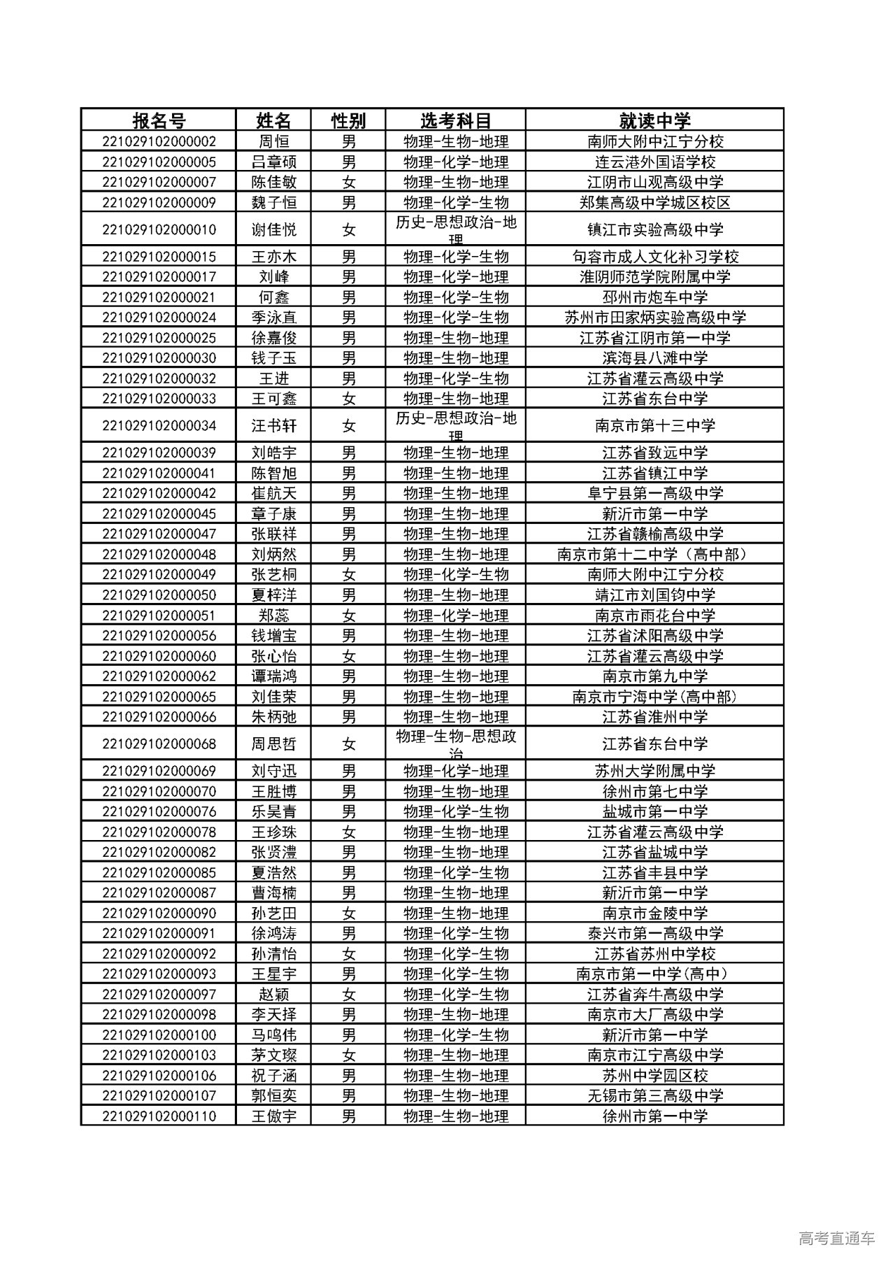
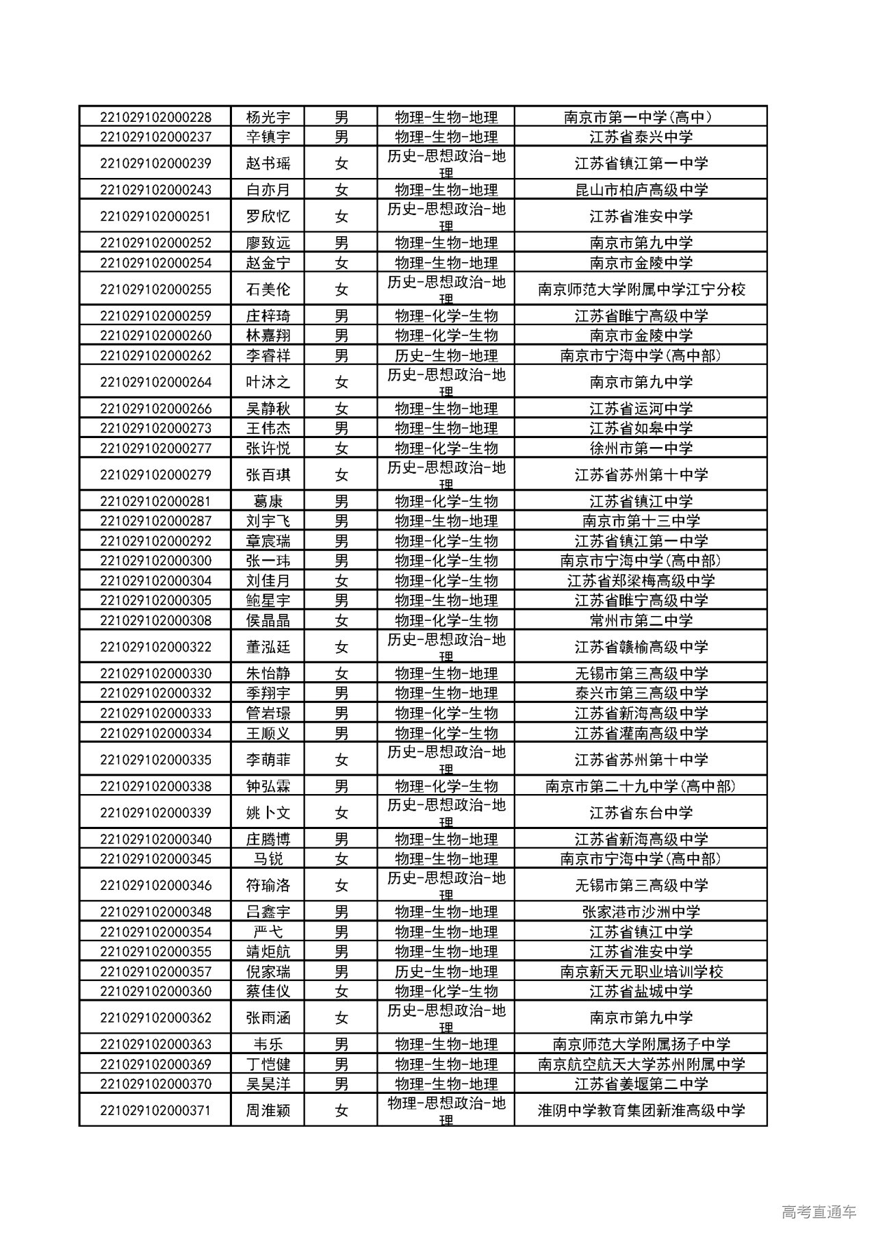
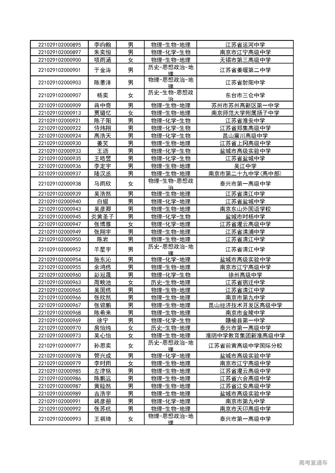
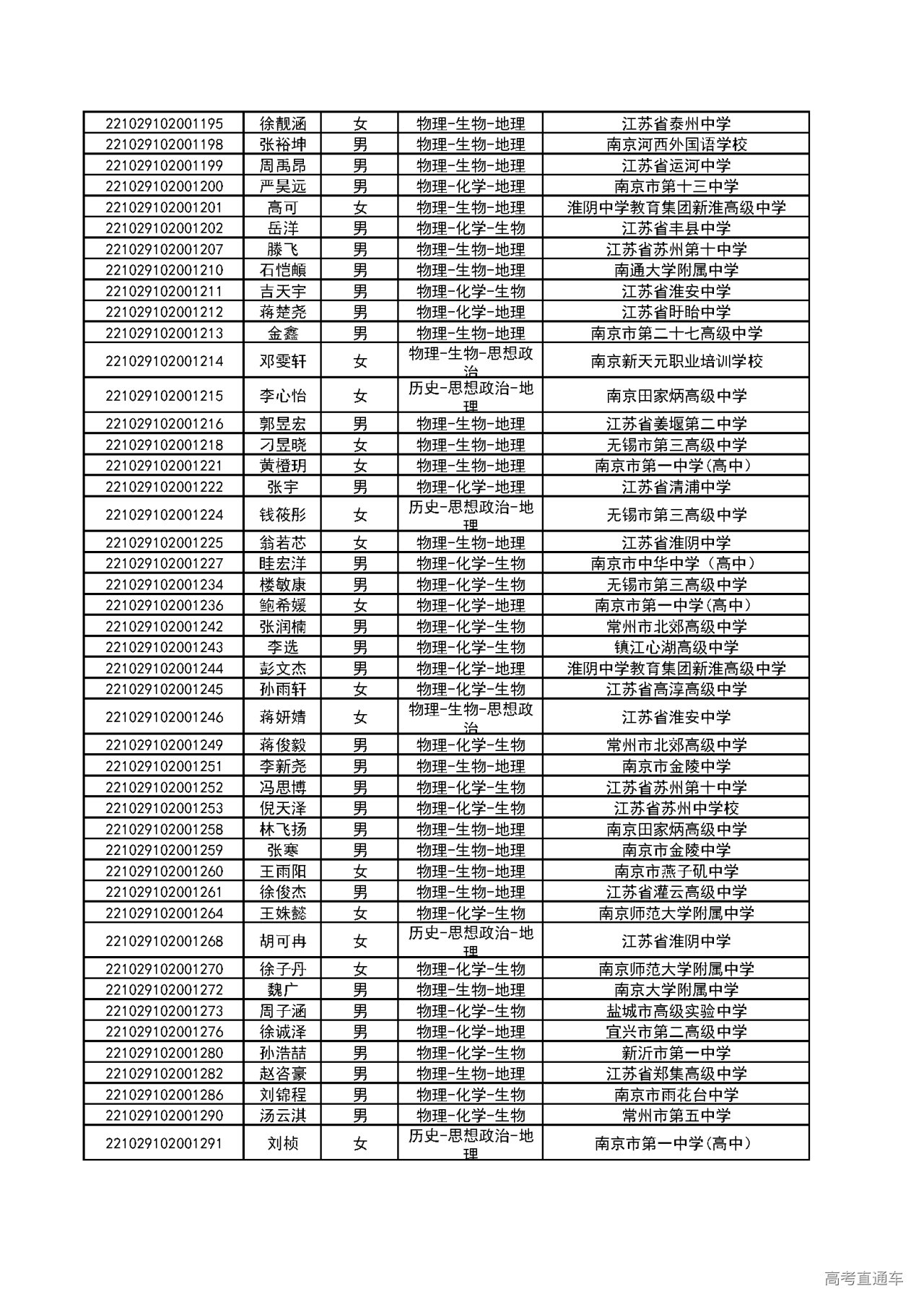
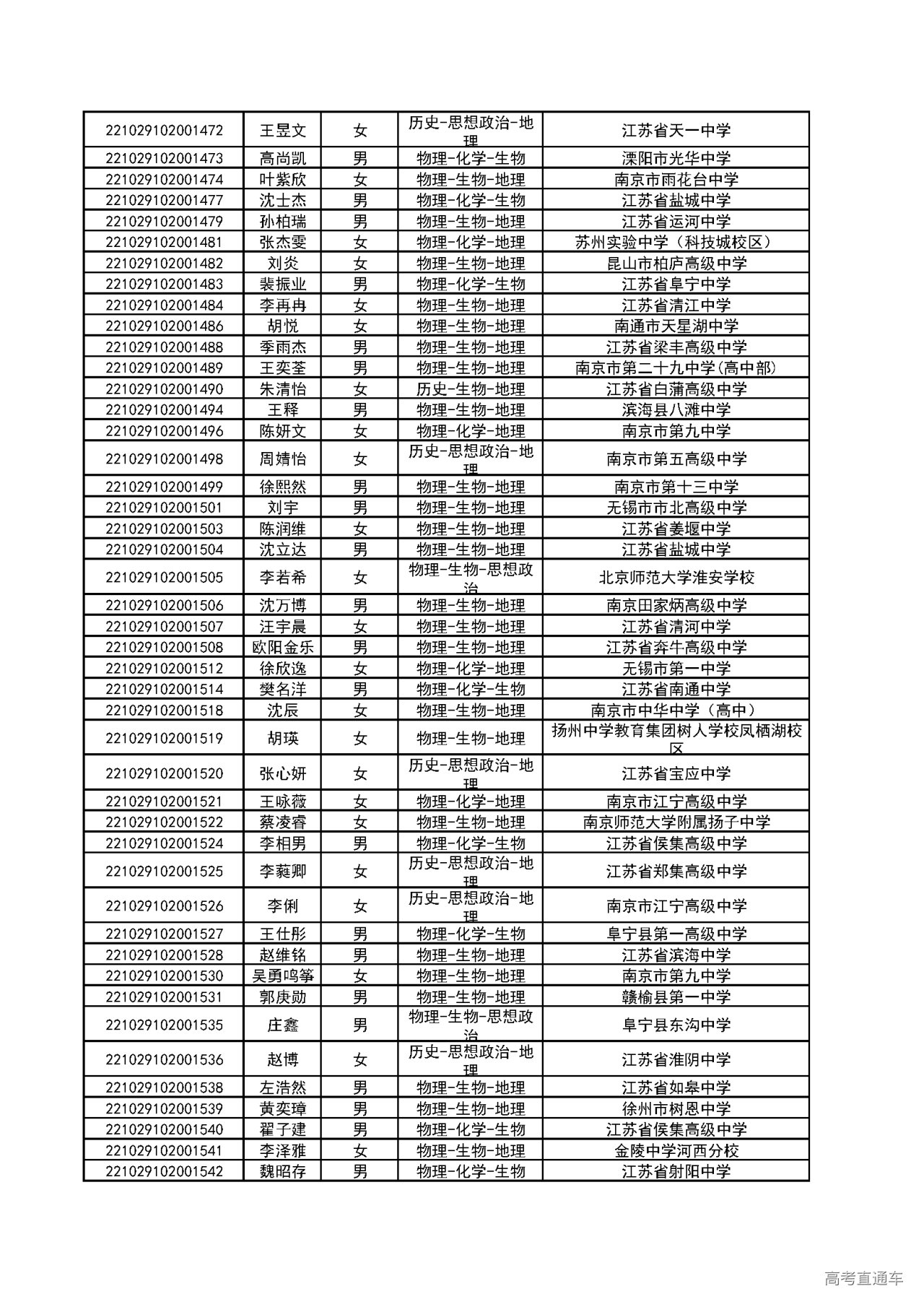
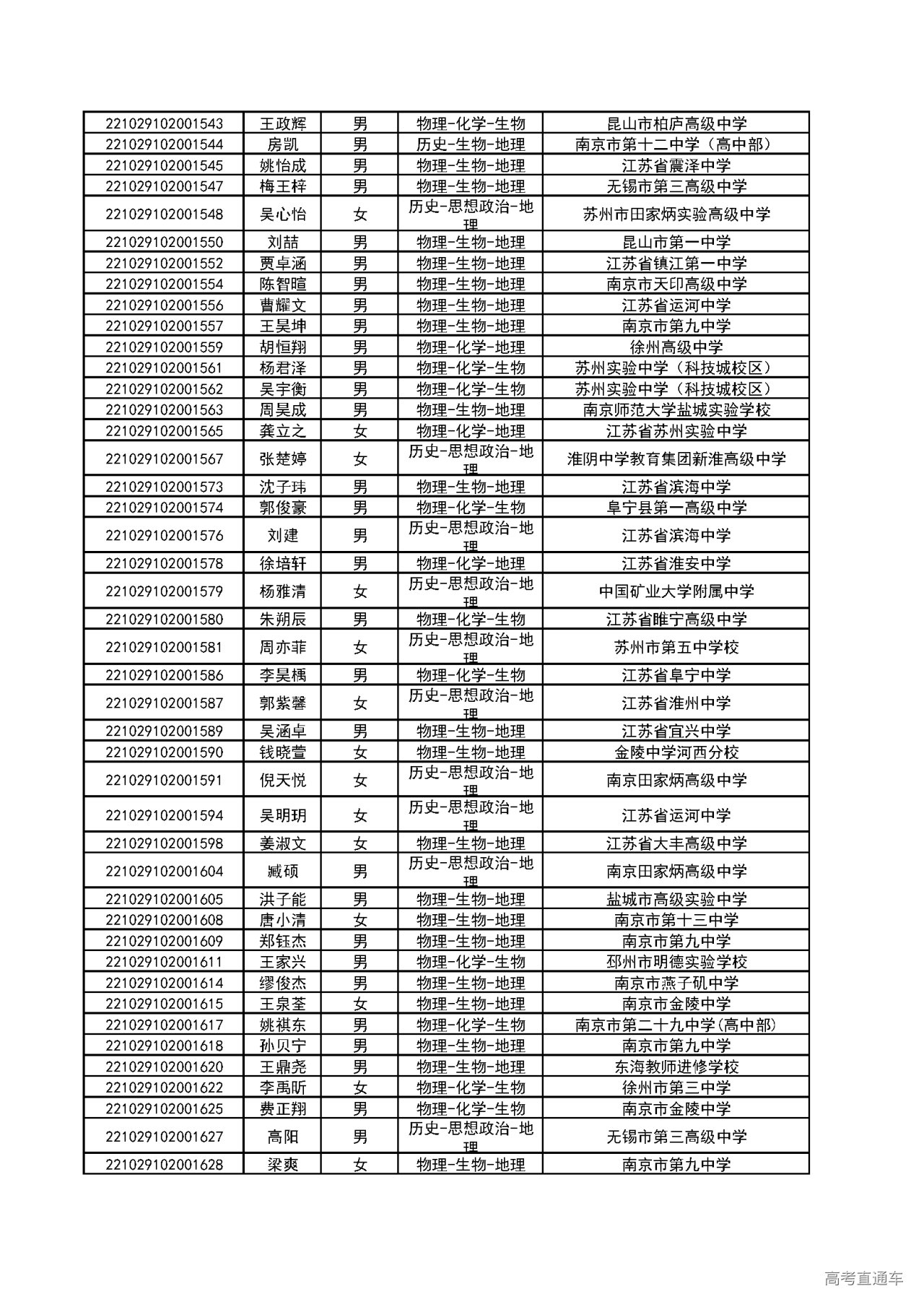
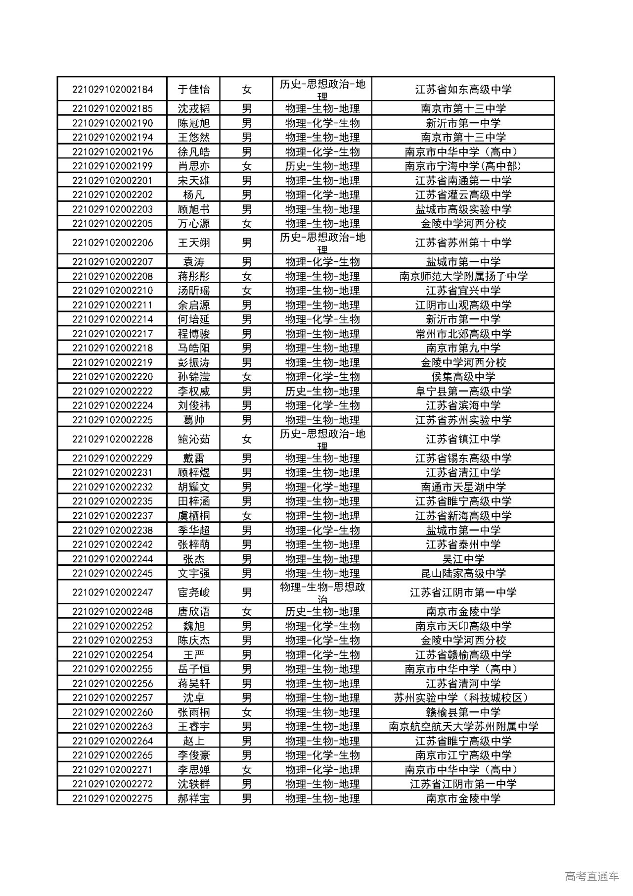
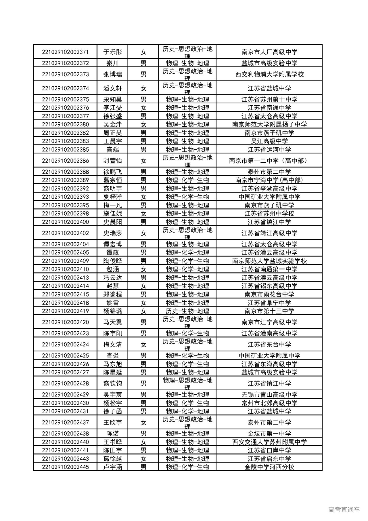
