根据教育部《2026年全国硕士研究生招生工作管理规定》及教育部高校学生司下发的《关于做好2026年全国硕士研究生复试录取工作的通知》要求,结合我校硕士研究生招生计划和合格生源情况,特制定本办法。
指导思想 坚持服务战略、按需招生、全面衡量、择优录取和宁缺毋滥的原则,严格执行政策,严把质量关口,严守工作纪律,强化监督管理,优化考生服务,确保公平、公正、科学。 复试工作 (一)复试条件 1.所有达到A类地区《2026年全国硕士研究生招生考试考生进入复试的初试成绩基本要求》(其中地质学(070900)初试总成绩不低于301分;会计(125300)初试总成绩不低于202分;工商管理(125100)初试总成绩不低于151分)的第一志愿考生及在“全国硕士研究生招生调剂服务系统”中接收我校复试通知的调剂考生。 2.退役大学生士兵专项计划考生复试基本分数线为单科不低于A类地区《2026年全国硕士研究生招生考试考生进入复试的初试成绩基本要求》5分,总分不低于A类地区《2026年全国硕士研究生招生考试考生进入复试的初试成绩基本要求》10分。 (二)复试要求 1.第一志愿上线人数超过招生计划的相关专业均按120%比例实行差额复试,最后一名并列时,均可进入复试。对于生源不足的专业以国家线为基准复试线。接收调剂的专业按不低于120%比例实行差额复试。 2.我校接收的推免生不再参加复试。 3.