各位考生:
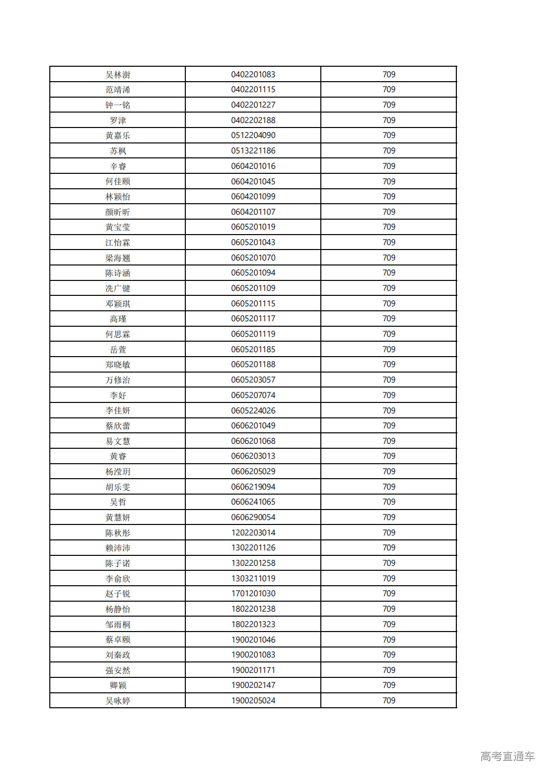
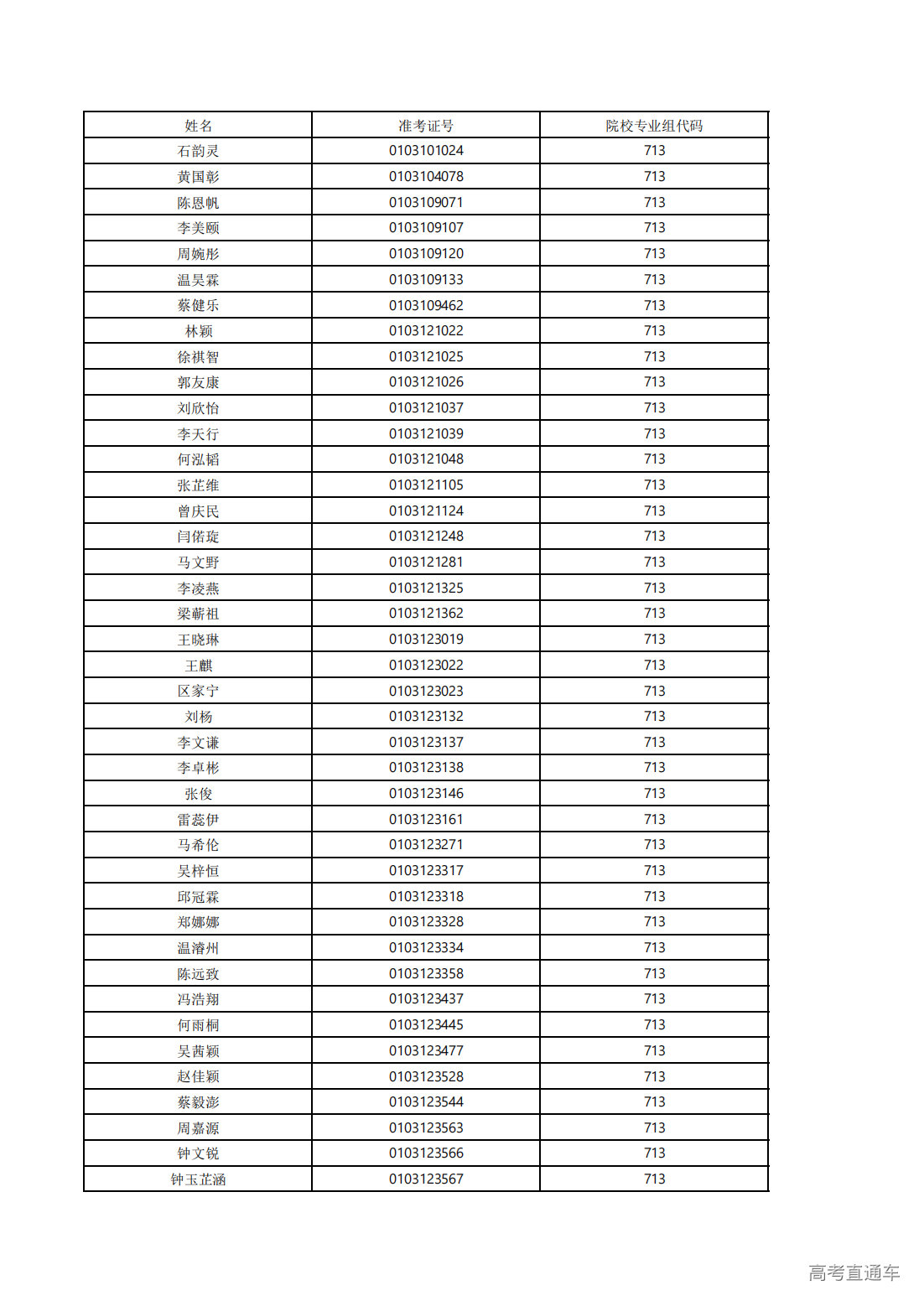
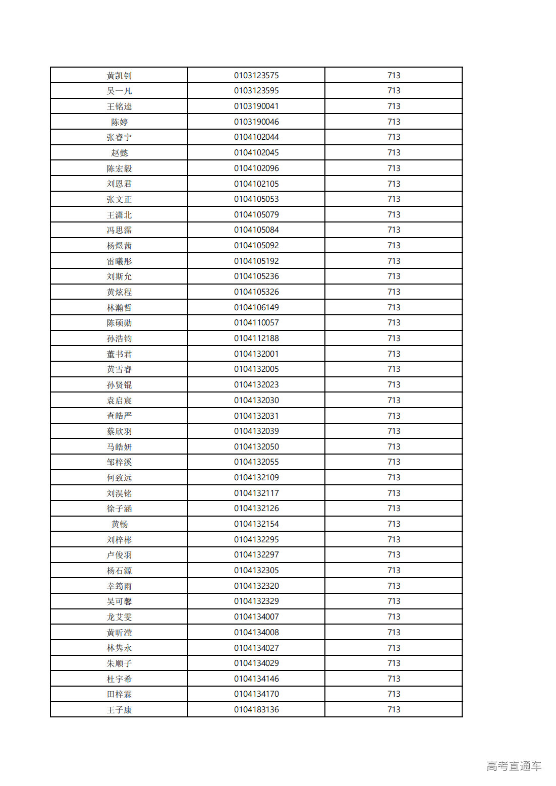
