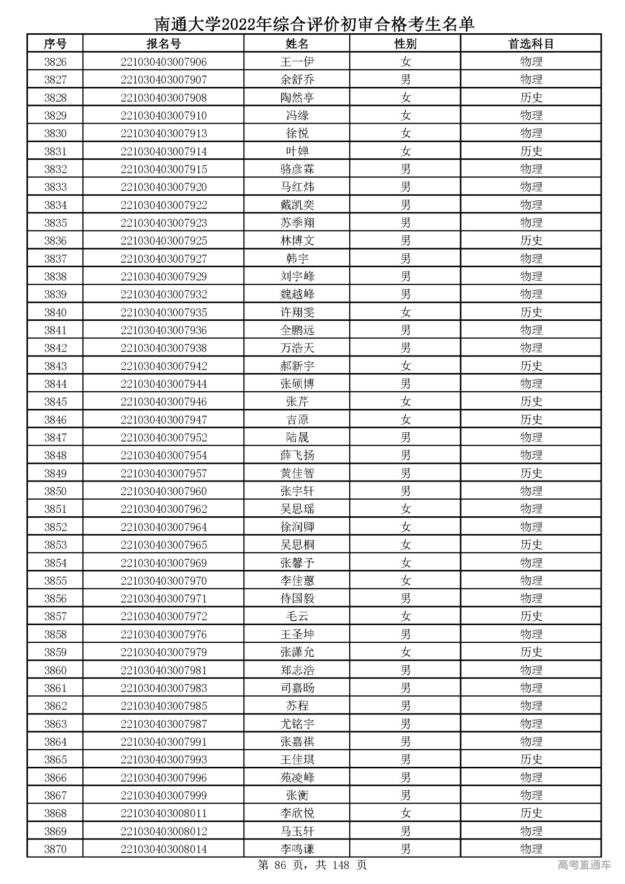
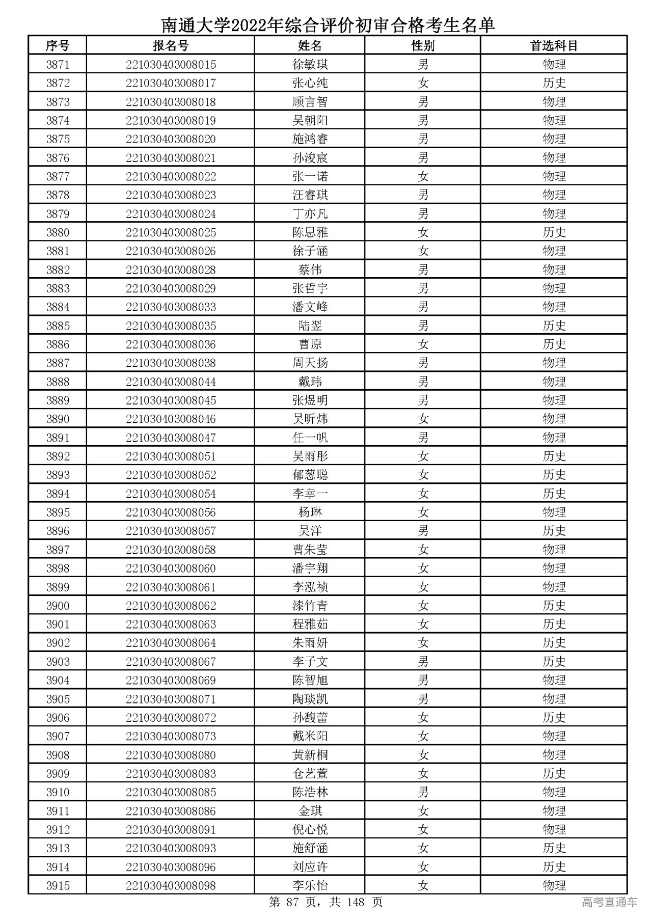
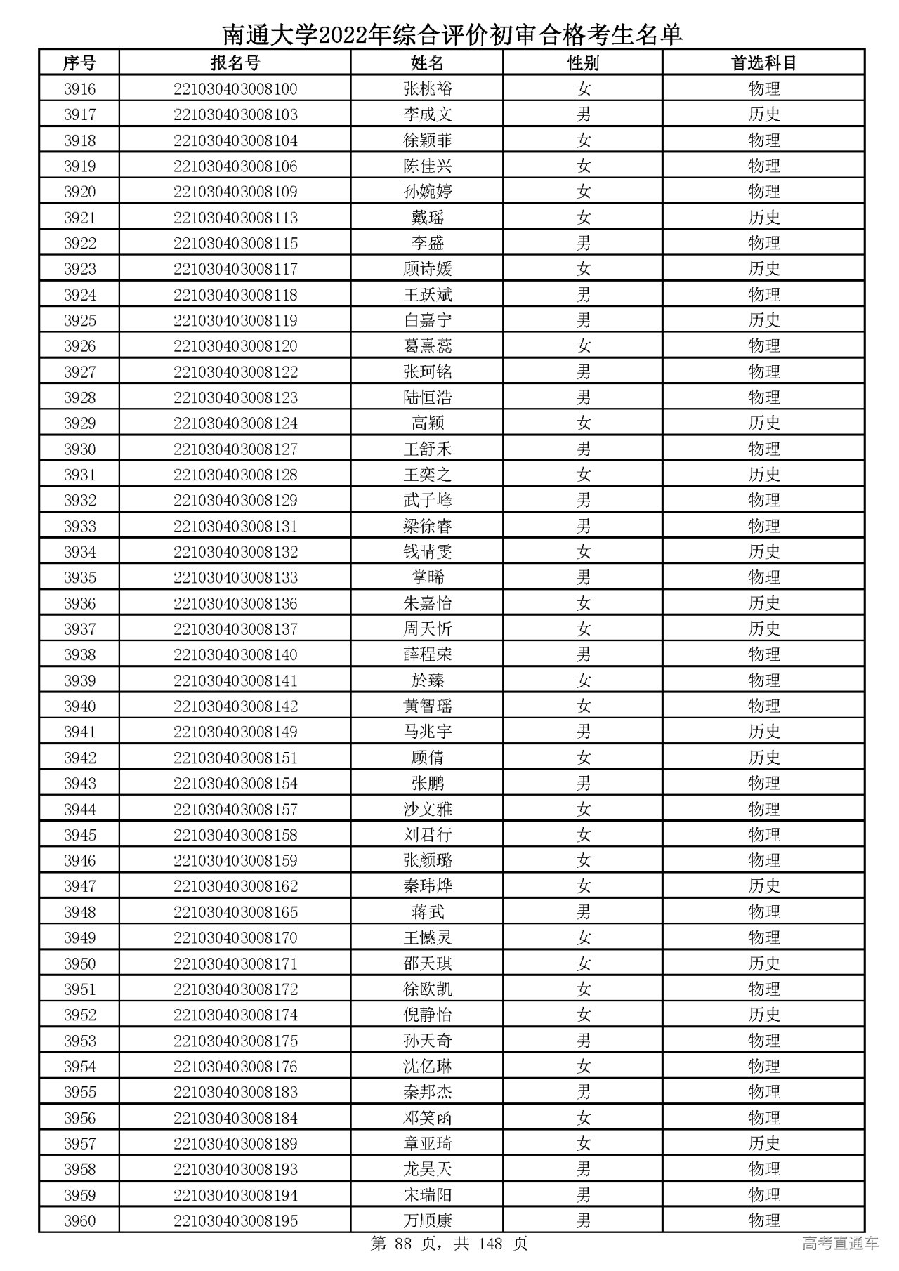
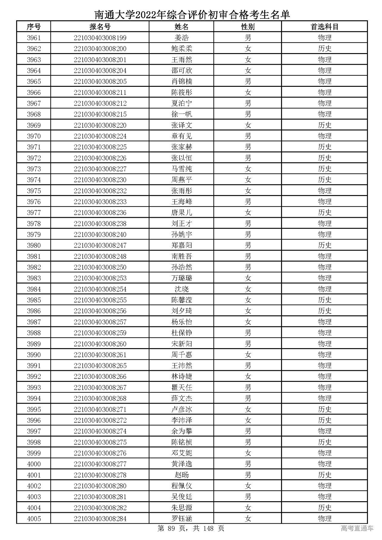
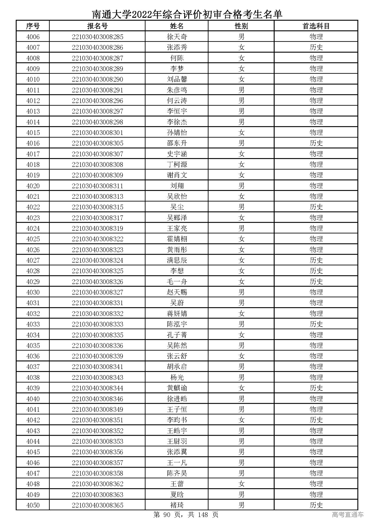
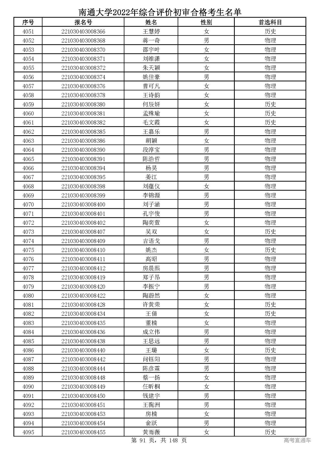
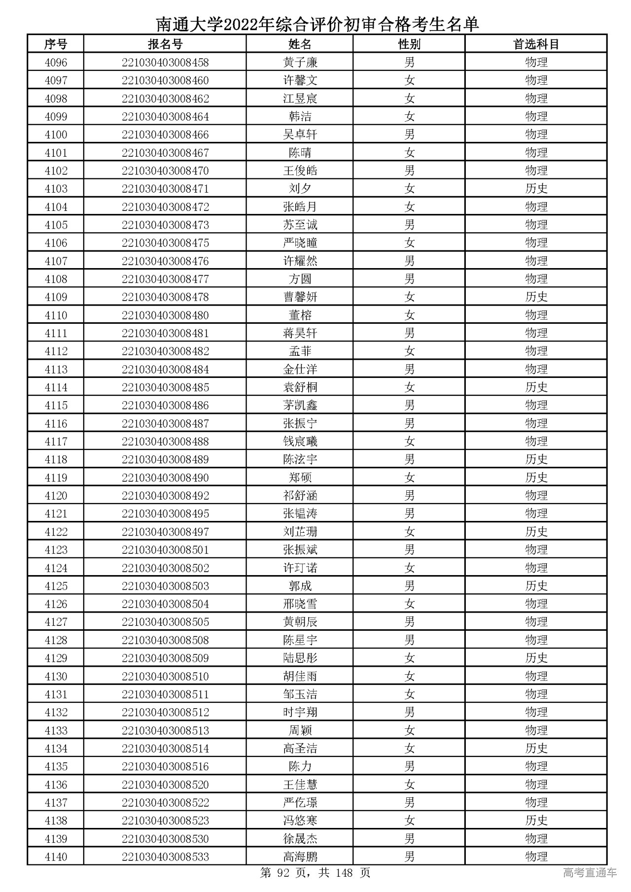
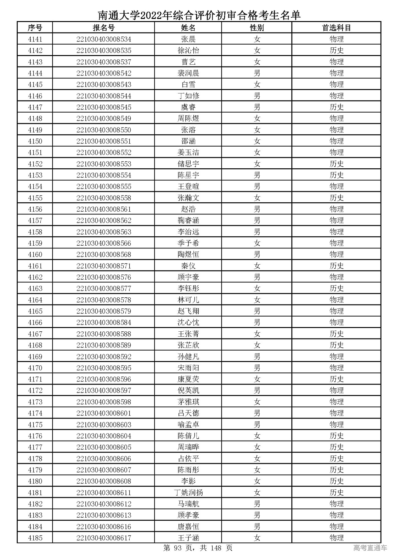
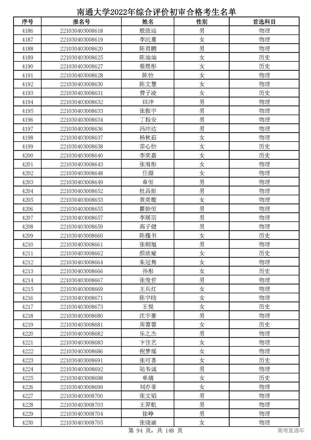
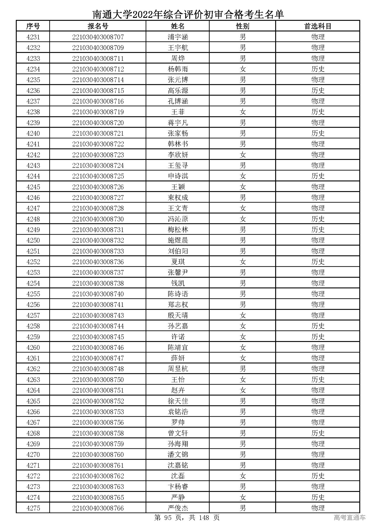
