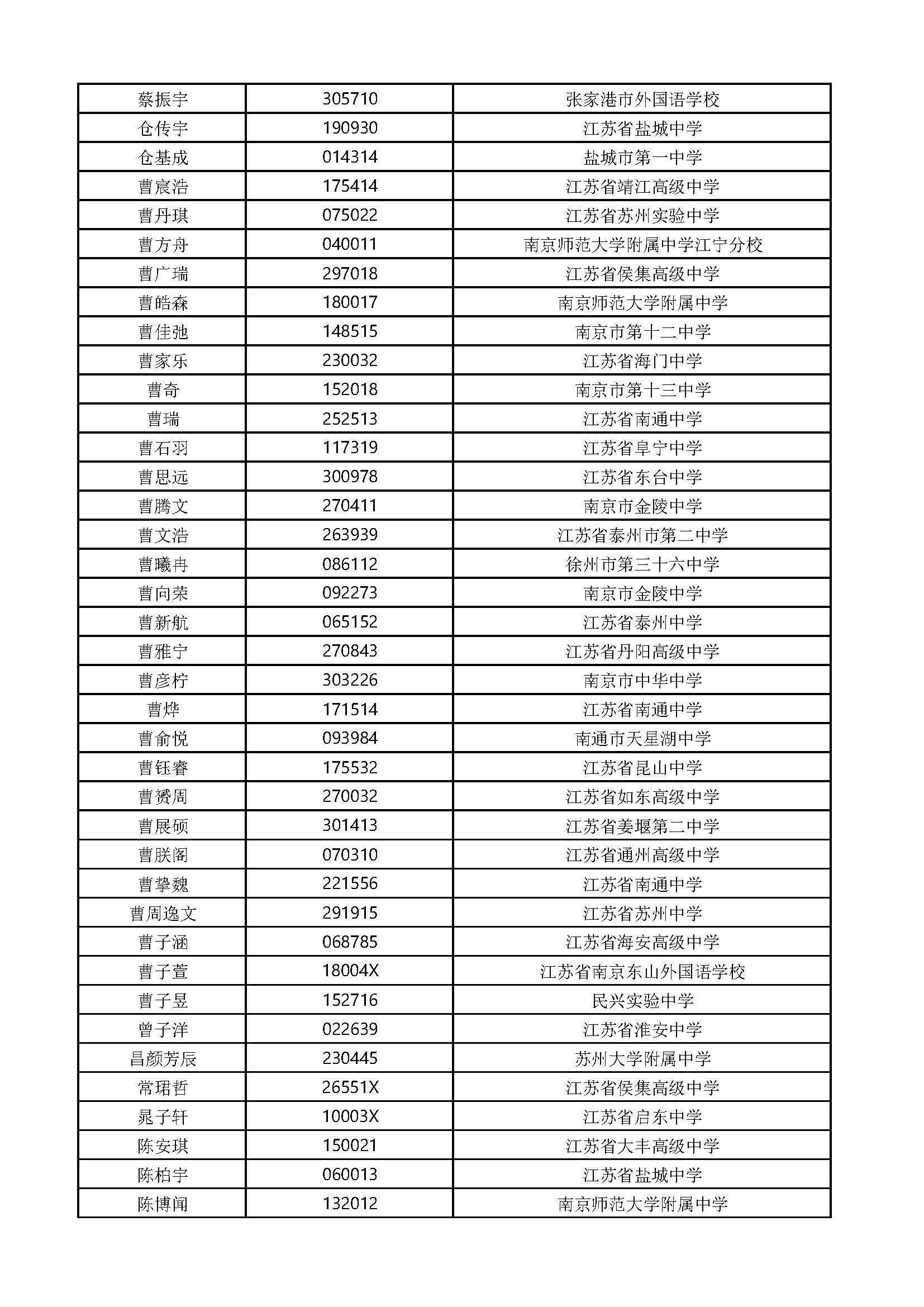
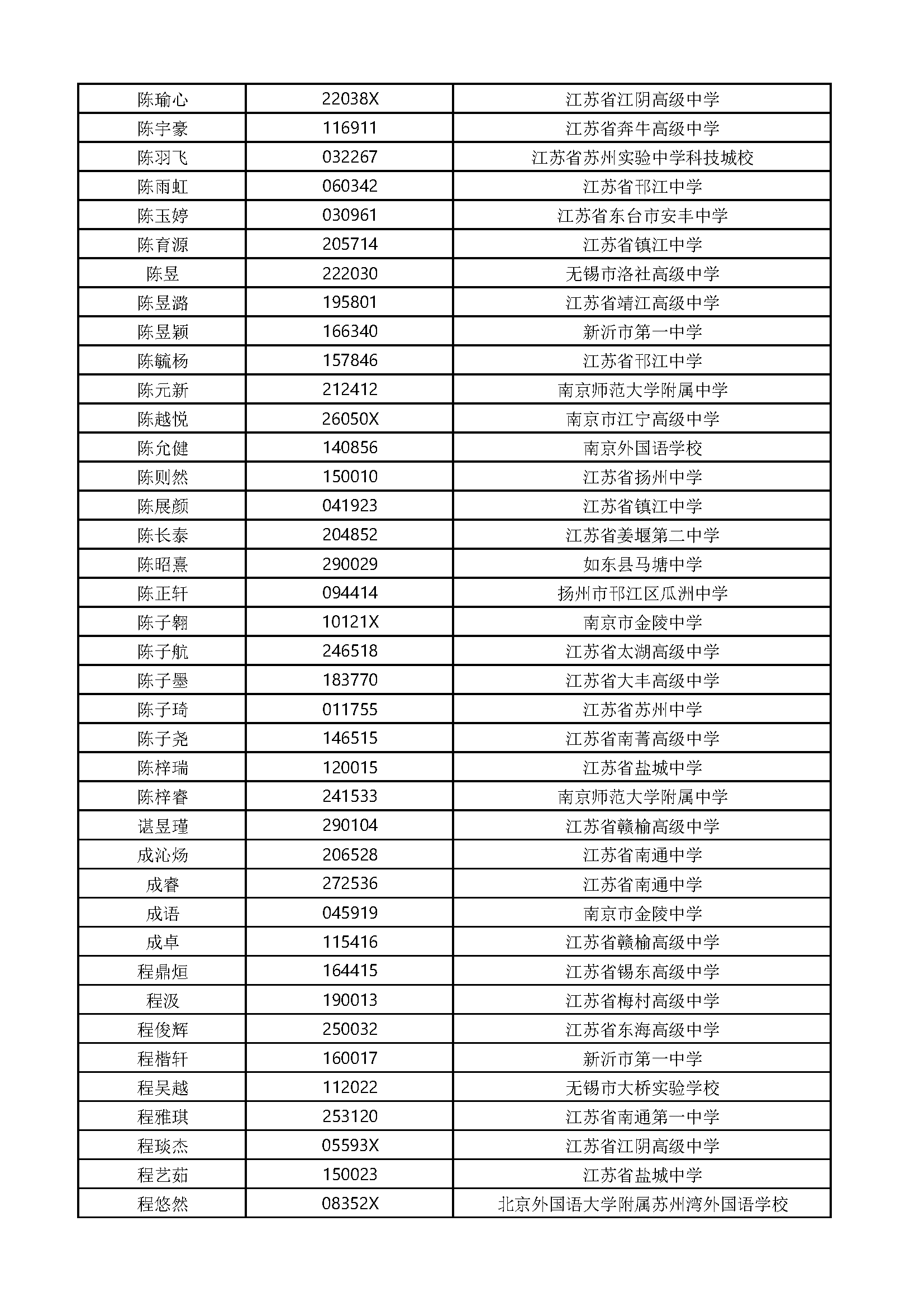
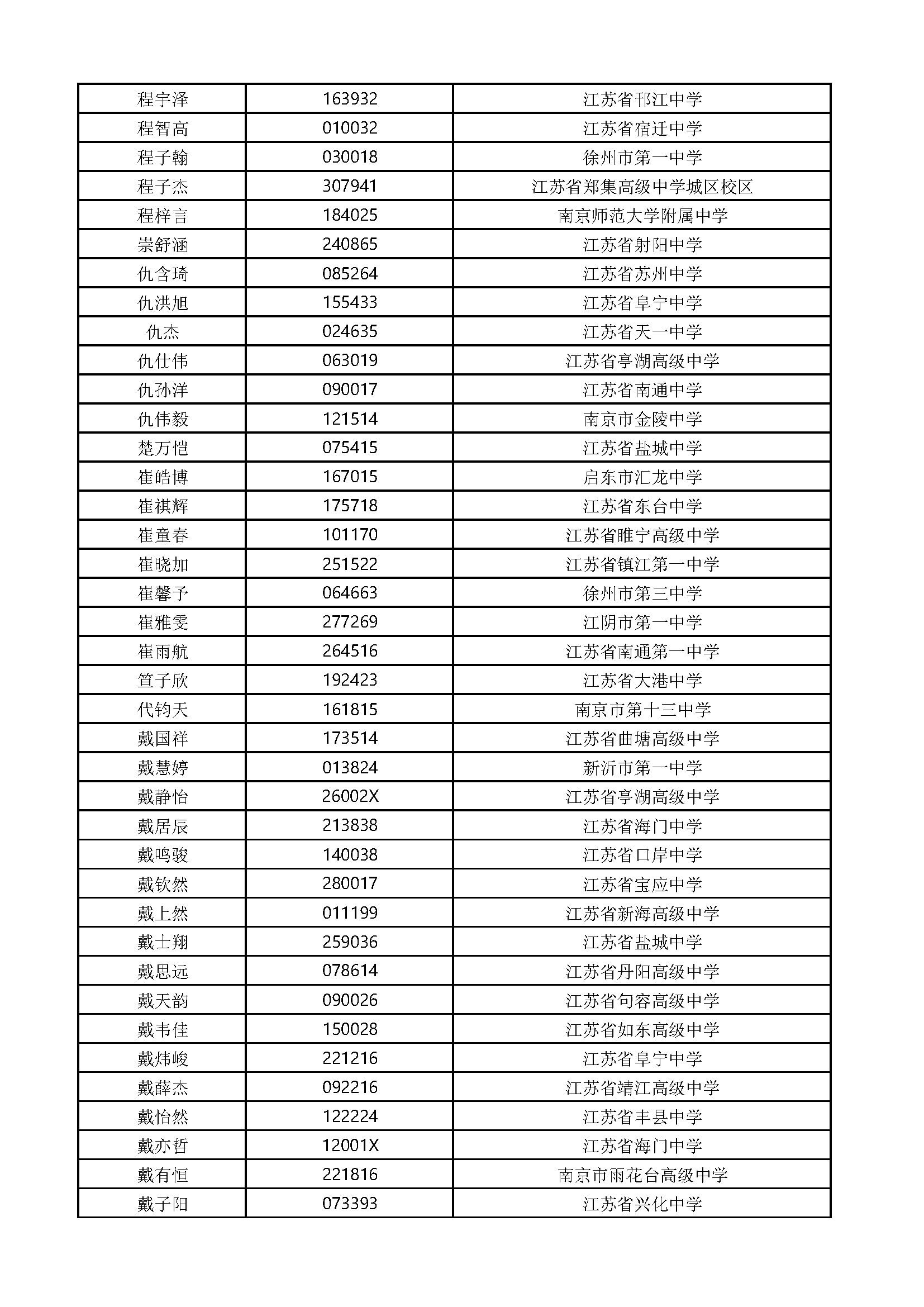
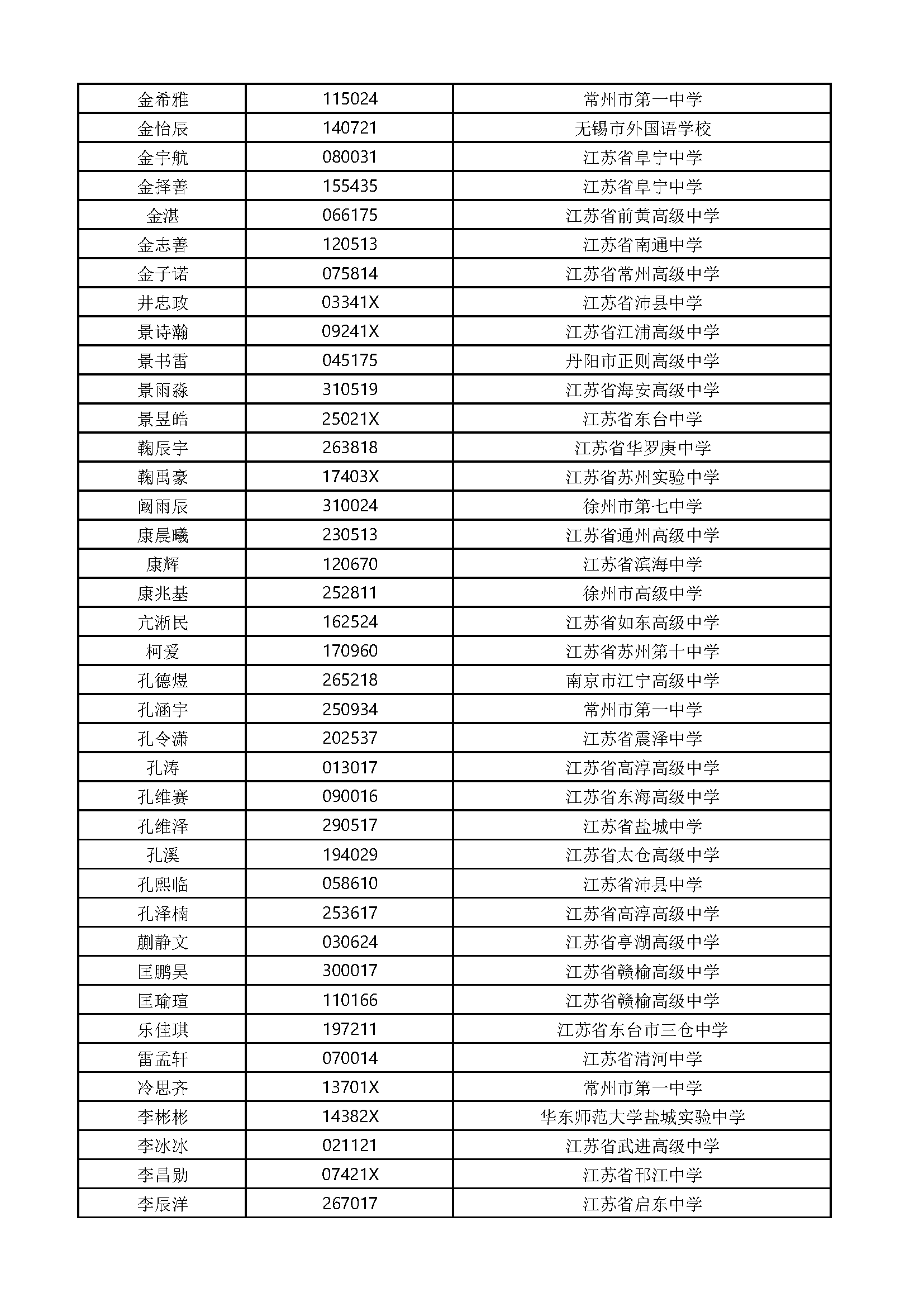
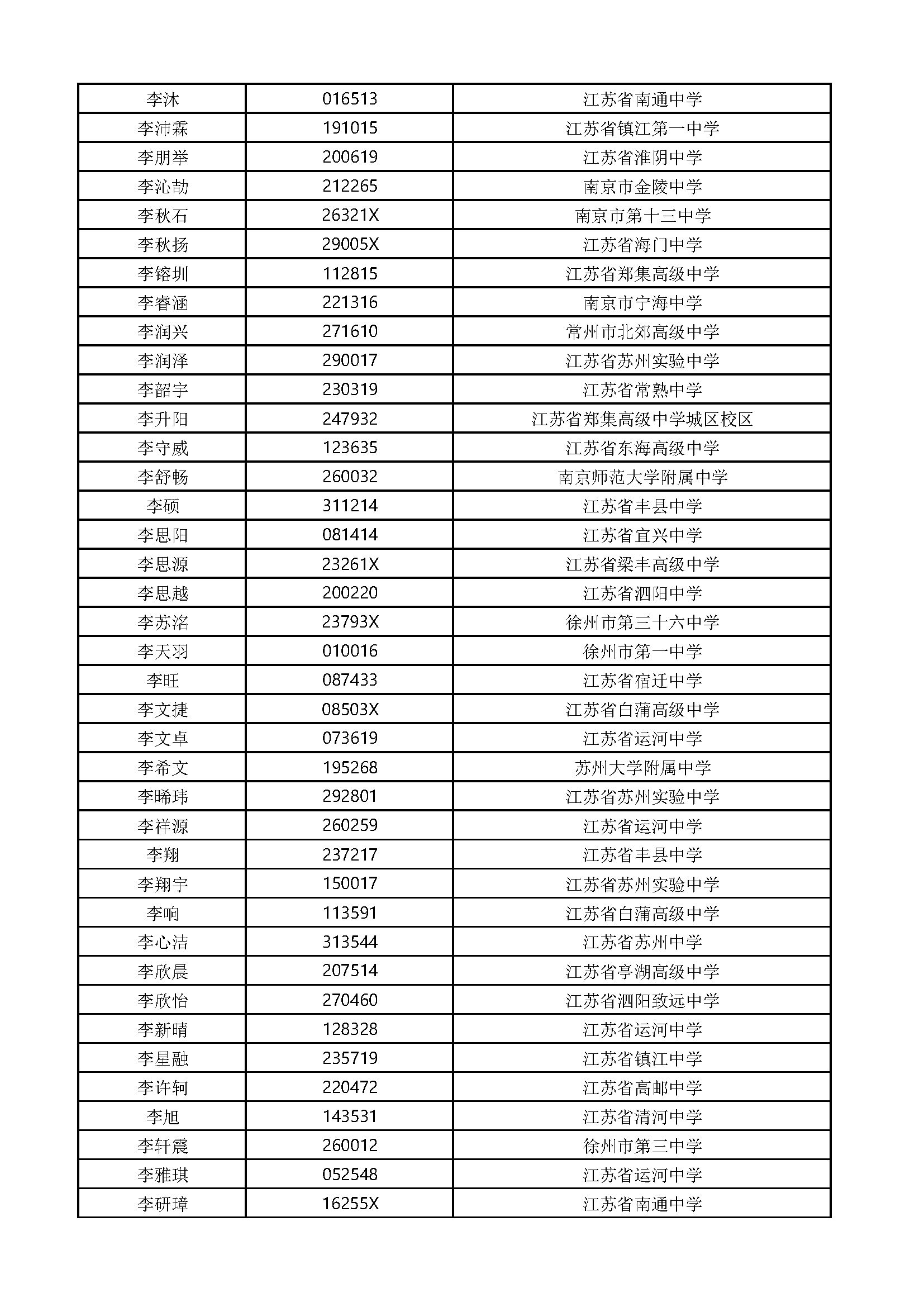