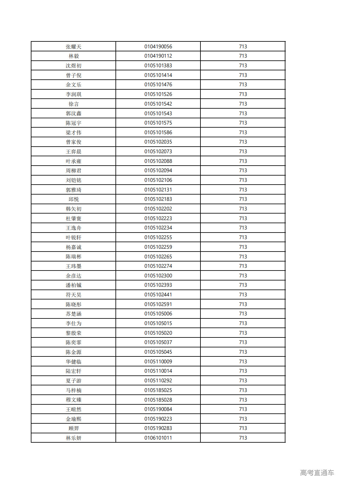
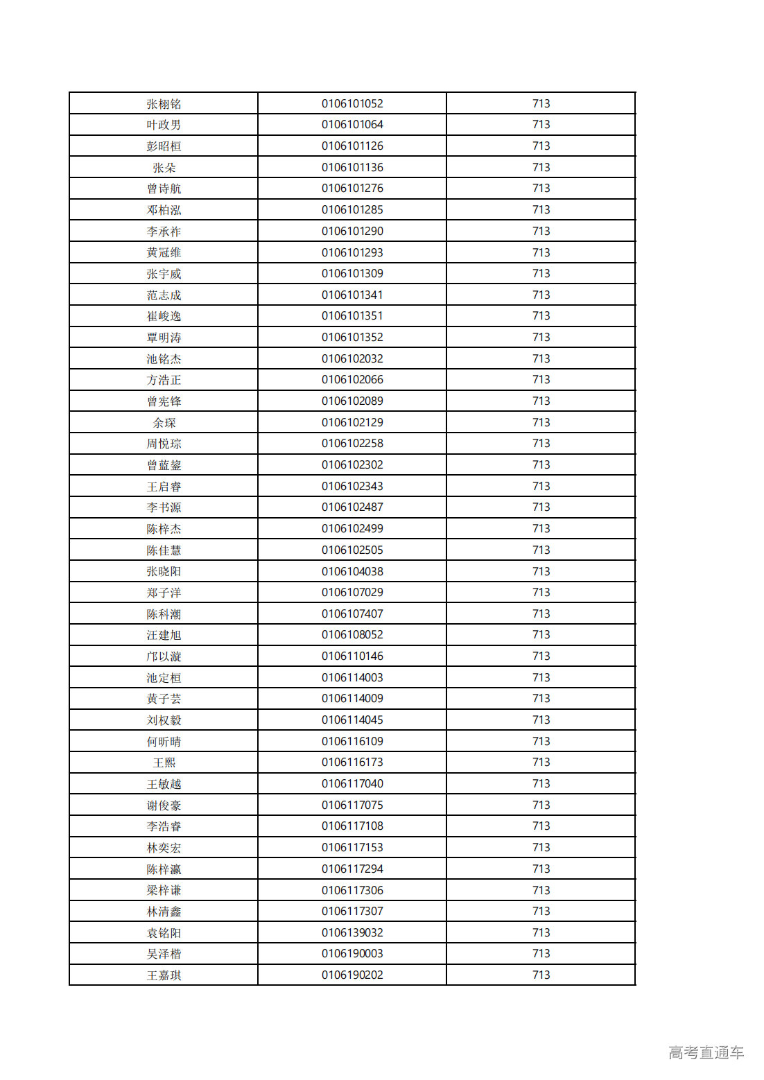
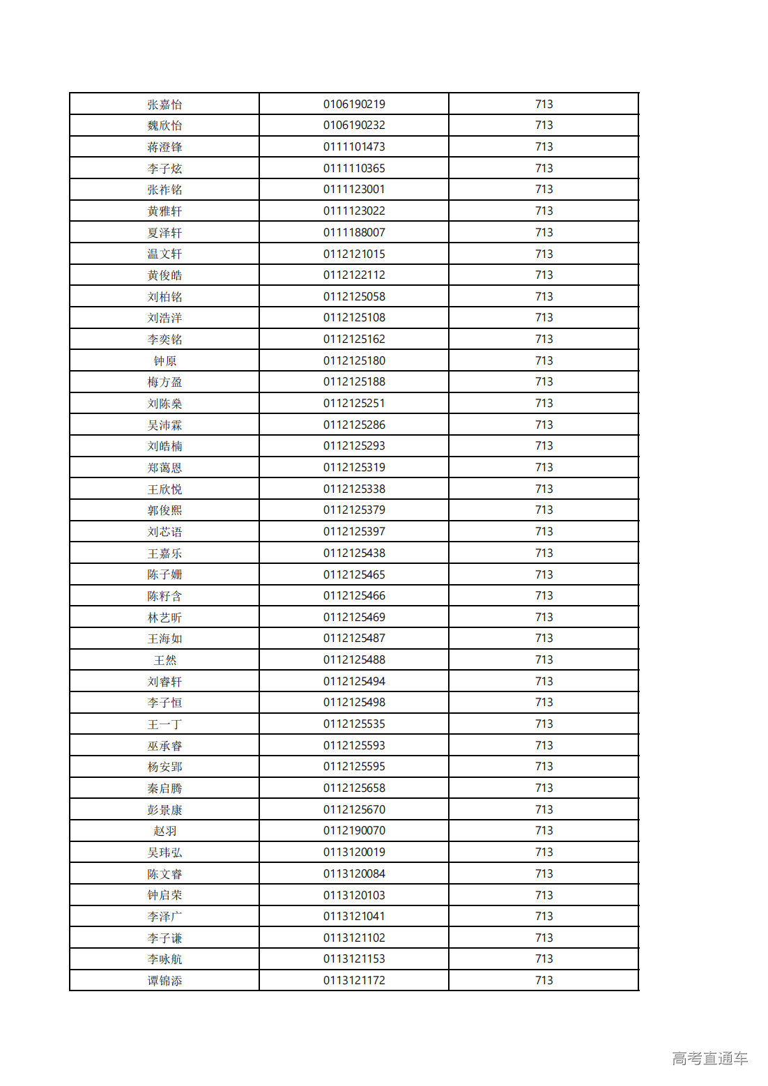