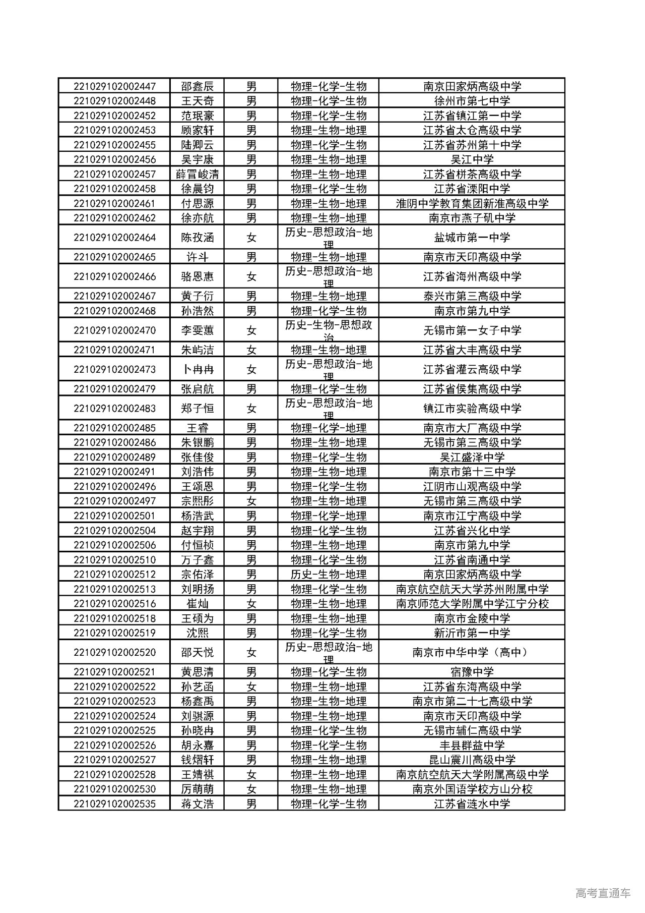
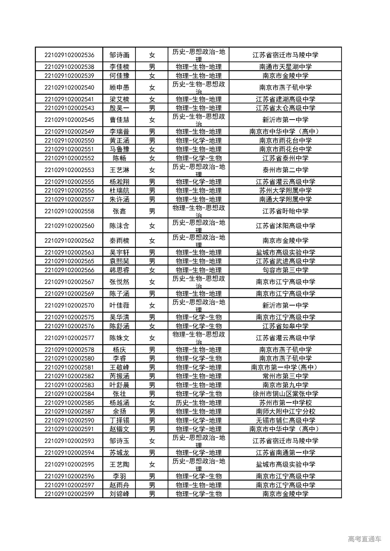
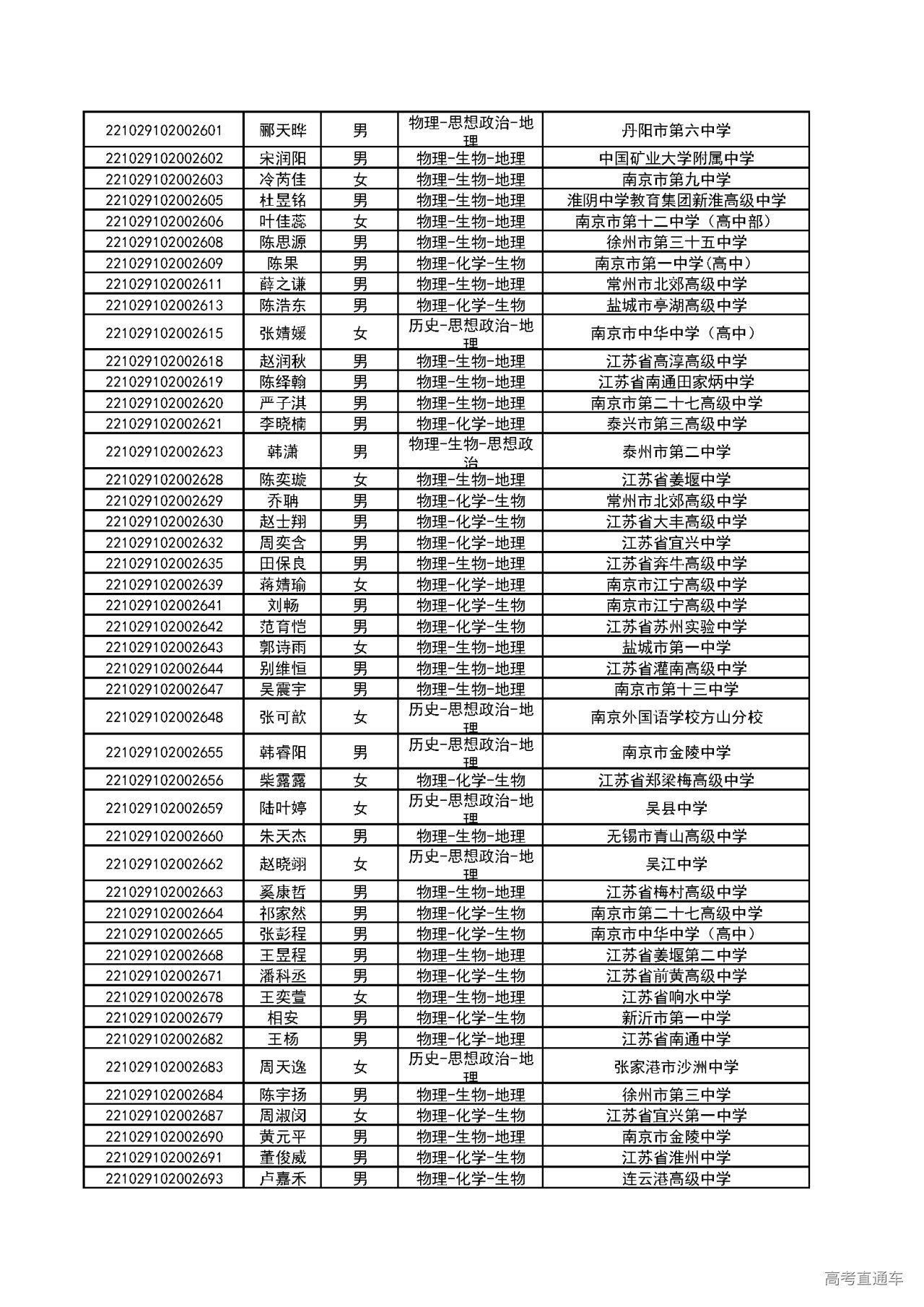
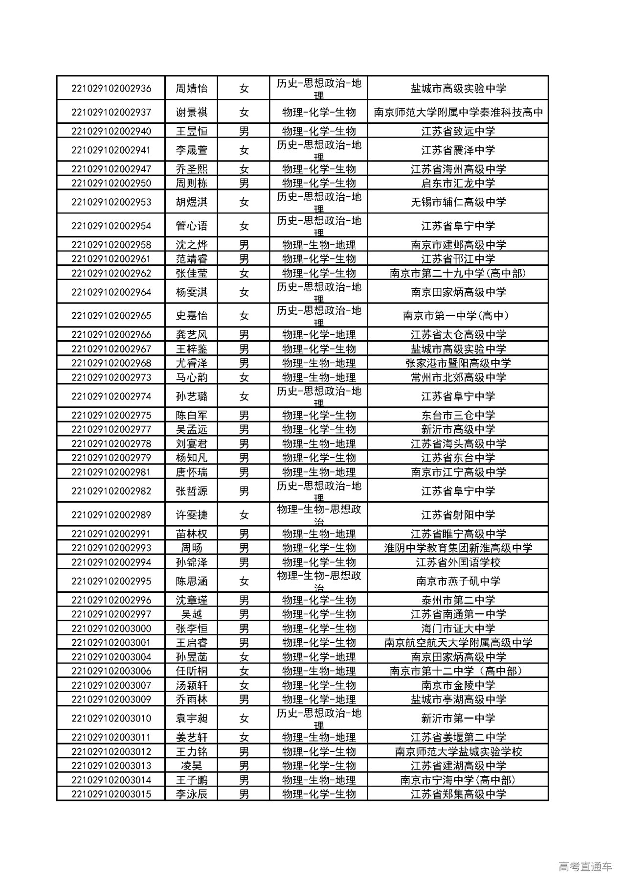
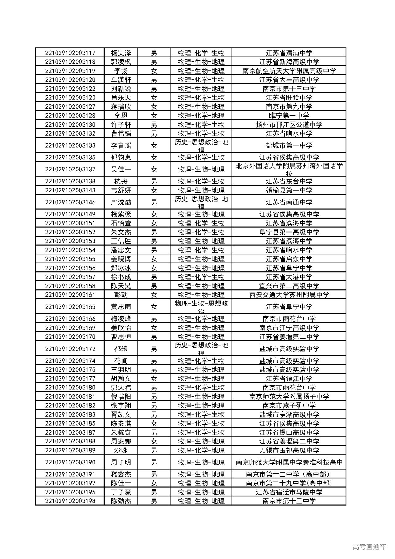
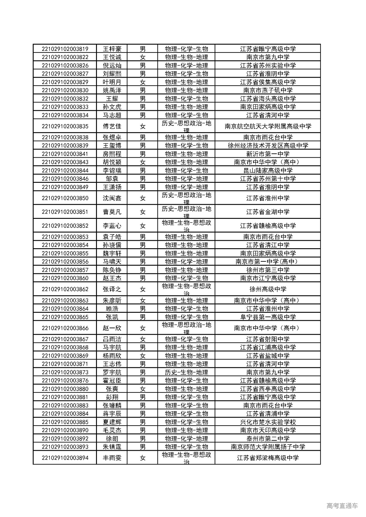
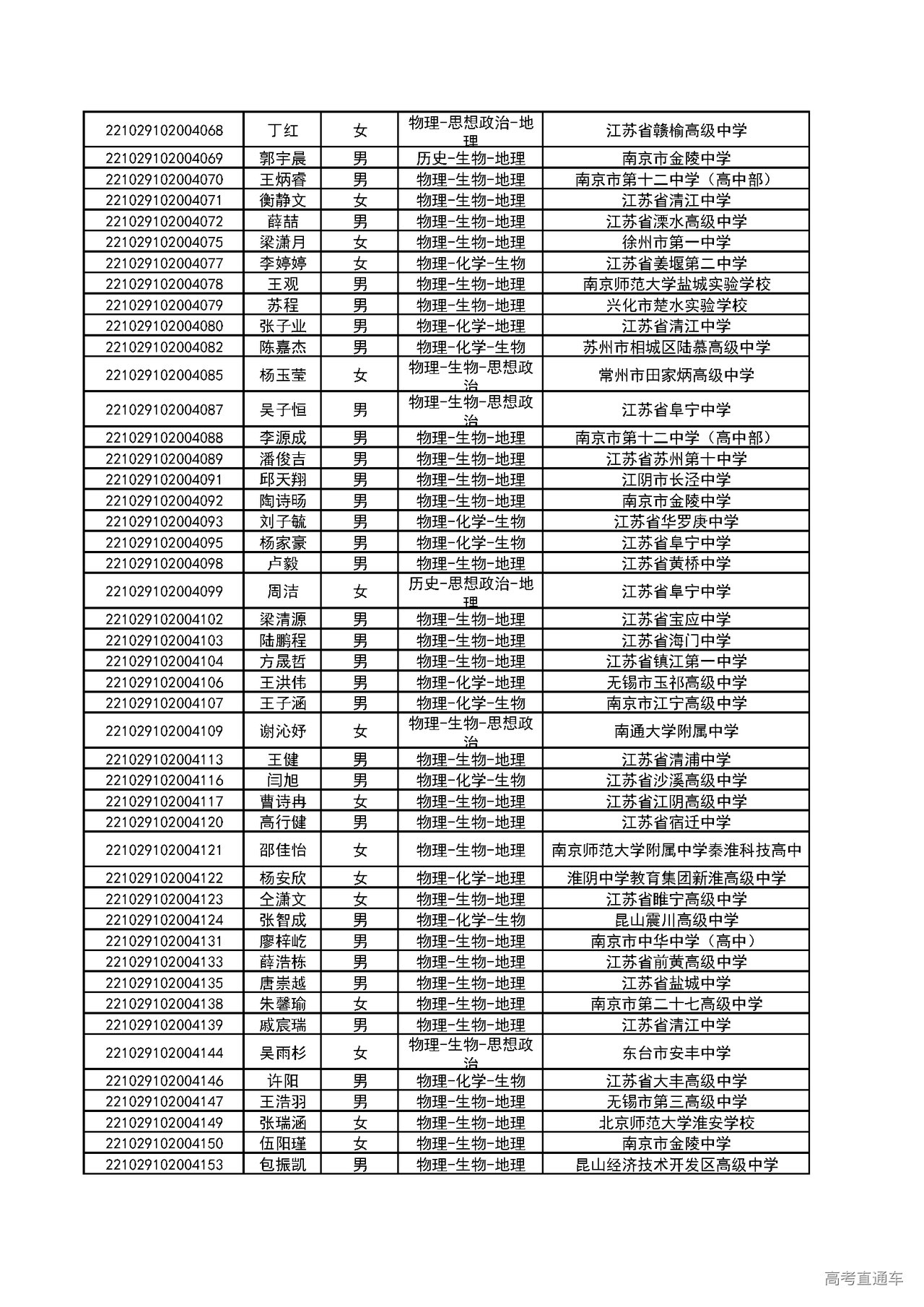
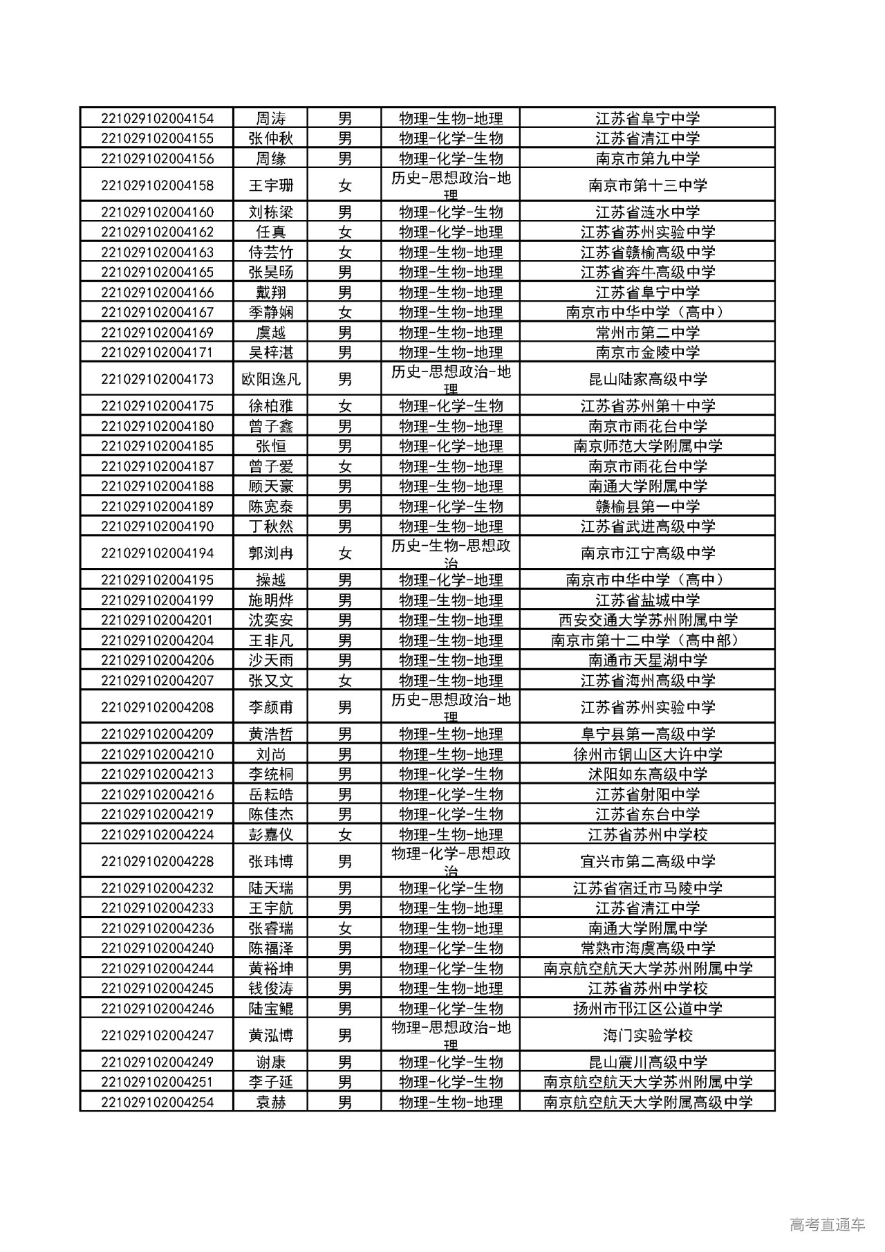
