我校2023年高校专项计划(凤凰计划)审核结果已公布,请考生登录阳光高考平台(http://gaokao.chsi.com.cn/gxzxbm/)查询。
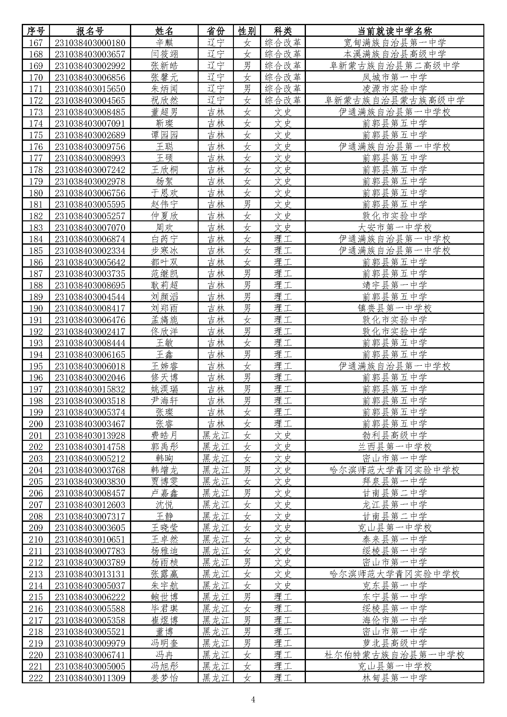
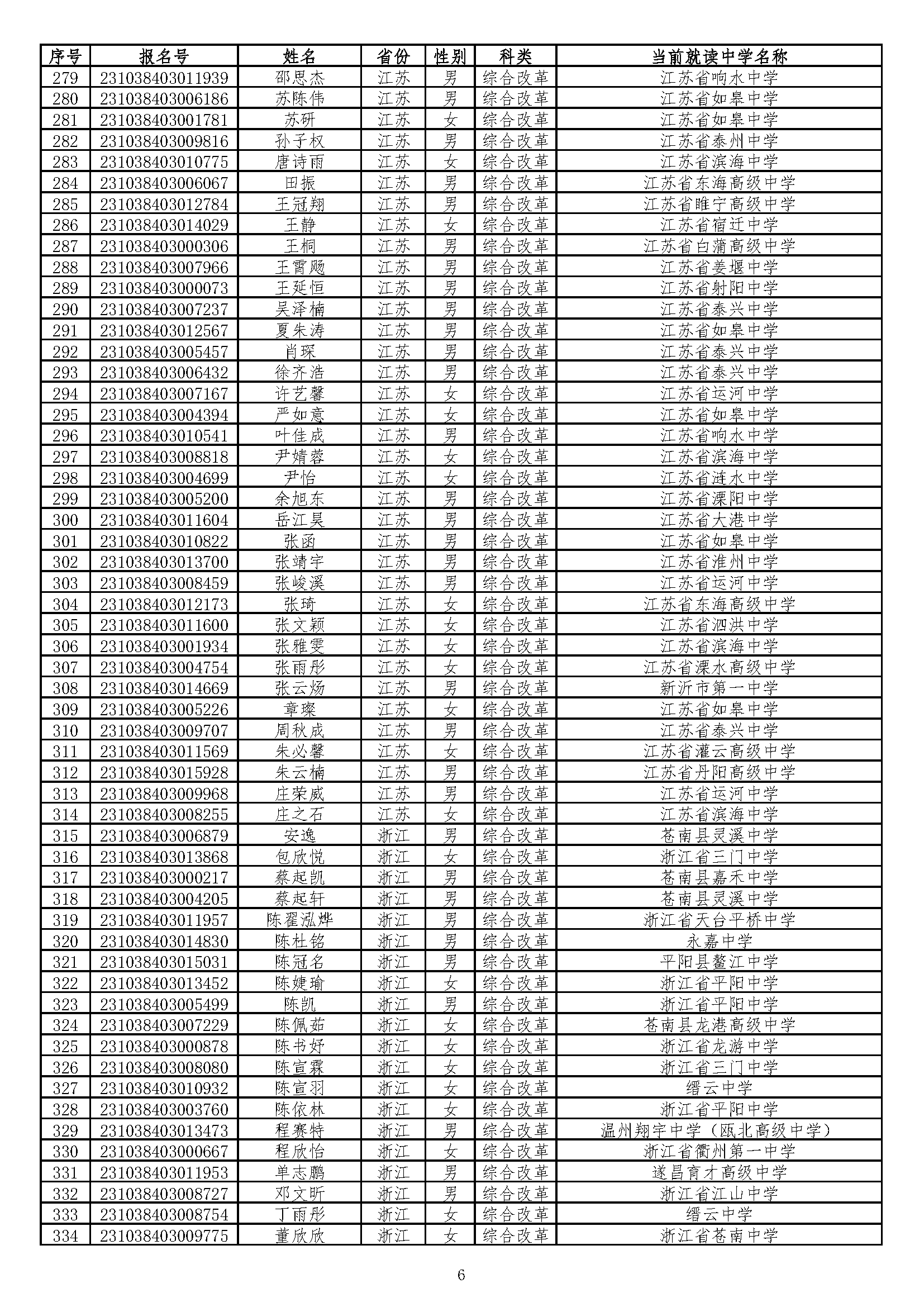
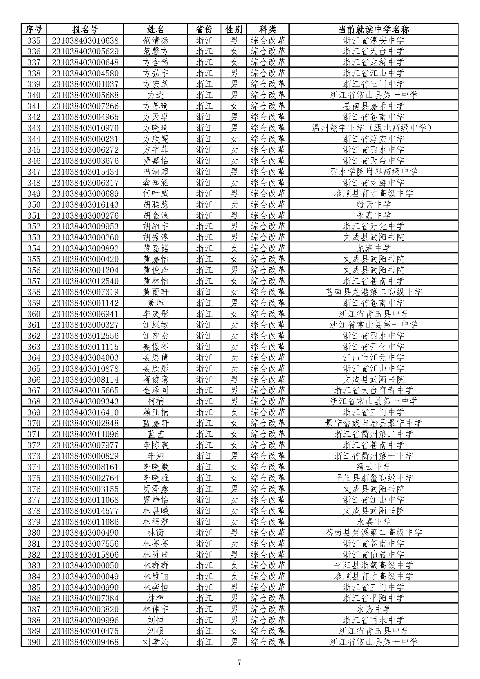
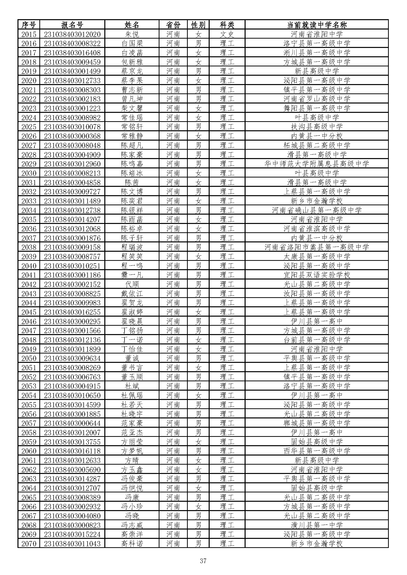
根据《厦门大学2023年高校专项计划(凤凰计划)招生简章》,审核通过者获得我校高校专项计划候选资格。现将候选资格名单予以公示,公示期截止6月14日。公示期内如有异议请向我校招生与考试办公室(联系电话:0592-2188888)或学校纪检监察机构(联系电话:0592-2186219)反映。
经我校招生网和教育部“阳光高考”平台公示无异议的考生最终取得我校高校专项计划入选资格。
附件(点击下载):附件:厦门大学2023年高校专项(凤凰计划)候选资格名单.pdf




































