第一志愿报考我校且符合我校复试条件的考生以及接收我校复试通知的调剂考生均须参加复试。 4.符合教育部规定条件并申请享受初试加分政策的考生,须在复试前提供相关证明材料。 5.同等学力考生须加试2门其报考学科的本科主干课程,考试方式为笔试。每个科目满分为100分。任一科目成绩低于60分者不予录取。加试成绩不计入复试总成绩。 6.MBA和MPAcc还须考核思想政治理论,成绩计入复试总成绩。 (三)复试时间 第一志愿考生复试工作原则上于3月29日前完成,调剂考生复试工作将在国家调剂系统开通后开展。具体时间及要求详见各学院(部、中心)官网公布的复试工作方案。 (四)资格审查 各学院(部、中心)收集并审核考生材料,审核通过后考生方可参加复试,具体包括: 1.资格证明材料: (1)应届考生须提供身份证、初试准考证、学生证及学信网出具的《学籍在线验证报告》。 (2)往届考生须提供身份证、初试准考证、本科(含专科)毕业证原件及学信网出具的《学历电子注册备案表》。 (3)国外学历人员须提供身份证、初试准考证、《学历学位国家认证书》。 2.考生须提交签订的《诚信复试承诺书》和《思想政治素质和品德考核表》,《思想政治素质和品德考核表》不合格者不予录取,不按要求提交视为不合格。 3.学习证明材料:大学学习成绩单、本科毕业论文(提供题目、目录、摘要)、科研成果(发表论文、专利、竞赛获奖等)、大学英语等级考试成绩单等,具体见招生学院(部、中心)复试工作方案。 (五)复试形式 坚持“一院一策”原则,根据学科特点和专业要求,在确保公平、安全、有序的前提下,各学院(部、中心)自主确定采用现场复试或网络远程复试等方式,并综合运用笔试、面试、实验、实践操作等考核手段。 原则上同一招生单位同一专业应采取同一复试方式。确需采用混合方式复试的专业,招生单位须上报研究生部备案并做好统筹安排,确保不同复试方式的考试流程、考核组人员、选拔标准等的一致性和公平性。 (六)复试内容 1.专业素养和能力 结合学科专业特点分类设计复试内容,学术学位重点考核考生的学术素养、对学科知识的掌握与运用情况、科研创新能力,专业学位重点考核考生的专业基础、实践能力和职业素养,具体考核内容见《东北石油大学2026年硕士研究生招生专业目录》中复试科目。 对于参与工程类专业学位硕士研究生培养改革专项(含黑龙江工程师学院专项)的研究生,在征得考生同意的情况下按照专项计划录取,并在公示环节备注“XX专项”等相关字样。 2.综合素质和能力,包括但不限于以下内容: (1)大学阶段至今的学习工作情况及成绩。 (2)创新精神和创新能力。 (3)外语听说能力。 (4)本专业以外的学习、科研、社会实践(学生工作、社团活动、志愿服务等)或实际工作表现等方面的情况。 (5)科研协作能力、团队意识、应变能力和心理健康情况等。 (6)思想政治品德、人文素养、举止、表达和礼仪等。 (七)复试纪律 考生在复试过程中应自觉遵守我校考场规则及签署的《诚信复试承诺书》相关内容,不得对外透露或传播复试试题内容等有关情况。违规行为一经查实,按照《中华人民共和国教育法》《国家教育考试违规处理办法》等规定严肃处理,取消录取资格,记入《国家教育考试考生诚信档案》。 (八)复试成绩 复试成绩(100分)=专业素养和能力(50分)+综合素质和能力(50分),满分为100分。 调剂工作 (一)调剂原则 第一志愿合格生源不足或复试后拟录取考生数未达到实际下达招生计划数的专业方可接收调剂。 (二)调剂要求 1.初试成绩总分、单科分均达到教育部规定的A类地区《2026年全国硕士研究生招生考试进入复试的初试成绩基本要求》。 2.须符合我校2026年硕士研究生招生简章中规定的调入专业的报考条件。 3.原则上,调剂考生第一志愿专业与调入专业相同相近,或初试科目与调入专业初试科目相同相近。 4.对于涉及考生第一志愿专业范围等学术要求的,须经学院(部、中心)学位评定分委员会审核,报校学位评定委员会审议,最终上报研究生招生委员会审议通过方可实施,以确保科学性。 5.非全日制硕士研究生只接收报考录取类别为定向就业的调剂考生。 6.符合国家其他调剂政策。 (三)调剂程序 1.调剂工作一律在教育部指定的“全国硕士研究生招生调剂服务系统”进行。