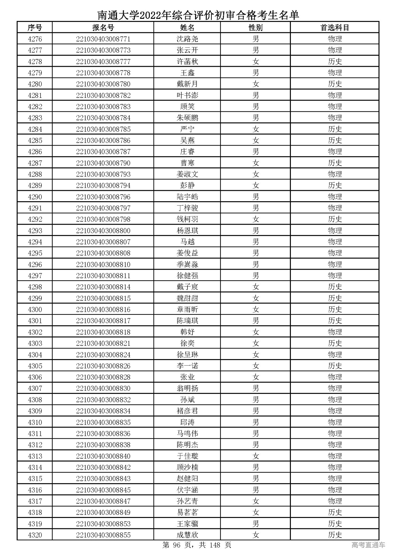
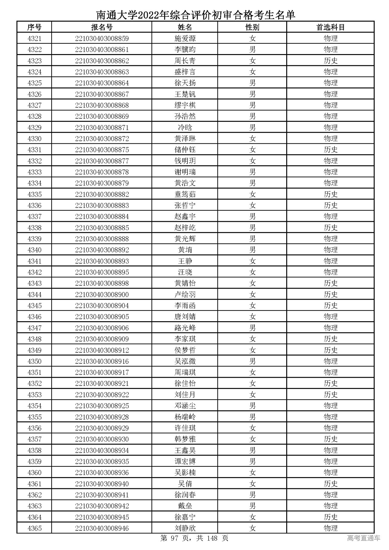
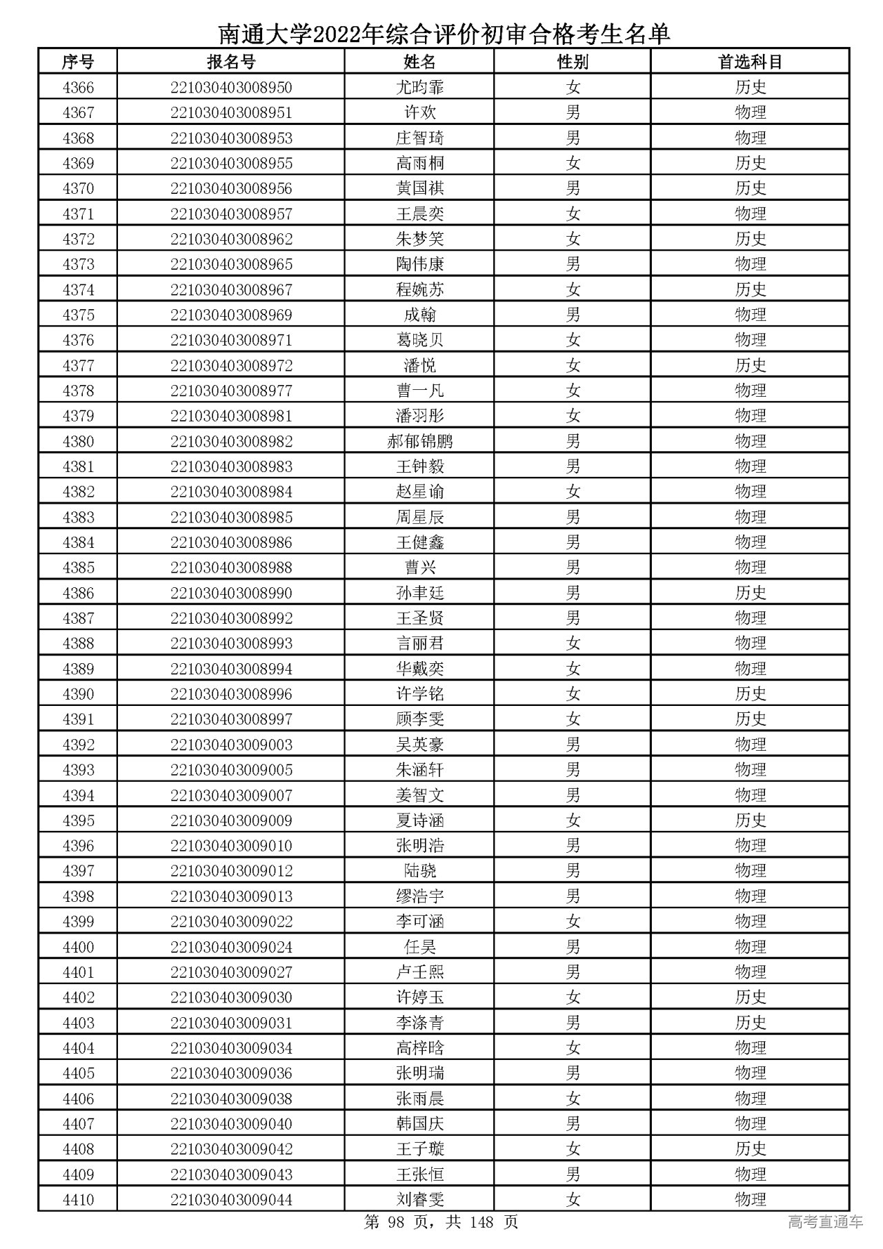
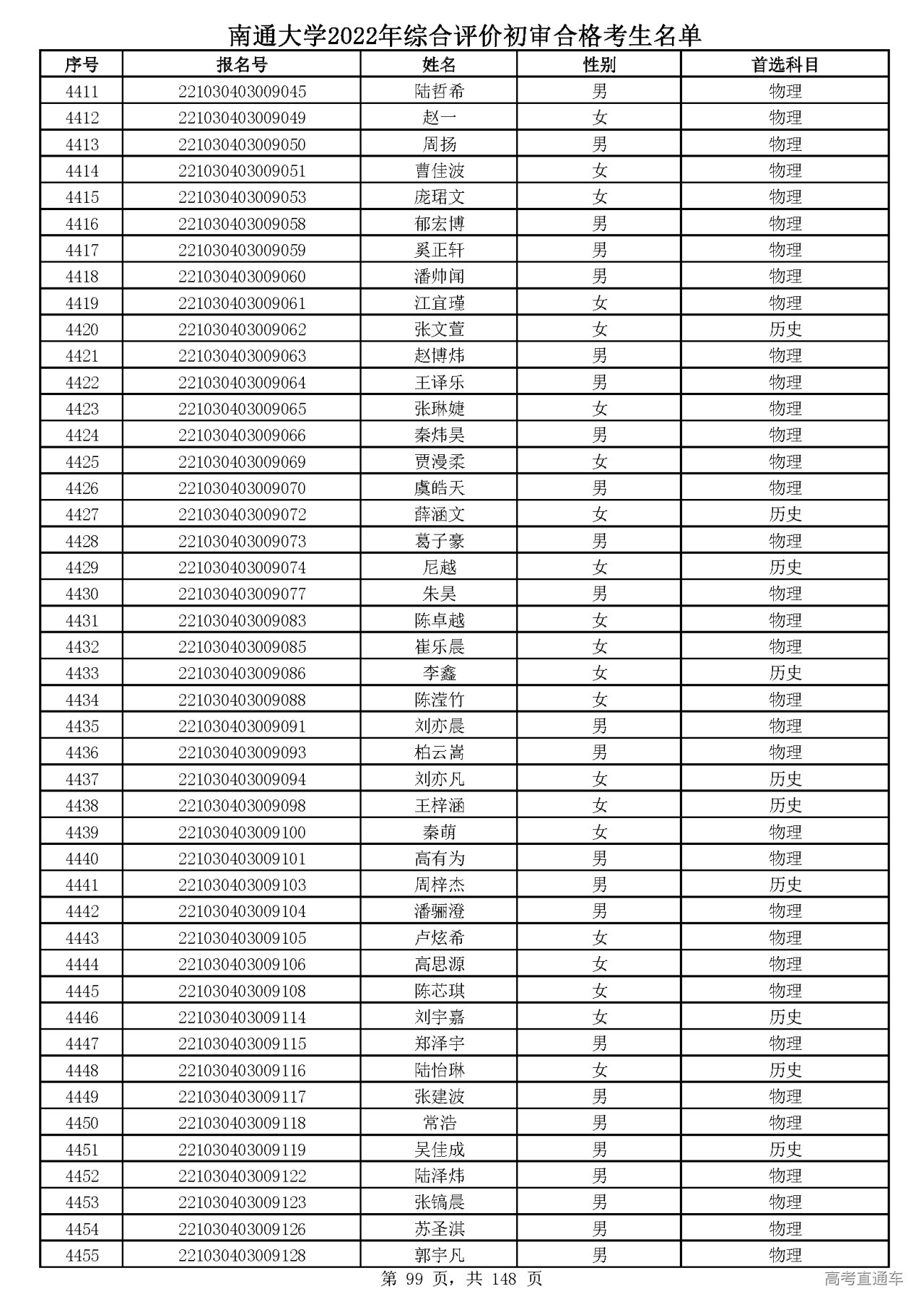
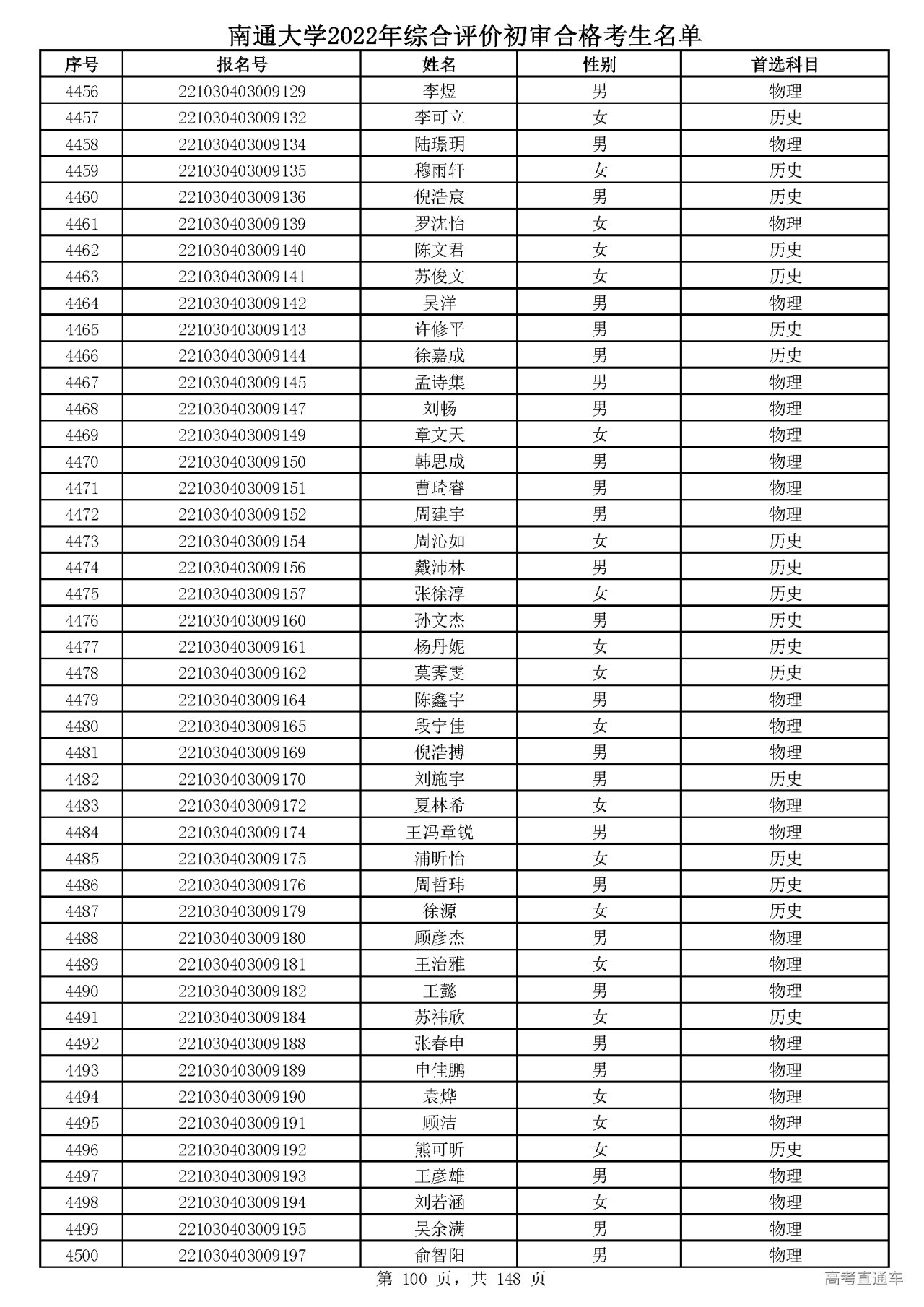
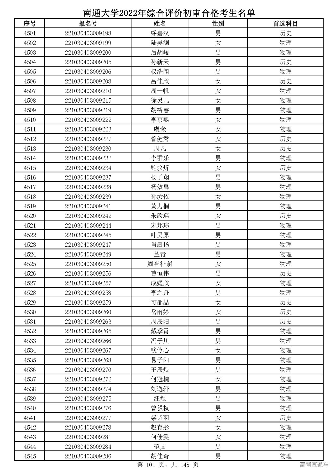
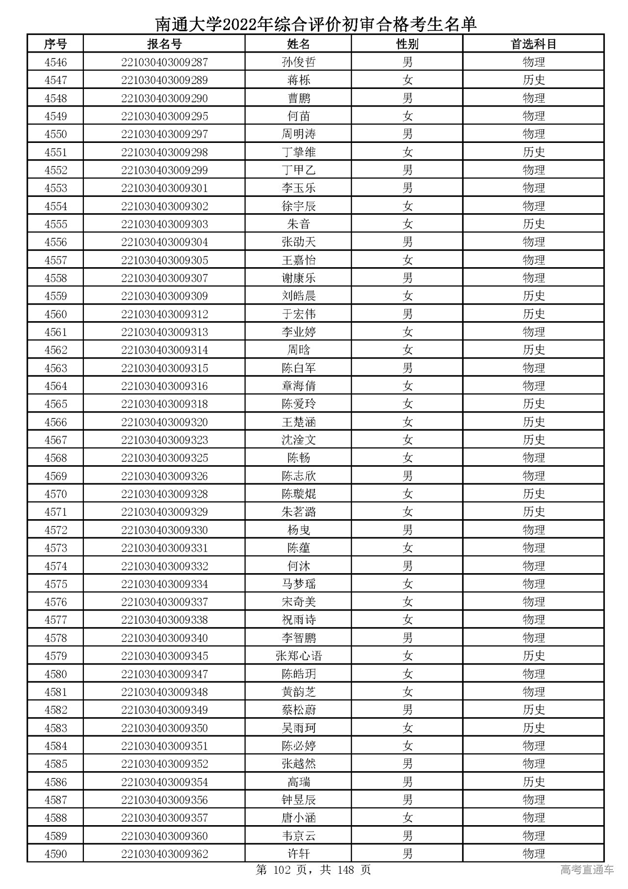
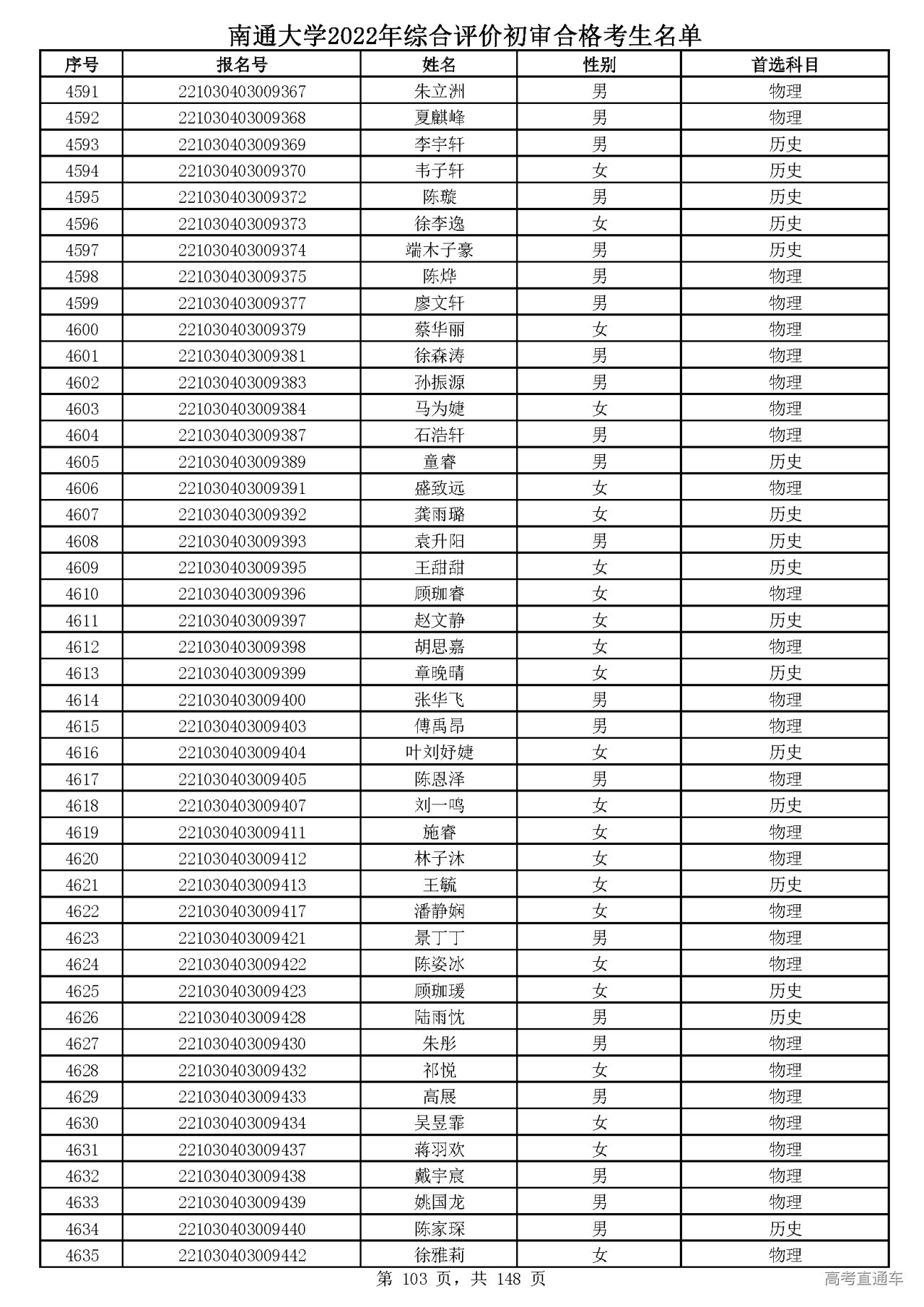
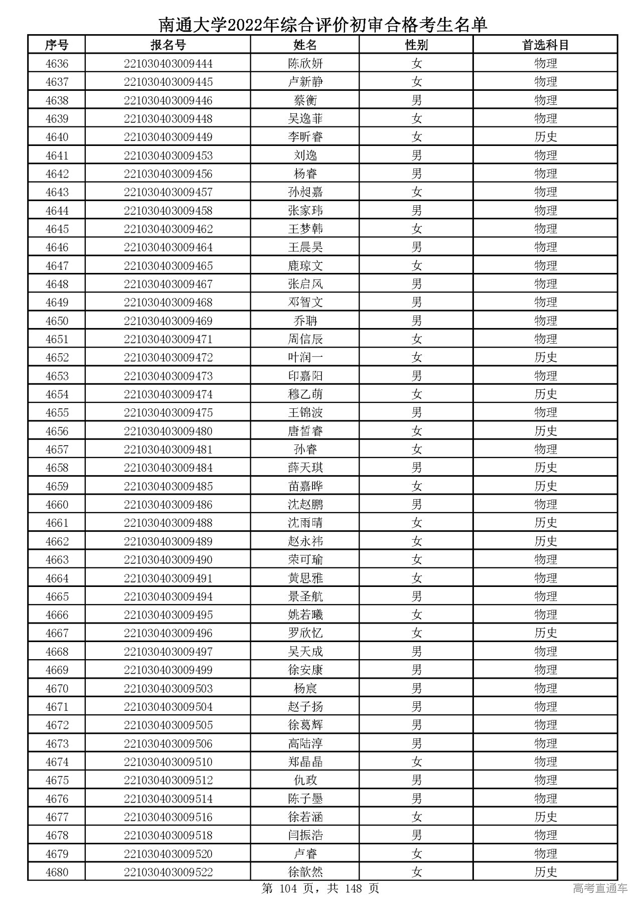
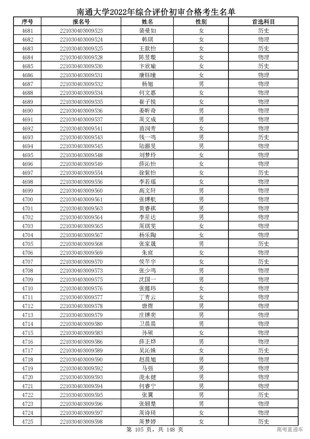
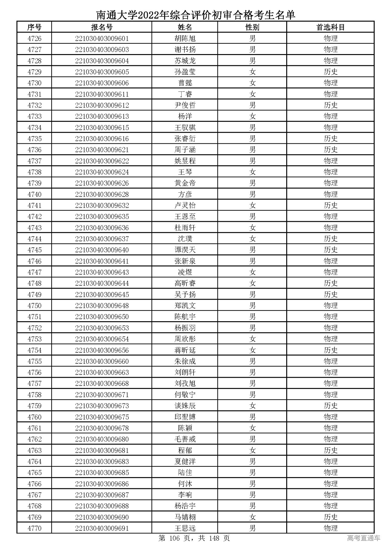