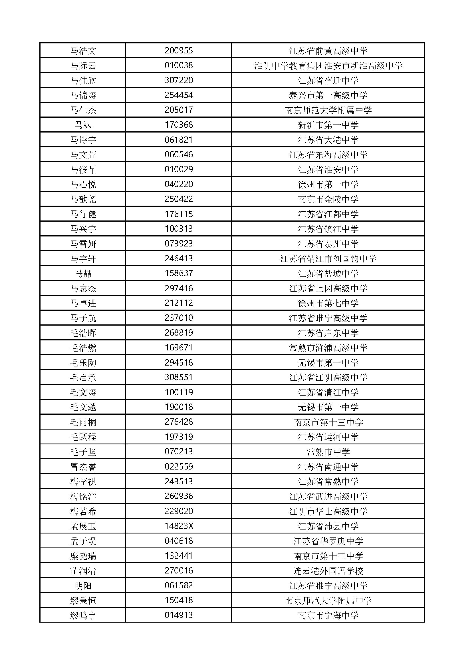
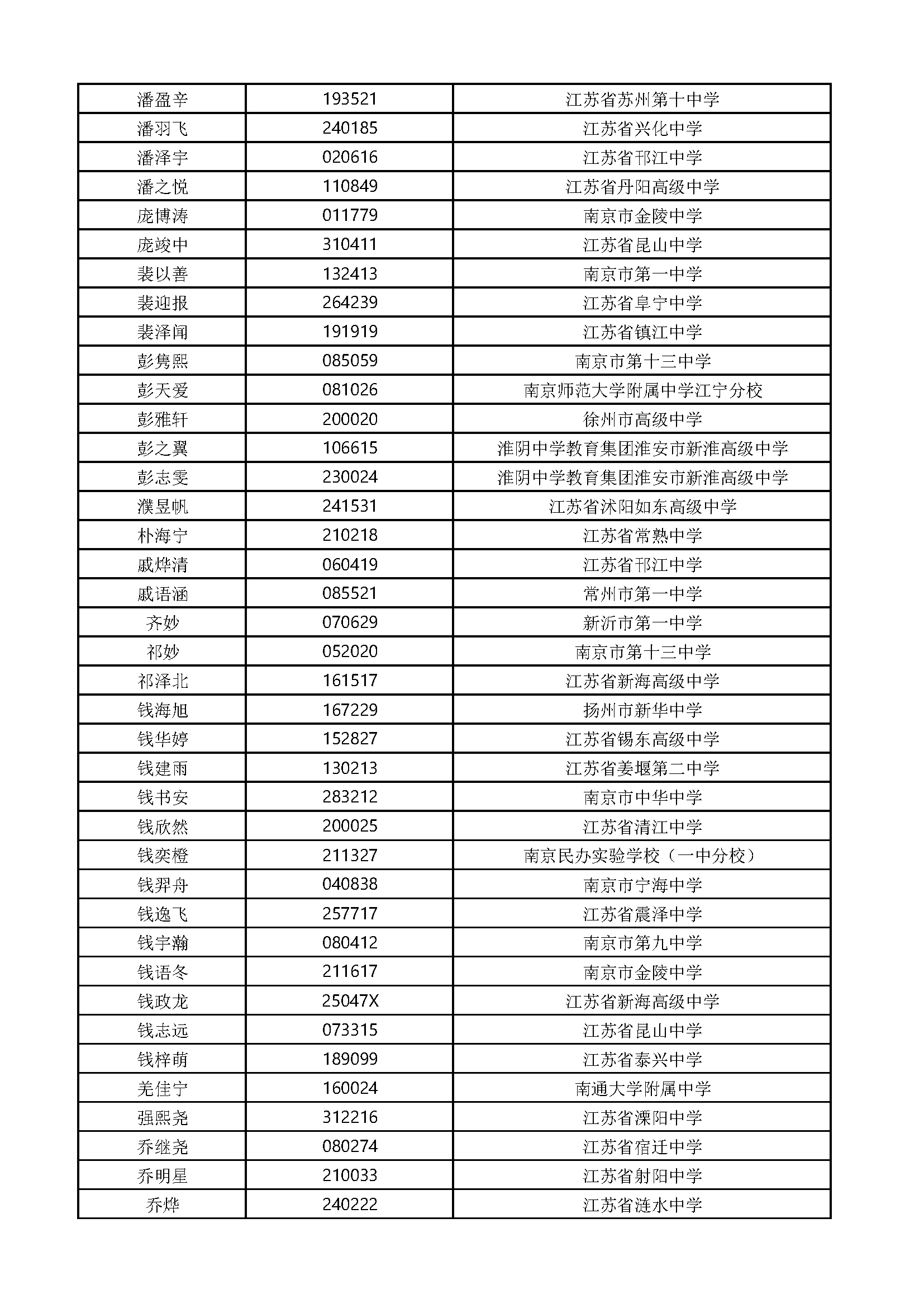
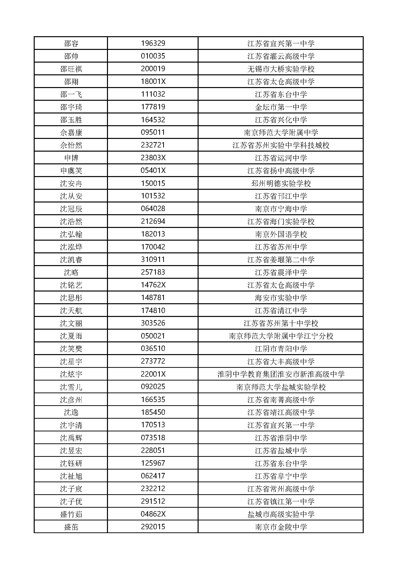
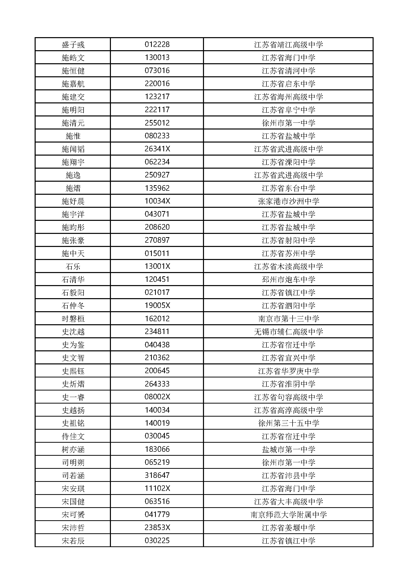