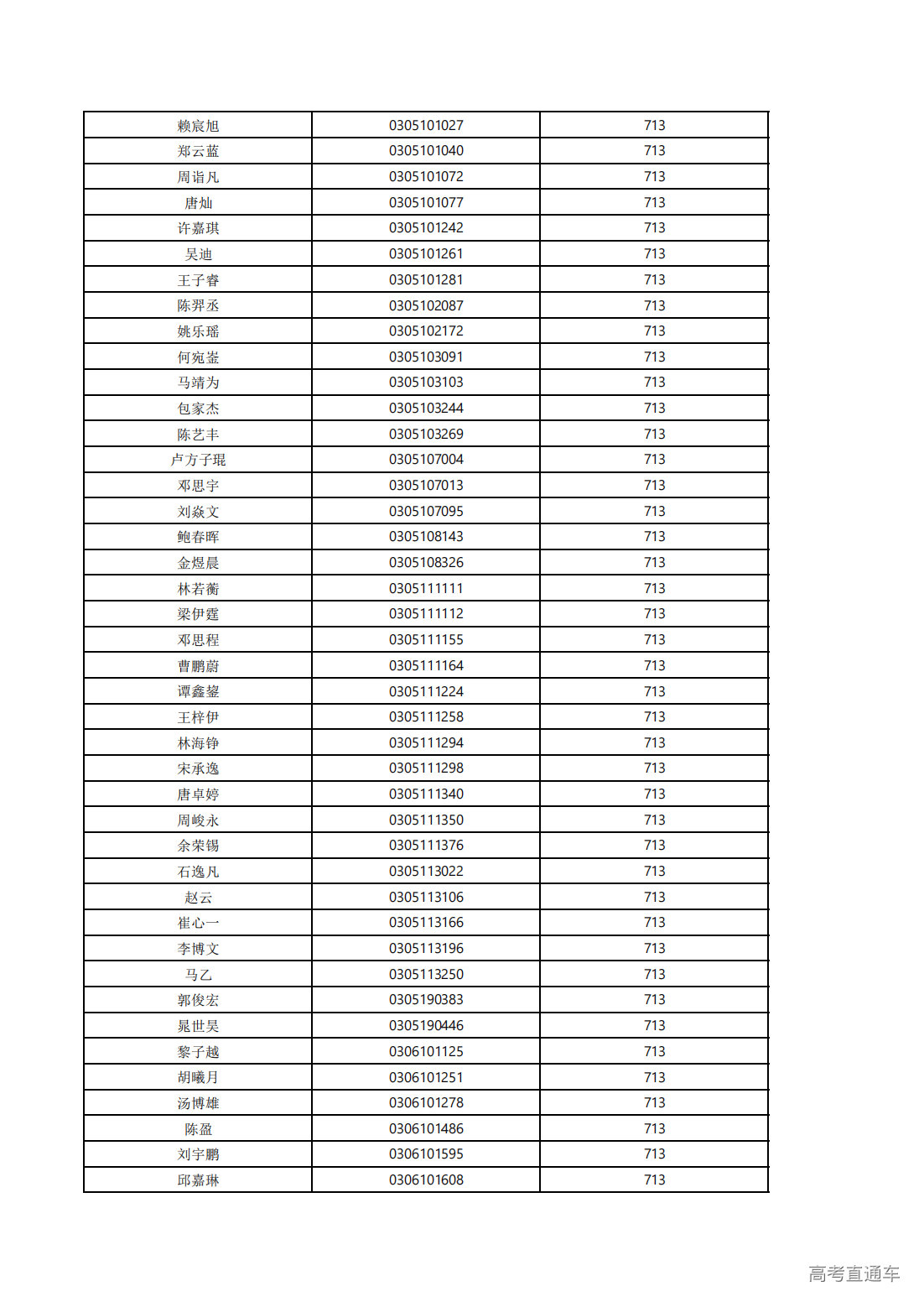
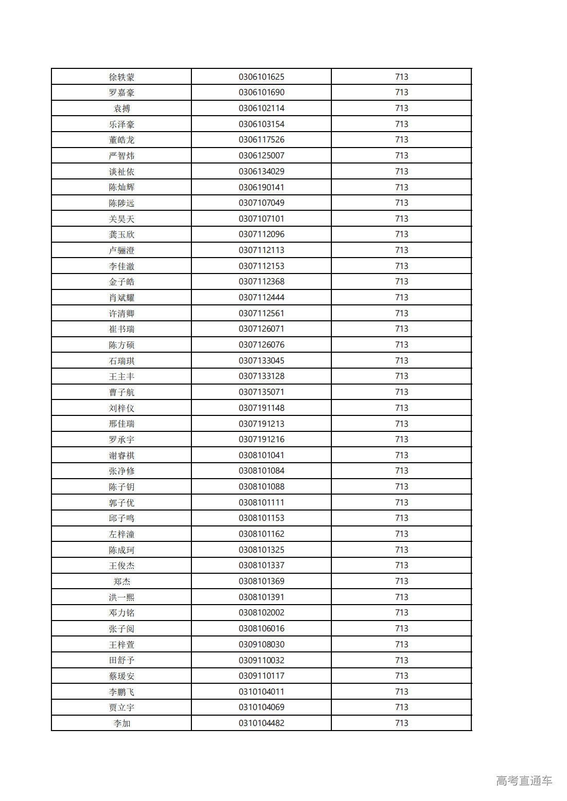
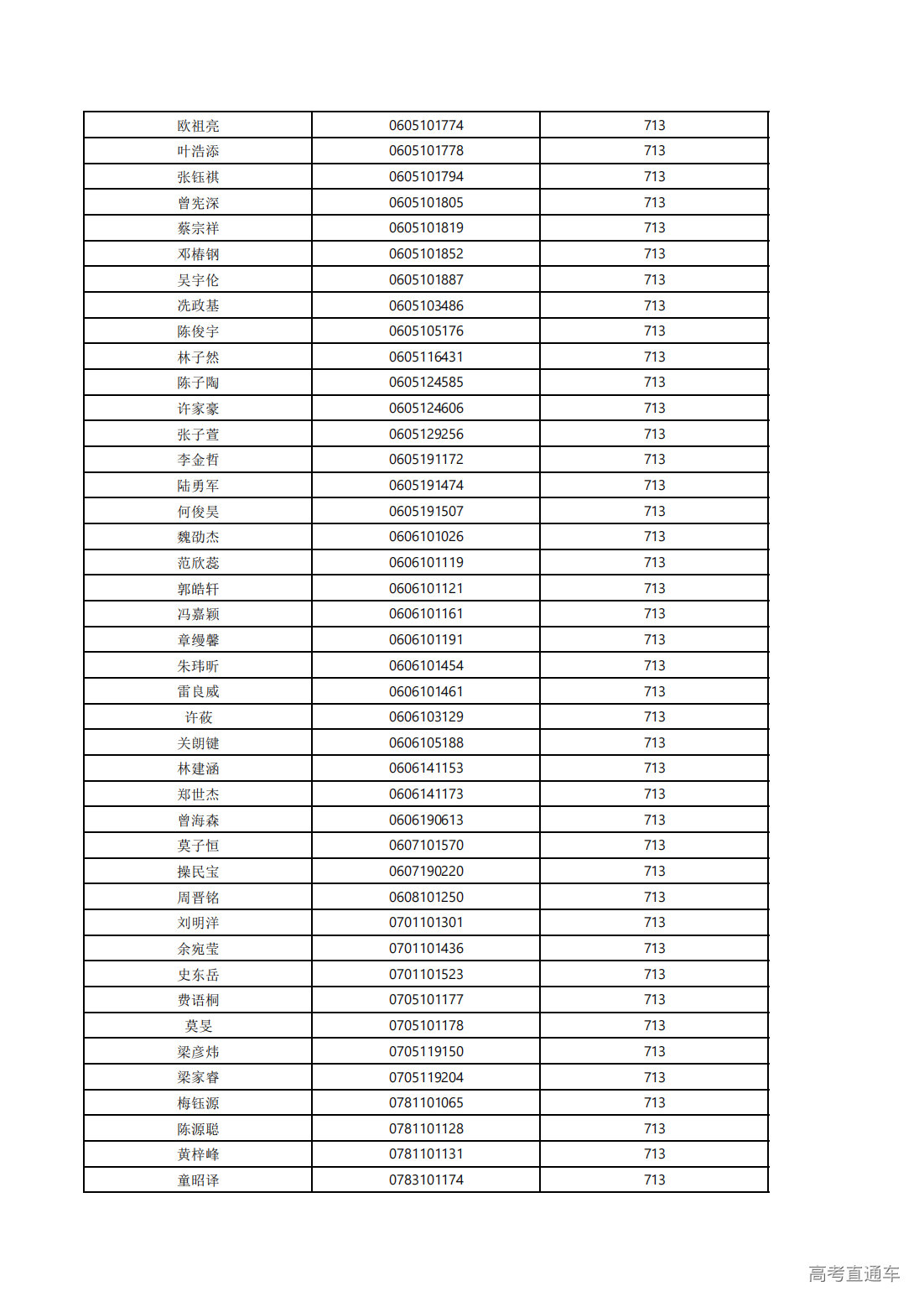
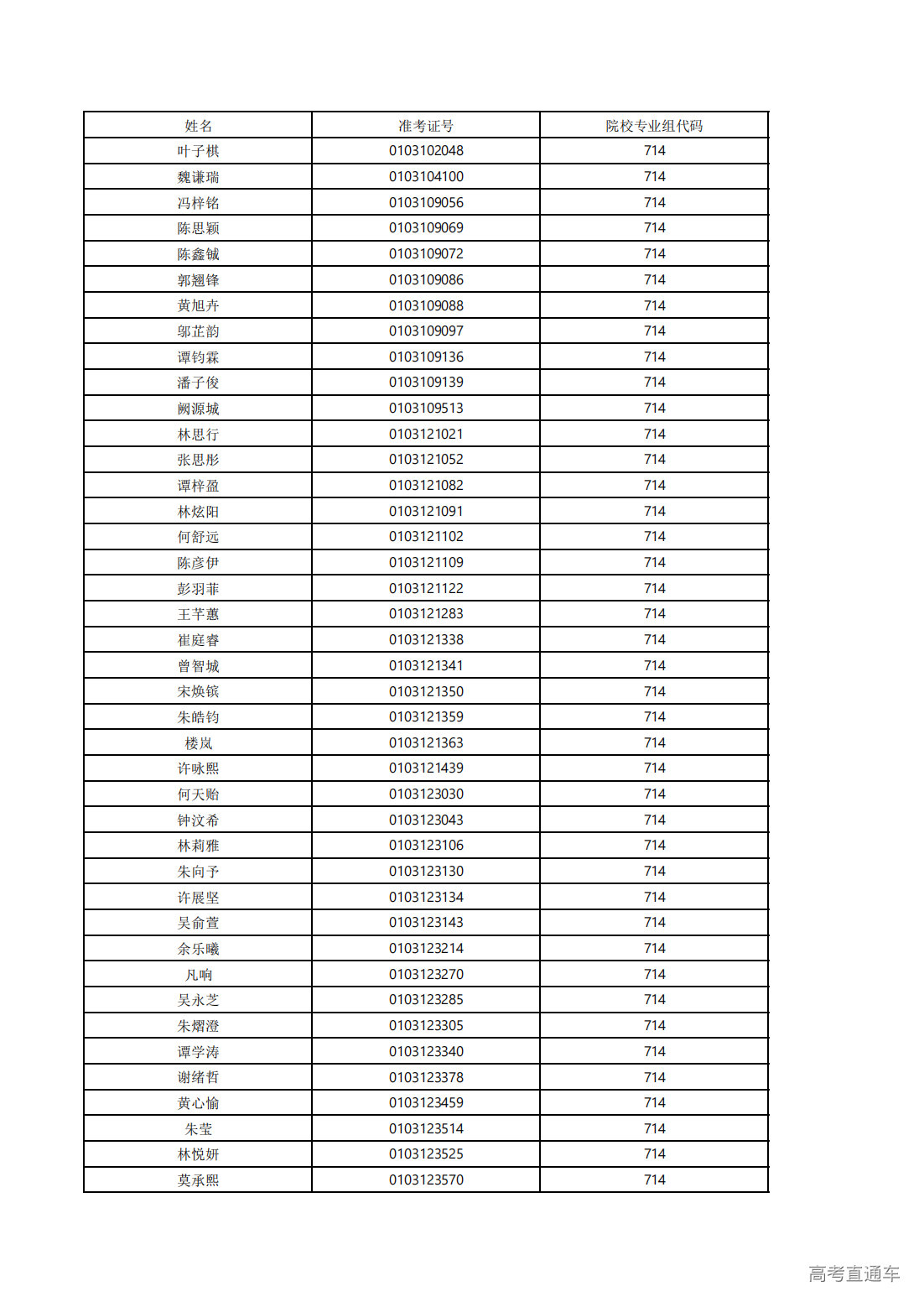