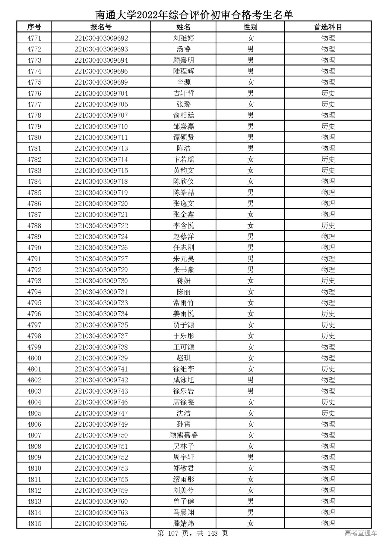
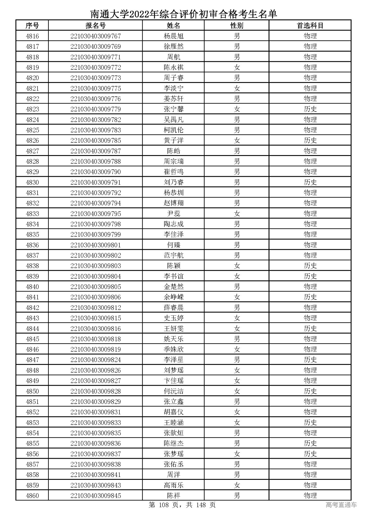
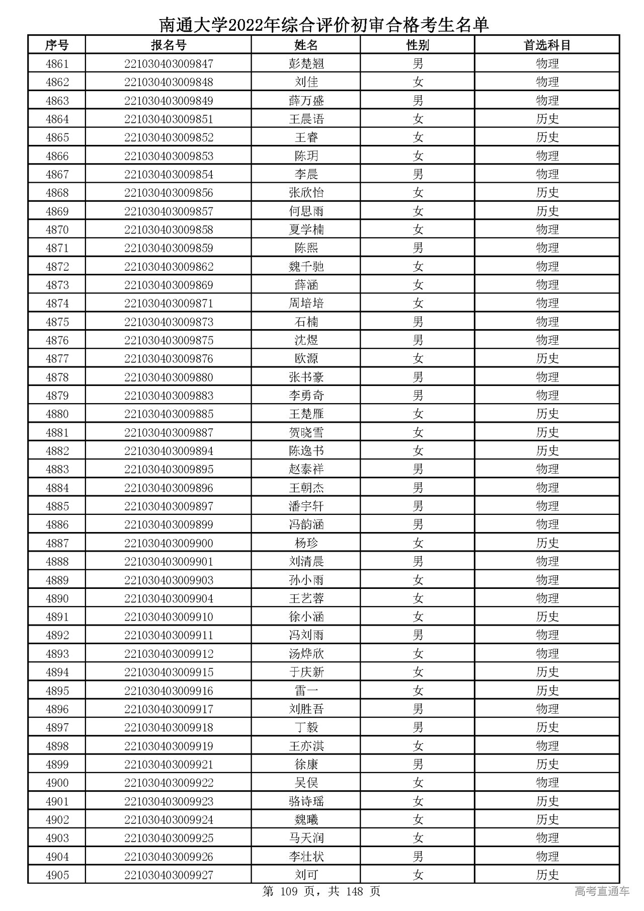
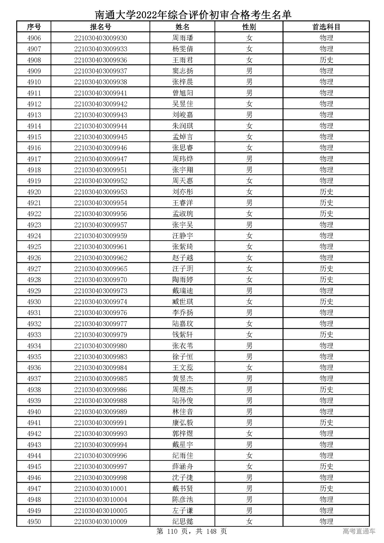
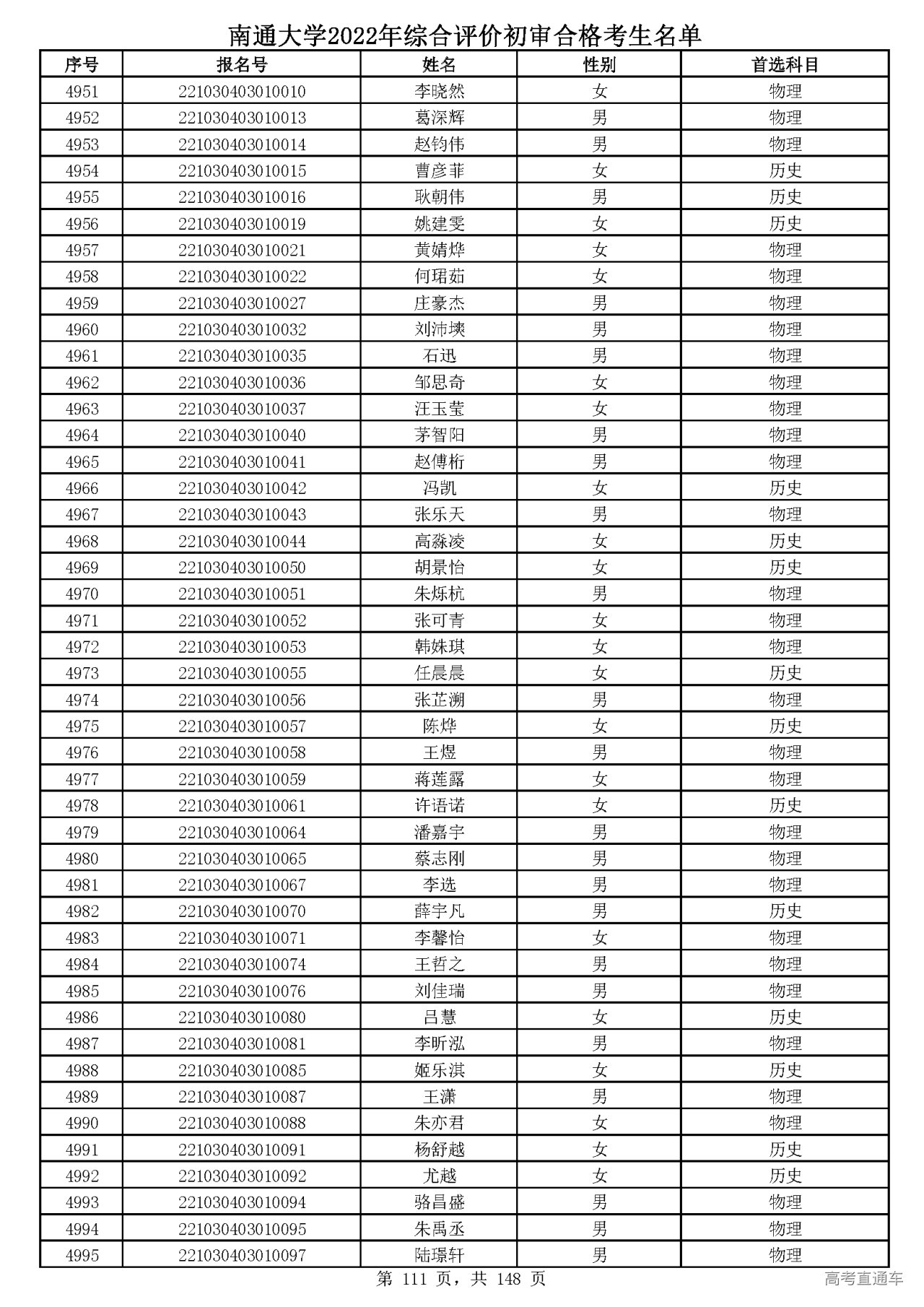
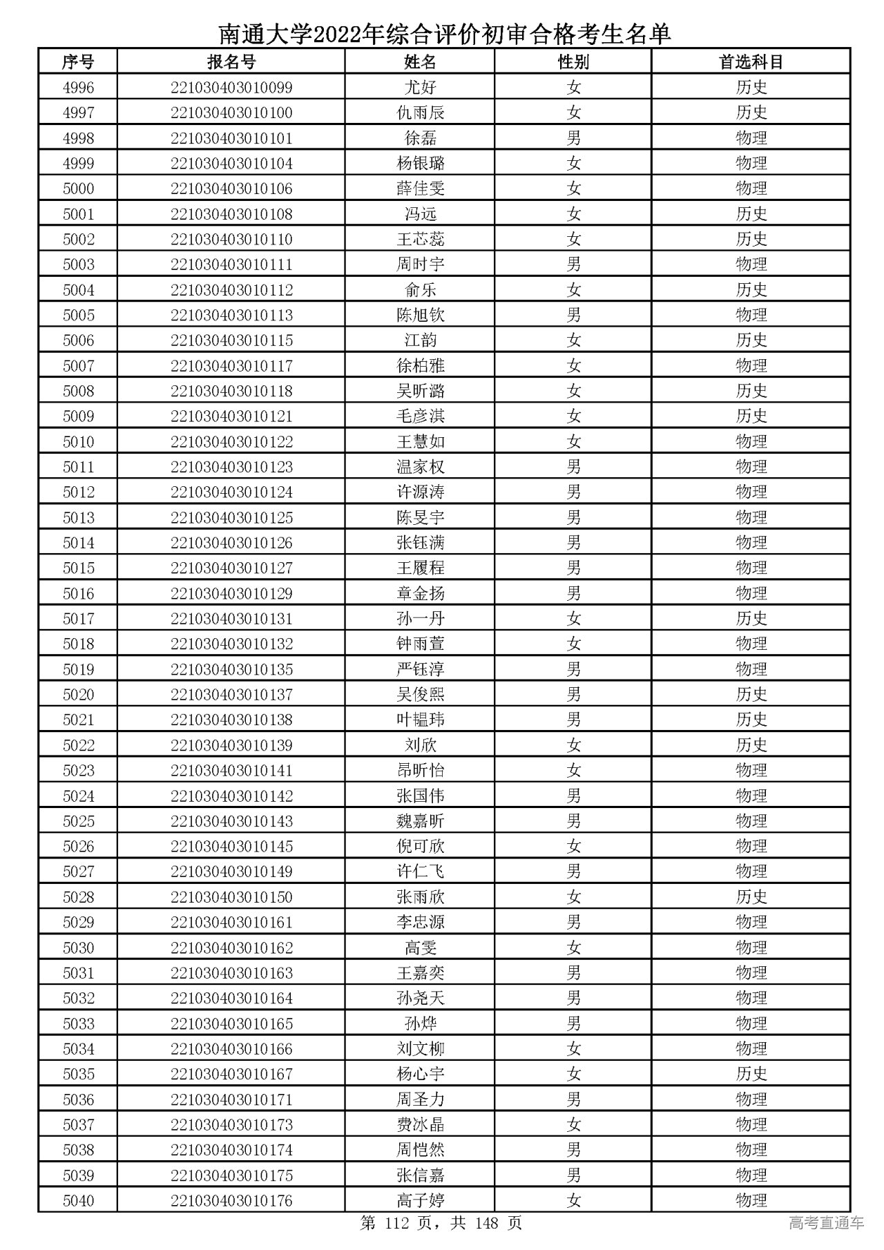
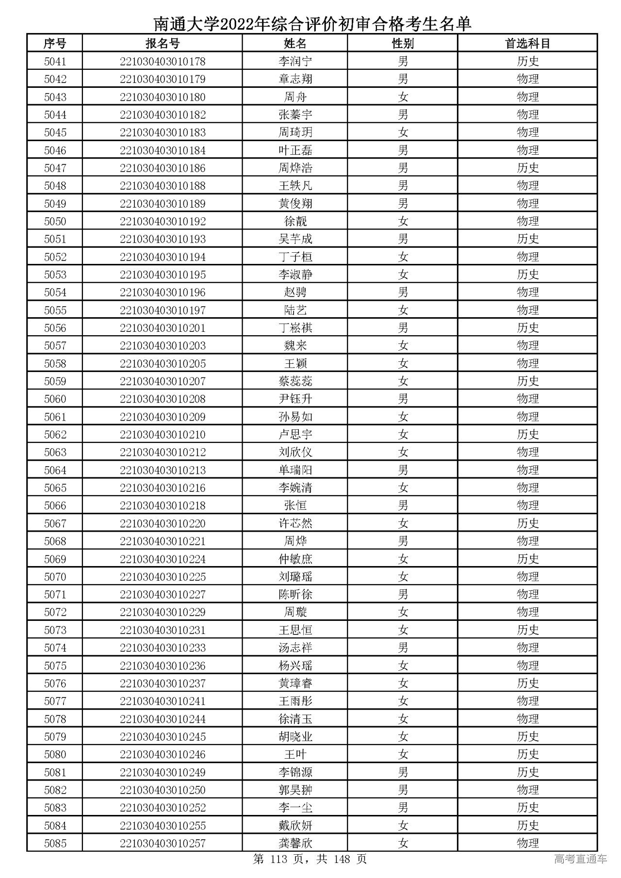
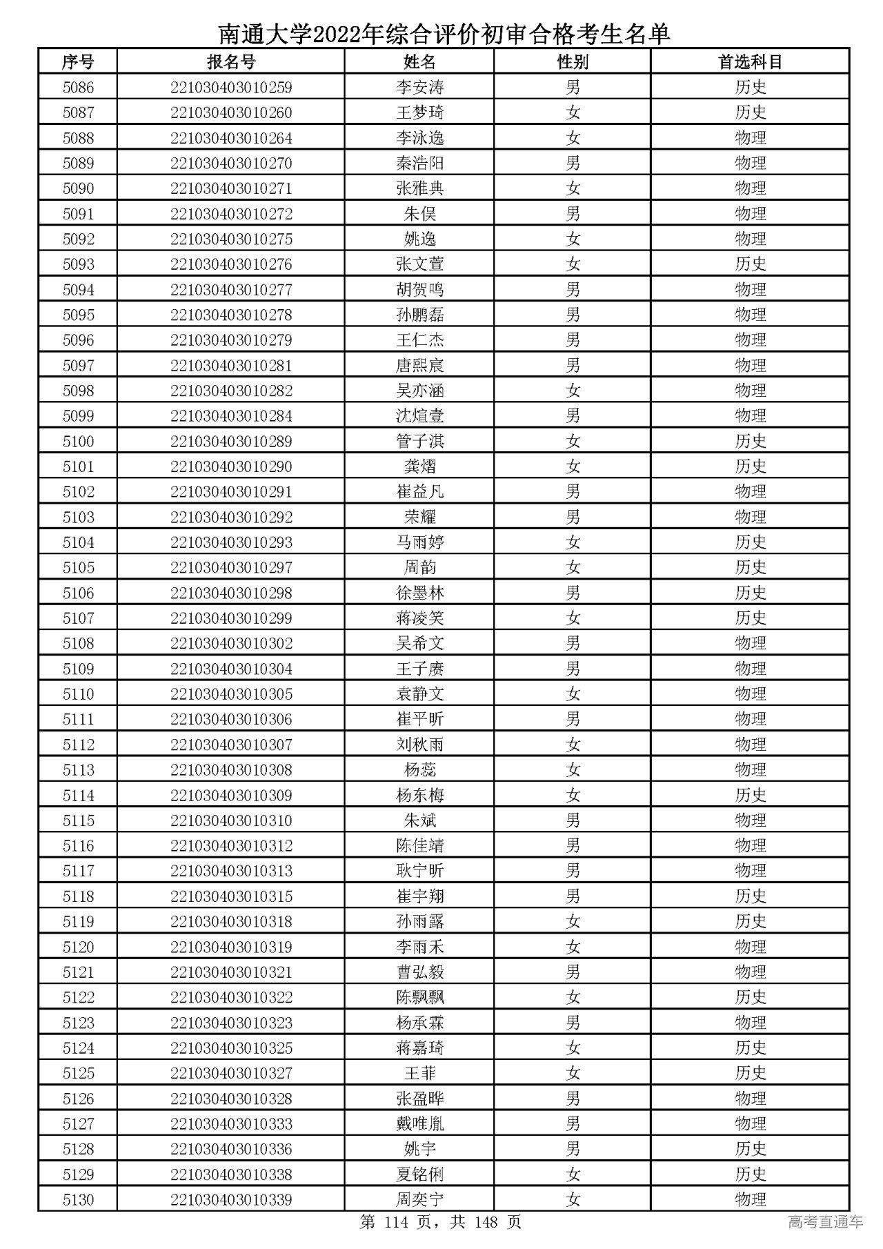
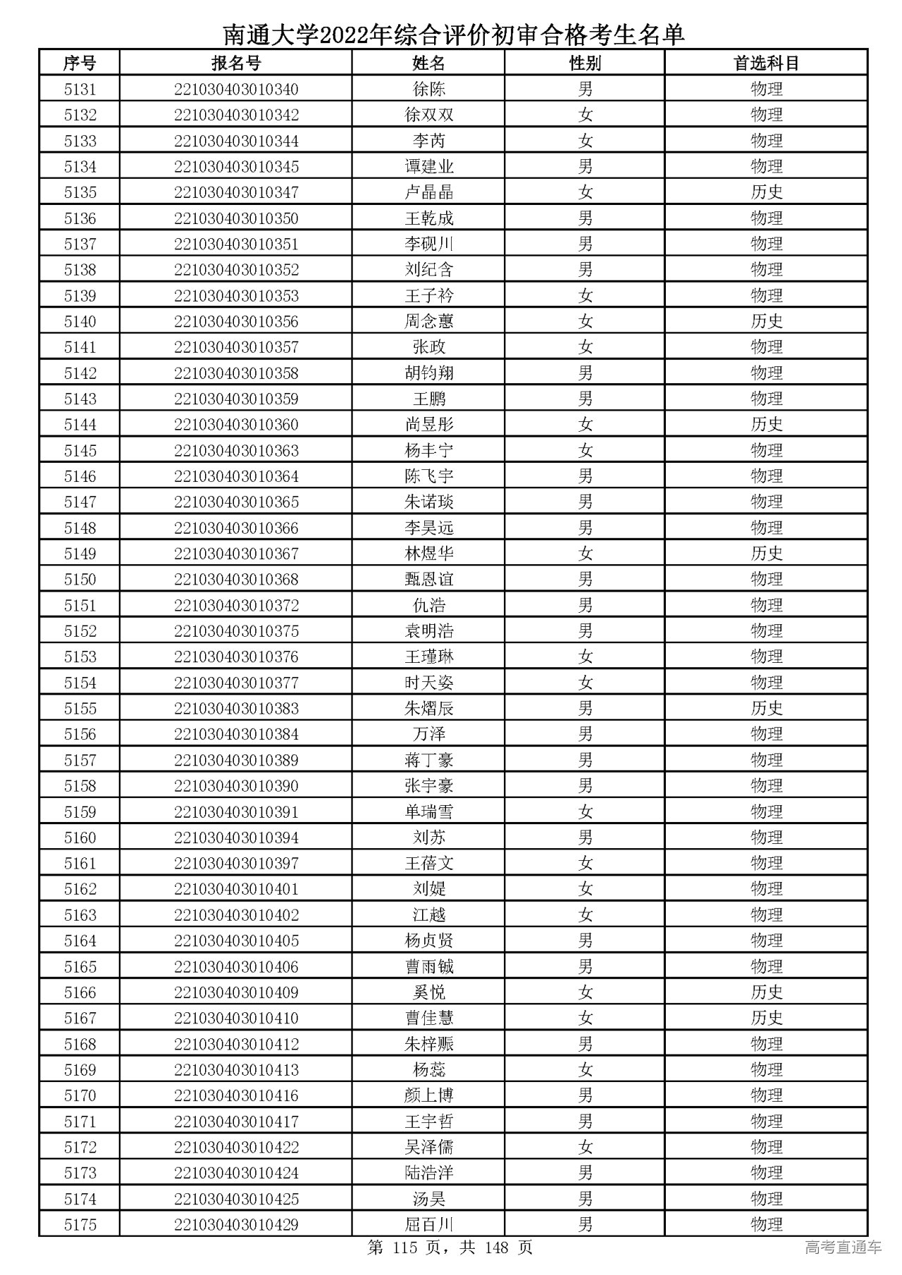
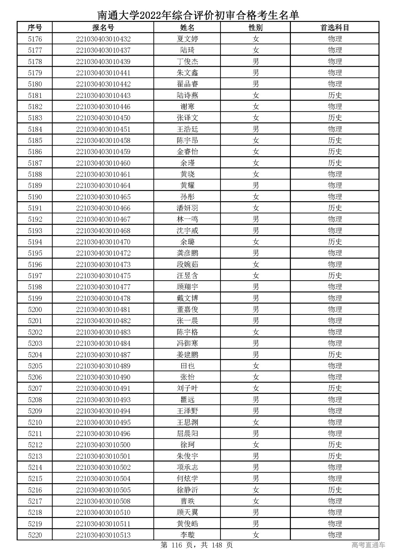