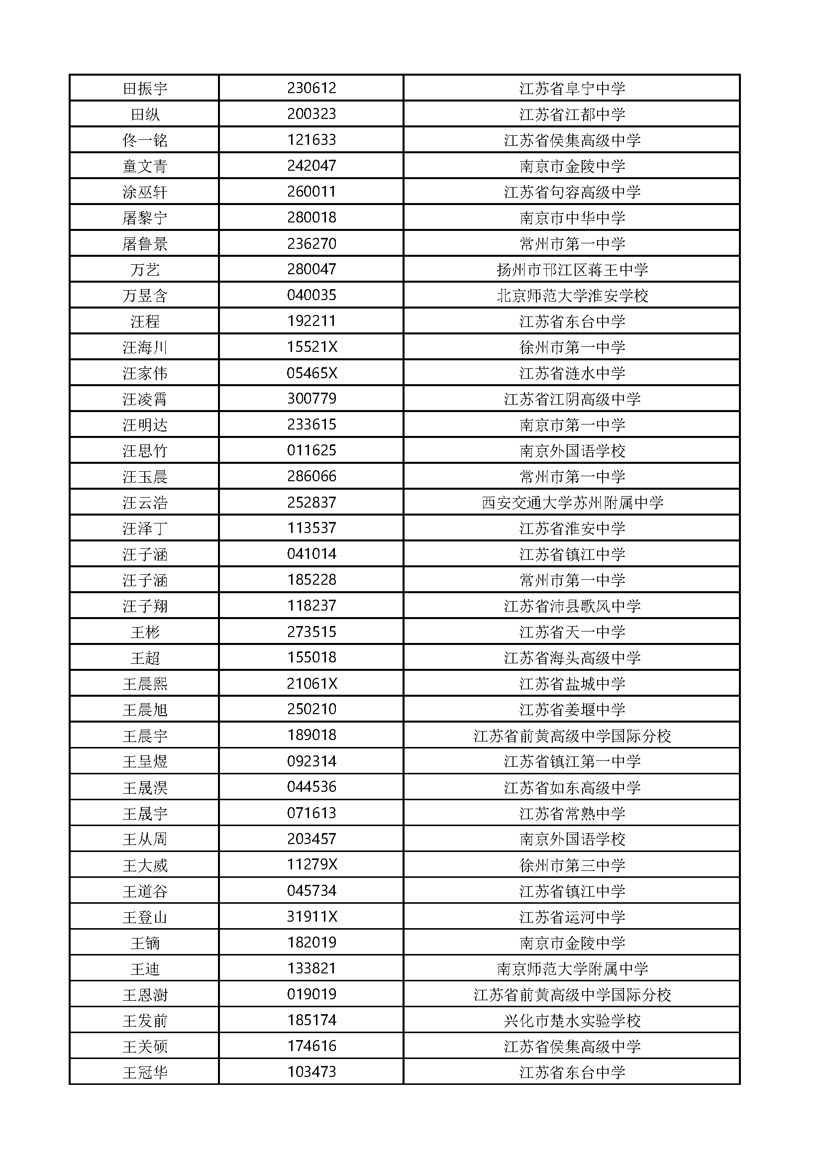
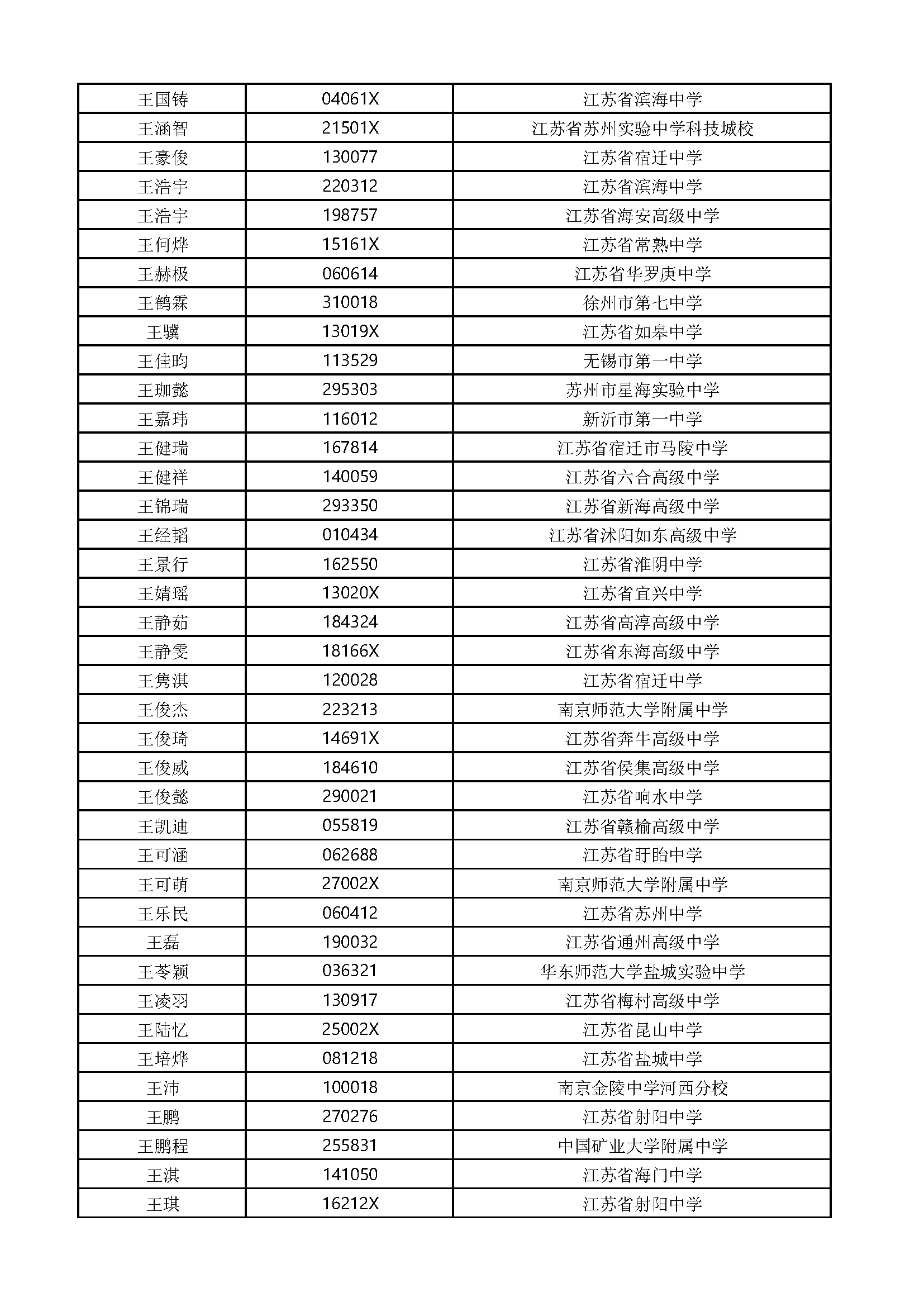
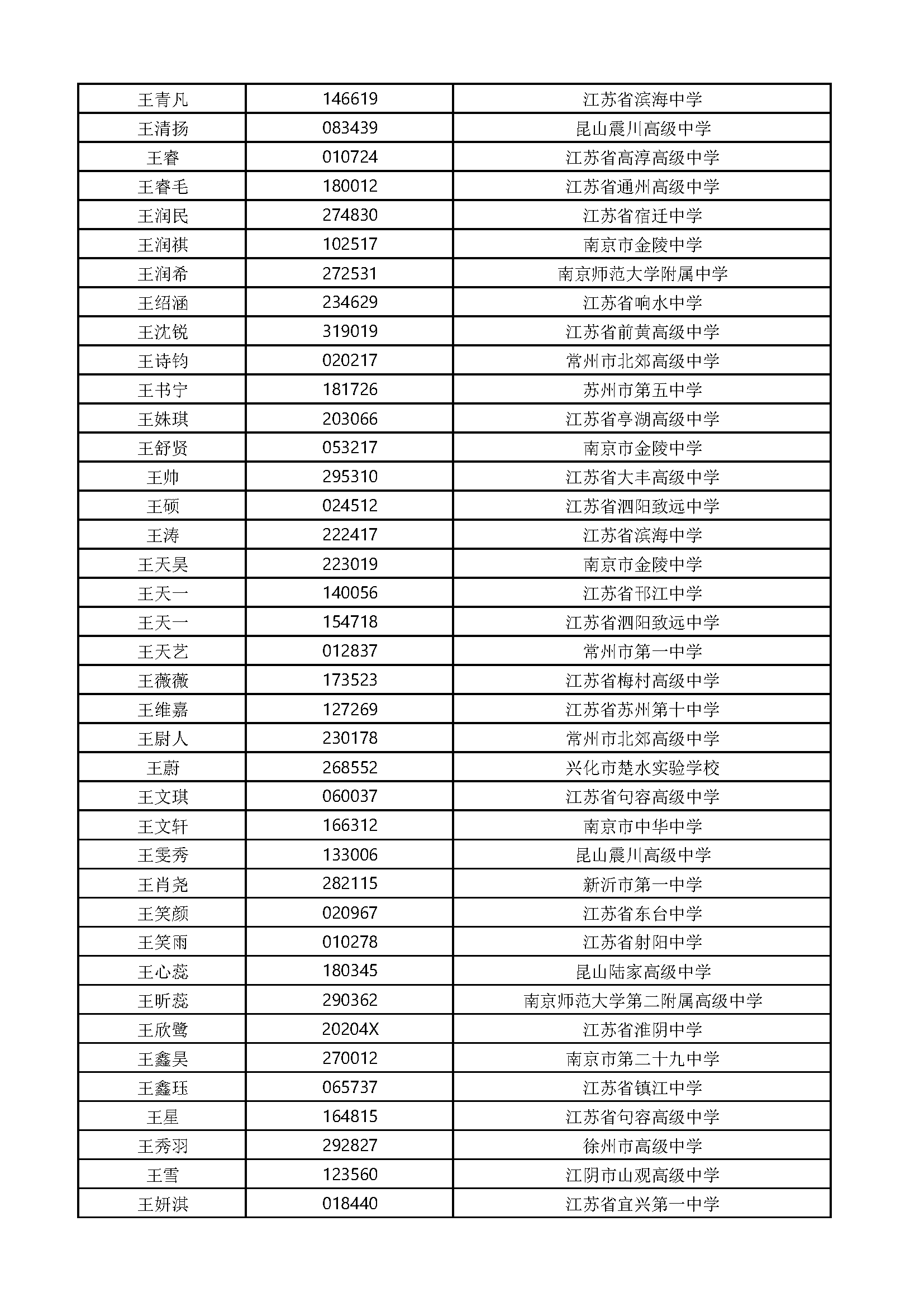
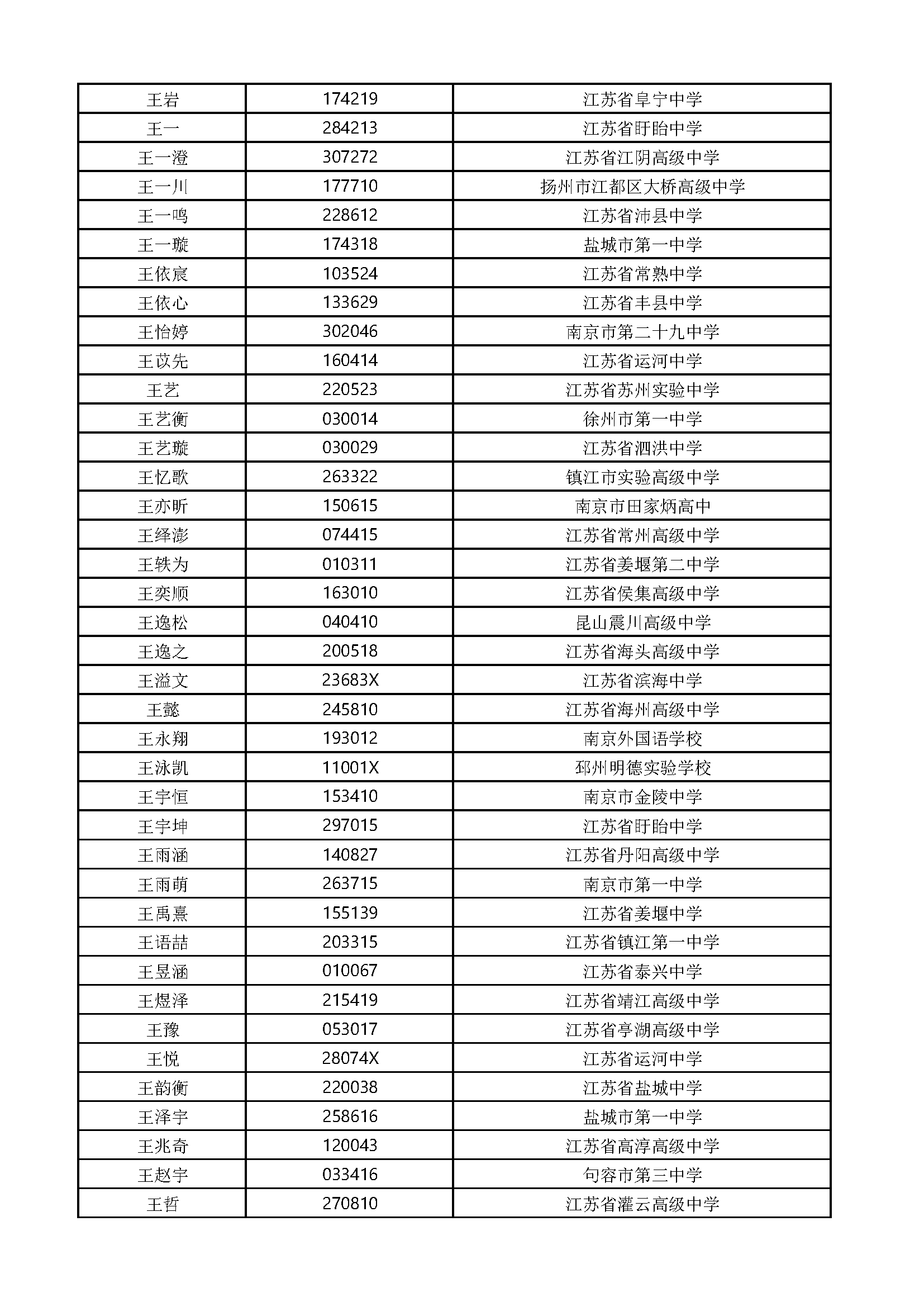
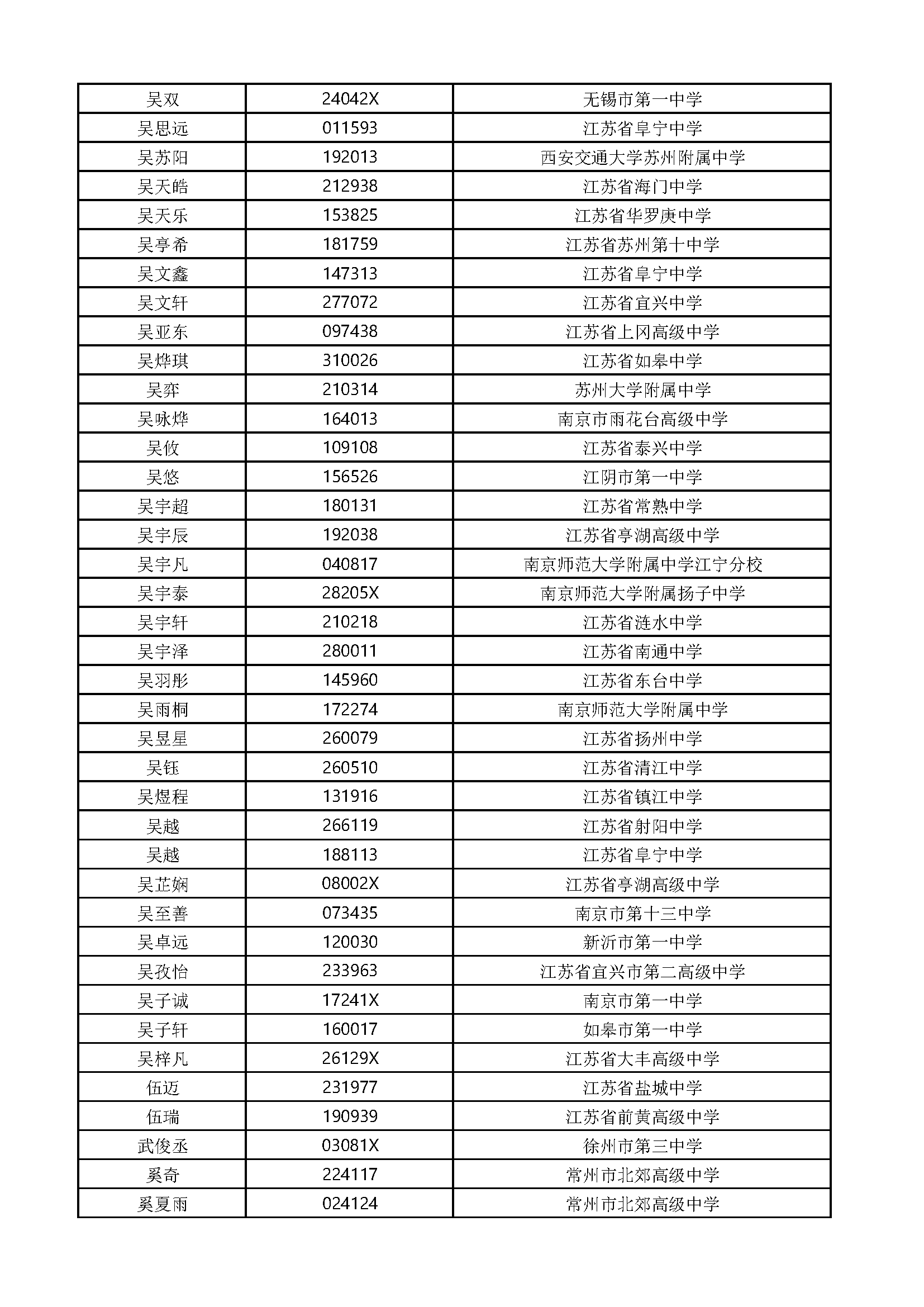
