根据教育部有关文件精神和我校2021年高校专项计划(农村学生)招生简章,我校按照各省招生考试机构对考生报考资格审核结果,对符合条件考生材料进行审查,确定以下考生获得我校2021年高校专项计划资格,现予以公示。公示期:2021年6月2日至6月9日。
公示期间若对公示名单有疑问或异议请与我办联系,电话:020-84036491,邮箱:adado mail.sysu.edu.cn。
公示结束后,我校将按照教育部的相关要求上报教育部阳光高考平台,最终合格名单以阳光高考平台审核公布为准。获得我校高校专项入选资格考生须参加全国普通高校招生统一考试,按照各省级招生考试机构有关规定填报我校高考志愿。
中山大学招生办公室
2021年6月2日
省份入选资格考生名单
安徽
河北
江西
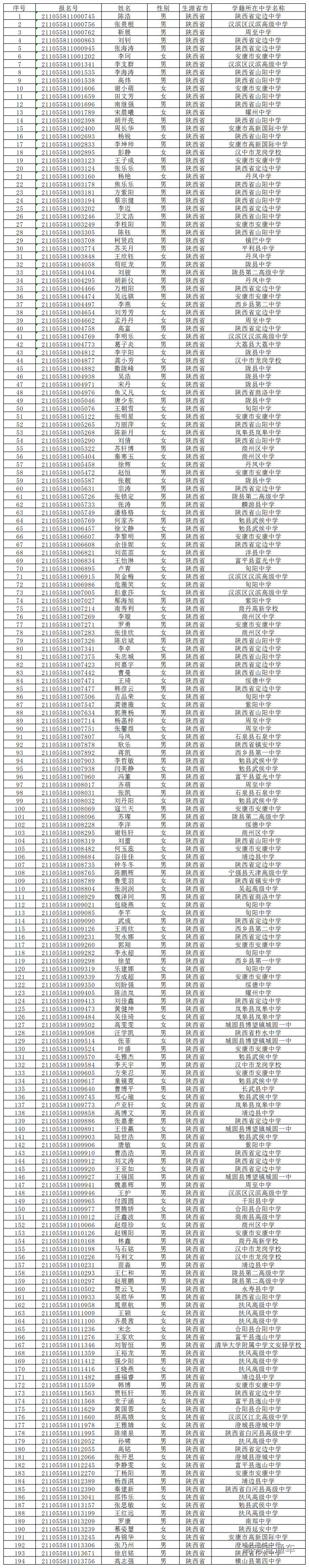
陕西
福建
河南
辽宁
四川
甘肃
黑龙江
内蒙古
西藏
广东
湖北
宁夏
新疆
广西
湖南
青海
云南
贵州
吉林
山东
浙江
海南
江苏
山西
重庆




