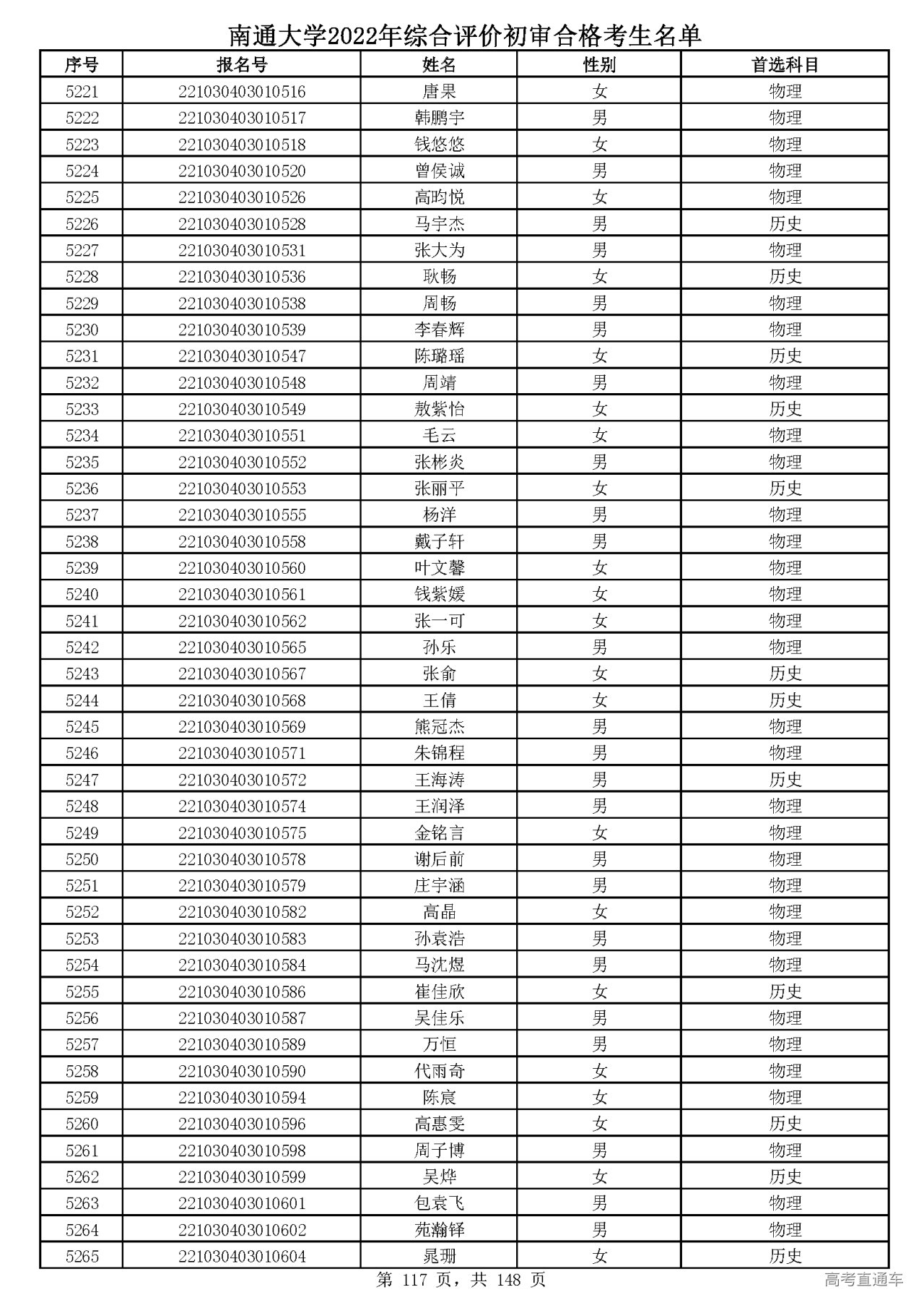
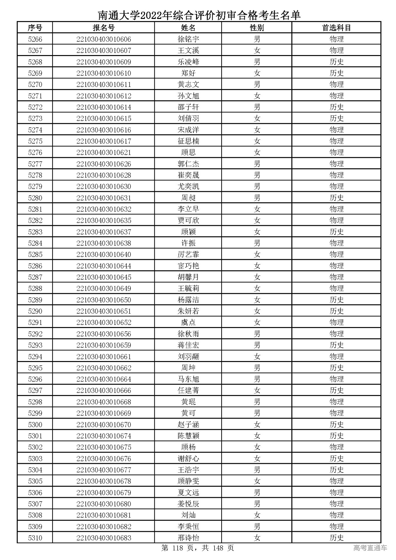
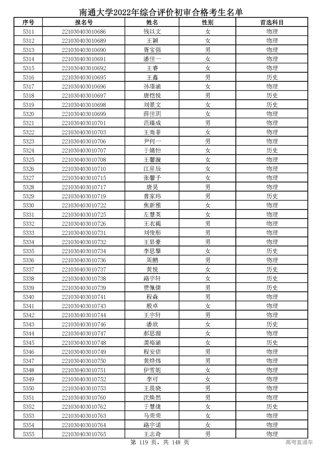
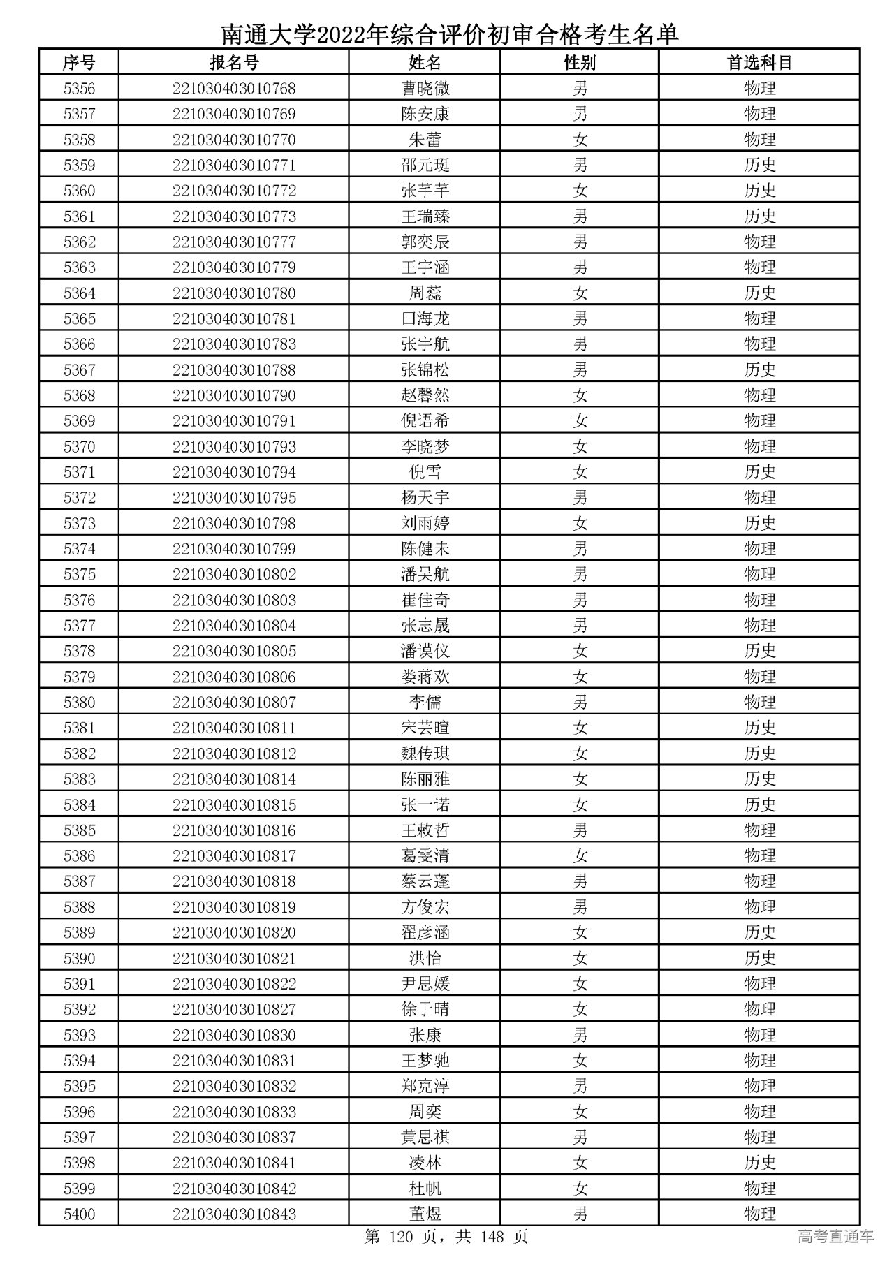
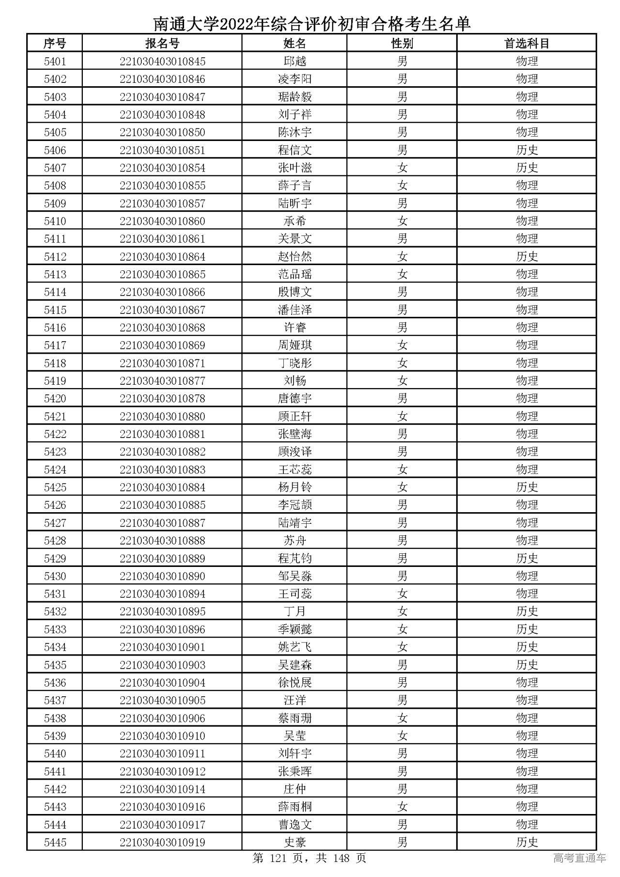
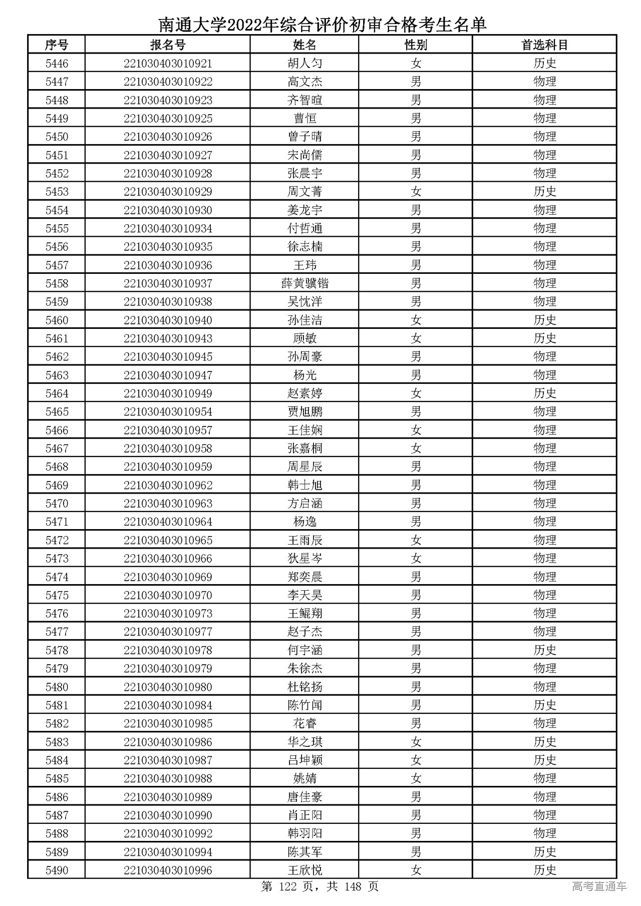
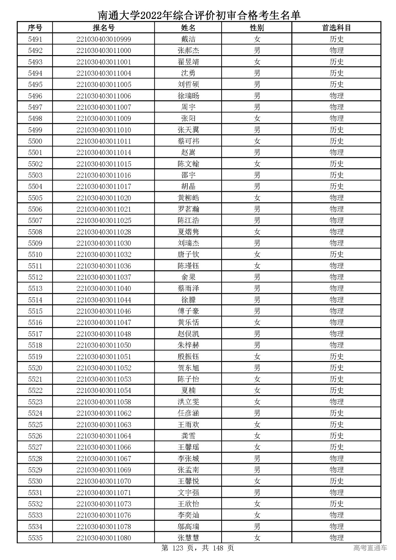
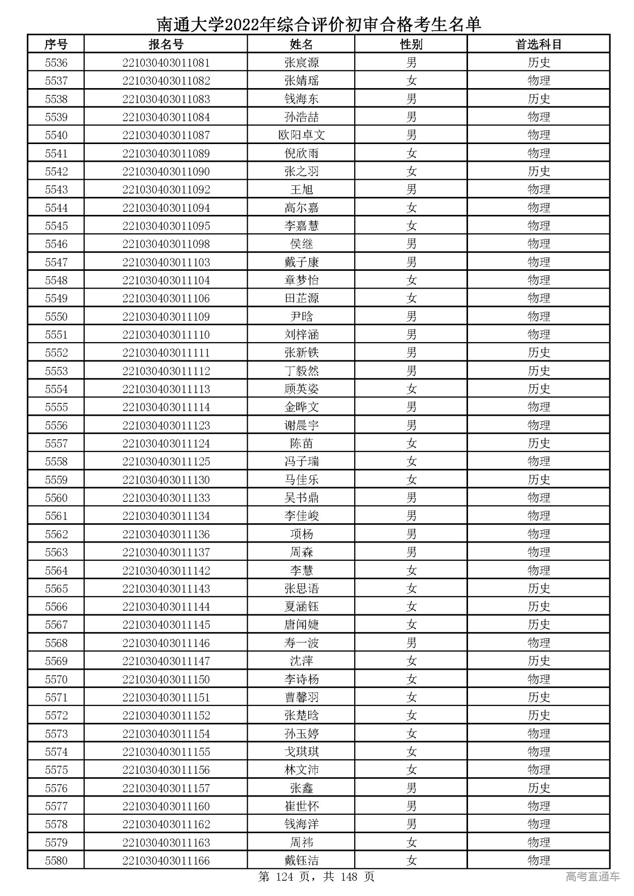
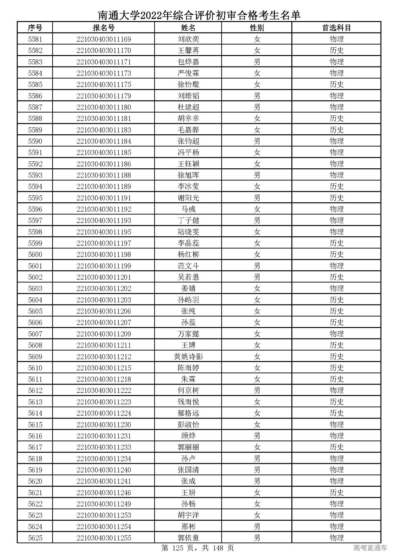
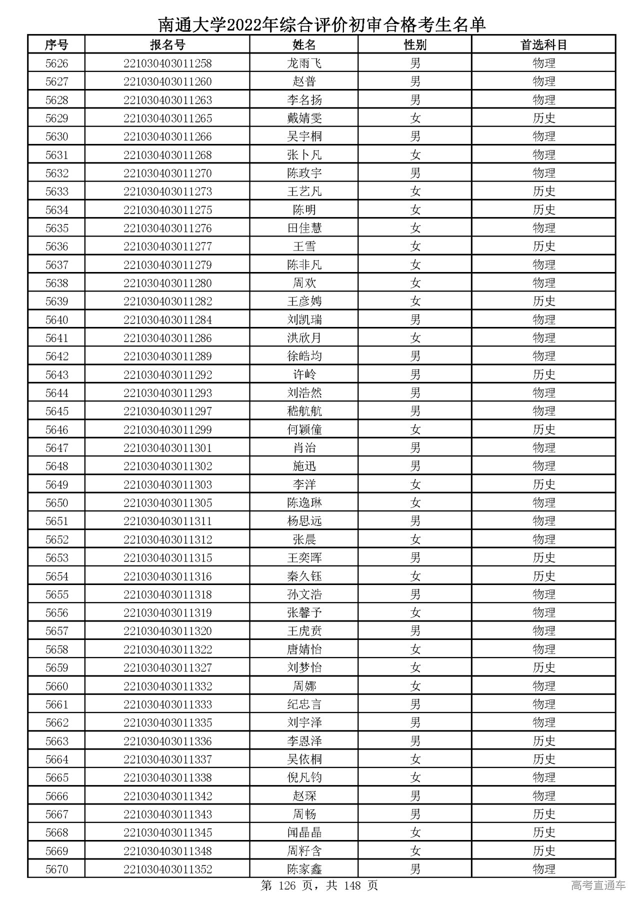
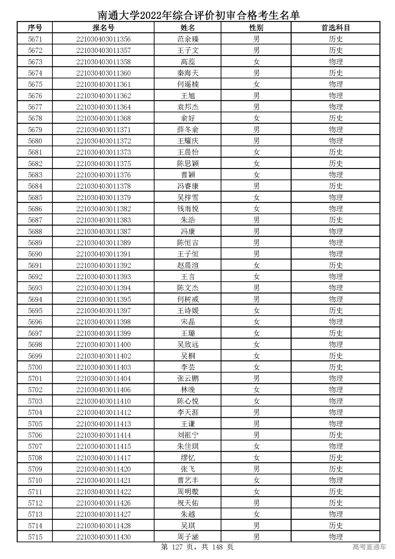