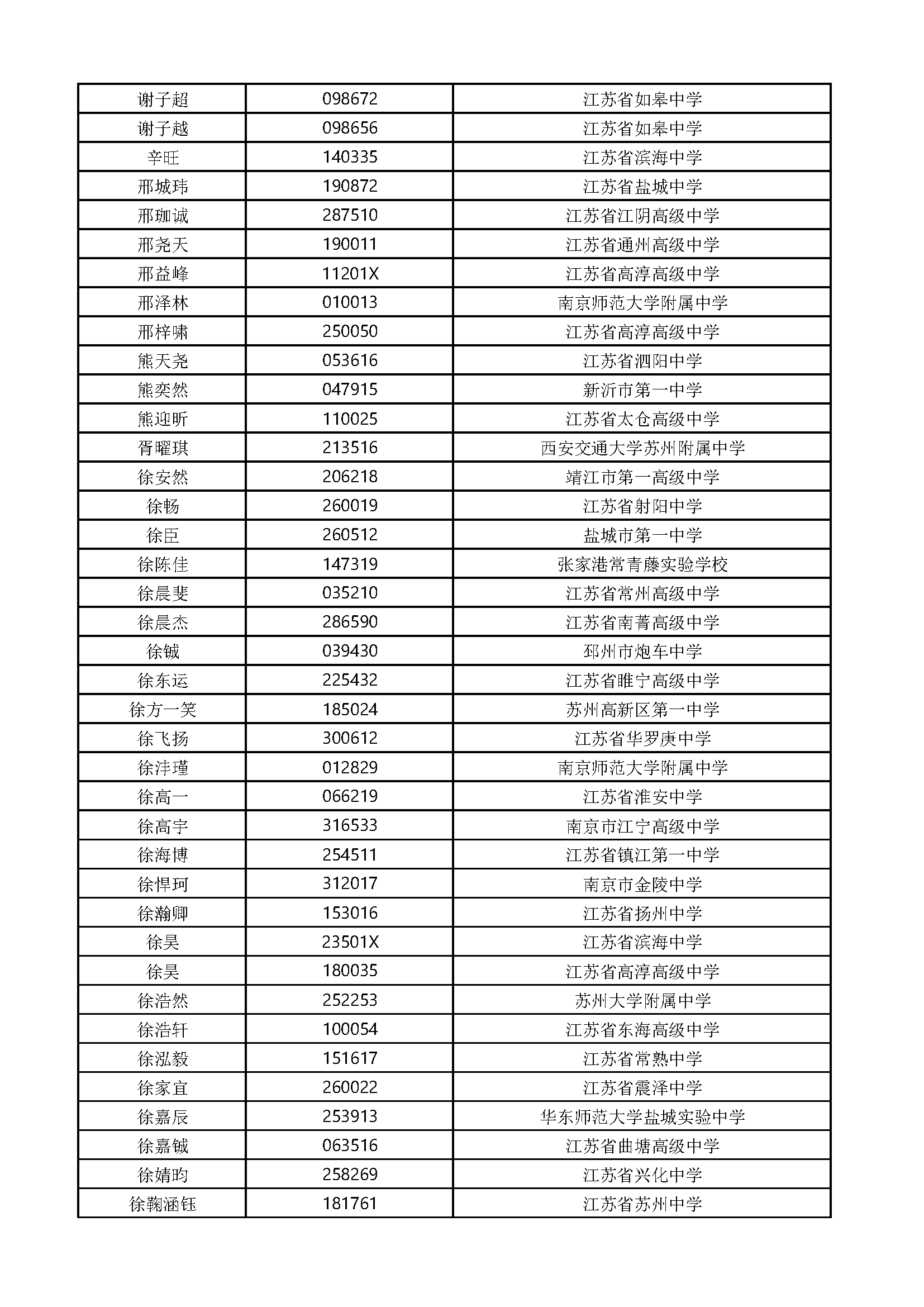
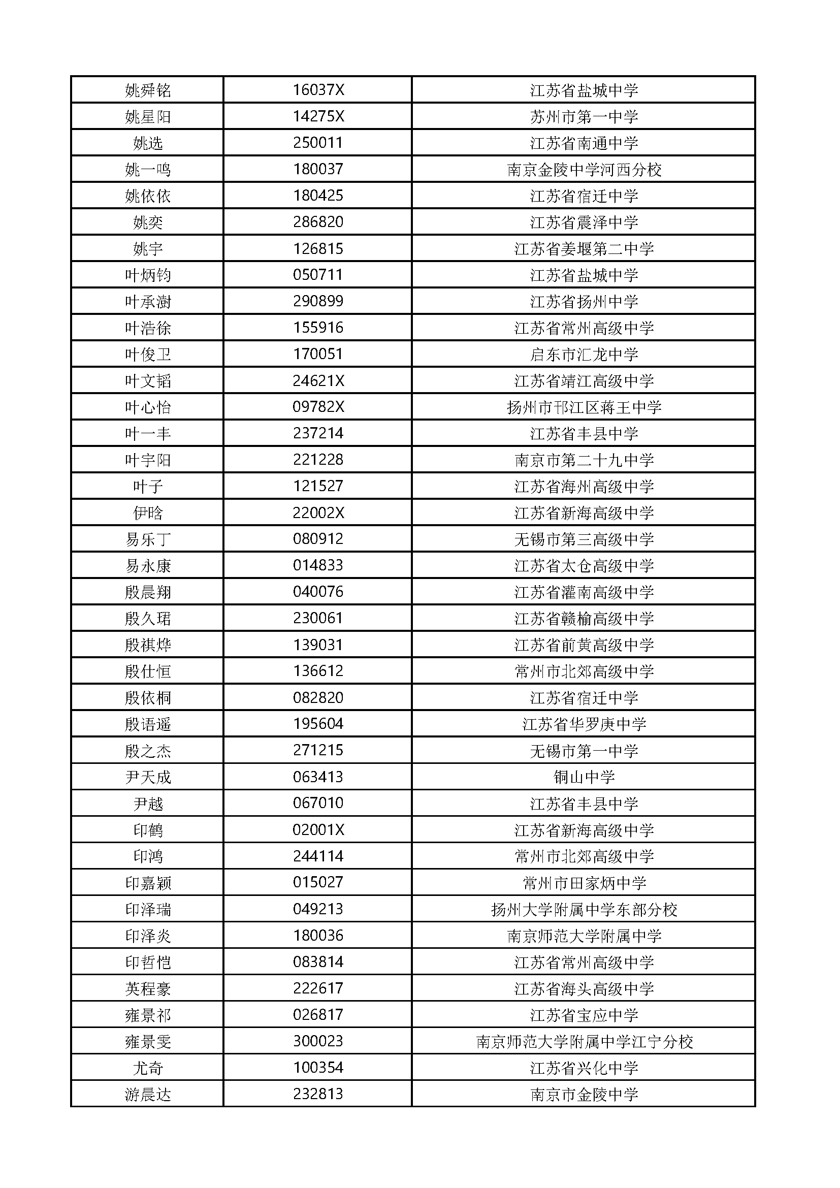
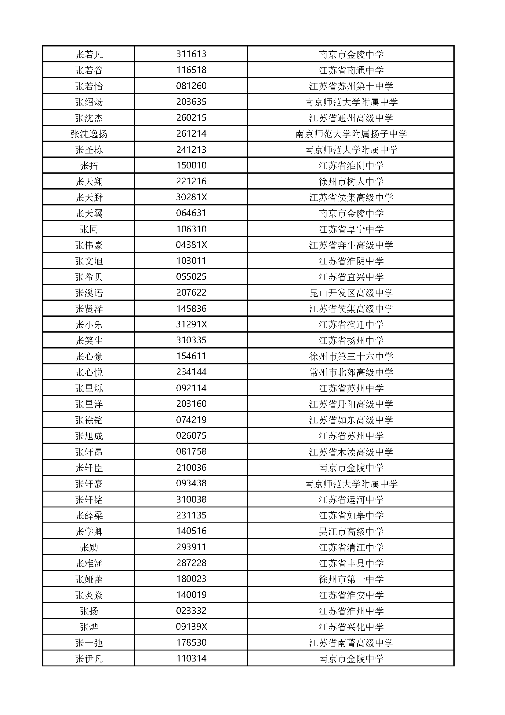
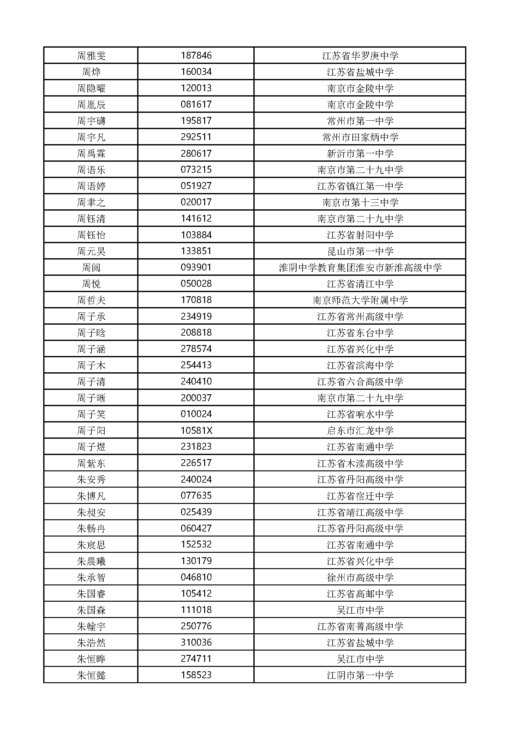