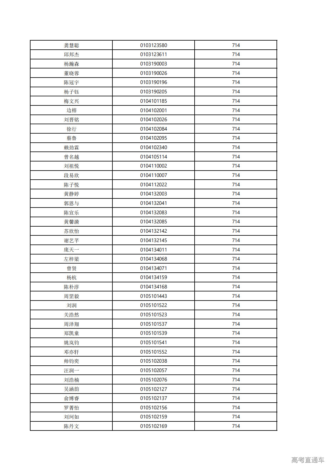
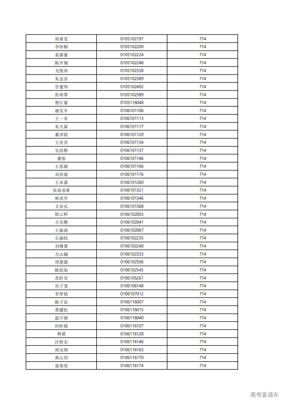
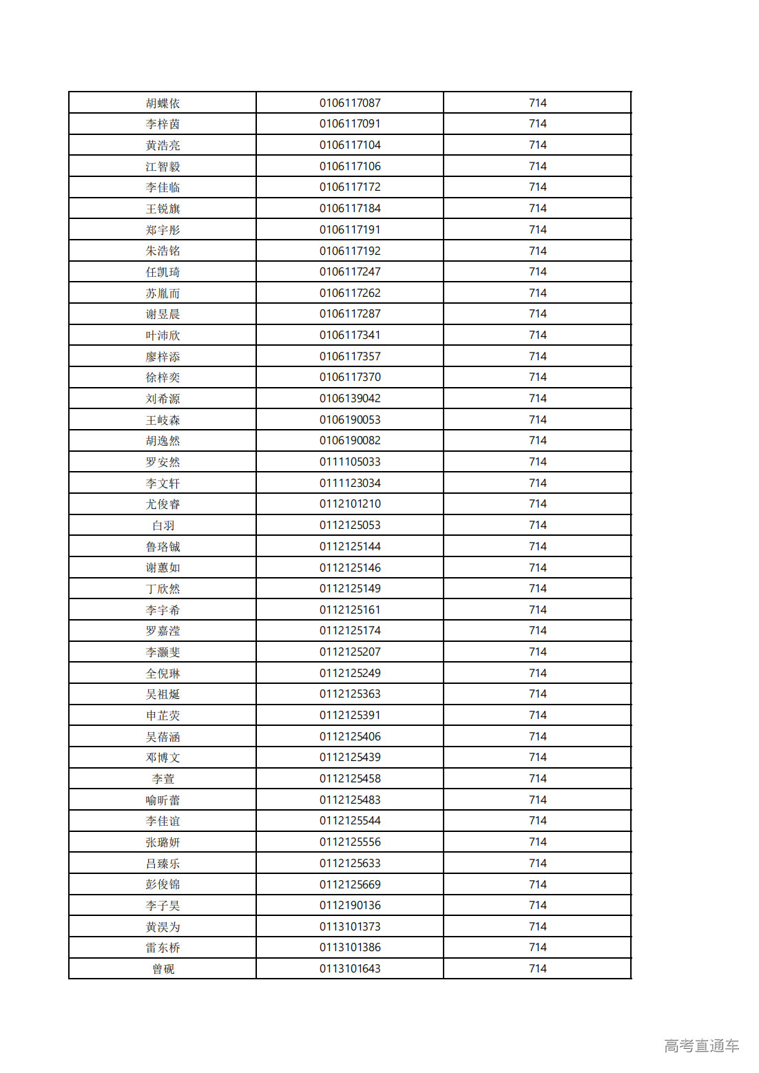