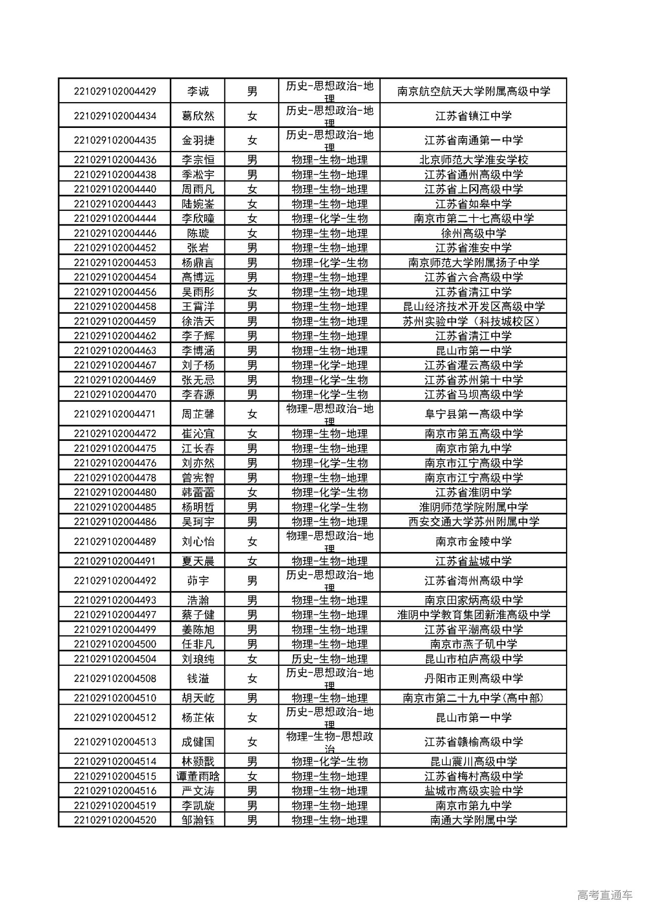
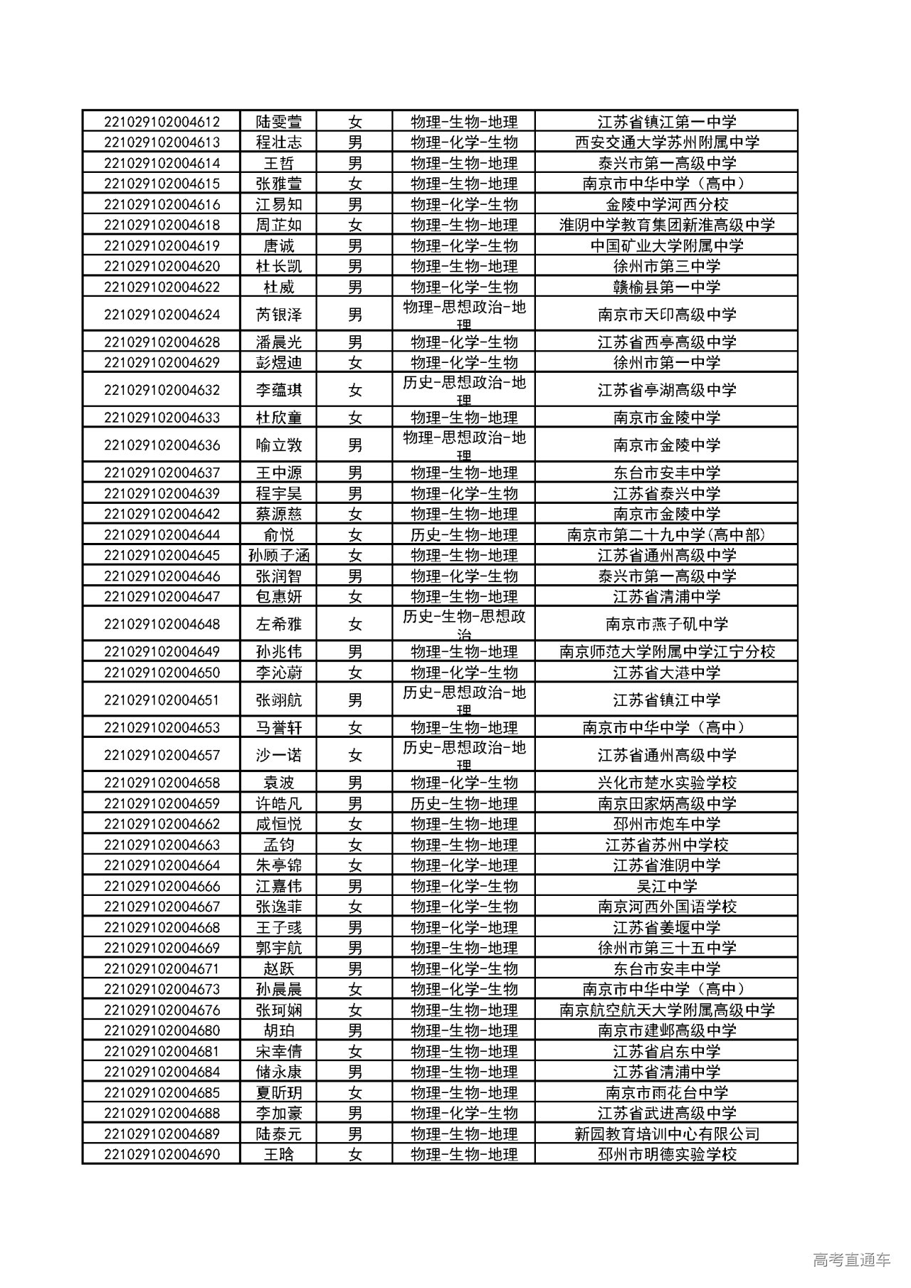
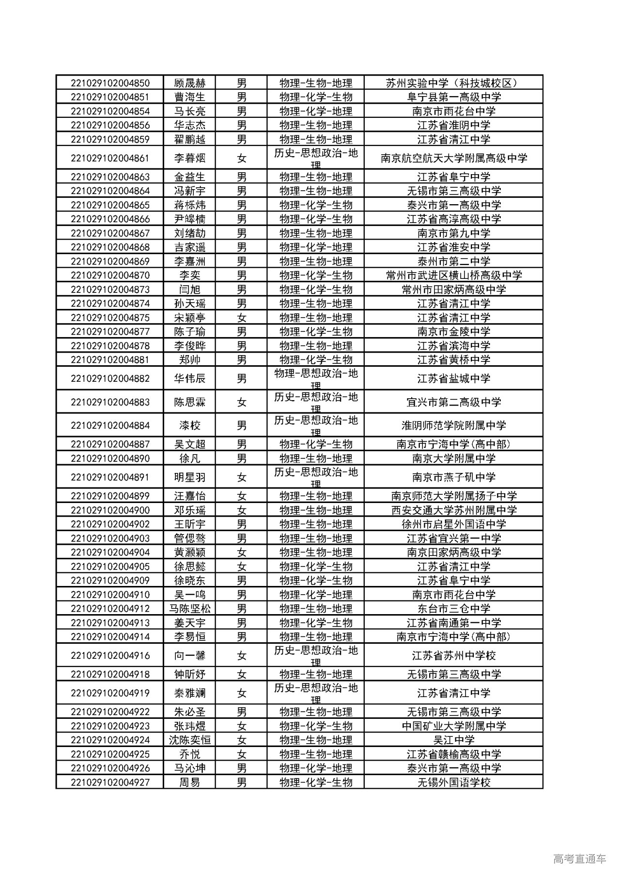
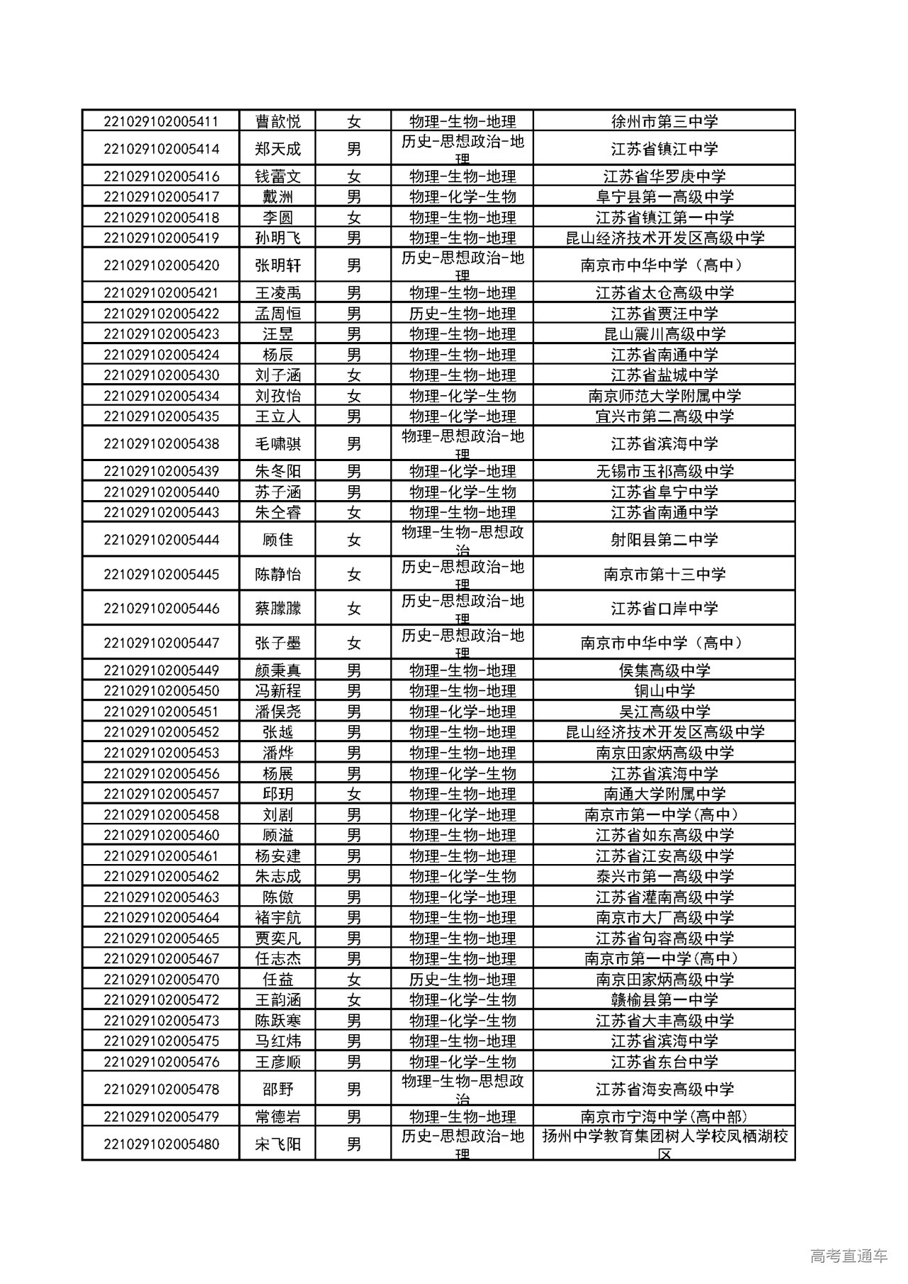
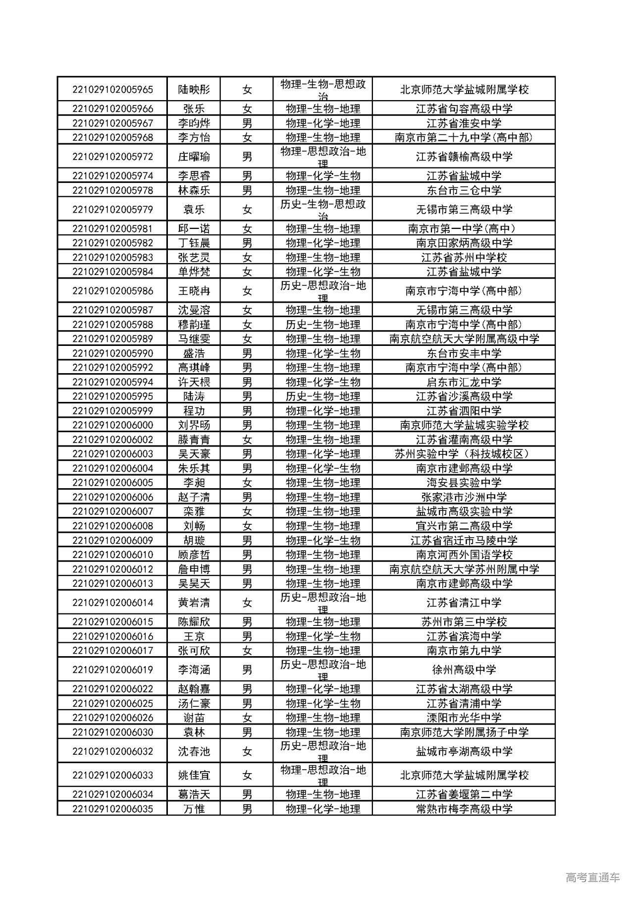
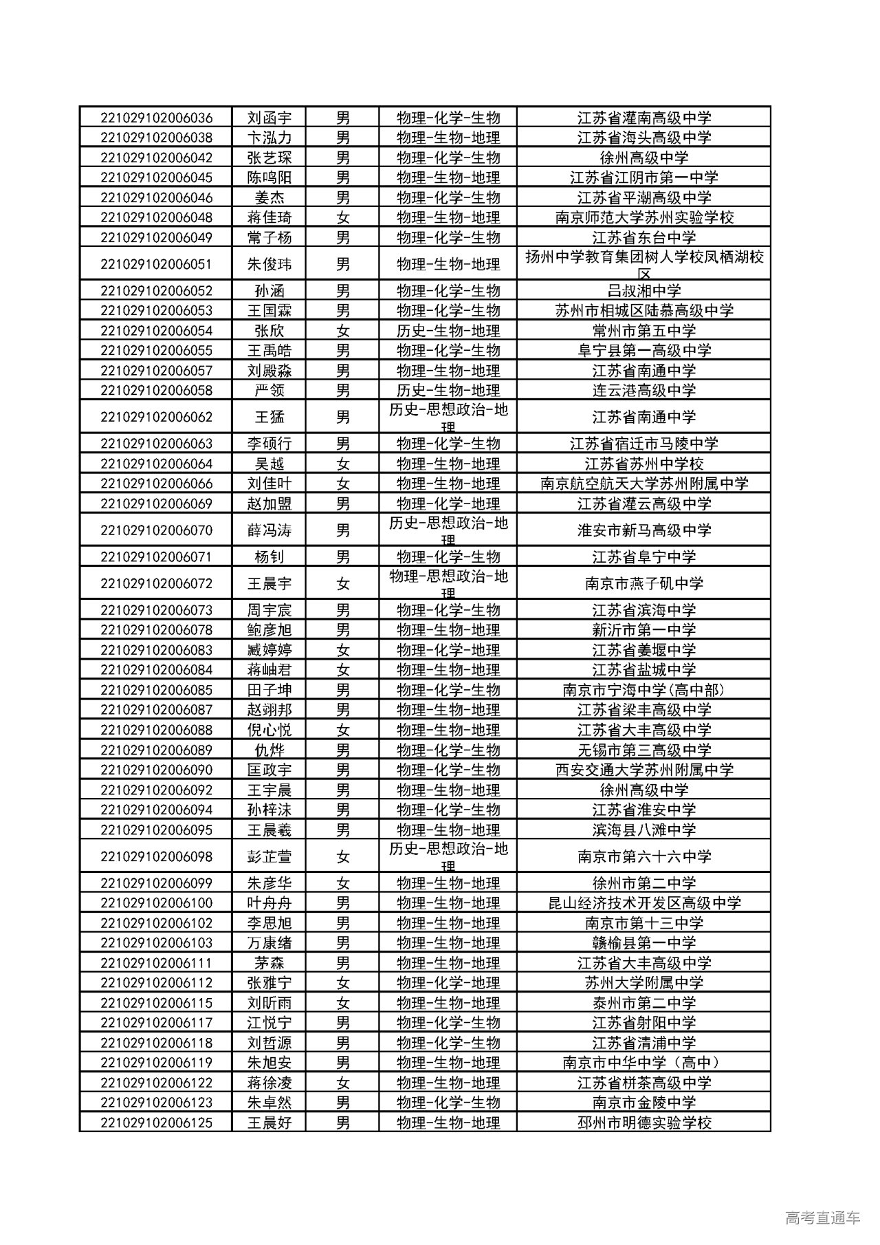
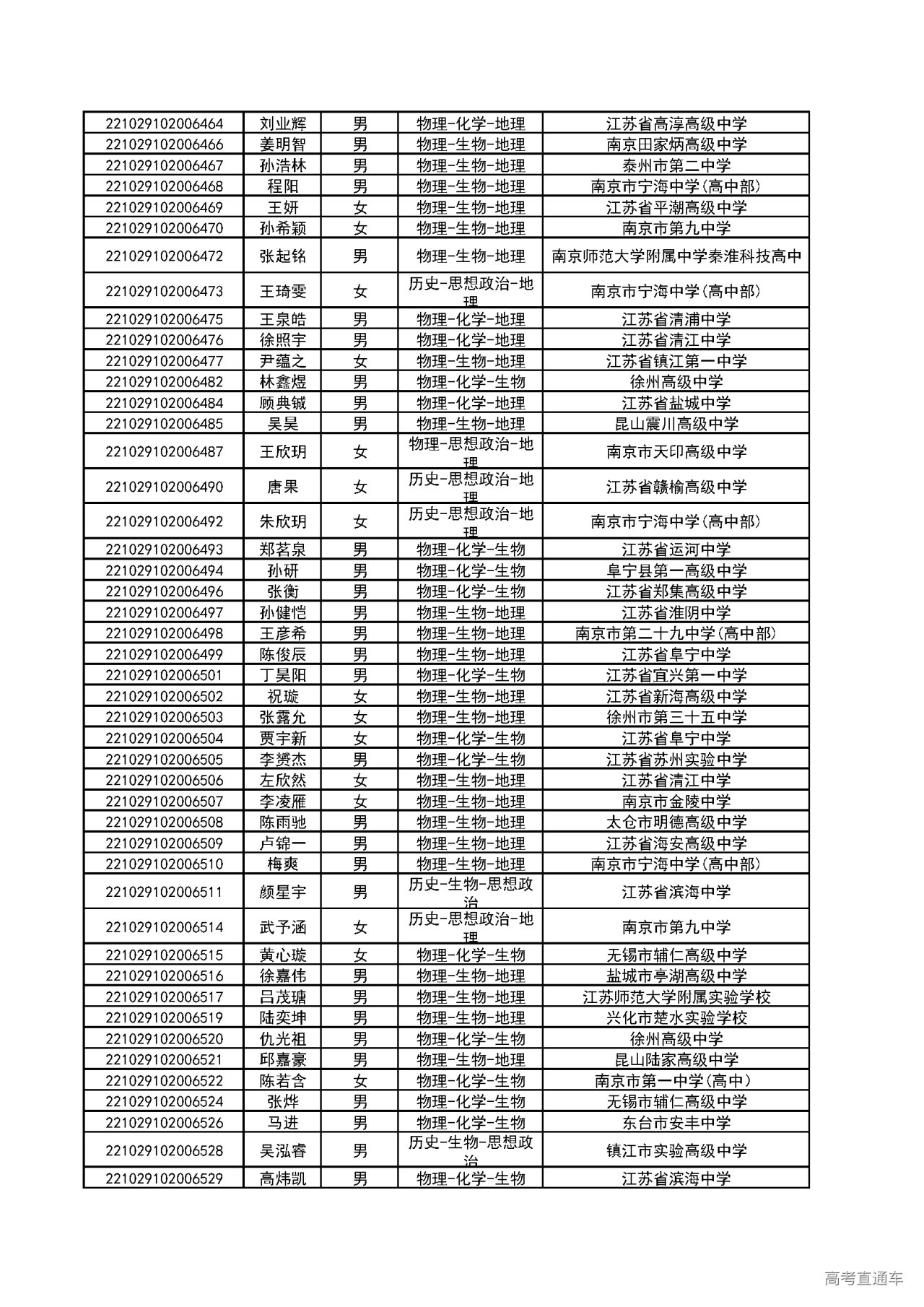
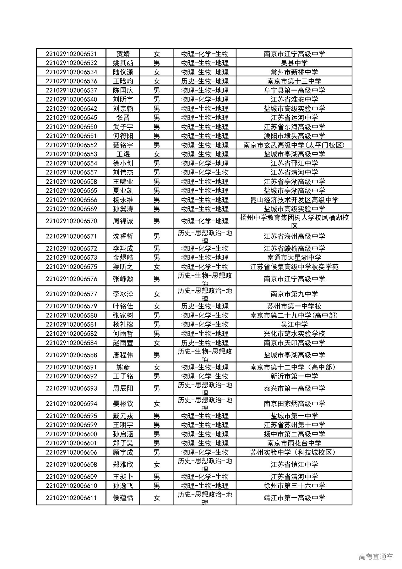