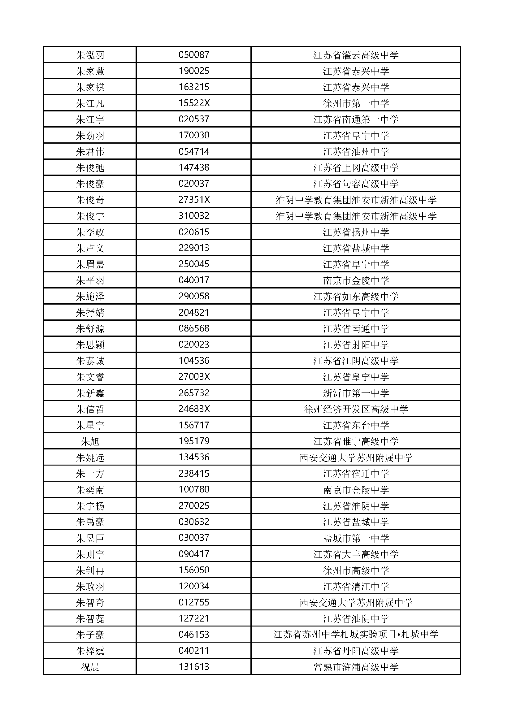
根据江苏省教育厅关于做好普通高校综合评价招生改革试点工作的相关文件精神,依据《南京医科大学2023年综合评价招生简章》,学校对考生报名材料进行资格审核,现将南京医科大学2023年综合评价初审通过名单予以公示(详见附件)。公示时间:2023年5月24日—2023年5月30日。
初审通过的考生登录本科生招生网(网址:http://zs.njmu.edu.cn)网上报名入口,登录报名系统后点击页面下方“报名缴费”按钮缴纳60元综合评价面试报名费(通过微信支付),支付时间为:5月26日0点-6月1日24点。逾期未缴费的视为自动放弃,已缴纳费用但未参加面试者,报名费不予退还。缴费工作完成后可打印准考证,打印时间为:6月2日0点-6月9日24点。面试时间初定6月10-11日,后续工作安排通知请考生及时关注我校本科生招生网和“南京医科大学招生”微信公众号。
如对公示内容有异议,请于公示期内以书面形式向我校反映。
联系地址:南京市江宁区龙眠大道101号
南京医科大学学生工作处招生办公室
邮编:211166
邮箱:zhaoban@njmu.edu.cn
招生办联系电话:025-86869191,025-86868661
招生监督电话:025-86869060
特别提醒:我校未委托任何机构、个人进行综合评价考前辅导或培训,凡是假借南京医科大学名义,通过打电话、邮寄信件等方式要求考生参加考前辅导或培训,均为虚假行为,请广大考生和家长提高警惕,谨防上当受骗。
南京医科大学
2023年5月24日

























