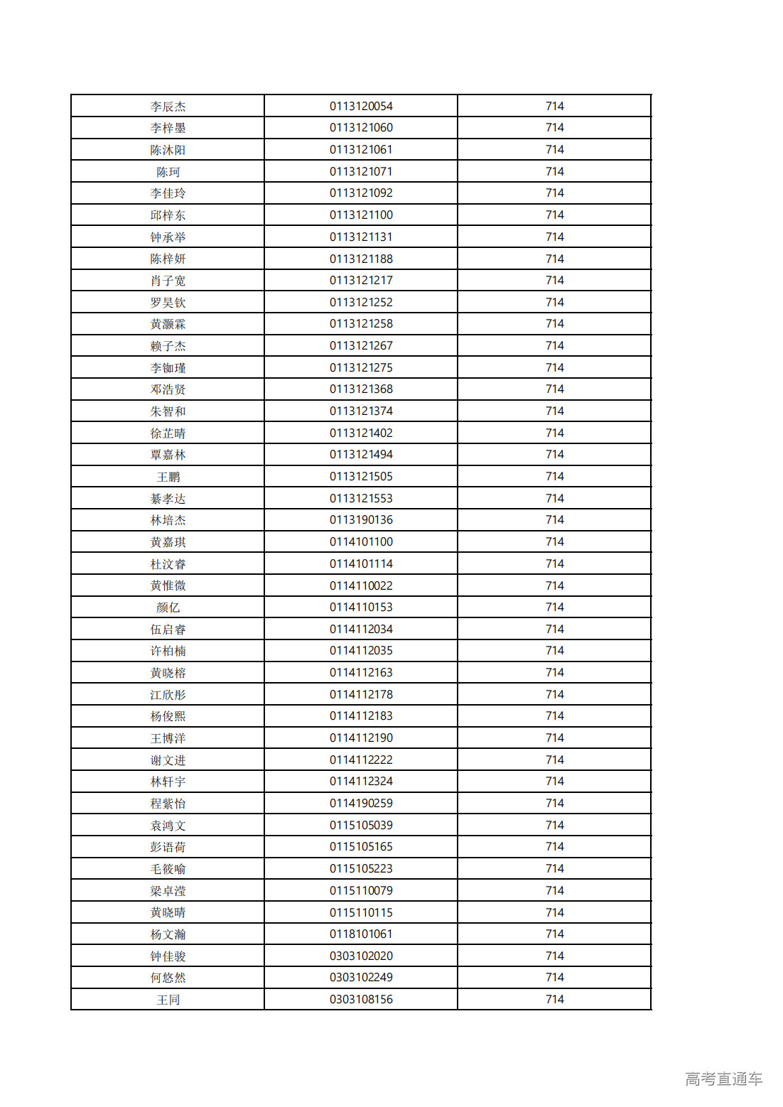
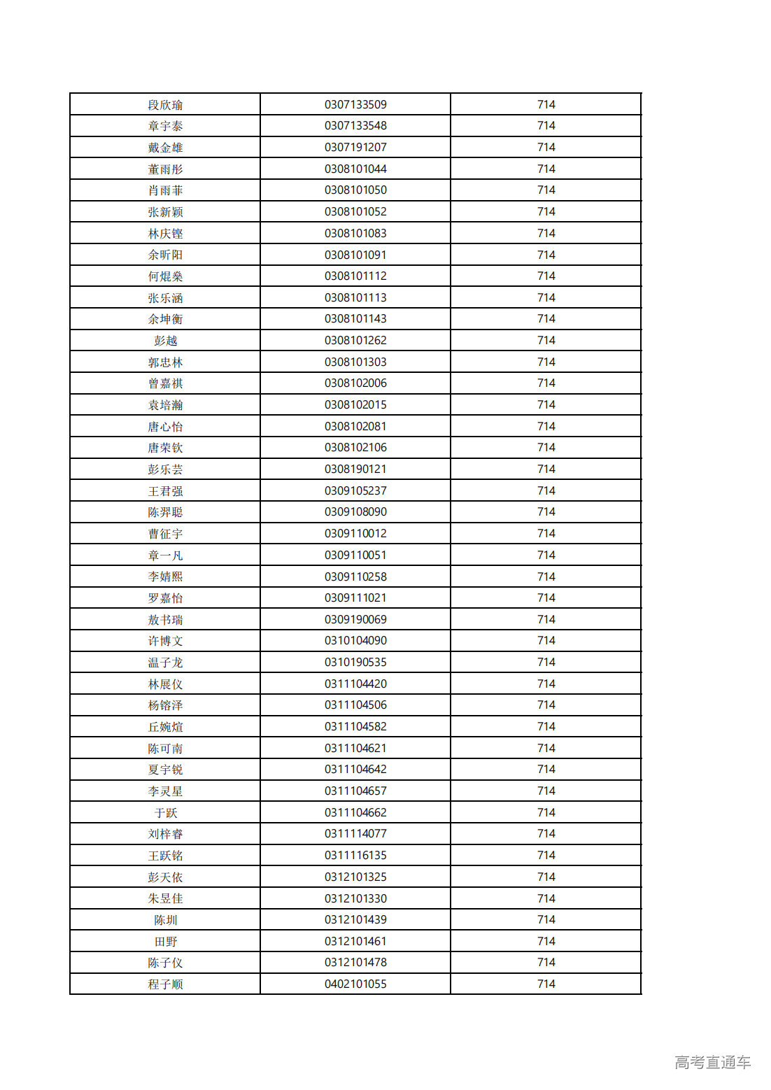
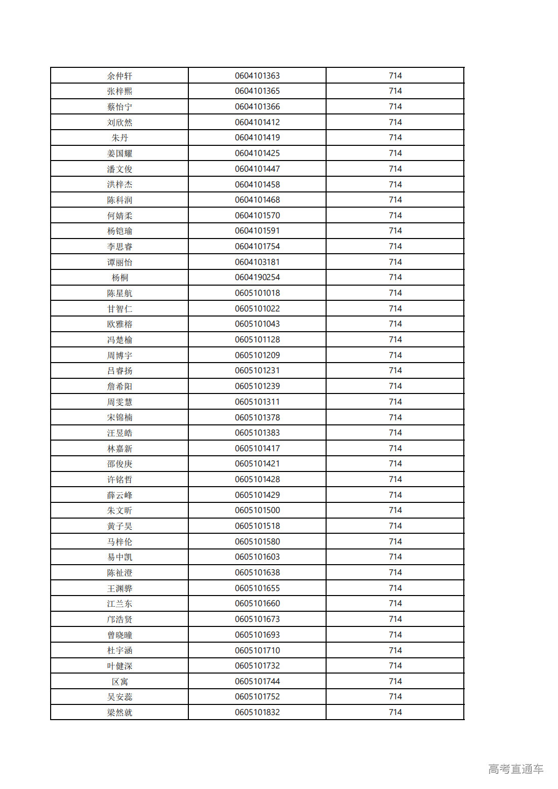