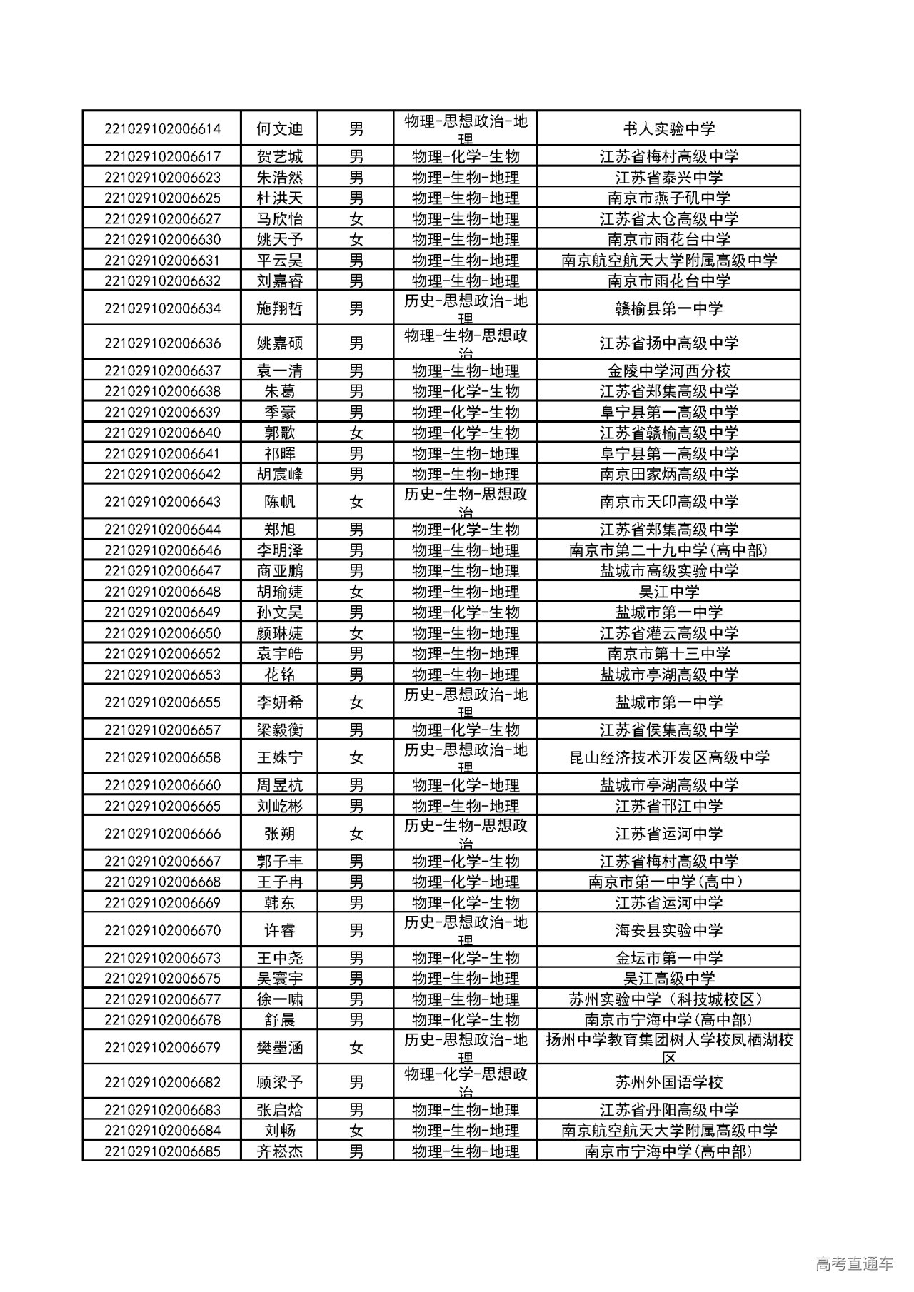
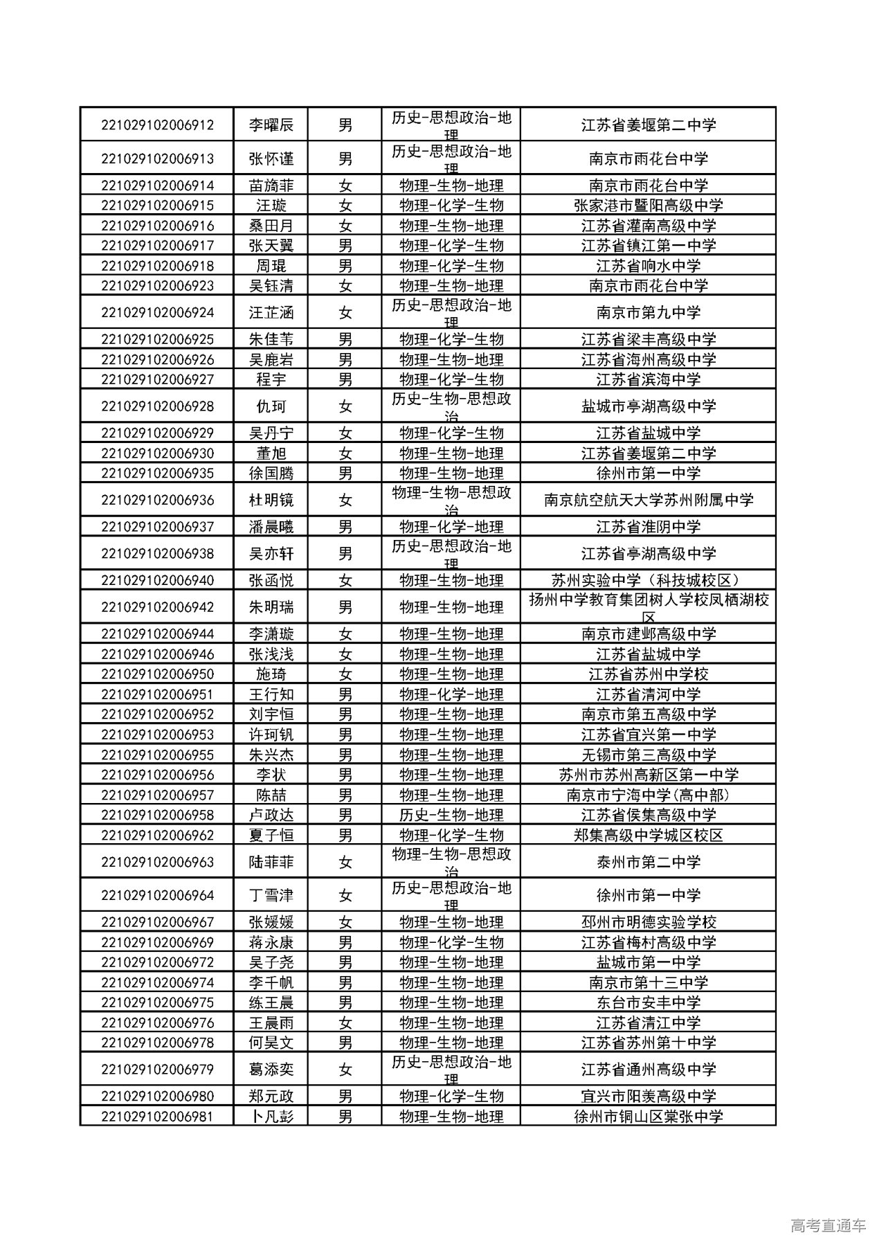
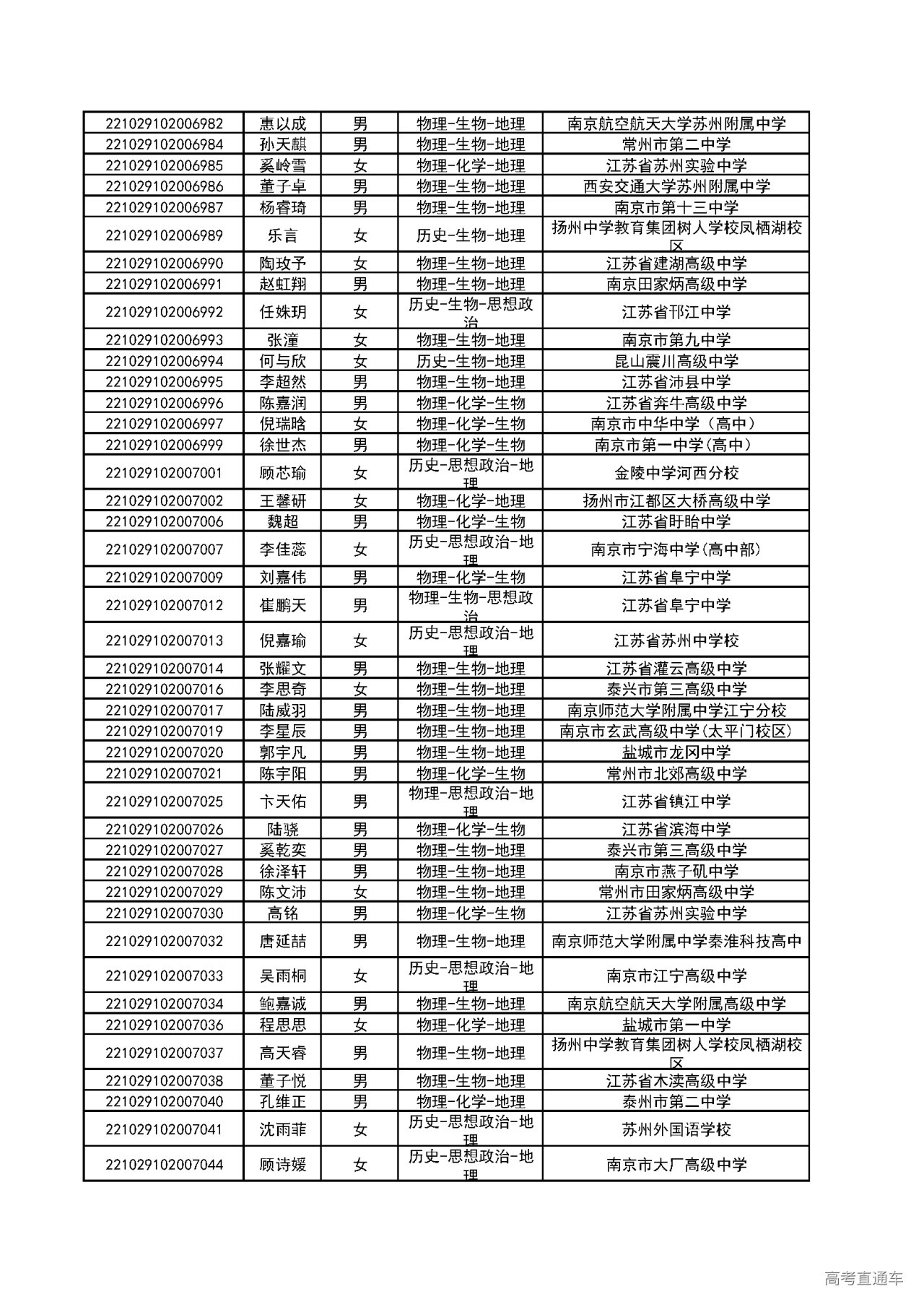
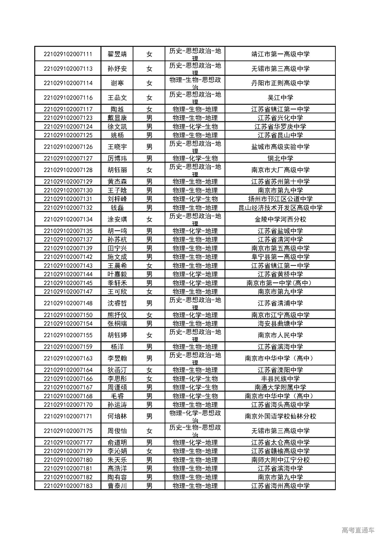
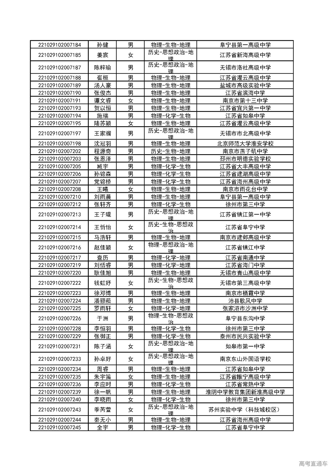
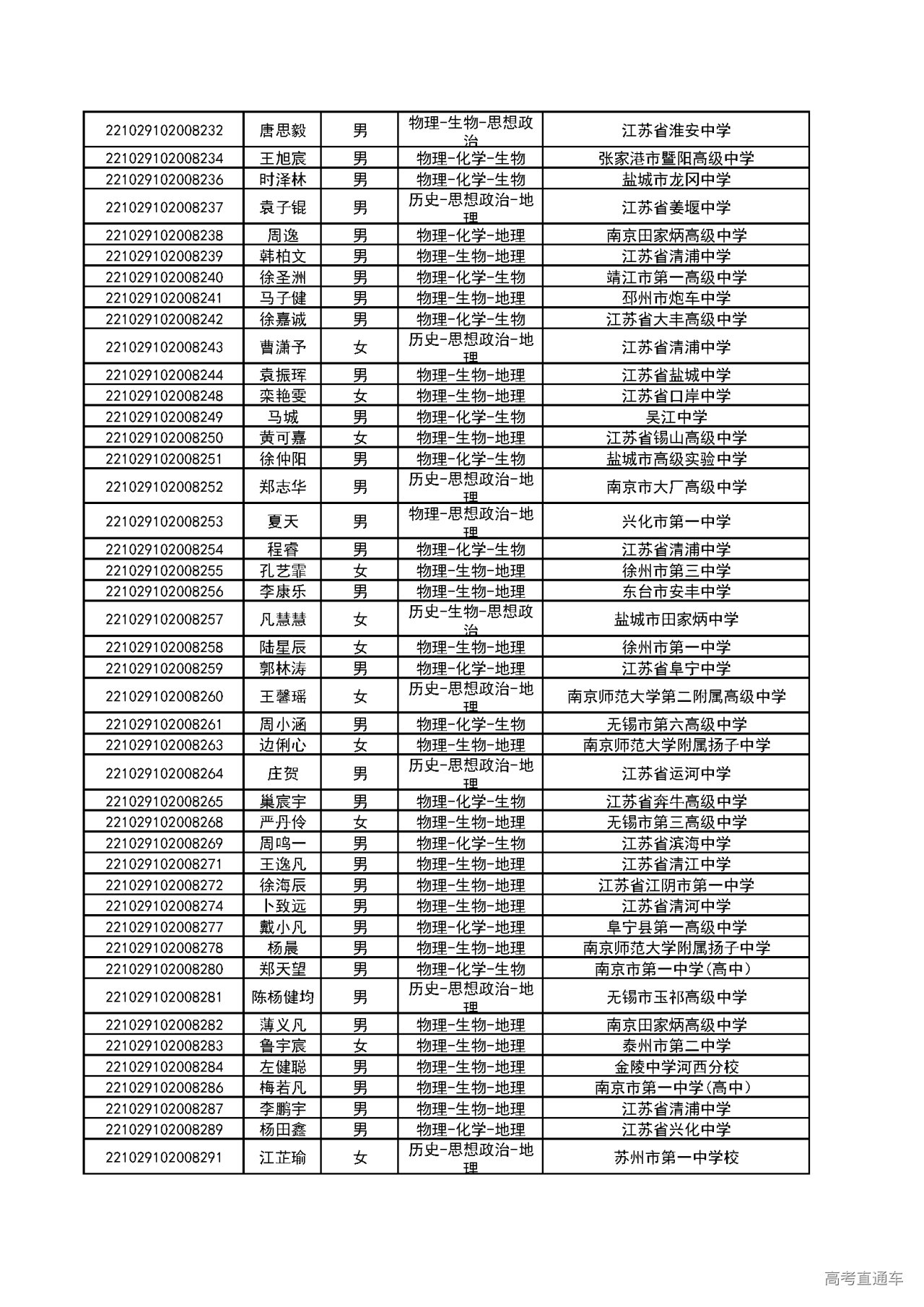
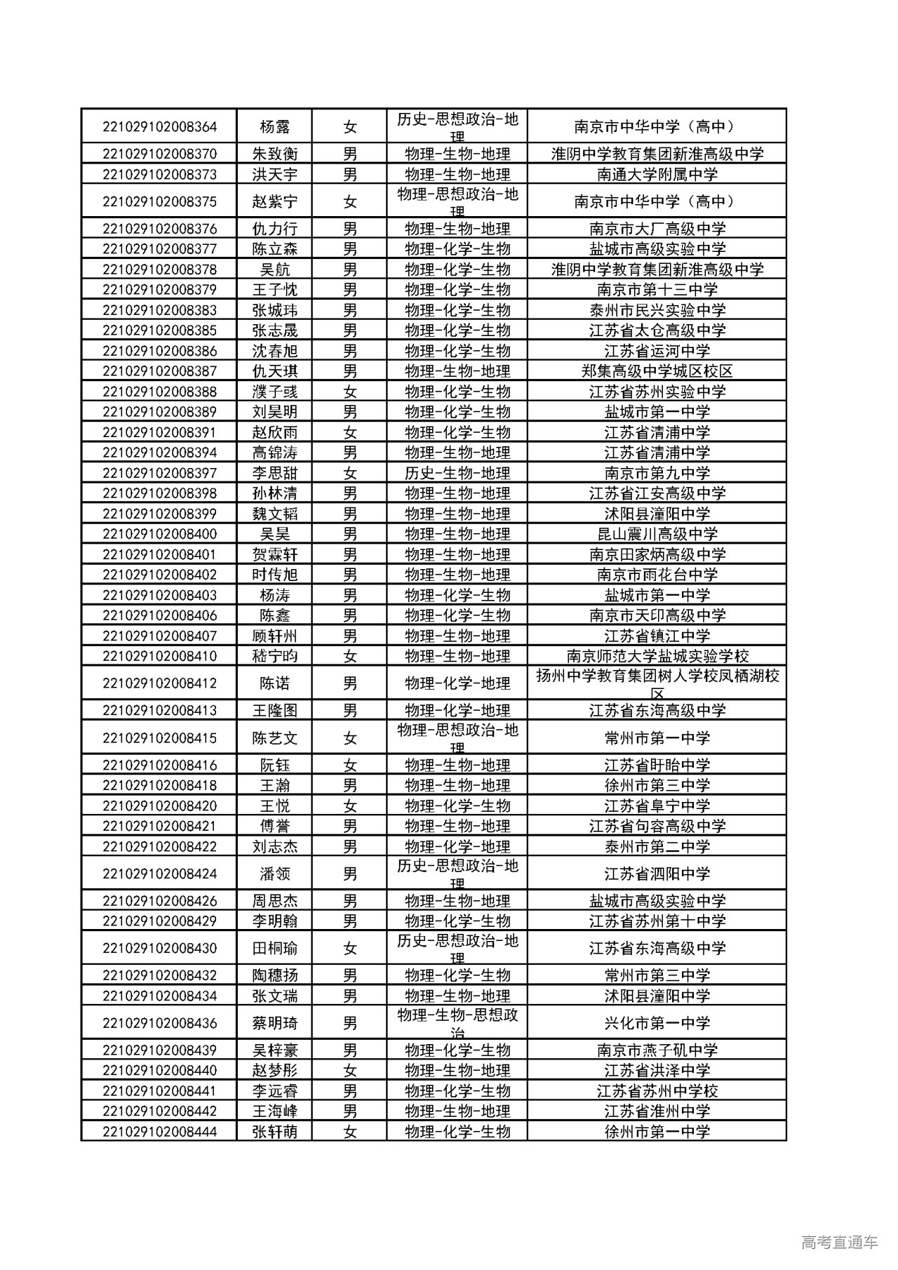
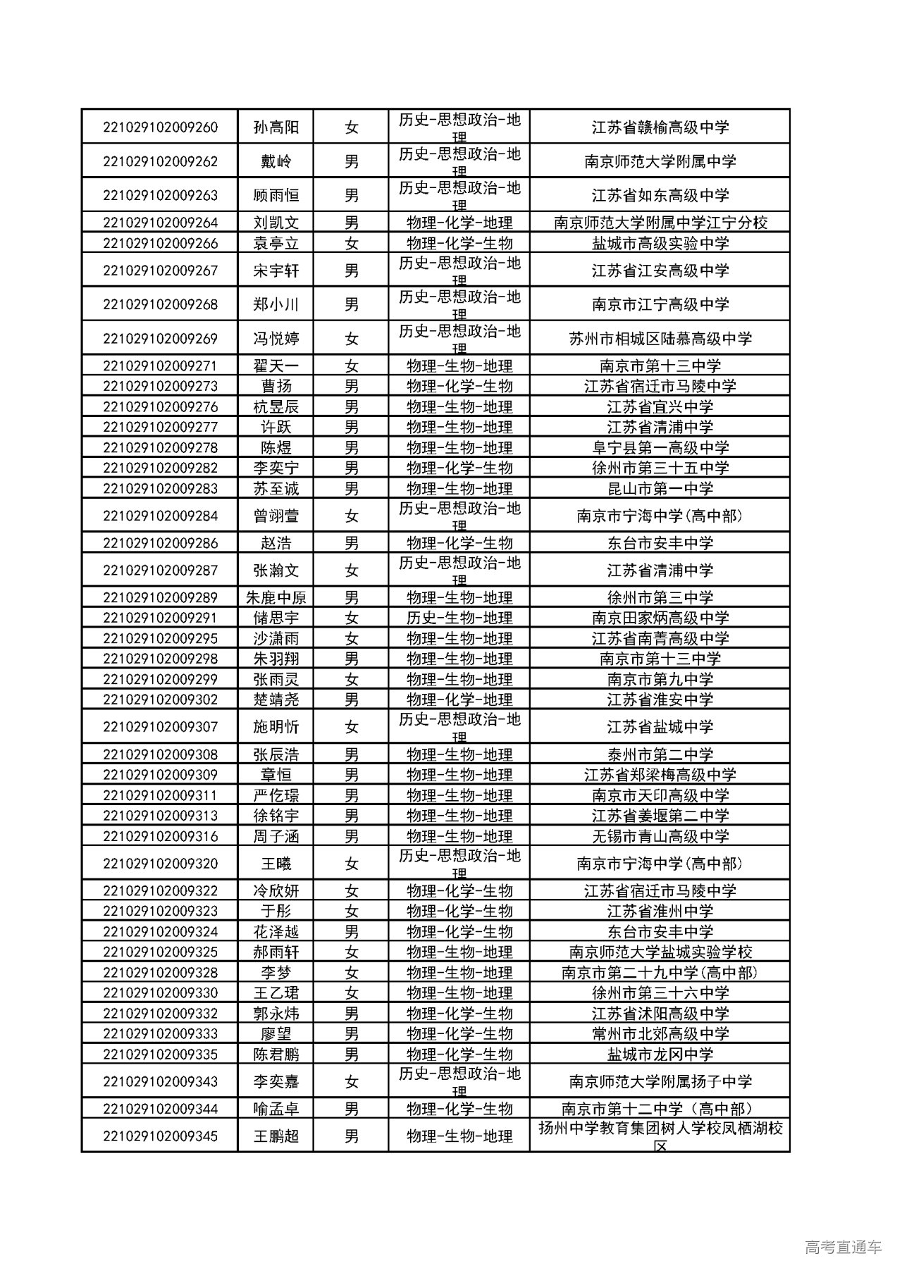
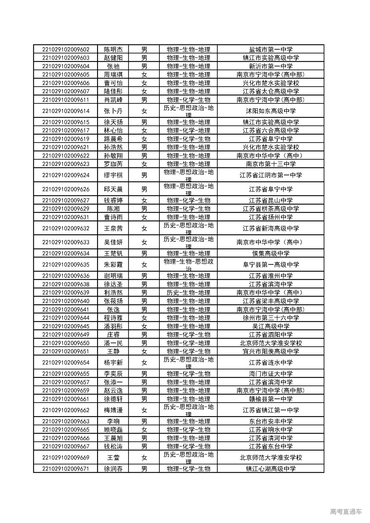
