中山大学2025年广东省综合评价录取名单

2025-07-17 19:19 中山大学 评论
中山大学
广东广州市-公办-综合类
985
211
双一流建设高校
查看详情

各位考生:


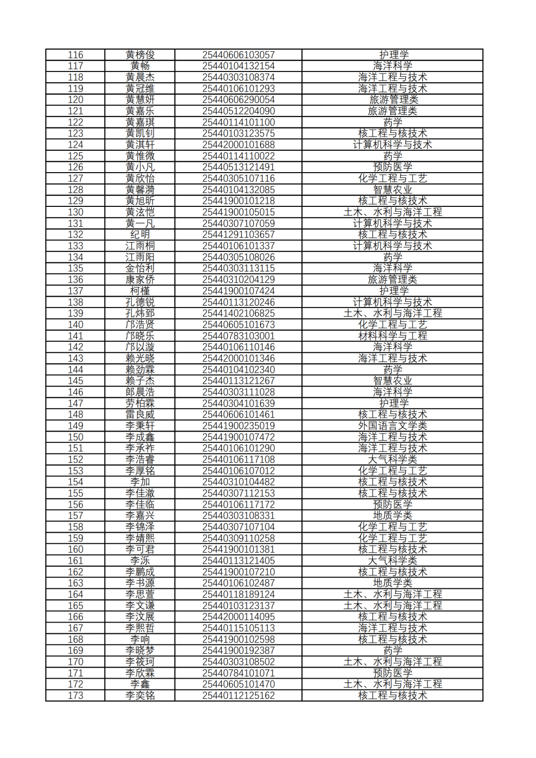
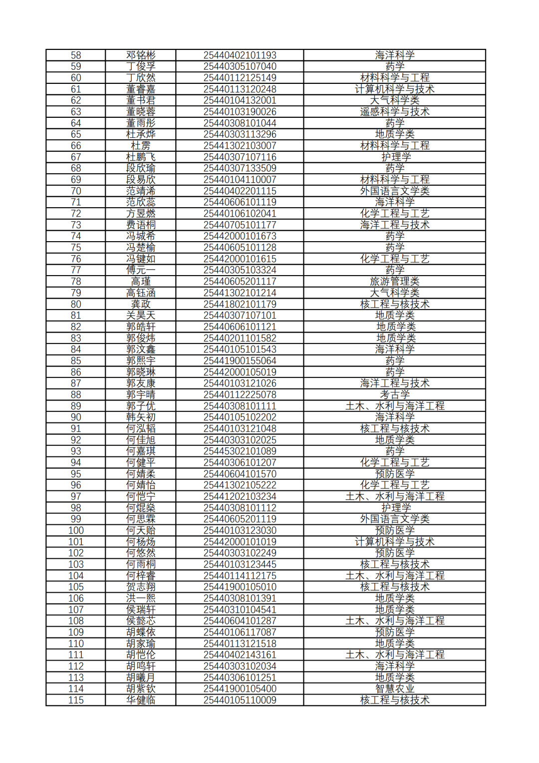
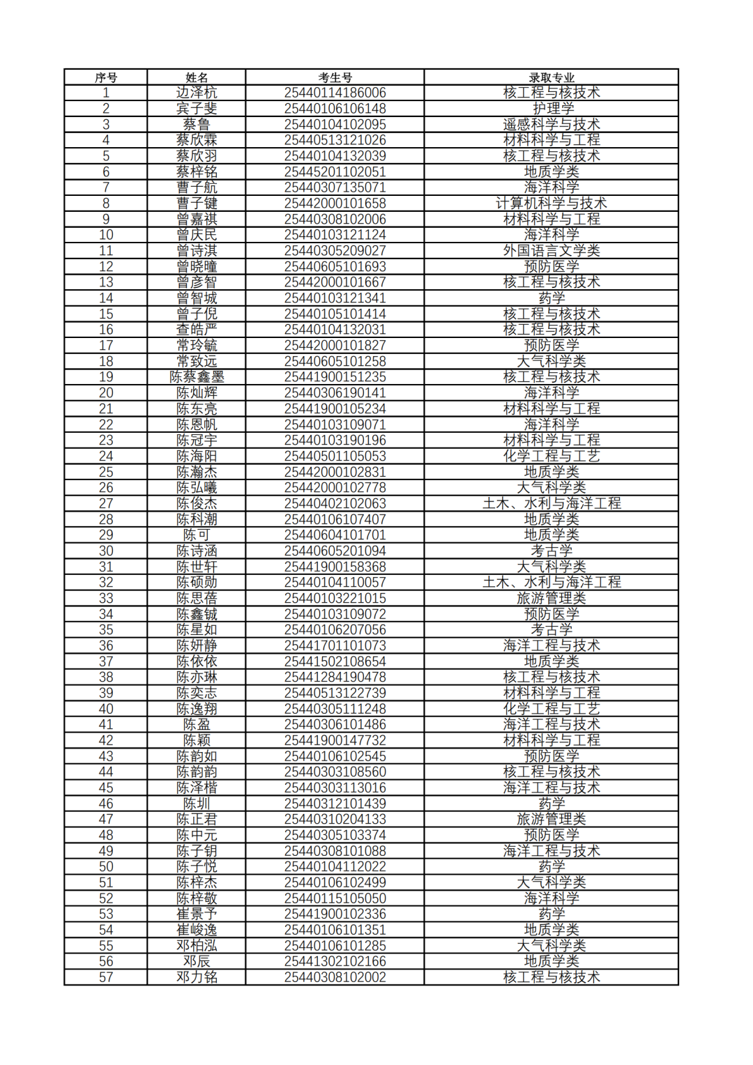
现根据教育部及广东省有关要求公示我校2025年广东省综合评价录取名单。


录取考生可通过广东省教育考试院官方平台和中山大学本科招生网查询录取详细信息。


特此公告。


中山大学招生办公室

2025年7月17日

图片图片图片图片图片图片图片图片图片

登录高考直通车APP
查看完整试题答案
好的
查看完整试题
特别声明:
1. 本站注明稿件来源为其他媒体的文/图等稿件均为转载稿,本站转载出于非商业性的教育和科研之目的,并不意味着赞同其观点或证实其内容的真实性。如转载稿涉及版权等问题,请作者在两周内速来电或来函联系,本站根据实际情况会进行下架处理。
2. 任何媒体、网站或个人未经本网协议授权不得转载、链接、转贴或以其他方式复制发表,违者本站将依法追究责任。
举报理由选择
确定
高考直通车官网

哇哦!快加入高考直通车APP,发现更多精彩内容,与学霸一起交流学习吧!