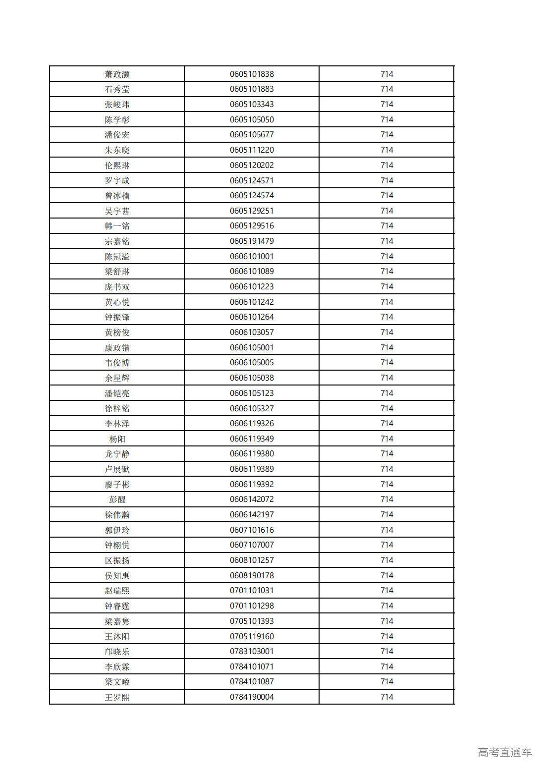
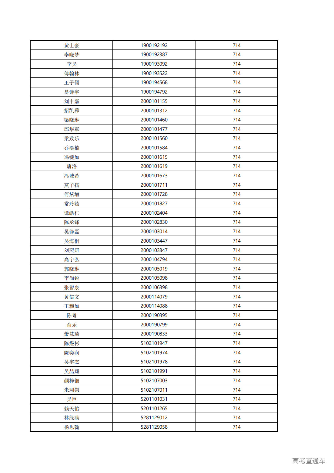
根据教育部有关文件精神和《中山大学2025年广东省综合评价录取招生简章》规定,按照不超过招生计划3倍的比例(末位同分同入围)确定各专业组考核入围人选,现将中山大学2025年广东省综合评价招生考核入围标准公布如下,考核入围名单见附件。
我校将于7月9日在广州校区南校园组织面试考核(712专业组入围考生还需于7月8日进行机试)。面试考核形式为“多对一”面试,每位考生面试时间共计7分钟,含自我介绍(1分钟以内)、必答题作答和自由问答。准考证信息及面试安排将另行通知,请入围考生留意本网站公告。
我校不举办任何形式的辅导培训。
中山大学招生办公室
2025年7月5日







