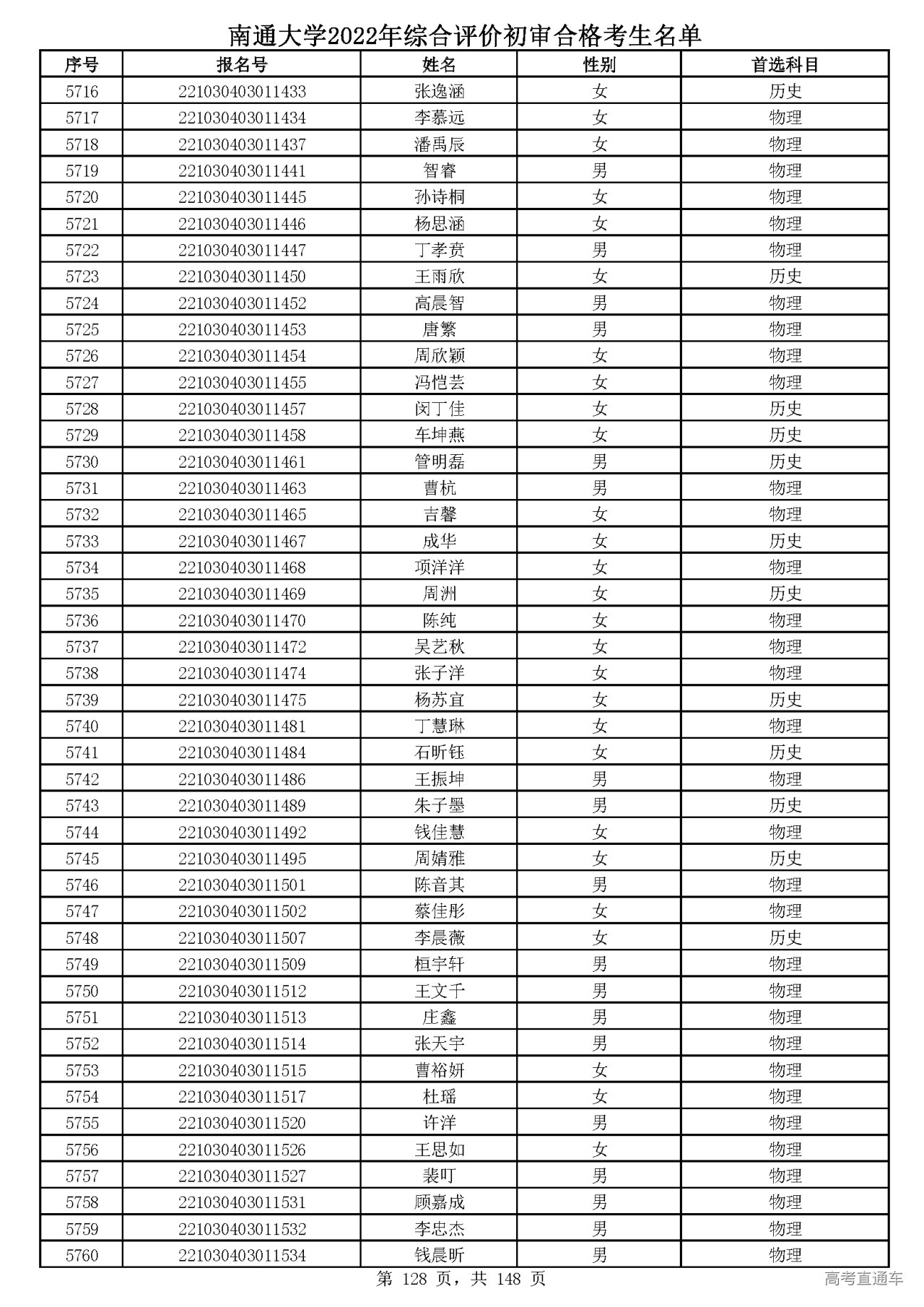
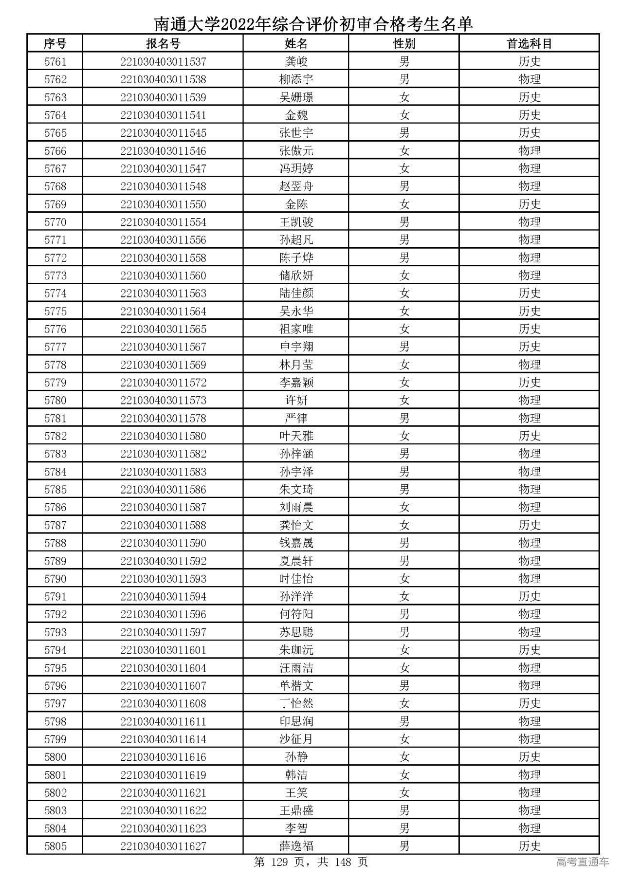
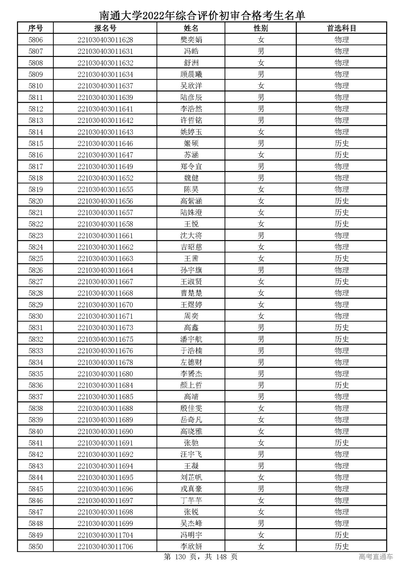
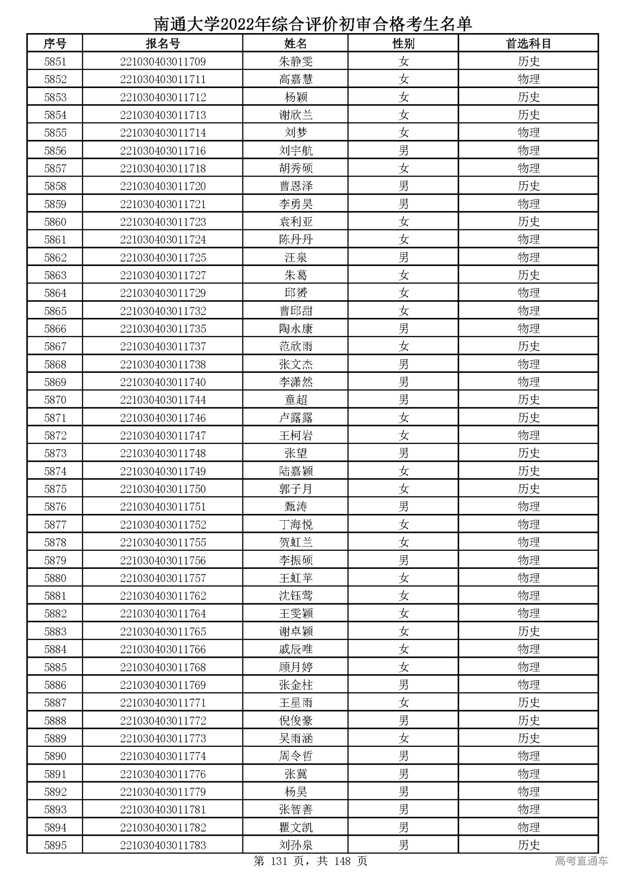
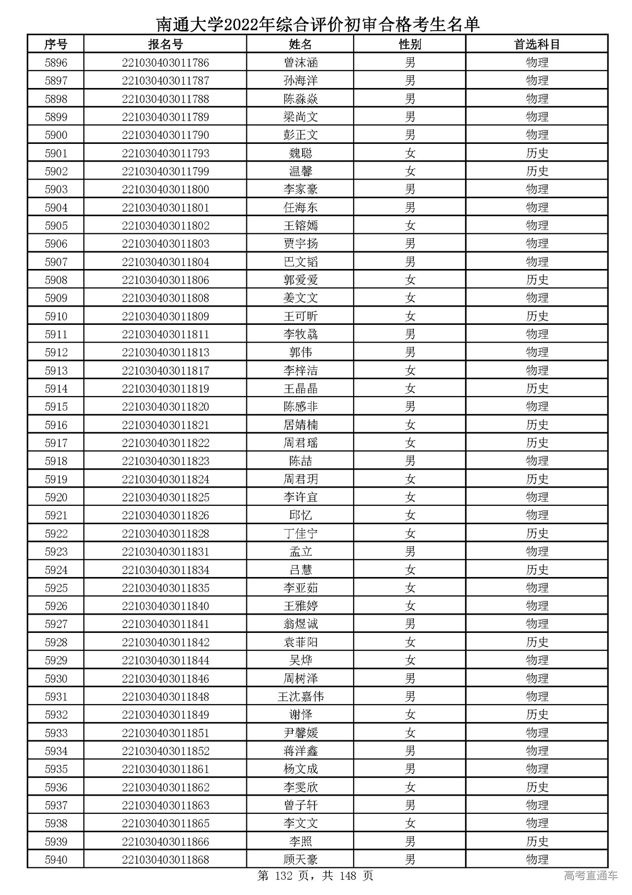
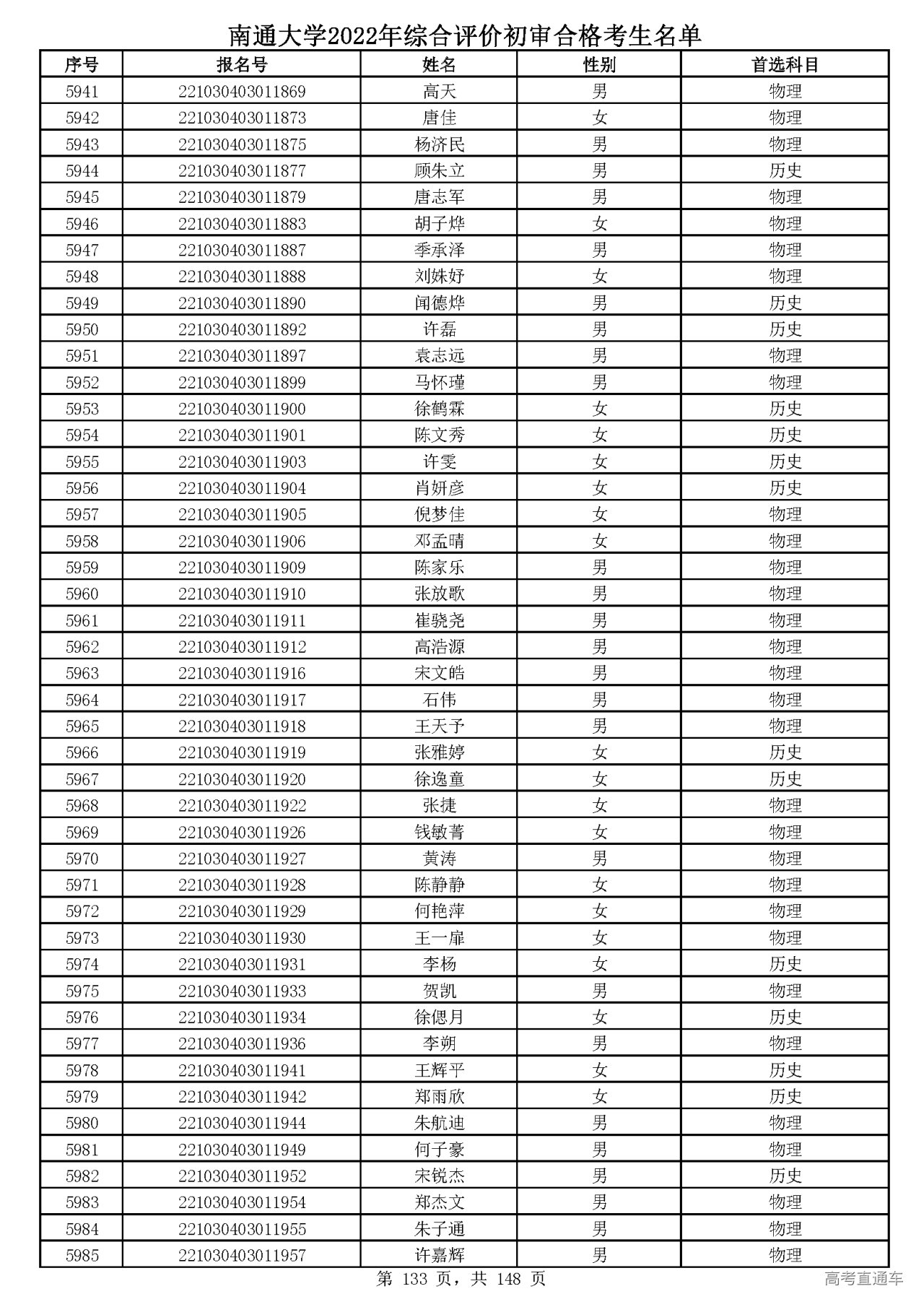
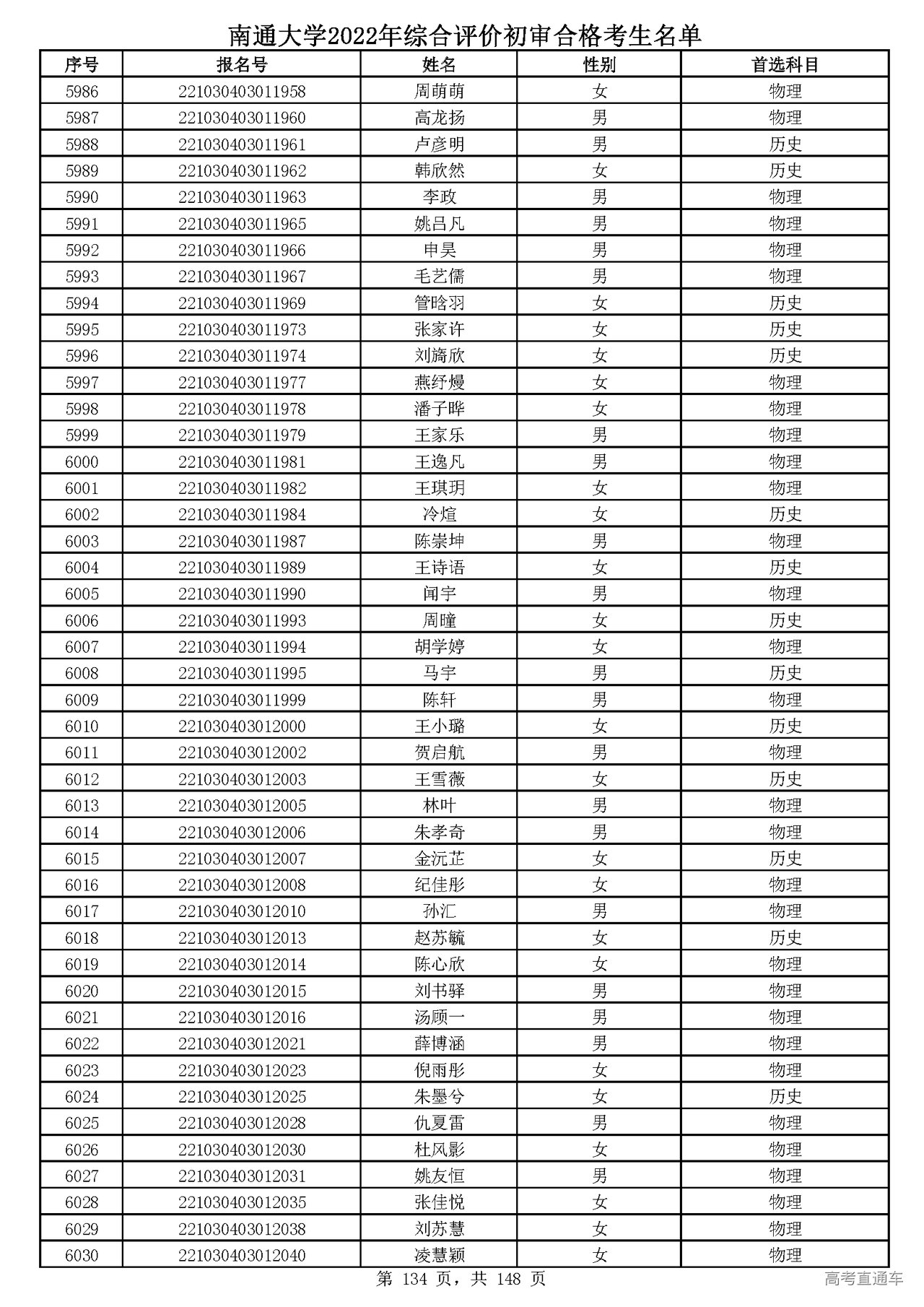
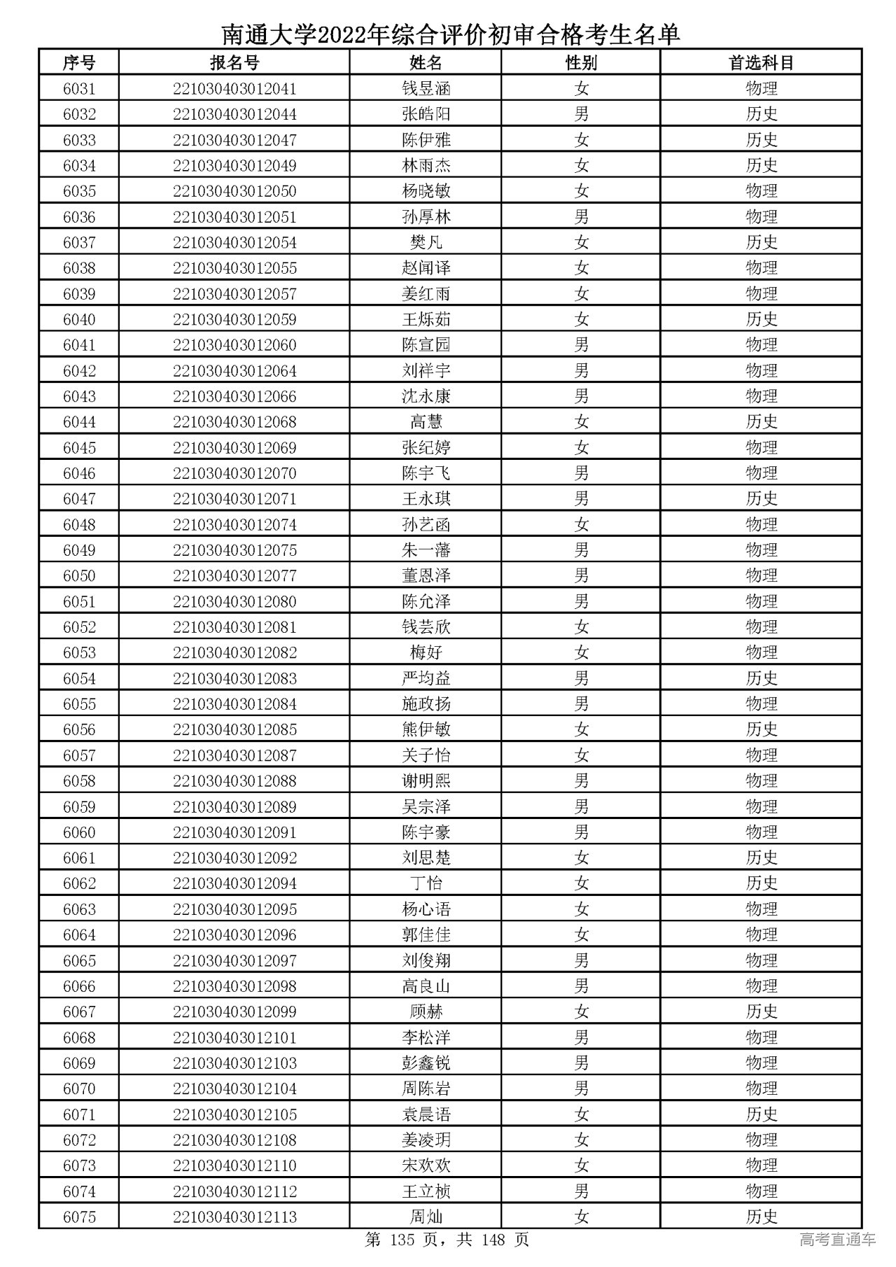
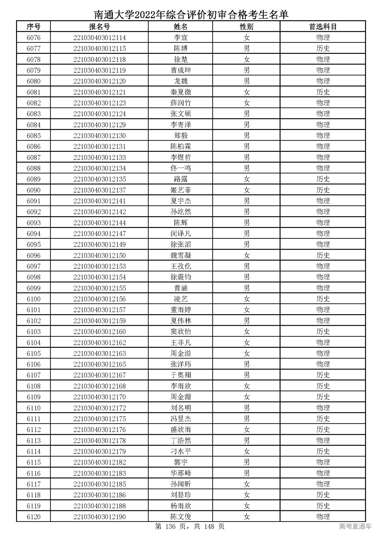
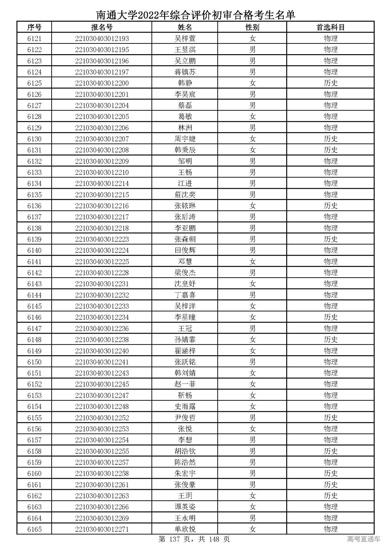