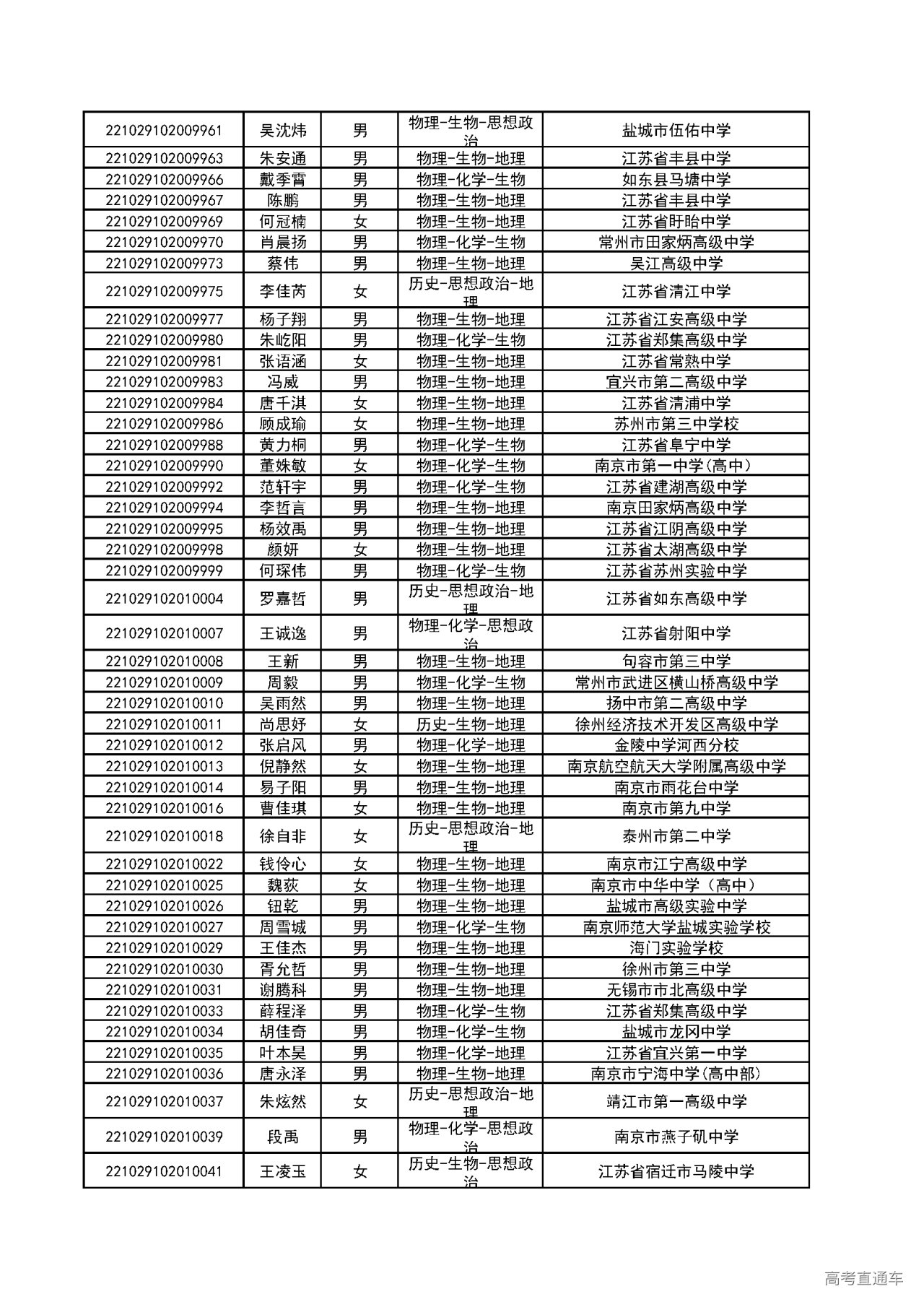
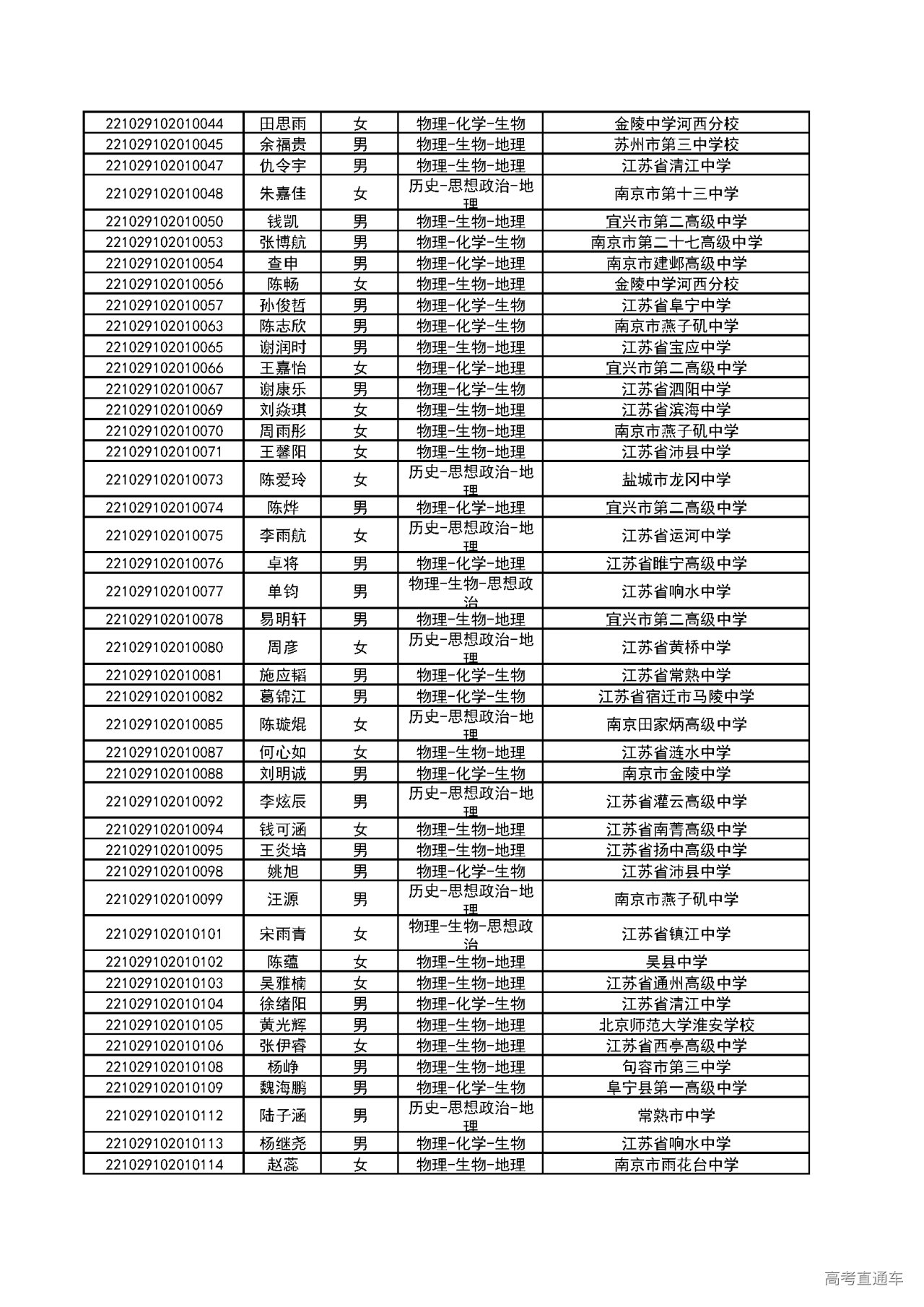
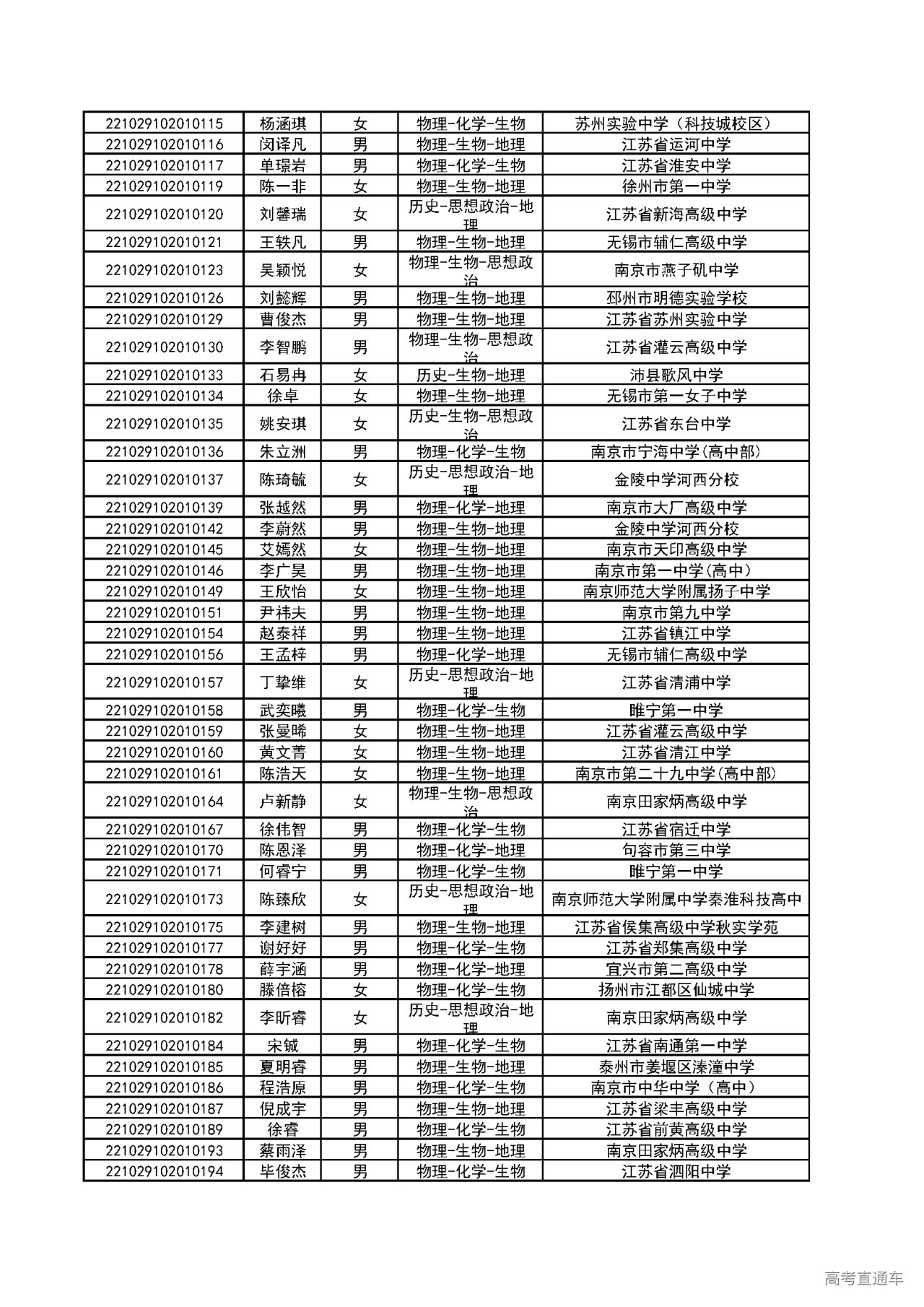
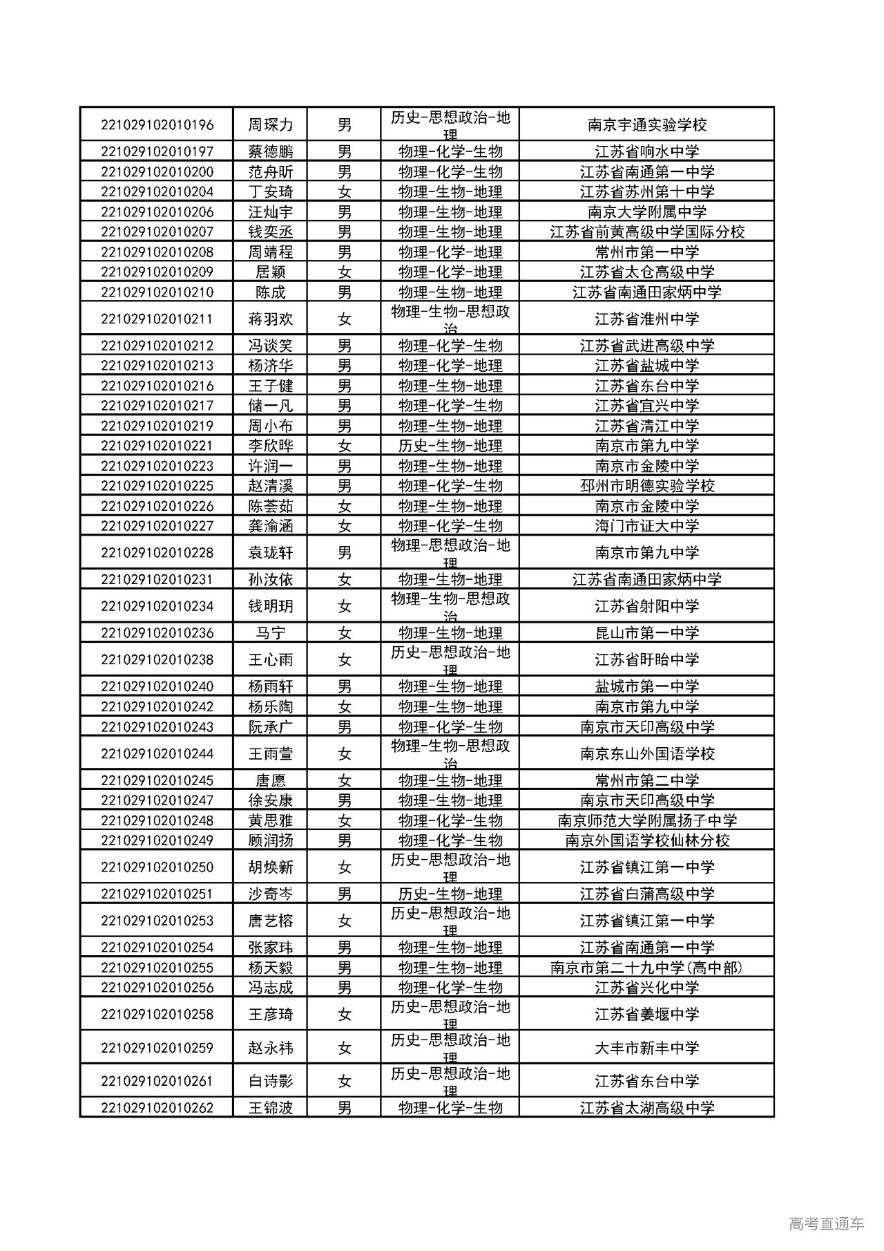
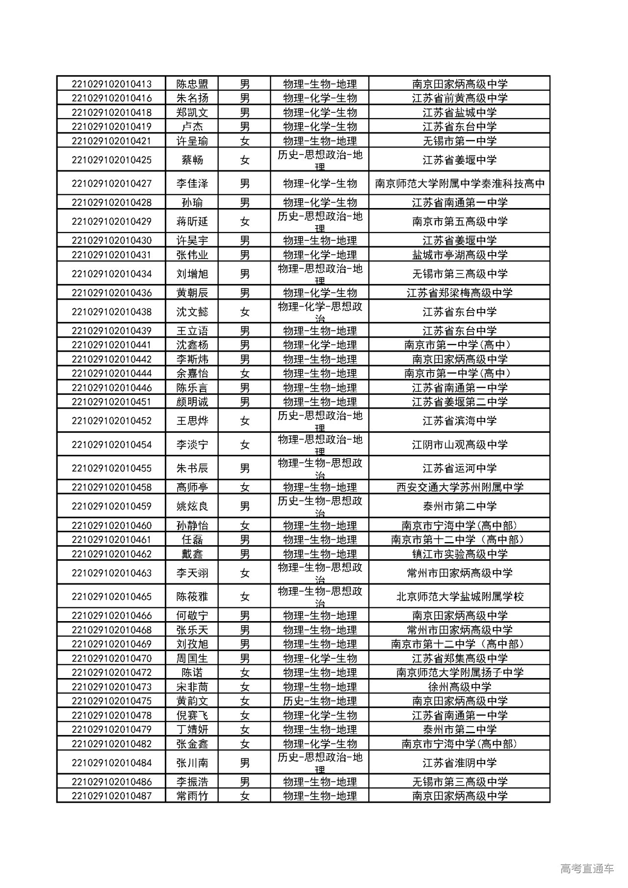
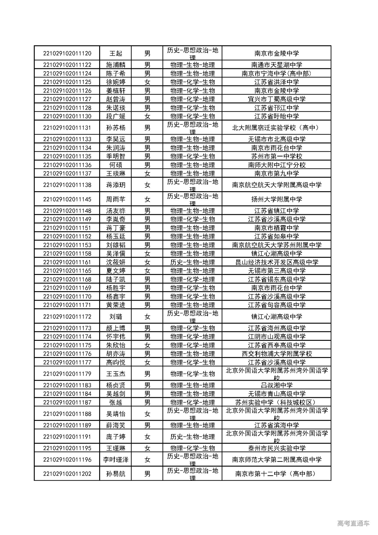
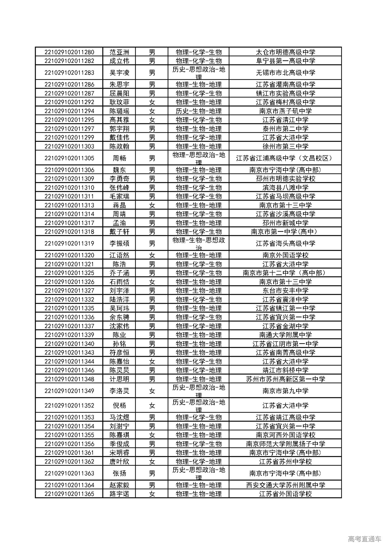
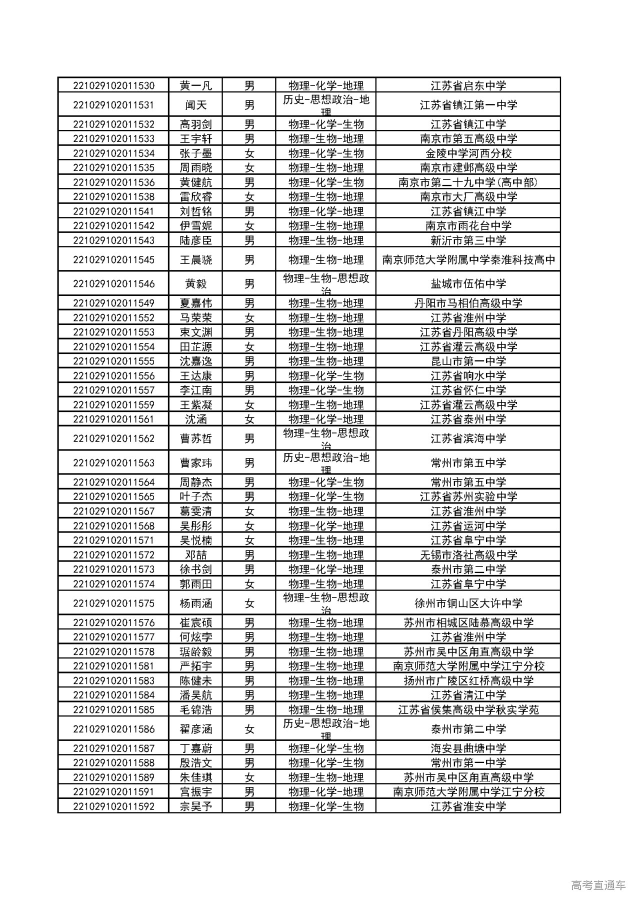