我校将根据专业需求及复试录取实际情况,通过“全国硕士研究生招生调剂服务系统”发布计划余额信息,每次开放调剂系统持续时间不低于12个小时。 2.调剂系统开通后,调剂考生登录“全国硕士研究生招生调剂服务系统”填写、提交调剂申请。我校将向符合要求的考生发送复试通知,考生应于收到复试通知后的规定时间内进行确认,否则视为放弃。考生接收复试通知后必须按时参加复试。复试结束后,合格考生将收到我校通过调剂系统发送的“待录取”通知,考生须在规定时间内确认有效,超时将被取消录取资格。“待录取”通知一经考生确认,不再更改。“规定时间”以调剂系统发送信息为准。 3.考生调剂志愿锁定时间为24小时。锁定时间到达后,如我校无明确受理意见,锁定解除,考生可继续填报其他志愿。 体 检 根据《普通高等学校学生管理规定》和《学校卫生工作条例》等有关文件要求,新生入学时需携带研究生复试体检合格证明(由二级甲等及以上医院或东北石油大学校医院提供),体检合格者方可注册,取得学籍,不合格者可申请保留入学资格,经研究生部审批同意后,可保留入学资格一年。保留期满体检仍不合格者,录取资格无效。东北石油大学校医院提供研究生复试体检服务(收费标准70元/人,服务咨询电话0459-6503736)。 录取工作 (一)考生的录取总成绩计算公式为: 总成绩(不含MBA和MPAcc)=初试成绩÷5×初试权重(70%)+复试成绩×复试权重(30%); 总成绩(MBA和MPAcc)=初试成绩÷3×初试权重(70%)+复试成绩×复试权重(30%)。 (二)依据第一志愿优先原则,各专业按考生总成绩由高分到低分确定拟录取名单(最后一名并列时,取初试总成绩高者,初试总成绩仍并列时,取国家统考科目总成绩高者)。 (三)根据教育部文件规定,对复试工作中存在下列情况之一的考生不予拟录取或录取资格无效: 1.复试成绩低于60分者; 2.同等学力考生加试科目低于60分者; 3.思想政治品德考核不合格者; 4.未通过学历(学籍)审核的考生; 5.在资格审查、复试等环节中提供虚假信息或在考试过程中舞弊者; 6.应届本科毕业生及自学考试和网络教育届时可毕业本科生考生,入学时未取得国家承认的本科毕业证书者; 7.保留期满体检仍不合格者。 (四)经复试合格确定的拟录取考生名单经学校统一公示后,上报国家审核,最终录取结果将以教育部审核通过的拟录取名单为准。入学后3个月内,学校要按照《普通高等学校学生管理规定》有关要求,对所有考生进行全面复查。复查不合格的,取消学籍;情节严重的,移交有关部门调查处理。 (五)录取类别 硕士研究生的录取类别按就业方式分为定向就业和非定向就业。 1.定向就业:指考生已有或确定了工作单位,且须由考生工作单位、录取学校、考生本人三方签署定向培养协议(样表见 http://yjsb.nepu.edu.cn/info/1093/2392.htm)。 