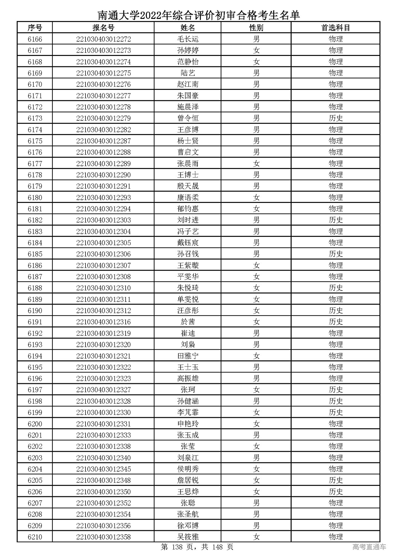
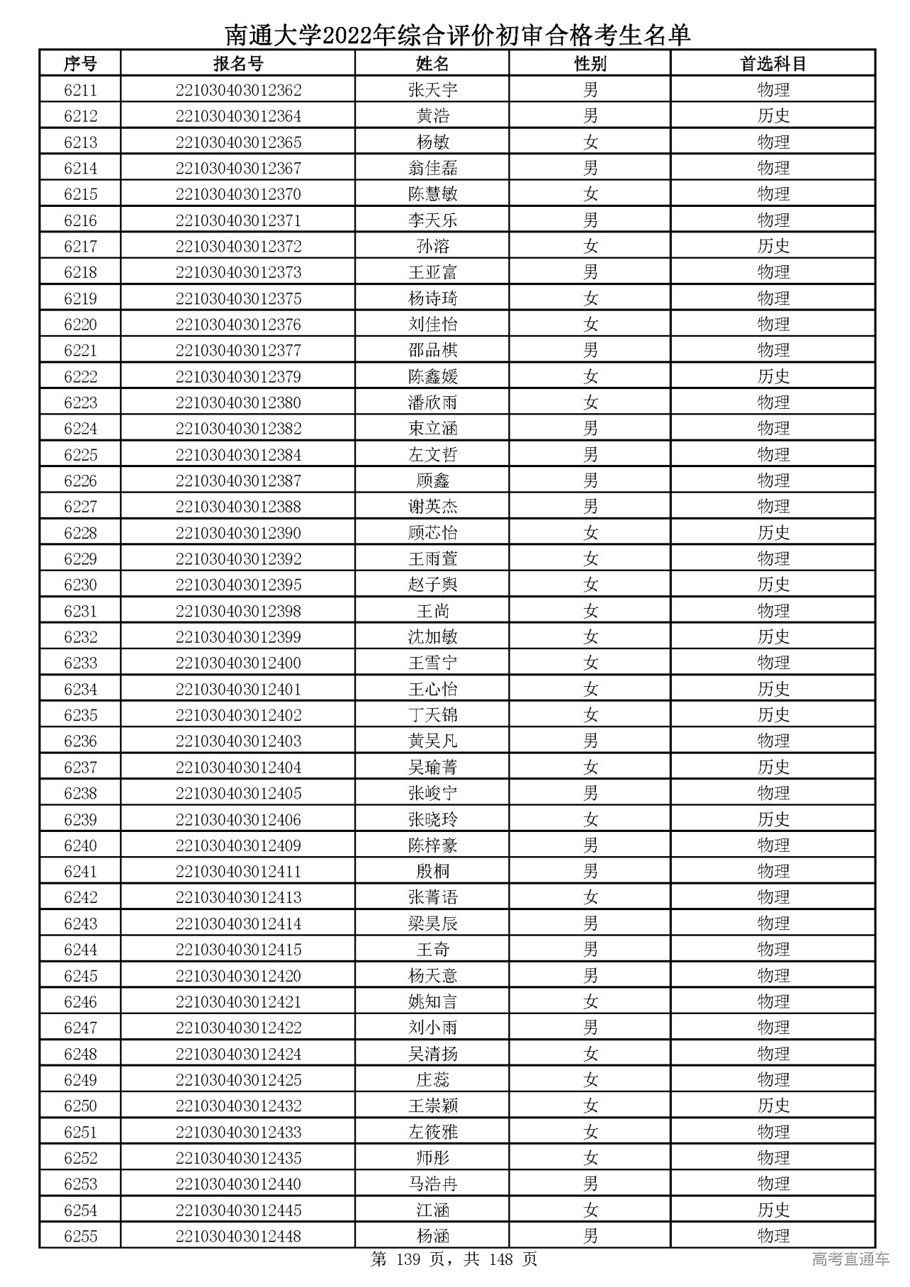
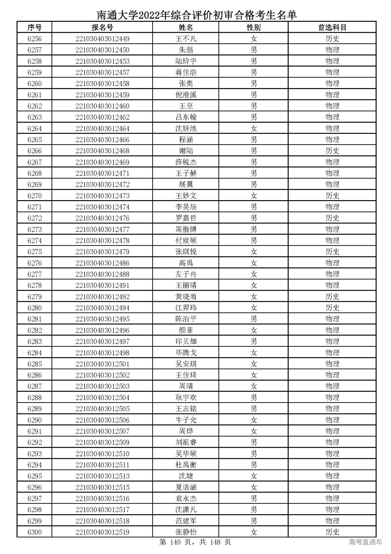
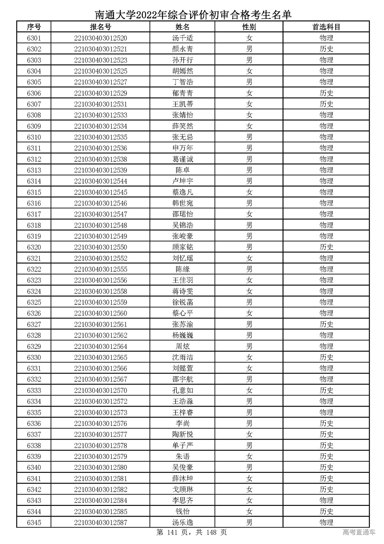
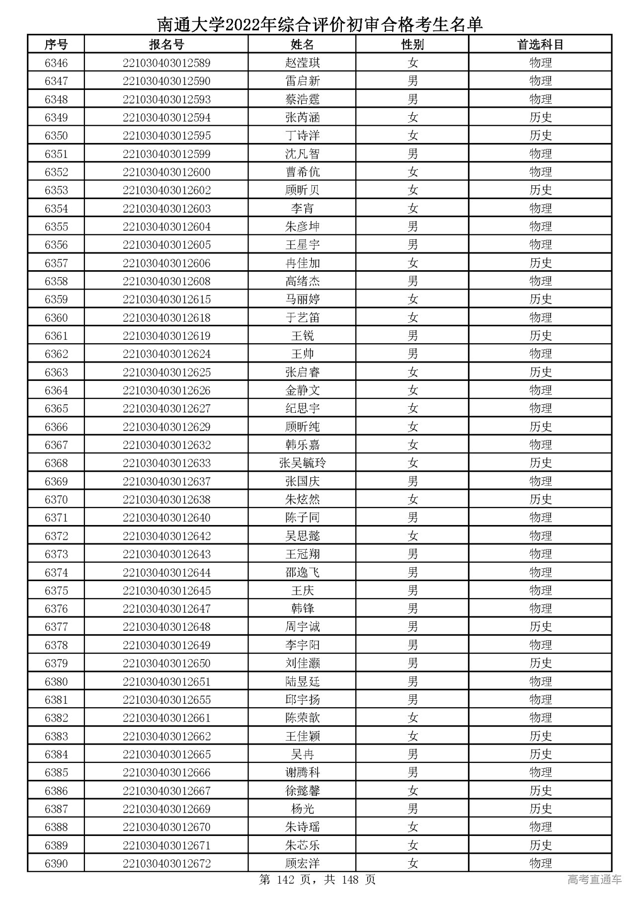
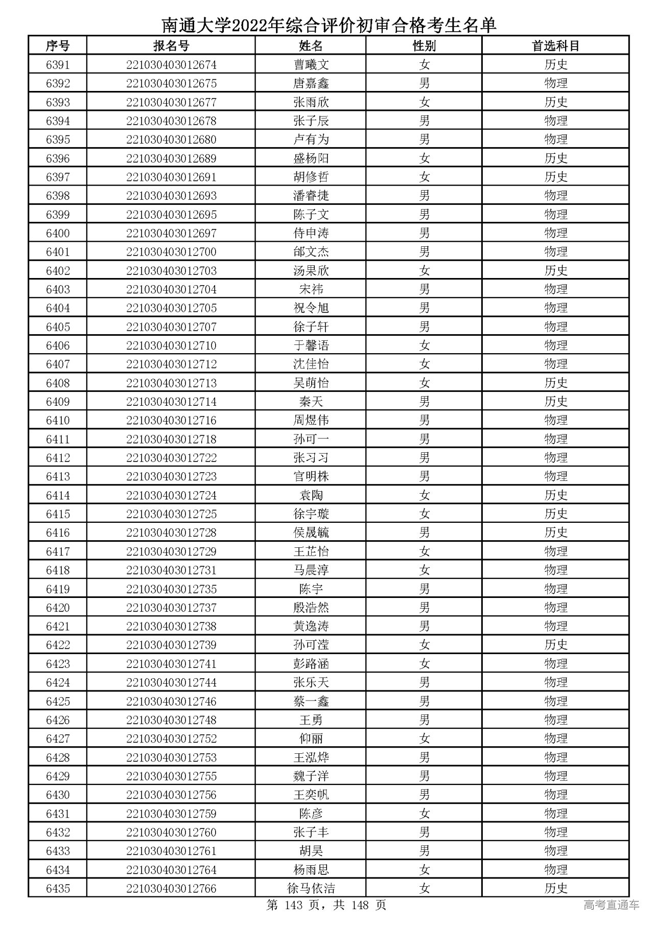
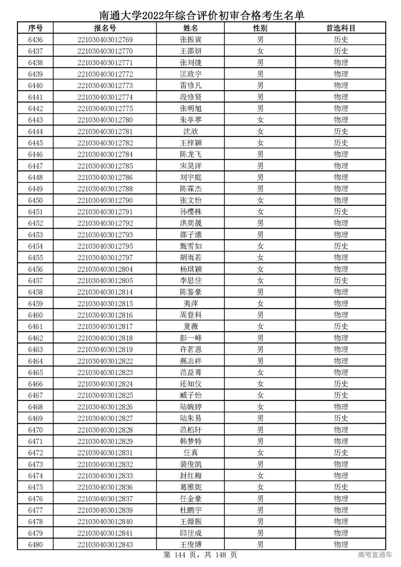
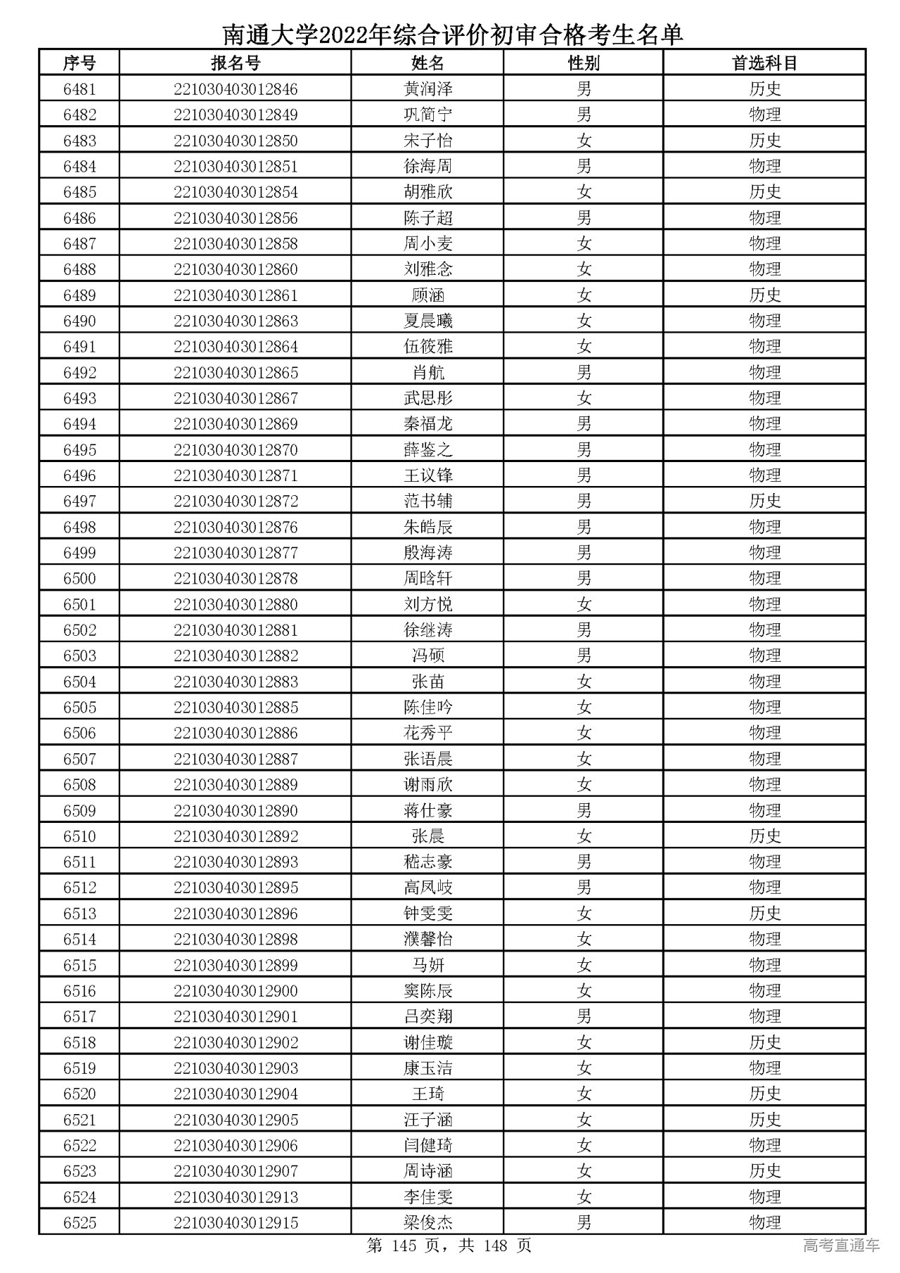
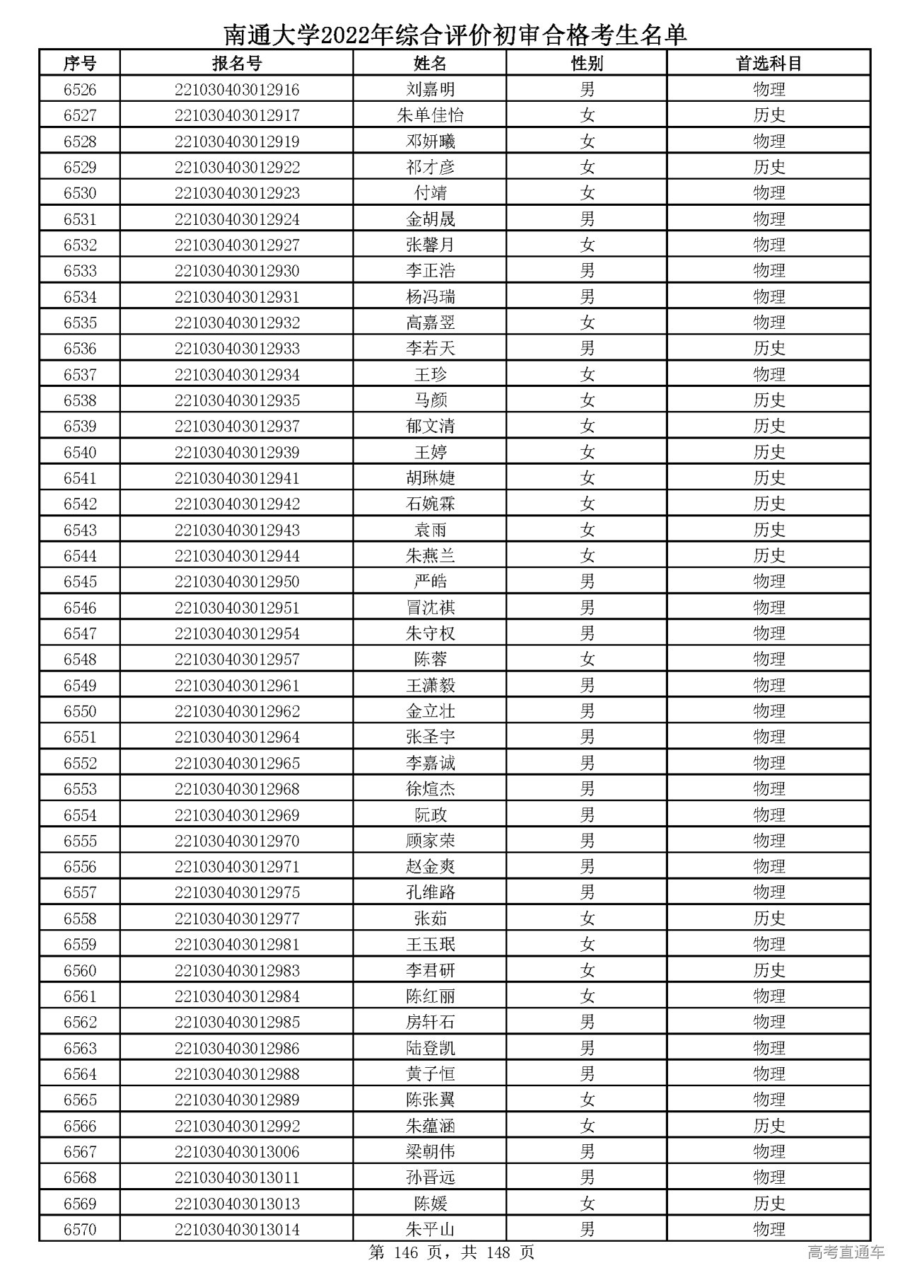
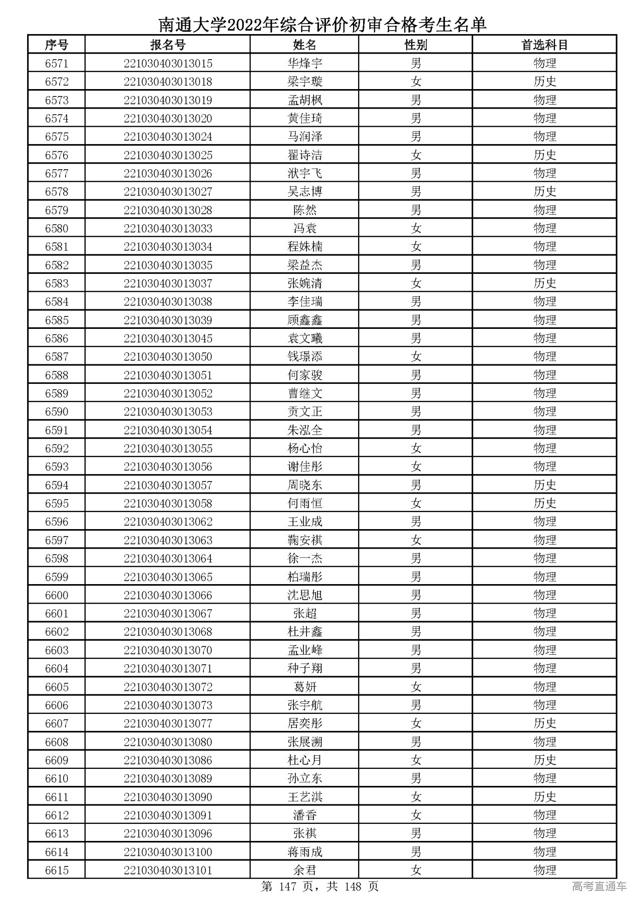