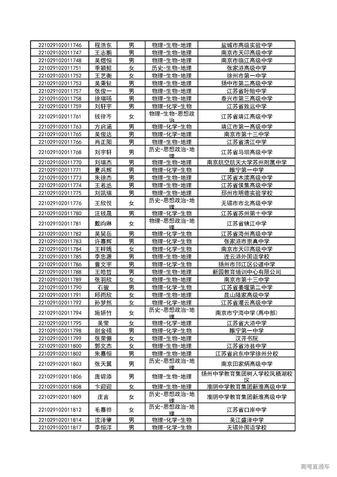
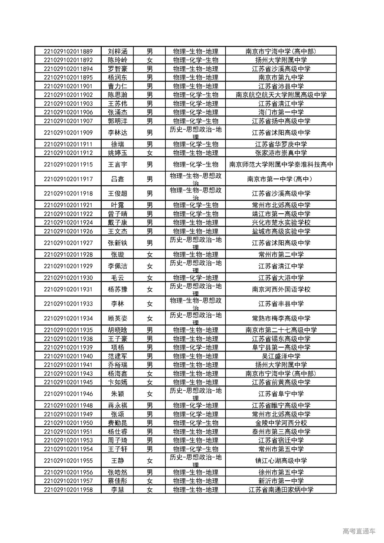
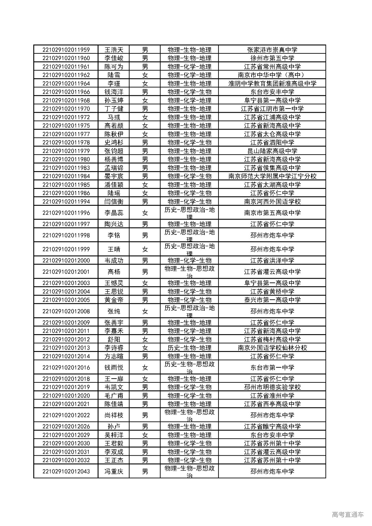
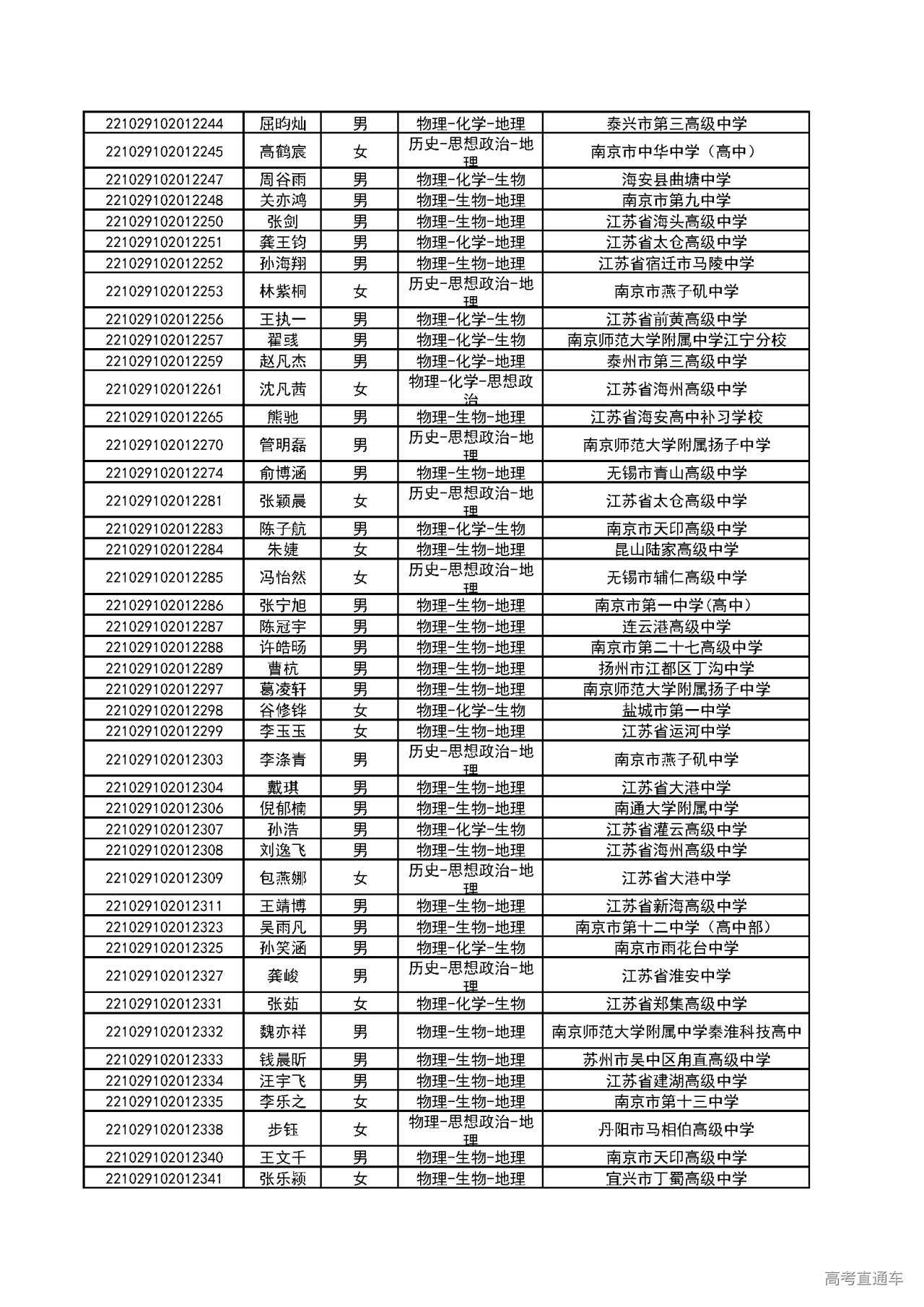
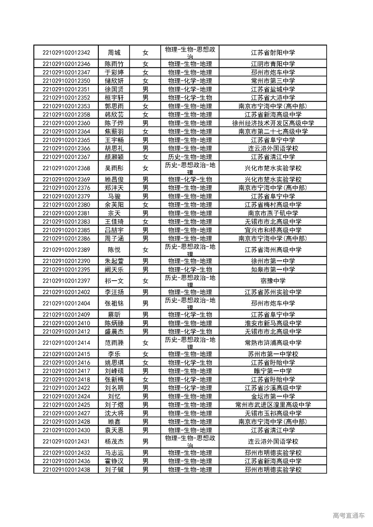
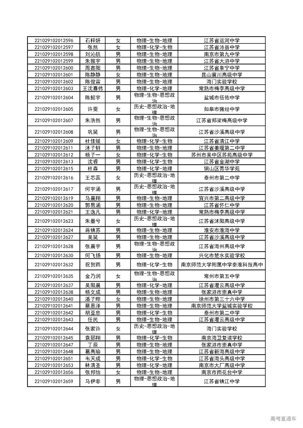
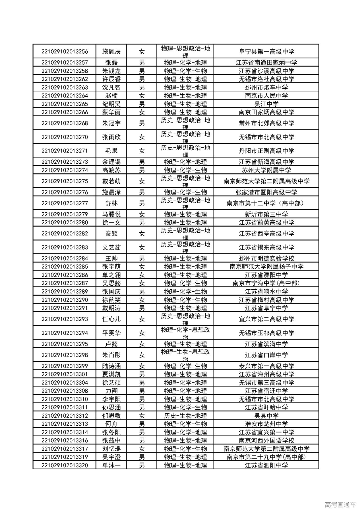
根据《省教育厅关于做好2022年普通高校综合评价招生改革试点工作的通知》(苏教考〔2022〕11号)文件精神和我校2022年综合评价招生简章要求,现对我校2022年综合评价招生初审合格名单予以公示,详见附件(按报名号从小到大排序)。考生可通过教育部阳光高考特殊类型招生报名平台(http://bm.chsi.com.cn)查询初审结果和考生条件分。具体说明如下:
1. 公示时间:5月23日至6月1日。
2. 请初审公示无异议的考生于5月23日至5月31日登录阳光高考报名平台确认考试,点击“志愿管理-查看详情-确认考试”,当考试时间与其他学校重合时,只允许确认1所。逾期未确认考试的考生,视为自动放弃我校综合评价录取资格。
3. 面试时间:拟定于6月12日,打印准考证及其他具体安排另行通知,请密切关注我校本科招生网或“南工招办”微信公众号。学校根据“学校考评分”的高低排序,分历史等科目类和物理等科目类按照不超过综合评价招生计划数的5倍确定入选考生名单。
4. 联系方式
电话:招生办公室025-58139090;纪检监察部门025-58139070
南京工业大学招生办公室
2022年5月23日
附件:南京工业大学2022年综合评价招生初审合格名单.xlsx














































































































































