其档案、人事、工资关系仍留在原工作单位,考生毕业后回原单位工作。在校期间不享受国家规定的奖助学金和其他生活待遇。 原则上非全日制硕士研究生只能录取为定向就业研究生。 2.非定向就业:指考生在录取时不确定未来的工作单位。入学前考生需持调档函(随录取通知书寄发)将人事档案转到学校或入学报到时提交人事档案;毕业时应服从国家就业指导,在国家规定的服务范围内进行安排或实行双向选择。在校期间享受国家规定的奖助学金和其他生活待遇。 考生因报考硕士研究生与所在单位产生的问题由考生自行处理。若因此造成考生不能复试或无法录取,我校不承担责任。 本办法由东北石油大学研究生部负责解释。 通讯地址:黑龙江省大庆市高新区学府街99号 办公地点:机关楼329A房间 联系电话:0459-6503721 各招生学院官网链接: https://www.nepu.edu.cn/jgsz/jxdw.htm
附件可下载:
附件1:2026年东北石油大学各招生学院(部、中心)复试联系方式.pdf
附件2:2026年东北石油大学硕士研究生诚信复试承诺书.docx
附件3:2026年东北石油大学硕士研究生思想政治素质和品德考核表.docx
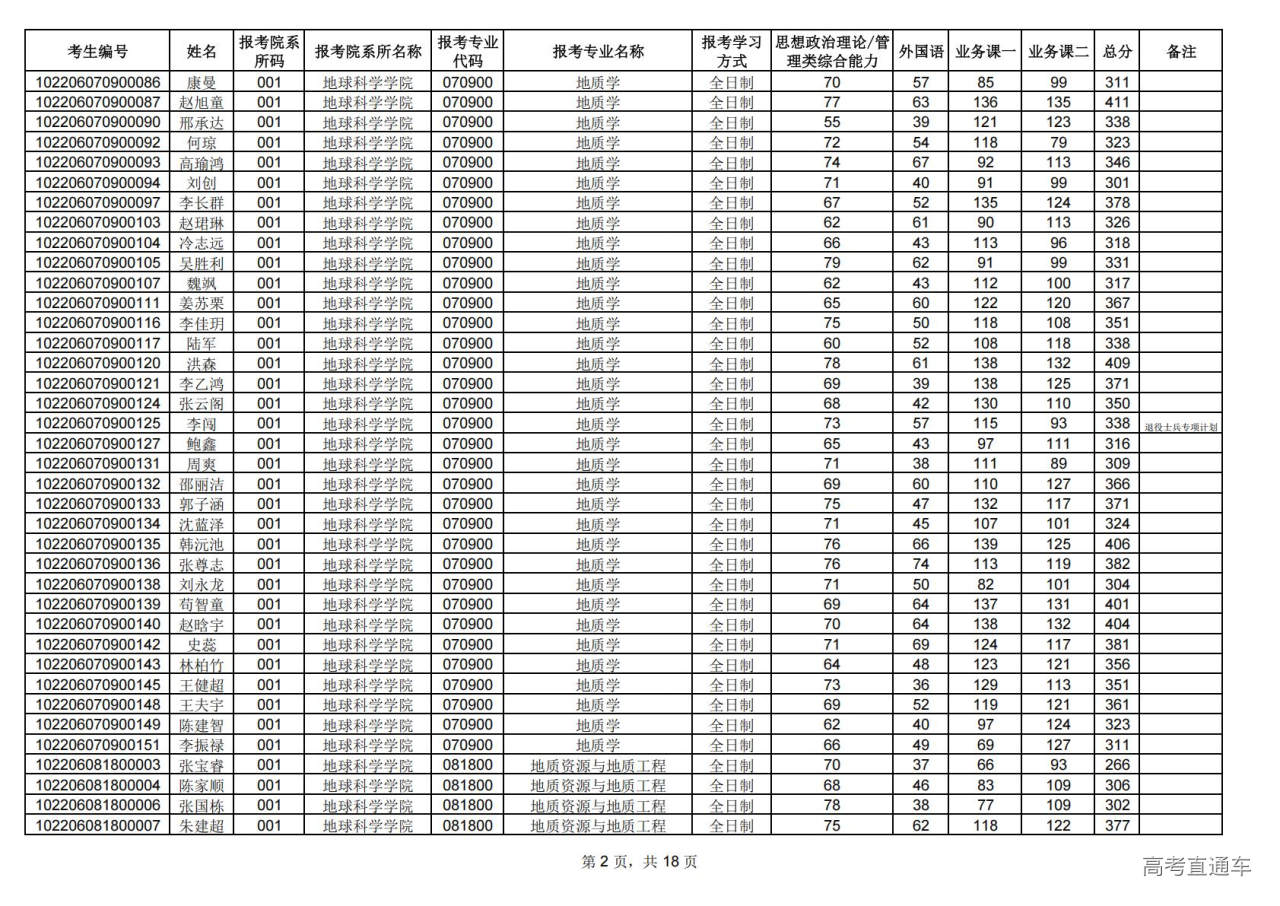
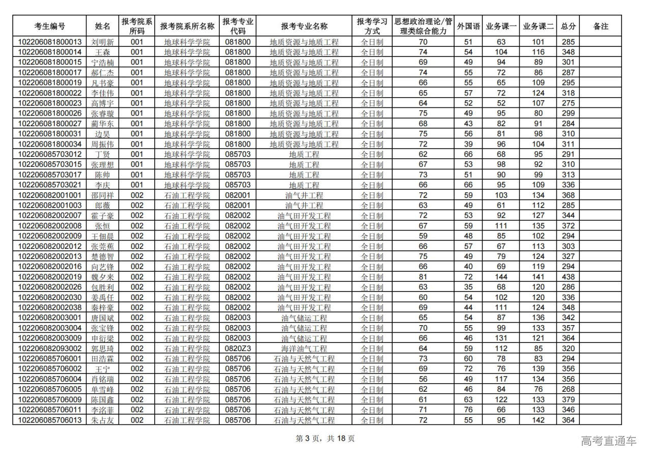