按照省教育厅《关于做好2022年普通高校综合评价招生改革试点工作的通知》精神,依据《南通大学2022年综合评价招生简章》,学校组织专家对报名考生的材料进行了审核,经校本科生招生工作领导小组审定,确定刘之瑶等6640位同学通过资格审查,现予以公示。公示日期为5月23日起至6月1日止。
一、即日起至6月1日(17时关闭)前,通过资格审查合格的考生请登录“综合评价报名系统”(网址:http://bm.chsi.com.cn)进行确认考试,具体点击“志愿管理-详情-确认考试”(我校综合评价录取面试时间为6月12日,当考试时间与其他学校重合时,只允许确认1所高校参加面试),逾期未确认考试的考生,视为自动放弃。
二、打印准考证时间及面试安排另行通知,敬请考生及家长随时关注我校招生网。
三、根据《国家教育考试违规处理办法》(教育部令第33号)和《普通高等学校招生违规行为处理暂行办法》(教育部令第36号)文件精神,对于伪造材料的,一经查实,由相关部门按有关规定严肃处理。
四、我校未委托任何机构、个人进行综合评价招生考前辅导或应试培训,凡是假借南通大学名义,通过打电话、邮寄信件等方式要求考生参加考前辅导或应试培训,均为虚假信息,请广大考生和家长提高警惕,谨防上当受骗。我校的招生政策和相关通知均会通过南通大学本科生招生信息网(https://zs.ntu.edu.cn)发布。
对公示名单如有异议,可在公示期内以书面形式向我校反映。
通信地址:南通市啬园路9号南通大学招生工作办公室
邮编:226019
电话:0513-85012170(招生工作办公室)
0513-85012062(监督检查处)
南通大学招生工作办公室
2022年5月23日



















































































































