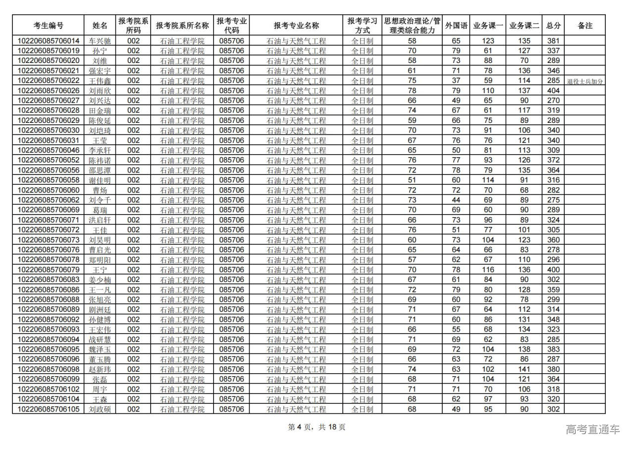
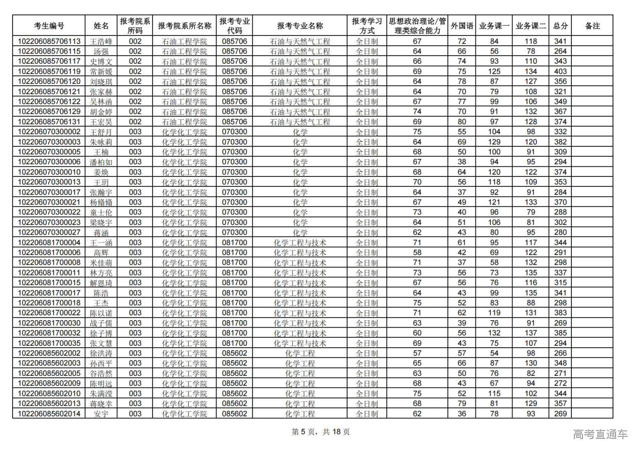
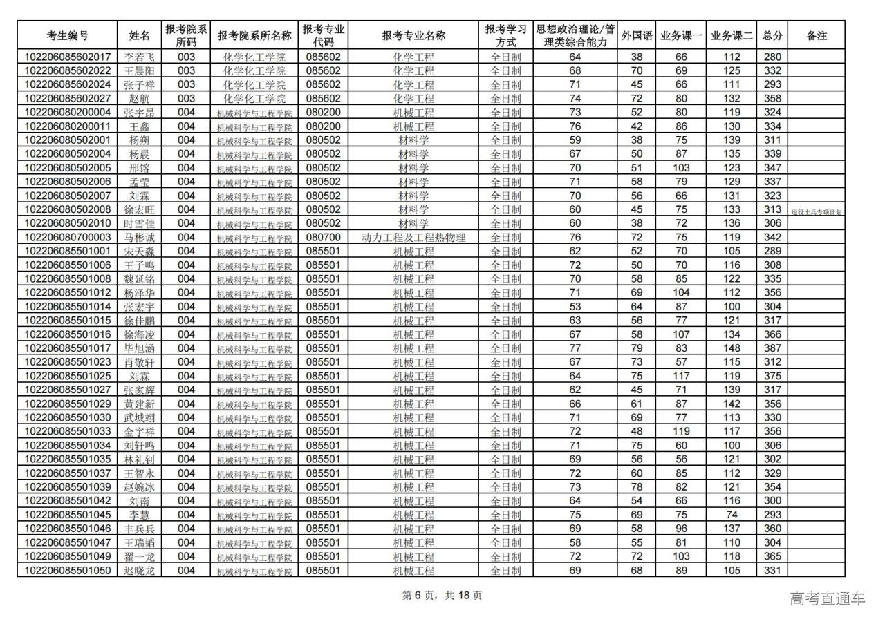
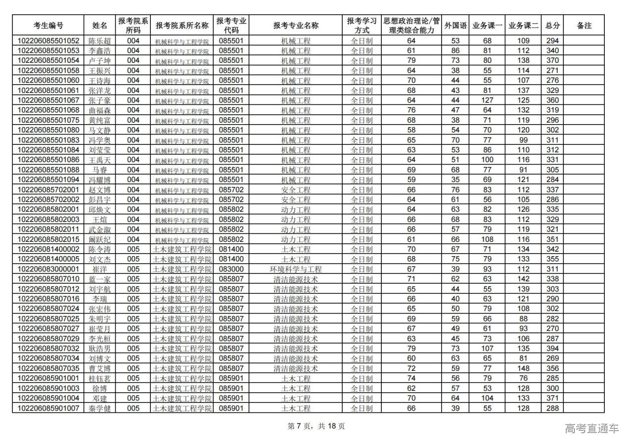
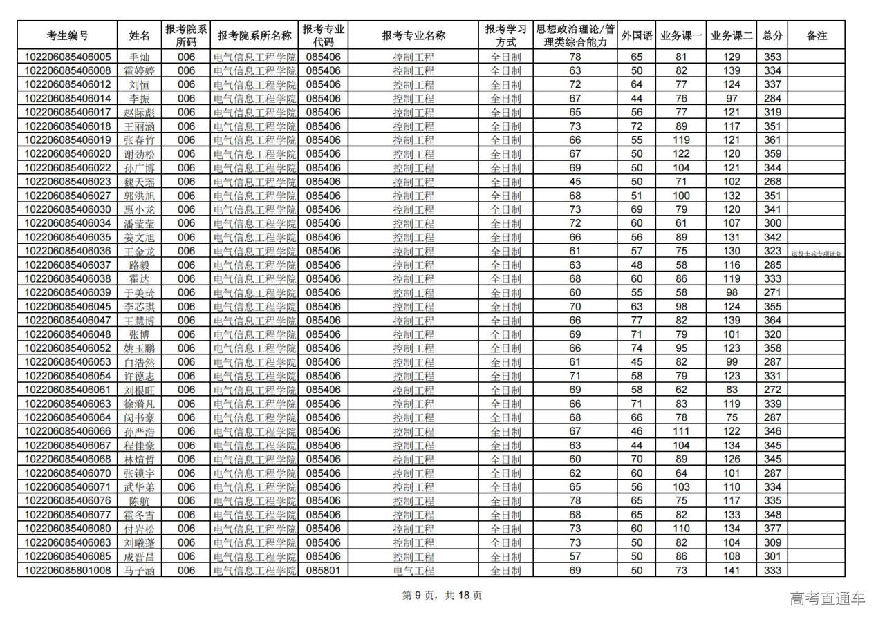
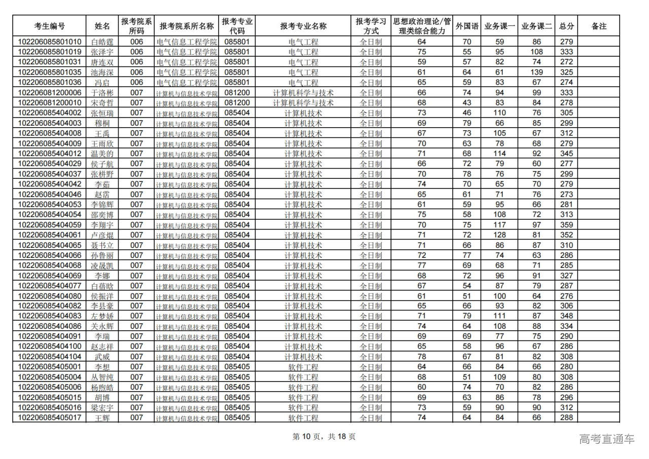
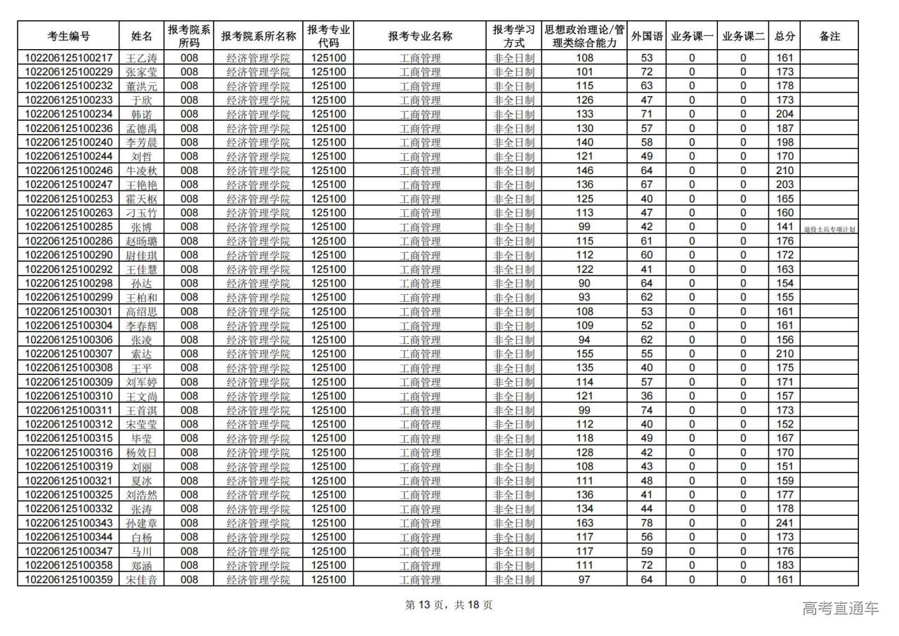
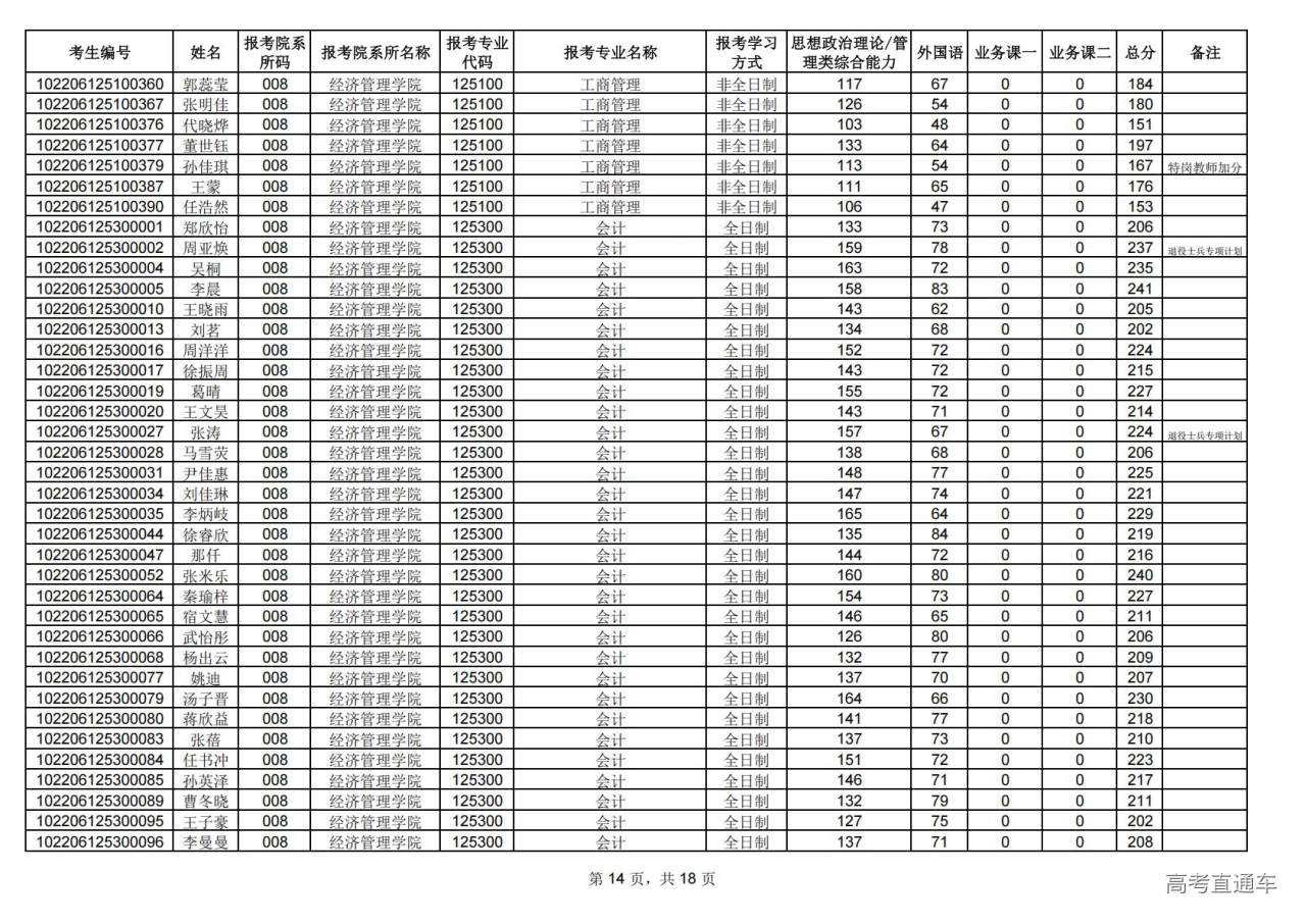
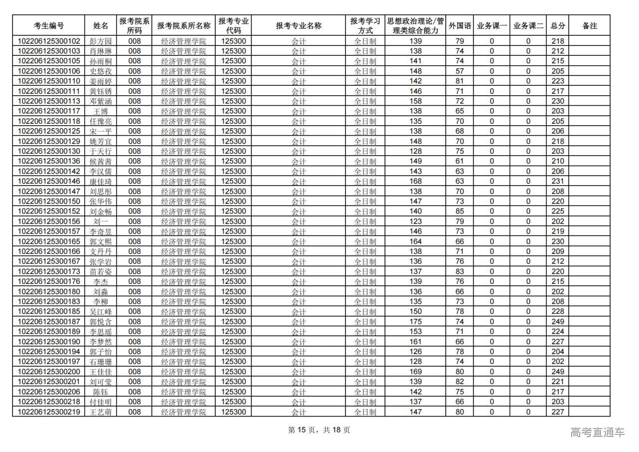
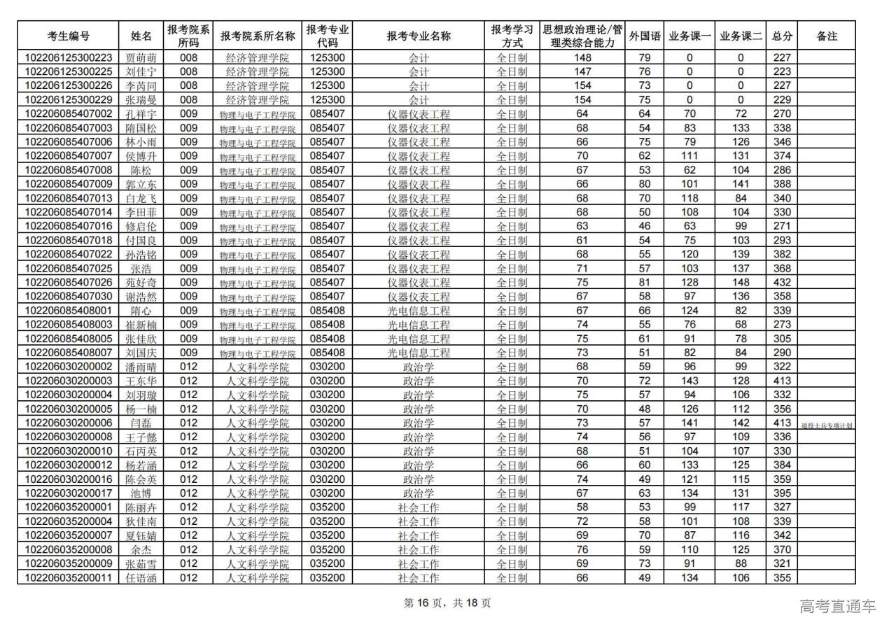
附件4:2026年东北石油大学硕士研究生招生一志愿复试名单.pdf
附件:
附件1:2026年东北石油大学各招生学院(部、中心)复试联系方式
附件2:2026年东北石油大学硕士研究生诚信复试承诺书
附件3:2026年东北石油大学硕士研究生思想政治素质和品德考核表
附件4:2026年东北石油大学硕士研究生招生一志愿复试名单





















